Методика поверки «Комплекты мер ультразвуковых ККО-3» (ДШЕК.401926.001 ИЗ)
СОГЛАСОВАНО
«Аптек-Инвест»
В.Л. Патрушев
2014 г.
Директор

Н.П. Муравская
директора
»
2014 г.
Методика поверки
ДШЕ К.401926.001 ИЗ
4
Главный метролог
ФГУП «ВНИИОФИ»
С.Н. Негода
«23» 2014 г.
2014
СОДЕРЖАНИЕПРИЛОЖЕНИЕ А
ПРИЛОЖЕНИЕ Б
ПРИЛОЖЕНИЕ В
ПРИЛОЖЕНИЕ Г
ПРИЛОЖЕНИЕ Д
ВВЕДЕНИЕНастоящая методика устанавливает методы и средства первичной и периодической поверки комплектов мер ультразвуковых ККО-3 (далее - комплекты мер).
Комплекты мер предназначены для воспроизведения и (или) хранения физической величины заданных геометрических размеров искусственных дефектов и применяются для проведения поверки, калибровки и настройки ультразвуковых дефектоскопов.
До ввода в эксплуатацию, комплекты мер подлежат первичной, а в процессе эксплуатации периодической поверке.
На поверку комплект мер может поставляться как в полной, так и в частичной комплектации.
Межповерочный интервал - 2 года.
1 ОПЕРАЦИИ ПОВЕРКИ-
1.1 Поверка проводится метрологическими службами, аккредитованными в установленном порядке.
-
1.2 Операции поверки комплекта мер приведены в таблице 1.1.
-
1.3 Поверка любой меры, входящей в комплект, прекращается в случае получения отрицательного результата при проведении хотя бы одной из операций, а меру признают не прошедшей поверку.
Таблица 1.1
|
№ п/п |
Наименование операции |
Номер пункта Методики поверки |
Проведение операции при | |
|
первичной поверке |
периодич еской поверке | |||
|
1 |
Внешний осмотр |
7.1 |
да |
да |
|
Определение метрологических характеристик |
7.2 | |||
|
2 |
Определение толщины мер. Определение абсолютной погрешности воспроизведения толщины мер |
7.2.1 |
да |
да |
|
3 |
Определение высоты мер. Определение абсолютной погрешности воспроизведения высоты мер |
7.2.2 |
да |
да |
|
4 |
Определение диаметров искусственных дефектов. Определение абсолютной погрешности воспроизведения диаметров искусственных дефектов |
7.2.3 |
да |
да |
|
5 |
Определение расстояний до центров искусственных дефектов. Определение абсолютной погрешности воспроизведения расстояний до центров искусственных дефектов |
7.2.4 |
да |
нет |
|
6 |
Определение положения базовых рисок шкал. Определение абсолютной погрешности воспроизведения положения базовых рисок шкал |
7.2.5 |
да |
нет |
|
7 |
Определение положения оцифрованных рисок шкал относительно базовых рисок. Определение абсолютной погрешности воспроизведения положения оцифрованных рисок шкал относительно базовых рисок |
7.2.6 |
да |
нет |
|
8 |
Определение отклонения от плоскостности рабочих поверхностей мер |
7.2.7 |
Да |
Да |
|
9 |
Определение шероховатости Ra рабочих поверхностей мер. Определение абсолютной погрешности воспроизведения шероховатости Ra рабочих поверхностей мер |
7.2.8 |
Да |
Да |
|
10 |
Определение скорости продольной ультразвуковой волны в мерах. Определение абсолютной погрешности воспроизведения скорости продольной ультразвуковой волны в мерах |
7.2.9 |
Да |
Да |
-
2.1 Рекомендуемые средства поверки указаны в таблице 2.1.
-
2.2 Приведенные средства поверки могут быть заменены на другие средства с аналогичными метрологическими характеристиками.
-
2.3 Средства поверки должны быть поверены в установленном порядке.
Таблица 2.1
|
Номер пункта методики поверки |
Наименование средства измерения или вспомогательного оборудования, номер документа, регламентирующего технические требования к средству, разряд по государственной поверочной схеме и (или) метрологические и основные технические характеристики |
|
7.2.1, 7.2.2 |
Микрометр МК 50. Номер в Госреестре 51486-12. ГОСТ 6507-90. Диапазон измерений от 25 до 50 мм. Пределы допускаемой абсолютной погрешности измерений ± 2,5 мкм (требуемые характеристики: пределы допускаемой абсолютной погрешности ± 0,01 мм). |
|
7.2.1, 7.2.2 |
Микрометр МК 75. Номер в Госреестре 51486-12. ГОСТ 6507-90. Диапазон измерений от 50 до 75 мм. Пределы допускаемой абсолютной погрешности измерений ± 2,5 мкм (требуемые характеристики: пределы допускаемой абсолютной погрешности ± 0,01 мм в диапазоне измерений от 50 до 60 мм). |
|
7.2.3 |
Микроскоп МПБ-3. Номер в Госреестре 12045-89. ГОСТ 8074-82. Пределы допускаемой погрешности измерений ± 6 мкм при измерении в диапазоне от 0 до 1,5 мм и ± 12 мкм при измерении в диапазоне от 1,5 до 2,5 мм (требуемые характеристики: пределы допускаемой абсолютной погрешности ± 0,05 мм в диапазоне измерений от 0 до 7 мм). |
7.2.6 |
Линейка контрольная визуально-цифровая. Обозначение типа КЛВЦ. Номер в Госреестре 51173-12. ГОСТ 19300-86. Диапазон измерений от 0 до 500 мм, пределы допускаемой абсолютной погрешности измерений ± (0,02 + 0,05-L) мм, где L - измеряемая длина в метрах (требуемые характеристики: пределы допускаемой абсолютной погрешности ± 0,025 мм в диапазоне измерений от 0 до 140 мм; пределы допускаемой абсолютной погрешности ± 0,03 мм в диапазоне измерений от 35 до 100 мм). |
|
7.2.5 |
Угольник поверочный 90° типа УШ. Номер в Госреестре 666-10. ГОСТ 3749-77. Диапазон измерений от 0 до 100 мм, пределы допускаемой абсолютной |
|
погрешности измерений ± 6,0 мкм (требуемые характеристики: пределы допускаемой абсолютной погрешности ± 0,01 мм в диапазоне измерений от 0 до 50 мм). | |
|
7.2.7 |
Плита поверочная и разметочная. Размер 630x400 мм, класс точности 0. ГОСТ 10905-86. Номер в Госреестре 11605-10. |
|
7.2.7 |
Линейка поверочная лекальная ЛД. ГОСТ 8026-92. Номер в Госреестре 3461 73. Размер 75x25x6 мм, класс точности 0. |
|
7.2.7 |
Щупы набора №2. Номер в Госреестре 369-73. Диапазон измерений от 0,02 до 0,5 мм, пределы допускаемой абсолютной погрешности в диапазоне измерений от 0,02 до 0,06 мм составляют ± 3 мкм. |
|
7.2.8 |
Прибор для измерений параметров шероховатости поверхности SURTRONIC 25. Номер в Госреестре 45575-10. ГОСТ 19300-86. Диапазон измерений по параметру Ra от 0 до 40 мкм, пределы допускаемой основной систематической погрешности по параметру Ra ± 3,3 % (требуемые характеристики: пределы допускаемой относительной погрешности ± 10 % в диапазоне измерений по параметру Ra от 0 до 1,5 мкм). |
|
7.2.9 |
Тестер ультразвуковой УЗТ-РДМ с совмещенным пьезоэлектрическим преобразователем П112-2,5-12-002. Номер в Госреестре 44488-10. Диапазон регулировки задержки радиоимпульсов относительно синхроимпульсов от 0,3 до 1000 мкс, пределы допускаемой абсолютной погрешности установки задержки радиоимпульсов относительно синхроимпульсов ± (0,01 + 0,001Dx) мкс, где Dx - значение установленной задержки, мкс (требуемые характеристики: диапазон задержки радиоимпульсов относительно синхроимпульсов от 10 до 50 мкс). |
Лица, допущенные к проведению измерений и обработке результатов наблюдений при поверке, должны быть аттестованы в установленном порядке на право проведения поверки средств измерений.
4 ТРЕБОВАНИЯ БЕЗОПАСНОСТИ-
4.1 При подготовке и проведении поверки должно быть обеспечено соблюдение требований безопасности работы и эксплуатации для оборудования и персонала, проводящего поверку, в соответствии с приведенными требованиями безопасности в нормативно-технической и эксплуатационной документации на средства поверки.
-
4.2 К работе по поверке должны допускаться лица, прошедшие обучение и инструктаж по правилам безопасности труда.
-
4.3 Поверку проводить только после ознакомления и изучения документации по эксплуатации средств поверки.
-
4.4 При проведении поверки должны соблюдаться требования ГОСТ 12.3.019-80.
-
4.5 При проведении поверки все приборы с электрическим питанием от сети переменного тока должны быть заземлены.
-
5.1 Операции поверки комплекта мер должны проводиться в нормальных климатических условиях:
-
• температура окружающего воздуха (20 ± 5) °C [(293 ± 5) К];
-
• относительная влажность воздуха (65 ± 15) %;
-
• атмосферное давление (750 ± 30) мм рт.ст. [(100 ± 4) кПа].
-
5.2 Номинальное напряжение сети переменного тока 220 В. Допускаемое отклонение ± 10%. Номинальная частота сети переменного тока 50 Гц. Допускаемое отклонение ± 0,5 Гц.
-
5.3 Внешние электрические и магнитные поля должны находиться в пределах, не влияющих на работу средств поверки.
-
6.1 Перед проведением поверки комплект ККО-3 или отдельная мера должны быть очищены от ржавчины и загрязнений. Эта процедура проводится организацией, предоставляющей указанные средства измерений на поверку.
-
6.2 Если комплект мер и измерительная аппаратура до начала измерений
находились в климатических условиях, отличающихся от указанных в п. 5.1, то комплект мер выдерживают при этих условиях не менее двух часов, средства поверки - не менее часа, или времени, указанного в эксплуатационной документации на средства измерения. ...
-
6.3 Подготовить средства поверки к работе в соответствии с их документами по эксплуатации.
При проведении внешнего осмотра установить соответствие комплекта мер или отдельной меры следующим требованиям:
-
• комплектность комплекта мер - согласно паспорту;
-
• наличие маркировки на мерах:
-
- наименование предприятия-изготовителя: «Аптек»;
-
- наименование меры: №2, №3, №ЗР;
-
- заводской номер, содержащий: АБ-ВГД, где АБ - год изготовления (две последние цифры года), ВГД - порядковый номер меры в течение данного года выпуска;
-
• на рабочих поверхностях не допускаются механические повреждения и коррозия материала;
-
• на нерабочих поверхностях меры допускается наличие рисок, вмятин, царапин, которые не влияют на идентификацию меры и не искажают нанесенные на поверхности шкалы.
Мера считается прошедшей операцию поверки с положительным результатом, если выполняются вышеприведенные требования.
7.2 Определение метрологических характеристикОбработку результатов измерений проводить по ГОСТ Р 8.736-2011 «Государственная система обеспечения единства измерений. Измерения прямые многократные. Методы обработки результатов измерений. Основные положения» и МИ 2083-90 «Государственная система обеспечения единства измерений. Измерения косвенные. Определение результатов измерений и оценивание их погрешностей».
Применяемые при поверке средства измерений, указанные в таблице 2.1, предполагают нормальный закон распределения погрешности измерений. При косвенных измерениях зависимость между результатом измерений и измеряемыми аргументами линейная, и корреляция между погрешностями измерений аргументов отсутствует. Неисключенная систематическая погрешность результата (НСП) образуется из НСП применяемых средств измерений.
При применении иных средств измерений закон распределения погрешности и значимость неисключенной систематической погрешности необходимо уточнить.
-
7.2.1 Определение толщины мер. Определение абсолютной погрешности воспроизведения толщины мер
-
7.2.1.1 С помощью микрометра гладкого МК 50 провести измерения толщины Т меры в шести точках, равномерно распределенных по поверхности меры.
-
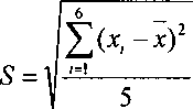
7.2.1.2 Вычислить среднее арифметическое значение толщины х по шести измерениям:
6
Х = (7.1)
где х, - /-й результат измерений.
-
7.2.1.3 Вычислить СКО результатов шести измерений по формуле:

(7.2)
-
7.2.1.4 Проверить наличие грубых погрешностей и, при необходимости, исключить их.
Вычислить критерии Граббса G-I.G2:

(7-3)
где хтах - максимальное значение результата измерений, xmin - минимальное значение результата измерений.
Если Gi>1,97, то xmax исключают, как маловероятное значение, если G2>1,97, то xm]n исключают, как маловероятное значение (здесь 1,97 - это критическое значение для критерия Граббса для шести результатов измерений).
Провести дополнительные измерения (если количество оставшихся результатов измерений стало меньше шести), повторить п.п. 7.2.1.1 - 7.2.1.4, чтобы количество измерений без грубых погрешностей оставалось равным шести.
-
7.2.1.5 Вычислить СКО среднего арифметического измеряемой величины:

(7.4)
-
7.2.1.6 Вычислить доверительные границы е случайной погрешности оценки измеряемой величины (глубины искусственного дефекта меры) при Р=0,95:
£ = 2,57-5-, (7.5)
где 2,57 - значение коэффициента Стьюдента для доверительной вероятности Р=0,95 и числа результатов измерений равным 6.
-
7.2.1.7 Вычислить среднее квадратическое отклонение НСП:

(7-6)
А
где £ - сумма НСП применяемых средств измерений (в данном случае - НСП микрометра).
-
7.2.1.8 Вычислить суммарное среднее квадратическое отклонение оценки измеряемой величины:

+s@
(7-7)
-
7.2.1.9 Вычислить коэффициент К:
(7-8)
-
7.2.1.10 Вычислить абсолютную погрешность измеряемой величины:
Д = (7.9)
Результат измерений толщины Т записать в виде:
Т=х±Д, Р=0,95 . (7.10)
-
7.2.1.11 Мера считается прошедшей операцию поверки с положительным результатом, если измеряемая величина х (толщина меры) соответствует значениям, представленным в таблице 7.1, и абсолютная погрешность не превышает ± 0,05 мм.
Таблица 7.1
|
Мера №2 |
Мера №3 |
Мера №ЗР | |
|
Толщина меры, мм |
30-0,2 |
30-0,2 |
29.о,2 |
|
Высота меры, мм |
59.о,1 |
55 ±0,1 |
59.о,1 |
-
7.2.2 Определение высоты мер. Определение абсолютной погрешности воспроизведения высоты мер
-
7.2.2.1 С помощью микрометра гладкого МК 75 провести измерения высоты меры в шести точках, равномерно распределенных по поверхности меры.
-
7.2.2.2 Обработку результатов измерений провести аналогично п.п. 7.2.1.2 -
-
7.2.1.10.
Полученные результаты обозначить:
Нср - среднее арифметическое значение высоты меры Н, мм;
Лнср - абсолютная погрешность Нср измеряемой величины Н, мм.
-
7.2.2.3 Мера считается прошедшей операцию поверки с положительным результатом, если измеряемая величина х (высота меры) соответствует значениям, представленным в таблице 7.1, и абсолютная погрешность не превышает ± 0,05 мм.
-
7.2.3 Определение диаметров искусственных дефектов. Определение абсолютной погрешности воспроизведения диаметров искусственных дефектов
-
7.2.3.1 С помощью микроскопа провести измерения диаметра искусственного дефекта Д1 для меры №2. Измерения проводятся по три раза с каждой стороны меры.
-
7.2.3.2 Обработку результатов измерений провести аналогично п.п. 7.2.1.2 -
-
7.2.1.10.
Полученные результаты обозначить:
Д1ср - среднее арифметическое значение диаметра Д1, мм;
Ад1сР - абсолютная погрешность Д-|Ср измеряемой величины Д1, мм.
-
7.2.3.3 Повторить п.п. 7.2.3.1 - 7.2.3.2 для остальных искусственных дефектов меры №2 и искусственных дефектов меры №ЗР.
-
7.2.3.4 Мера считается прошедшей операцию поверки с положительным результатом, если измеряемая величина (диаметр искусственного дефекта) соответствует значениям, представленным в таблице 7.2, и абсолютная погрешность не превышает ± 0,05 мм.
Таблица 7.2
|
Мера №2 |
Мера №ЗР | |
|
Диаметр искусственного дефекта, мм: |
6+0'3 |
б+о.э |
|
- искусственный дефект Д1 | ||
|
- искусственный дефект Д2 |
2+0,25 |
2+о,1 |
|
- искусственный дефект Дз |
2+0,25 |
2+о J |
|
- искусственный дефект Д4 |
- |
2+о,1 |
|
- искусственный дефект Д5 |
- |
2*0,1 |
-
7.2.4 Определение расстояний до центров искусственных дефектов. Определение абсолютной погрешности воспроизведения расстояний до центров искусственных дефектов
-
7.2.4.1 С помощью линейки КЛВЦ провести измерение расстояния Hi от рабочей поверхности 1 до ближайшего края искусственного дефекта Д1 меры №2 (см. рисунок Г.1, приложение Г). Измерения проводятся по три раза с лицевой и оборотной стороны.
7.2.4.2. Обработку результатов измерений провести аналогично п.п. 7.2.1.2 -7.2.1.10с учетом следующих добавлений.
Полученные результаты обозначить:
Hicp - среднее арифметическое значение расстояния Hi, мм;
- абсолютная погрешность Hicp измеряемой величины Hi, мм.
Рассчитать расстояние Bi от центра искусственного дефекта Д1 до рабочей поверхности 1 по формуле:

(7.11)
Рассчитать абсолютную погрешность воспроизведения расстояния Bi по формуле:

(7.12)
-
7.2.4.3 Для определения расстояний от рабочих поверхностей и боковых граней мер до центров искусственных дефектов Дг и Д3 меры №2 (см. рисунок Г.1) и дефектов Д2 -Д5 меры №ЗР (см. рисунок Г.З) повторить п.п. 7.2.4.1 - 7.2.4.2.
-
7.2.4.4 Мера считается прошедшей операцию поверки с положительным результатом, если измеряемая величина (расстояние до центра искусственного дефекта) соответствует значениям, приведенным в таблице 7.3, и абсолютная погрешность не превышает ± 0,05 мм.
Таблица 7.3
|
Расстояния до центров искусственных дефектов |
Обозначение измеряемых расстояний в соответствии с приложением Г | |
|
Мера №2 | ||
|
Расстояние до центра искусственного дефекта Д1, мм: - от рабочей поверхности 1 меры |
44 ± 0,25 | |
|
Расстояние до центра искусственного дефекта Дг, мм:
|
25 ±0,2 8 ±0,18 |
А2=1-2+Д2/2 Бг=Н2+Д2/2 |
|
Расстояние до центра искусственного дефекта Д3, мм:
|
25 ±0,15 3 ± 0,15 |
А3=1_3+Дз/2 Б3=Н3+Дз/2 |
|
Мера №ЗР | ||
|
Расстояние до центра искусственного дефекта Д1, мм: - от рабочей поверхности 1 меры |
44.0,12 |
Б^Н^/2 |
|
Расстояние до центра искусственного дефекта Дг, мм:
|
60 ±0,15 3 ± 0,15 |
А2=1-2+Д2/2 Бг=Н2+Д2/2 |
|
Расстояние до центра искусственного дефекта Дз, мм:
|
85 ±0,15 6 ±0,18 |
Аз-Ьз+Дз/2 Бз=Нз+Дз/2 |
|
Расстояние до центра искусственного дефекта Д4, мм:
|
110 ± 0,15 8 ±0,18 |
А4=1_4+Д4/2 Б4=Н4+Д4/2 |
|
Расстояние до центра искусственного дефекта Д5, мм:
|
135 ±0,15 12 ±0,21 |
А5=1-5+Д5/2 Б5=Нб+Д5/2 |
-
7.2.5 Определение положения базовых рисок шкал меры. Определение абсолютной погрешности воспроизведения положения базовых рисок шкал
-
7.2.5.1 Для определения положения базовой риски шкалы 1 относительно центра искусственного дефекта Д1 установить угольник опорной поверхностью на рабочую поверхность 1 меры №2 (см. рисунок Г.1) и зафиксировать угольник в прижатом состоянии таким образом, чтобы плоская поверхность стойки угольника лежала в одной плоскости с лицевой поверхностью меры.
-
7.2.5.2 С помощью линейки КЛВЦ провести измерения расстояния 1_р1 от базовой риски шкалы 1 до измерительной поверхности угольника (см. рисунок Г.1). Измерения провести шесть раз. Обработку результатов измерений провести аналогично п.п. 7.2.1.2 -7.2.1.10 с учетом следующих добавлений.
Полученные результаты обозначить:
Lpicp - среднее арифметическое значение расстояния Lp1, мм;
Д£ -абсолютная погрешность Lpicp измеряемой величины Lp1, мм.
С помощью линейки КЛВЦ провести измерение расстояния Li от измерительной поверхности угольника до ближайшего края искусственного дефекта Д1 (см. рисунок Г.1). Измерения проводятся по три раза с лицевой и оборотной стороны.
Обработку результатов измерений провести аналогично п.п. 7.2.1.2 - 7.2.1.10 с учетом следующих добавлений.
Полученные результаты обозначить:
Licp - среднее арифметическое значение расстояния Ц, мм;
Д£ - абсолютная погрешность Licp измеряемой величины Ц, мм.
Рассчитать расстояние Ai для искусственного дефекта Д-i по формуле:
. (713)
Рассчитать абсолютную погрешность воспроизведения расстояния Ai по формуле:
-
7.2.5.3 Рассчитать смещение базовой риски шкалы 1 относительно центра искусственного дефекта Д1 вдоль рабочей поверхности 1 по формуле:
=L^cP-A (7.15)
Рассчитать абсолютную погрешность воспроизведения смещения базовой риски шкалы 1 относительно центра искусственного дефекта Д1 вдоль рабочей поверхности 1 по формуле:
4=№+^2 ; : <7-16>
-
7.2.5.4 Для определения расстояния от проекции центра искусственного дефекта Д1 на рабочую поверхность 2 до базовой риски 2 меры №2 повторить п.п. 7.2.5.1 - 7.2.5.3.
-
7.2.5.5 С помощью линейки КЛВЦ провести измерение расстояния от левого края рабочей поверхности меры №3 (см. рисунок Г.2) до «нулевой» риски шкалы и от «нулевой» риски шкалы до правого края рабочей поверхности меры. Вычислить разницу расстояний. Провести измерения в обратном направлении и рассчитать разницу расстояний. Провести измерения по три раза в каждом направлении.
-
7.2.5.6 Обработку результатов измерений провести аналогично п.п. 7.2.1.2 -
-
7.2.1.10.
-
7.2.5.7 Повторить п.п. 7.2.5.1 - 7.2.5.3 для меры №ЗР.
-
7.2.5.8 С помощью линейки КЛВЦ провести измерения расстояния Арг от базовой риски 2 до грани 2 меры №ЗР.
-
7.2.5.9 Обработку результатов измерений провести аналогично п.п. 7.2.1.2 -
-
7.2.1.10.
-
7.2.5.10 Мера считается прошедшей операцию поверки с положительным результатом, если измеряемая величина соответствует значениям, приведенным в таблице 7.4, и абсолютная погрешность не превышает ± 0,05 мм.
Таблица 7Л
|
Положения базовых рисок |
Обозначение измеряемых расстояний в соответствии с приложением Г | |
|
Мера №2 | ||
|
Смещение базовой риски шкалы 1 относительно центра искусственного дефекта Д1 вдоль рабочей поверхности 1 мм |
±0,1 |
АР1 |
|
Расстояние от проекции центра искусственного дефекта Дт на рабочую поверхность 2 до базовой риски 2, мм |
25,98 ±0,10 |
АР2 |
|
Мера №3 | ||
|
Смещение нулевой риски от оси симметрии меры по рабочей поверхности меры, мм |
±0,1 |
- |
|
Мера №ЗР | ||
|
Смещение базовой риски шкалы 1 относительно центра искусственного дефекта Д1 вдоль рабочей поверхности 1, мм |
±0,1 |
Api |
|
Расстояние до базовой риски шкалы 2 от грани 2 меры вдоль рабочей поверхности 1, мм |
59,00 ±0,15 |
АР2 |
-
7.2.6 Определение положения оцифрованных рисок шкал относительно базовых рисок. Определение абсолютной погрешности воспроизведения положения оцифрованных рисок шкал относительно базовых рисок
-
7.2.6.1 С помощью линейки КЛВЦ провести измерения расстояний от базовой риски шкалы 1 до каждой оцифрованной риски на шкале 1. Измерения проводятся по шесть раз.
-
7.2.6.2 Обработку результатов измерений провести аналогично п.п. 7.2.1.2 -
-
7.2.1.10.
-
7.2.6.3 Провести измерения аналогично п.7.2.6.1 - 7.2.6.2 для оцифрованных рисок всех шкал на мерах (см. приложения А, Б, В).
-
7.2.6.4 Мера считается прошедшей операцию поверки с положительным результатом, если измеряемая величина х (положение оцифрованной риски) соответствует значениям приведенным в приложении Б, и абсолютная погрешность не превышает ± 0,05 мм. Формулы расчета величины Р приведены в таблице 7.5.
Таблица 7,5
|
Мера №2 | |
|
Положение рисок шкалы относительно базовой риски, мм
|
44 tga ± 0,1 15(tga-tg60°)±0,1 где a - значение угла ввода, соответствующее данной риске, ...° |
|
Мера №3 | |
|
Положение рисок относительно нулевой риски по верхней грани меры, мм |
L ± 0,1, где L- номинальное значение на шкале, мм |
|
Мера №ЗР | |
|
Положение рисок шкалы относительно базовой риски (нулевой) по верхней грани меры, мм
|
44 tga ± 0,1 где а значение угла ввода, соответствующее данной риске, ...° L ± 0,1, где L - номинальное значение на шкале, мм |
-
7.2.7 Определение отклонения от плоскостности рабочих поверхностей мер
-
7.2.7.1 Отклонение от плоскостности рабочих поверхностей производится при помощи линейки поверочной лекальной (далее - лекальная линейка) и щупов набора №2 толщиной 0,02 мм в десяти точках, расположенных равномерно по всей длине рабочей поверхности.
-
7.2.7.2 Меру №2 или №ЗР положить на поверочную плиту рабочей поверхностью №1. Лекальную линейку приложить острым краем перпендикулярно плоскости рабочей поверхности и её оси симметрии, после чего в образовавшийся зазор поместить щуп толщиной 0,02 мм. Измерения производятся поочередно в десяти точках, расположенных равномерно по всей длине рабочей поверхности. Затем эту меру поместить на поверочную плиту рабочей поверхностью №2 и повторить процедуру измерения. Меру №3 положить на немаркированную боковую поверхность и приложить лекальную линейку острым краем перпендикулярно плоскости рабочей поверхности и её оси симметрии, после чего в образовавшийся зазор поместить щуп толщиной 0,02 мм. Измерения, как указано выше, производятся поочередно в десяти точках, расположенных равномерно по всей длине рабочей поверхности.
-
7.2.7.3 Мера считается прошедшей операцию поверки с положительным результатом, если отклонение от плоскостности рабочих поверхностей не превышает 0,02 мм.
-
7.2.8 Определение шероховатости Ra рабочих поверхностей мер. Определение абсолютной погрешности воспроизведения шероховатости Ra рабочих поверхностей мер
-
7.2.8.1 С помощью профилометра провести измерения шероховатости Ra рабочей поверхности 1 меры №2. Измерения проводить по два раза с краевых сторон и два раза в середине рабочей поверхности меры вдоль рисок шкалы.
-
7.2.8.2 Повторить п. 7.2.7.1 для рабочей поверхности 2 меры №2 и всех рабочих поверхностей мер №3 и №ЗР.
-
7.2.8.3 Мера считается прошедшей операцию поверки с положительным результатом, если измеряемая величина шероховатости Ra рабочей поверхности меры не превышает 1,25 мкм при каждом измерении.
-
7.2.9 Определение скорости продольной ультразвуковой волны в мерах. Определение абсолютной погрешности воспроизведения скорости продольной ультразвуковой волны в мерах
-
7.2.9.1 Подключить совмещенный пьезоэлектрический преобразователь П112-2,5-12-002 к тестеру УЗТ-РДМ. Установить на тестере настройки в соответствии с подключенным преобразователем. Установить преобразователь на рабочую поверхность меры №2 вне зоны отверстий, гравировки и сегментных отражателей, предварительно нанеся слой контактной жидкости.
-
7.2.9.2 Получить два донных сигнала на экране тестера. Стробами тестера измерить время прохождения ультразвуковых колебаний в образце (время между первым и вторым донными сигналами). Измерения выполнить шесть раз.
-
7.2.9.3 Обработку результатов измерений провести аналогично п.п. 7.2.1.2 - 7.2.1.10 с учетом следующих добавлений.
Полученные результаты обозначить:
tcp - среднее арифметическое значение времени прохождения ультразвуковых колебаний в образце, мкс;
А, - абсолютная погрешность tcp измеряемой величины t, мкс;
'ср Г
в мерах по
-
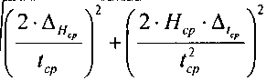
7.2.9.4 Рассчитать скорость V продольной ультразвуковой волны формуле:
2-Н
(7.17)
V =-----, мм/мкс,
<сР
где Нср - среднее арифметическое значение высоты меры Н, мм.
продольной
Рассчитать абсолютную погрешность воспроизведения скорости ультразвуковой волны в мере по формуле:

мм/мкс
(7-18)
Привести рассчитанные значения к единицам измерения м/с, умножив полученное значение на 1000.
-
7.2.9.5 Повторить измерения по п.п. 7.2.9.1 - 7.2.9.4 для меры №ЗР и меры №3. Для меры №3 преобразователь устанавливается на боковую поверхность меры, при расчетах используется толщина меры.
-
7.2.9.6 Мера считается прошедшей операцию поверки с положительным результатом, если скорость продольной ультразвуковой волны в мере соответствует таблице 7.6, и абсолютная погрешность не превышает: 30 м/с для мер №2 и №3; 60 м/с для меры №ЗР.
Таблица 7,6
|
Мера №2 |
Мера №3 |
Мера №ЗР | |
|
Скорость продольной ультразвуковой волны в мере, м/с |
5900 ± 59 |
5900 ± 59 |
5900±118 |
-
8.1 Результаты поверки заносят в протокол. Рекомендуемая форма протокола приведена в приложении Д к методике поверки.
-
8.2 При положительных результатах поверки оформляют свидетельство о поверке в установленной форме.
-
8.3 При отрицательных результатах поверки, комплект мер признается непригодным к применению, и на него выдается извещение о непригодности с указанием причин непригодности.
ПРИЛОЖЕНИЕ А
(обязательное)
ТАБЛИЦА А.1 - Положение рисок шкал 1 и 2 относительно базовых рисок меры №2
|
Шкала 1 |
Шкала 2 | ||||
|
а0 |
Р, мм (допуск ±0,1 мм) |
а0 |
Р, мм (допуск ±0,1 мм) |
а° |
Р, мм (допуск ±0,1 мм) |
|
Номинал |
Номинал |
Номинал | |||
|
0 |
0,00 |
36 |
31,97 |
60 |
0,00 |
|
1 |
0,77 |
37 |
33,16 |
61 |
1,08 |
|
2 |
1,54 |
38 |
34,38 |
62 |
2,23 |
|
3 |
2,31 |
39 |
35,63 |
63 |
3,46 |
|
4 |
3,08 |
40 |
36,92 |
64 |
4,77 |
|
5 |
3,85 |
41 |
38,25 |
65 |
6,19 |
|
6 |
4,62 |
42 |
39,62 |
66 |
7,71 |
|
7 |
5,40 |
43 |
41,03 |
67 |
9,36 |
|
8 |
6,18 |
44 |
42,49 |
68 |
11,15 |
|
9 |
6,97 |
45 |
44,00 |
69 |
13,10 |
|
10 |
7,76 |
46 |
45,56 |
70 |
15,23 |
|
11 |
8,55 |
47 |
47,18 |
71 |
17,58 |
|
12 |
9,35 |
48 |
48,87 |
72 |
20,18 |
|
13 |
10,16 |
49 |
50,62 |
73 |
23,08 |
|
14 |
10,97 |
50 |
52,44 |
74 |
26,33 |
|
15 |
11,79 |
51 |
54,34 |
75 |
30,00 |
|
16 |
12,62 |
52 |
56,32 |
76 |
34,18 |
|
17 |
13,45 |
53 |
58,39 |
77 |
38,99 |
|
18 |
14,30 |
54 |
60,56 |
78 |
44,59 |
|
19 |
15,15 |
55 |
62,84 |
79 |
51,19 |
|
20 |
16,01 |
56 |
65,23 |
80 |
59,09 |
|
21 |
16,89 |
57 |
67,75 | ||
|
22 |
17,78 |
58 |
70,41 | ||
|
23 |
18,68 |
59 |
73,23 | ||
|
24 |
19,59 |
60 |
76,21 | ||
|
25 |
20,52 |
61 |
79,38 | ||
|
26 |
21,46 |
62 |
82,75 | ||
|
27 |
22,42 |
63 |
86,35 | ||
|
28 |
23,40 |
64 |
90,21 | ||
|
29 |
24,39 |
65 |
94,36 | ||
|
30 |
25,40 |
66 |
98,83 | ||
|
31 |
26,44 |
67 |
103,66 | ||
|
32 |
27,49 |
68 |
108,90 | ||
|
33 |
28,57 |
69 |
114,62 | ||
|
34 |
29,68 |
70 |
120,89 | ||
|
35 |
30,81 | ||||
ПРИЛОЖЕНИЕ Б
(обязательное)
ТАБЛИЦА Б.1 - Положение рисок шкалы относительно базовой риски меры №3 и шкалы 2 меры №ЗР
|
Левая часть шкалы |
Правая часть шкалы | ||
|
Риска |
Р, мм (допуск ±0,1 мм) |
Риска |
Р, мм (допуск ±0,1 мм) |
|
Номинал |
Номинал | ||
|
0 |
0 |
0 |
0 |
|
1 |
1 |
1 |
1 |
|
2 |
2 |
2 |
2 |
|
3 |
3 |
3 |
3 |
|
4 |
4 |
4 |
4 |
|
5 |
5 |
5 |
5 |
|
6 |
6 |
6 |
6 |
|
7 |
7 |
7 |
7 |
|
8 |
8 |
8 |
8 |
|
9 |
9 |
9 |
9 |
|
10 |
10 |
10 |
10 |
|
11 |
11 |
11 |
11 |
|
12 |
12 |
12 |
12 |
|
13 |
13 |
13 |
13 |
|
14 |
14 |
14 |
14 |
|
15 |
15 |
15 |
15 |
|
16 |
16 |
16 |
16 |
|
17 |
17 |
17 |
17 |
|
18 |
18 |
18 |
18 |
|
19 |
19 |
19 |
19 |
|
20 |
20 |
20 |
20 |
ПРИЛОЖЕНИЕ В
(обязательное)
ТАБЛИЦА В.1 - Положение рисок шкал 1 и 2 относительно базовых рисок меры №ЗР
|
Шкала 1 |
Шкала 2 | ||||||
|
а0 |
Р, мм (допуск ±0,1 мм) |
а° |
Р, мм (допуск ±0,1 мм) |
Левая часть шкалы |
Правая часть шкалы | ||
|
Номинал |
Номинал |
Риска |
Р, мм (допуск ±0,1 мм) |
Риска |
Р, мм (допуск ±0,1 мм) | ||
|
0 |
0,00 |
36 |
31,97 |
Номинал |
Номинал | ||
|
1 |
0,77 |
37 |
33,16 |
0 |
0 |
0 |
0 |
|
2 |
1,54 |
38 |
34,38 |
1 |
1 |
1 |
1 |
|
3 |
2,31 |
39 |
35,63 |
2 |
2 |
2 |
2 |
|
4 |
3,08 |
40 |
36,92 |
3 |
3 |
3 |
3 |
|
5 |
3,85 |
41 |
38,25 |
4 |
4 |
4 |
4 |
|
6 |
4,62 |
42 |
39,62 |
5 |
5 |
5 |
5 |
|
7 |
5,40 |
43 |
41,03 |
6 |
6 |
6 |
6 |
|
8 |
6,18 |
44 |
42,49 |
7 |
7 |
7 |
7 |
|
9 |
6,97 |
45 |
44,00 |
8 |
8 |
8 |
8 |
|
10 |
7,76 |
46 |
45,56 |
9 |
9 |
9 |
9 |
|
11 |
8,55 |
47 |
47,18 |
10 |
10 |
10 |
10 |
|
12 |
9,35 |
48 |
48,87 |
11 |
11 |
11 |
11 |
|
13 |
10,16 |
49 |
50,62 |
12 |
12 |
12 |
12 |
|
14 |
10,97 |
50 |
52,44 |
13 |
13 |
13 |
13 |
|
15 |
11,79 |
51 |
54,34 |
14 |
14 |
14 |
14 |
|
16 |
12,62 |
52 |
56,32 |
15 |
15 |
15 |
15 |
|
17 |
13,45 |
53 |
58,39 |
16 |
16 |
16 |
16 |
|
18 |
14,30 |
54 |
60,56 |
17 |
17 |
17 |
17 |
|
19 |
15,15 |
55 |
62,84 |
18 |
18 |
18 |
18 |
|
20 |
16,01 |
56 |
65,23 |
19 |
19 |
19 |
19 |
|
21 |
16,89 |
57 |
67,75 |
20 |
20 |
20 |
20 |
|
22 |
17,78 |
58 |
70,41 | ||||
|
23 |
18,68 |
59 |
73,23 | ||||
|
24 |
19,59 |
60 |
76,21 | ||||
|
25 |
20,52 |
61 |
79,38 | ||||
|
26 |
21,46 |
62 |
82,75 | ||||
|
27 |
22,42 |
63 |
86,35 | ||||
|
28 |
23,40 |
64 |
90,21 | ||||
|
29 |
24,39 |
65 |
94,36 | ||||
|
30 |
25,40 |
66 |
98,83 | ||||
|
31 |
26,44 |
67 |
103,66 | ||||
|
32 |
27,49 |
68 |
108,90 | ||||
|
33 |
28,57 |
69 |
114,62 | ||||
|
34 |
29,68 |
70 |
120,89 | ||||
|
35 |
30,81 |
ПРИЛОЖЕНИЕ Г


Рисунок Г.2 Эскиз меры № 3


Рисунок Г.З Эскиз меры № ЗР
ПРИЛОЖЕНИЕ Д
ПРОТОКОЛ первичной/периодической поверки №
от «______»______________20__года
Средство измерений мера № 2 из комплекта мер ультразвуковых ККО-3._____
Заводской номер_____________________________________________________
Изготовленное_________________________________________________________
Принадлежащее_________________________________________________
Поверено в соответствии с методикой поверки_____________________________
При следующих значениях влияющих факторов:
Температура окружающей среды______________________________________
Атмосферное давление________________________________________________
Относительная влажность______________________________________________
С применением эталонов:
|
Наименование |
Тип |
Зав. № |
Предел измерений |
Погреши, измерений |
Сведения о поверке |
Результаты поверки:
1. Внешний осмотр.
2. Результаты определения метрологических характеристик.
2.1. Определение толщины меры.
|
Параметр |
Ед. изм. |
Номинал |
Допуск |
Результаты измерений |
Среднее арифм. |
Критерий Граббса |
Абсолютная погреш-ность |
Заключение | |
|
G1 |
G2 | ||||||||
|
Толщина меры | |||||||||
2.2. Определение высоты меры.
|
Параметр |
Ед. изм. |
Номинал |
Допуск |
Результаты измерений |
Среднее арифм. |
Критерий Граббса |
Абсолютная погрет-ность |
Заключение | |
|
G1 |
G2 | ||||||||
|
Высота | |||||||||
|
меры | |||||||||
2.3. Определение диаметра Д1 меры.
|
Параметр |
Ед. изм. |
Номинал |
Допуск |
Результаты измерений |
Среднее арифм. |
Критерий Граббса |
Абсолютная погрет-ность |
Заклю чение | |
|
G1 |
G2 | ||||||||
|
Диаметр Д1 | |||||||||
2.4. Определение диаметра Д2 меры.
|
Параметр |
Ед. изм. |
Номинал |
Допуск |
Результаты измерений |
Среднее арифм. |
Критерий Граббса |
Абсолютная погрет-ность |
Заключение | |
|
G1 |
G2 | ||||||||
|
Диаметр Д2 | |||||||||
2.5. Определение диаметра ДЗ меры.
|
Параметр |
Ед. изм. |
Номинал |
Допуск |
Результаты измерений |
Среднее арифм. |
Критерий Граббса |
Абсолютная погрет-ность |
Заключение | |
|
G1 |
G2 | ||||||||
|
Диаметр ДЗ | |||||||||
2.6. Определение расстояния Б1 от центра отверстия Д1 до рабочей поверхности 1.
|
Параметр |
Ед. изм. |
Номинал |
Допуск |
Результаты измерений |
Среднее арифм. |
Критерий Граббса |
Абсолютная погрет-ность |
Заключение | |
|
G1 |
G2 | ||||||||
|
Расстояние | |||||||||
2.11. Определение положения базовой риски шкалы 1 относительно центра отверстия Д1.
2.14. Определение отклонения от плоскостности рабочих поверхностей мер.
|
Параметр |
Ед. изм. |
Номинал |
Допуск |
Результаты измерений |
Заключение |
2.15. Определение шероховатостей рабочих поверхностей меры.
|
Параметр |
Ед. изм. |
Номинал |
Допуск |
Результаты измерений |
Заключение |
|
Шероховатость поверхности 1 (Ra) | |||||
|
Шероховатость поверхности 2 (Ra) |
2.16. Определение скорости продольной ультразвуковой волны.
|
Параметр |
Ед. изм. |
Номинал |
Допуск |
Результаты измерений |
Среднее арифм. |
Абсолютная погрешность |
Заключение |
|
Скорость продольной ультразвуко вой волны |
Заключение:
На основании результатов первичной/периодической поверки_________________________
соответствует описанию типа и признана пригодной к применению.
Поверитель:______________________________________________________
Протокол поверки меры № 2 из комплекта мер ультразвуковых ККО-3
5/5
