Методика поверки «гси.Дефектоскопы магнитные комбинированные» (МП 060.Д4-19)
УТВЕРЖДАЮ
Заместитель директора
по

Главный метролог
ФГУП« И
С.Н. Негода
2019 г.
Главный научный сотрудник ФГУП« ИИОФИ»
В.Н. Крутиков
2019 г.
Москва 2019 г.
СОДЕРЖАНИЕ
Настоящая методика поверки распространяется на дефектоскопы магнитные комбинированные (далее по тексту - дефектоскопы), предназначенные для измерения толщины стенки трубы методом магнитной дефектоскопии и координаты выявленных дефектов вдоль оси трубы при проведении внутритрубного диагностирования магистральных нефтепроводов и нефтепродуктопроводов, и устанавливает методы и средства их первичной и периодических поверок.
Интервал между поверками - 1 год.
2 ОПЕРАЦИИ ПОВЕРКИ-
2.1 При проведении первичной и периодической поверки должны выполняться операции, указанные в таблице 1.
Таблица 1 - Операции первичной и периодической поверок
|
Наименование операций |
Номер пункта методики |
Проведение операции при первичной поверке |
Проведение операции при периодической поверке |
|
Внешний осмотр |
8.1 |
да |
да |
|
Проверка идентификации программного обеспечения |
8.2 |
да |
да |
|
Опробование |
8.3 |
да |
да |
|
Определение (контроль) метрологических характеристик |
8.4 | ||
|
Определение диапазона и расчет абсолютной погрешности измерений координат дефекта (вдоль оси трубы) |
8.4.1 |
да |
да |
|
Определение диапазона и расчет относительной погрешности измерений толщины стенки трубопровода магнитным методом |
8.4.2 |
да |
да |
2.2 Поверку средств измерений осуществляют аккредитованные в установленном порядке в области обеспечения единства измерений юридические лица и индивидуальные предприниматели.
-
2.3 Поверка дефектоскопа прекращается в случае получения отрицательного результата при проведении хотя бы одной из операций, а дефектоскоп признают не прошедшим поверку.
-
3.1 Рекомендуемые средства поверки указаны в таблице 2.
Таблица 2 - Средства поверки
|
Номер пункта методики поверки |
Наименование средства измерений или вспомогательного оборудования, номер документа, регламентирующего технические требования к средству, разряд по государственной поверочной схеме и (или) метрологические и основные технические характеристики |
|
8.4.1 |
Штангенциркуль ШЦЦ-1 (далее - штангенциркуль) (per. № 52058-12). Диапазон измерений от 0 до 250 мм. Шаг дискретности цифрового отсчетного устройства 0,01 мм. Пределы допускаемой абсолютной погрешности измерений ± 0,04 мм |
|
8.4.2 |
Комплект мер моделей дефектов КМ0001 (per. №68765-17) Меры моделей дефектов: НО186-00.250- мера моделей дефектов - стенд |
|
(диапазон воспроизведения толщины стенки меры от 6,8 до 15,7 мм, абсолютная погрешность воспроизведения толщины стенки меры ± 0,3 мм); НО.300-00.010- мера моделей дефектов - стенд (диапазон воспроизведения толщины стенки меры от 5,8 до 16,0 мм, абсолютная погрешность воспроизведения толщины стенки меры ± 0,3 мм); ФВ 325-02 - мера моделей дефектов - фланцевая вставка, (диапазон воспроизведения толщины стенки меры от 4,9 до 18,3 мм, абсолютная погрешность воспроизведения толщины стенки меры ± 0,3 мм); ФВ 530-8.2-26 - мера моделей дефектов - фланцевая вставка, (диапазон воспроизведения толщины стенки меры от 10,4 до 18,1 мм, абсолютная погрешность воспроизведения толщины стенки меры ± 0,3 мм); НО 307 - 00.210- мера моделей дефектов - стенд (диапазон воспроизведения толщины стенки меры от 9,9 до 16,3 мм, абсолютная погрешность воспроизведения толщины стенки меры ± 0,3 мм); НО 309 - 00.210- мера моделей дефектов - стенд (диапазон воспроизведения толщины стенки меры от 10,2 до 27,4 мм, абсолютная погрешность воспроизведения толщины стенки меры ± 0,3 мм); ФВ 720-8.2-27 - мера моделей дефектов - фланцевая вставка, (диапазон воспроизведения толщины стенки меры от 9,8 до 25,5 мм, абсолютная погрешность воспроизведения толщины стенки меры ± 0,3 мм); ФВ 1220-8.2-44 - мера моделей дефектов - фланцевая вставка, (диапазон воспроизведения толщины стенки меры от 11,0 до 26,8 мм, абсолютная погрешность воспроизведения толщины стенки меры ± 0,3 мм). | |
|
8.4.2 |
Толщиномер ультразвуковой MG2-XT (далее - толщиномер) (per. № 46559-11) Диапазон измерений толщины от 0,5 до 300,0 мм, пределы допускаемой абсолютной погрешности измерения толщины ± 0,1 мм |
|
Вспомогательное оборудование | |
|
8.4.2 |
Полигон АО «Транснефть-Диаскан» |
|
ФА325-7 - фланцевая вставка, секция С325-220 - толщина стенки 6,0 мм, | |
|
ФВ 325-3 - фланцевая вставка, секция С325-190 - толщина стенки 14,0 мм. | |
|
НО.300-00.010 - стенд, секция НО.300-00.018 - толщина стенки 15,0 мм, | |
|
НО 309-00.210 - стенд, секция С1020-8 - толщина стенки 11,8 мм. | |
|
НО.331 -00.100 - стенд, секция С406-30 - толщина стенки 7,2 мм, секция С406-120- толщина стенки 15,2 мм. | |
|
Секция С720-256- толщина стенки 6,9 мм. | |
|
ФА 530-9.0-11 - фланцевая вставка, секция С530-462 - толщина стенки 6,0 мм, секция С530-432 - толщина стенки 15,3 мм. | |
|
ФА 720-12 - фланцевая вставка, секция С720-551 - толщина стенки 24,8 мм. | |
|
Н0.293-00.750- стенд, секция С820-4-толщина стенки 8,0 мм. | |
|
НО.361-02.000- стенд, секция НО.361-02.001-толщинастенки 8,7 мм. | |
|
НО.361-01.000- стенд, секция НО.361-01.001-толщина стенки 15,9 мм. | |
|
НО.361-00.000- стенд, секция НО.361-00.001- толщина стенки 25,8 мм. | |
|
ФВ 1067-8.2-01- фланцевая вставка, секция ТОООЗ- толщина стенки 11,0 мм. | |
|
Секция С1067-480- толщина стенки 17,0 мм. | |
|
Секция С1067-160- толщина стенки 25,0 мм. | |
|
ФВ 1220-8.2-44-фланцевая вставка, секция Р0144— толщина стенки 11,0 мм. | |
|
Секция С1220-632- толщина стенки 28,5 мм. |
-
3.2 Допускается применение аналогичных средств поверки, обеспечивающих определение метрологических характеристик поверяемых дефектоскопов с требуемой точностью.
-
3.3 Средства поверки должны быть поверены и (или) аттестованы в установленном порядке.
К проведению поверки допускаются лица:
- изучившие настоящую методику поверки и руководство по эксплуатации дефектоскопов;
прошедшие обучение на право проведения поверки по требуемому виду измерений.
5 ТРЕБОВАНИЯ БЕЗОПАСНОСТИ-
5.1 Работа с дефектоскопом и средствами поверки должна проводиться согласно требованиям безопасности, указанным в нормативно-технической и эксплуатационной документации на дефектоскоп и средства поверки.
-
5.2 При проведении поверки должны быть соблюдены требования безопасности согласно ГОСТ 12.3.019-80.
-
6.1 При проведении поверки должны соблюдаться следующие требования:
-
- температура окружающего воздуха, °C: 20 ± 5;
-
- относительная влажность воздуха, %, не более 80;
-
- атмосферное давление, кПа 100 ± 4.
Поверка по пунктам 8.5.5 - 8.5.6 методики поверки следует проводить при следующих климатических условиях:
-
- температура окружающего воздуха, °C: от - 10 до + 50;
-
- относительная влажность воздуха, %, не более 80;
-
- атмосферное давление, кПа; 100 ± 4.
-
7.1 Если дефектоскоп и средства поверки до начала измерений находились в климатических условиях, отличающихся от указанных в п. 6.1, то их выдерживают при этих условиях не менее часа, или времени, указанного в эксплуатационной документации.
-
7.2 Перед проведением поверки, средства поверки и дефектоскоп подготовить к работе в соответствии с руководством по эксплуатации средств поверки и руководством по эксплуатации дефектоскопов.
-
8 ПРОВЕДЕНИЕ ПОВЕРКИ
-
8.1.1 Внешним осмотром дефектоскопов должно быть установлено:
-
- наличие маркировки, подтверждающей тип и заводской номер;
-
- соответствие дефектоскопов требованиям эксплуатационной документации;
-
- отсутствие на наружных поверхностях дефектоскопов повреждений, влияющих на его работоспособность, и загрязнений, препятствующих проведению поверки.
-
8.1.2 Дефектоскоп считается прошедшим операцию поверки с положительным результатом, если дефектоскоп соответствует требованиям, приведенным в пункте 8.1.1
-
8.2.1 Подключить компьютер к дефектоскопу согласно РЭ.
-
8.2.2 Включить дефектоскоп согласно РЭ.
-
8.2.1 На компьютере загрузить программу «Программа терминала ВИП серии МСК.01» или «Терминал внутритрубного дефектоскопа универсальный», в соответствии с таблицей 3.1, с помощью соответствующего ярлыка.
-
8.2.2 В появившемся окне программы прочитать идентификационные данные ПО.
-
8.2.3 На компьютере загрузить программу «UniScan» с помощью соответствующего ярлыка.
-
8.2.4 В меню «Помощь» выбрать «О программе».
-
8.2.5 В отрывшемся окне прочитать название и номер версии ПО.
-
8.2.6 Дефектоскоп считается прошедшим операцию поверки с положительным результатом, если идентификационные данные ПО соответствуют значениям, приведенным
в таблице 3.1 и 3.2.
Таблица 3.1 - Идентификационные данные программного обеспечения
|
Идентификационные данные (признаки) |
Значение | |||||
|
Наименование дефектоскопа |
12- МСК.01- 00.000 |
14-МСК.01- 00.000 |
16-МСК.01- 00.000 |
20-МСК.02- 00.000 |
28-МСК.10- 00.000 |
32-МСК.10- 00.000 |
|
Идентификационное наименование ПО |
Терминал ВИГ |
серии МСК.01 |
Терминал внутритрубного дефектоскопа универсальный | |||
|
Номер версии (идентификационный номер) ПО |
22.0392.04 и выше |
22.0592.16 и выше | ||||
|
Цифровой идентификатор ПО |
- | |||||
Продолжение таблицы 3.1
|
Идентификационные данные (признаки) |
Значение | ||
|
Наименование дефектоскопа |
40-МСК.02-00.000 |
40-МСК. 10-00.000 |
48-МСК.02-00.000 |
|
Идентификационное наименование ПО |
Терминал внутритрубного дефектоскопа универсальный | ||
|
Номер версии (идентификационный номер) ПО |
22.0592.16 и выше | ||
|
Цифровой идентификатор ПО |
- | ||
|
Таблица 3.2 - Идентификационные данные программного обеспечения | |
|
Идентификационные данные (признаки) |
Значение |
|
Идентификационное наименование ПО |
UniScan |
|
Номер версии (идентификационный номер) ПО |
6.6.8261.1 и выше |
|
Цифровой идентификатор ПО |
- |
-
8.3.1 Включить дефектоскоп согласно РЭ.
-
8.3.2 Проверить возможность вывода на экран монитора всех предусмотренных экранных форм представления информации, а также их соответствие указанным в РЭ дефектоскопа.
-
8.3.3 Дефектоскоп считается прошедшим операцию поверки с положительным результатом, если на экране дефектоскопа выводятся все предусмотренные экранные формы представления информации.
8.4 Определение (контроль) метрологических характеристик
8.4.1 Определение диапазона и расчет абсолютной погрешности измерений координат дефекта (вдоль оси трубы)-
8.4.1.1 Определение диапазона измерения координат дефекта выполняется при помощи колеса одометра, входящего в состав дефектоскопа, координата дефекта (вдоль оси трубы) эквивалентна пройденному пути колесом одометра. Диаметр колеса предварительно измеряется штангенциркулем в десяти равноудаленных друг от друга точках окружности.
-
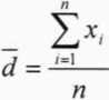
8.4.1.2 Вычислить среднее арифметическое диаметра колеса одометра по десяти измерениям:

(1)
где х, - i-й результат измерения, мм;
п - количество измерений.
-
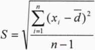
8.4.1.3 Вычислить среднее квадратическое отклонение (СКО) результата десяти измерений диаметра колеса одометра по формуле:


где х, - i-й результат измерения, мм;
d - среднее арифметическое значение результата измерения диаметра колеса одометра, мм;
п - количество измерений.
-
8.4.1.4 Проверить наличие грубых погрешностей и, при необходимости, исключить их. Для этого вычислить критерии Граббса Gj. G2:

(3)
где хтах— максимальное значение результата измерений диаметра колеса одометра, мм;
Хтт~ минимальное значение результата измерений диаметра колеса одометра,
мм.
Если Gi>2,482, то хтах, мм, исключают, как маловероятное значение, если С/2>2,482, то хтт, мм, исключают, как маловероятное значение (здесь критическое значение критерия Граббса при десяти измерениях GT = 2,482).
Если количество оставшихся результатов измерений диаметра колеса одометра стало меньше десяти повторить п. 8.4.1.1 - 8.4.1.4, чтобы количество измерений без грубых погрешностей оставалось равным десяти.
8.4.1.5 Вычислить СКО среднего арифметического диаметра колеса одометра по
формуле:

(4)
где S - СКО результата десяти измерений диаметра колеса одометра, мм;
п - количество измерений диаметра колеса одометра.
8.4.1.6 Вычислить доверительные границы е, мм, случайной погрешности оценки диаметра колеса одометра при Р=0,95:

(5)
где t = 2,262 - значение коэффициента Стьюдента для доверительной вероятности Р = 0,95 и числа результатов измерений равным десяти;
5- - СКО среднего арифметического диаметра колеса одометра, мм.
8.4.1.7 Рассчитать значение СКО неисключенной систематической погрешности (НСП) S&, мм, серии измерений диаметра колеса одометра по формуле:

(6)
где - абсолютная погрешность штангенциркуля, мм, указана в свидетельстве о поверке.
8.4.1.8 Вычислить суммарное среднее квадратическое отклонение оценки диаметра колеса одометра по формуле:

(7)
где S0- среднее квадратическое отклонение НСП серии измерений диаметра колеса одометра, мм;
5- - СКО среднего арифметического диаметра колеса одометра, мм.
8.4.1.9 Рассчитать значение абсолютной погрешности Д, мм, серии измерений диаметра колеса одометра по формуле:
A-*sz, (8)
где К - коэффициент, зависящий от соотношения случайной составляющей погрешности и НСП, который рассчитывается по формуле:
к= g+Al ,
(9)
где е - доверительные границы случайной погрешности оценки диаметра колеса одометра, мм;
Д£ - абсолютная погрешность штангенциркуля, мм;
S- - СКО среднего арифметического диаметра колеса одометра, мм;
SQ- среднее квадратическое отклонение НСП серии измерений диаметра
одометра, мм.
-
8.4.1.10 Рассчитать длину окружности 1окр, мм, по формуле:
^окр ~ Я ’ d 9
где d - среднее арифметическое значение результата измерений диаметра одометра, мм.
-
8.4.1.11 На подключенном к дефектоскопу компьютере запустите
колеса
(Ю)
колеса
программу
«Терминал ВИП серии МСК.01» или «Терминал внутритрубного дефектоскопа универсальный» согласно таблице 3.1. Откройте вкладки «Нефтепровод», «Дефектоскоп», «Параметры пропуска» и проверьте правильность значений внесенных диаметров колес одометров, при необходимости произведите корректировку, согласно измеренным значениям в пункте 8.4.1.2. Откройте вкладку «Циклический тест» (рисунок 1).
Рисунок 1 - Показание значений пройденной дистанции
-
8.4.1.12 В открывшемся окне в области «Одометры» прочитайте текущее показание пройденной дистанции.
-
8.4.1.13 В качестве нижней границы диапазона измерений координат дефекта принимается значение длины окружности колеса одометра, которое соответствует одному полному обороту колеса одометра. Для этого соединить риску, нанесенную на колесе с риской, нанесенной на держателе диаметра колеса одометра. И совершить один полный оборот до момента, когда риски снова сойдутся на одном уровне. Зафиксировать полученное значение 1окрпк, мм.
-
8.4.1.14 Повторить измерения согласно п.п. 8.4.1.12 - 8.4.1.13 для количества оборотов (л\) 2, 3, 4, 5, 10, 20, и т.д. до количества оборотов указанных в таблице 4.
Таблица 4 - Количество оборотов для контроля верхней границы диапазона измерения координат дефекта (вдоль оси трубы)
|
Обозначение дефектоскопов |
Типоразмеры дефектоскопов |
Количество оборотов (nK) для контроля верхней границы диапазона измерения координат дефекта (вдоль оси трубы) | |
|
мм |
дюйм | ||
|
12-МСК.01-00.000 |
325,0 |
12 |
63 |
|
323,8 |
12 API | ||
|
14-МСК.01-00.000 |
377,0 |
14 | |
|
355,6 |
14 API | ||
|
16-МСК.01-00.000 |
426,0 |
16 | |
|
406,4 |
16 API | ||
|
20-МСК.02-00.000 |
530,0 |
20 | |
|
508,0 |
20 API | ||
|
28-МСК. 10-00.000 |
711,2 |
28 API | |
|
720,0 |
28 | ||
|
762,0 |
30 API | ||
|
32-МСК. 10-00.000 |
812,8 |
32 API | |
|
820,0 |
32 | ||
|
863,6 |
34 API | ||
|
40-МСК.02-00.000 |
1020,0 |
40 | |
|
1016,0 |
40 API | ||
|
1067,0 |
42 API | ||
|
40-МСК. 10-00.000 |
1020,0 |
40 | |
|
1016,0 |
40 API | ||
|
1067,0 |
42 API | ||
|
48-МСК.02-00.000 |
1220,0 |
48 |
42 |
|
1219,3 |
48 API | ||
И рассчитать отклонение от номинального значения Д/„к, мм, для каждого измерения по формуле:
-
8.4.1.15 Рассчитать допускаемую абсолютную погрешность измерения координат дефекта (вдоль оси трубы) Д/Лк мм, для каждого измерения по формуле:
(12)
-
8.4.1.16 Провести измерения по пунктам 8.3.1.11-8.3.1.15 еще 2 раза, и выбрать максимальное из трех значение абсолютной погрешности измерения координат дефекта (вдоль оси трубы).
-
8.4.1.17 Повторить пункты 8.4.1.1 - 8.4.1.15 для всех колес одометров, входящих в комплект поставки дефектоскопа.
-
8.4.1.18 Дефектоскоп считается прошедшими операцию поверки с положительным результатом, если результаты измерений соответствуют таблице 5.
Таблица 5 -
|
Обозначение модификации |
Типоразмер (диаметр) |
Наименование характеристики | |
|
мм |
дюйм | ||
|
Диапазон измерений координат дефекта (вдоль оси трубы), мм | |||
|
12-МСК.01- |
325,0 |
12 | |
|
00.000 |
323,8 |
12 API | |
|
14-МСК.01- |
377,0 |
14 | |
|
00.000 |
355,6 |
14 API | |
|
16-МСК.01- |
426,0 |
16 | |
|
00.000 |
406,4 |
16 API | |
|
20-МСК.02- |
530,0 |
20 | |
|
00.000 |
508,0 |
20 API | |
|
28-МСК.10- 00.000 |
711,2 |
28 API | |
|
720,0 |
28 |
от 278 до 18000 | |
|
762,0 |
30 API | ||
|
32-МСК.10- 00.000 |
812,8 |
32 API | |
|
820,0 |
32 | ||
|
863,6 |
34 API | ||
|
40-МСК.02- 00.000 |
1020,0 |
40 | |
|
1016,0 |
40 API | ||
|
1067,0 |
42 API | ||
|
40-МСК.10- 00.000 |
1020,0 |
40 | |
|
1016,0 |
40 API | ||
|
1067,0 |
42 API | ||
|
48-МСК.02- |
1220,0 |
48 |
от 418 до 18000 |
|
00.000 |
1219,3 |
48 API | |
Пределы допускаемой абсолютной погрешности измерений координат дефекта (вдоль оси трубы), мм
± (34+0,0083-L),
где L - измеренная координата дефекта (вдоль оси трубы), мм
8.4.2 Определение диапазона и расчет относительной погрешности измерений толщины стенки трубопровода магнитным методом-
8.4.2.1 Для определения диапазона и расчета относительной погрешности измерений толщины стенки трубопровода магнитным методом необходимо установить меру из комплекта мер моделей дефектов КМ0001 или стенд, или фланцевую вставку из состава полигона АО «Транснефть-Диаскан» на полигоне АО «Транснефть-Диаскан» в соответствии с приложением А.
-
8.4.2.2 При использовании стенда или фланцевой вставки из состава полигона АО «Транснефть-Диаскан» произвести измерение толщины стенки секций, указанных в приложении А с помощью толщиномера, согласно его РЭ.
-
8.4.2.3 Измерения повторить по 5 раз в 5 произвольных точках секции. При наличии защитного покрытия с помощью наждачной бумаги или других аналогичных средств, произвести зачистку точек перед проведением измерений толщины стенки трубы толщиномером.
-
8.4.2.4 Вычислить среднее арифметическое толщины стенки стенда или фланцевой вставки во всех измеренных точках:
п
(13) п
где х, - i-й результат измерения, мм;
п - количество измерений.
-
8.4.2.5 Все работы по установке меры из комплекта мер моделей дефектов КМ0001 или стенда или фланцевой вставки на полигоне АО «Транснефть-Диаскан», запасовке, запуску, сопровождению, приему, извлечению и обслуживанию дефектоскопа производятся сотрудниками АО «Транснефть-Диаскан» согласно должностным инструкциям и руководящим документам по выполняемым видам работ.
-
8.4.2.6 Три раз провести измерения толщины стенки секции при помощи дефектоскопа.
-
8.4.2.7 Обработку результатов измерений производить в программе «UniScan».
-
8.4.2.8 Запустить программу «UniScan».
-
8.4.2.9 В программе «UniScan» открыть данные, полученный при прогоне дефектоскопа по полигону. Для этого необходимо в пункте «Файл» главного меню выбрать пункт «Открыть основной прогон по коду».

* «U1402472200«0 [М.7И611
■ Azw»". «м f ».■ «м wmw щ ■ ( Гор»... ищем. Ох Схо
8.4.2.10 Для установки маркеров «сварных швов» необходимо включить режим редактирования «сварных швов» (Рисунок 3).
Рисунок 3 - Маркеры «сварных швов»
8.4.2.11 Расставить маркеры «сварных швов» или использовать ранее установленные, согласно рисунку 4.
Рисунок 4 - Расстановка маркеров «сварных швов»
8.4.2.12 Подключить xml-файл с входными параметрами расчета, согласно рисунку 5.
Р«. Фмл»тр«цде Горяч ж смей им Имитация Скис
Рисунок 5 - Меню для подключения файла с входными параметрами расчета
Рисунок 6 - Путь к файлу с входными параметрами расчета
8.4.2.14 Расчет толщины стенки трубы выполняется утилитой «Расчет толщины стенки трубы». Вызов данной утилиты производится из пункта «Сервис» главного меню, пункт «Расчет стенки трубы» (рисунок 7).
*♦ 'Зееиное небо" ✓ Маркер синхронизации
Параметр.
О Шка-ч дистанция/врема
S5 Снимо крана
.'i Сииисс эграна - текст
.Jfc Тип ц»аае дистанции
+ Центровал даням •
Ц "ропорцисндмное увеличение внбраннсА обмети данных
• Сброс мдештабиреевниа
Tj, Расчет стенки трубы
Пос’сригель курсора
В/ч'чрчи’ь навигацию
Включить навьиацию из Еьрес2
Веду шим UniScan
Зывсд подсказки
Сгмирениуаци» с оеыеиижнеио прогона
(Открыть диалог расчета стенки трубы для" раскладки труб
Конвертер дэннма ручны дефектоскопов ФАР
Рисунок 7 - Расчет толщины стенки меры
8.4.2.15 В открывшемся окне нажать кнопку «Рассчитать» (Рисунок 8).
Рисунок 8 - Окно для расчета толщины стенки меры
8.4.2.16 После расчета зайти в редактор шва двойным нажатием на маркер шва (Рисунок 9).
Рисунок 9 - Просмотр значений толщины стенки меры
8.4.2.17 При наведении курсора мыши на маркер шва появляется подсказка, в которой выводится значение средней толщины стенки.
Рисунок 10 - Средняя толщина трубной секции.
-
8.4.2.18 На основании данных, полученных в результате выполнения п.п. 8.4.2.1 -8.4.2.17 записать в протокол (Приложение А) результаты измерений толщины Н„ мм, стенки секции меры.
-
8.4.2.19 Рассчитать среднее арифметическое значение результатов измерений Н , мм,
м по формуле (1).
-
8.4.2.20 Рассчитать относительную погрешность измерений толщины стенки трубопровода магнитным методом 5, %, по формуле:
§ = Мдейств. М 400’
LJ
п Мдейств.
где И - среднее арифметическое значение измеренной толщины стенда или м
фланцевой вставки, мм;
Нмдеиств - действительное значение толщины стенки секции меры, взятое из свидетельства о поверке или толщины стенки стенда или фланцевой вставки измеренное в пунктах 8.4.2.2 - 8.4.2.4, мм.
-
8.4.2.21 Повторить пункты 8.4.2.1 - 8.4.2.20 методики поверки для всех секций меры, указанных в приложении А для данного дефектоскопа.
-
8.4.2.22 Дефектоскоп считается прошедшими операцию поверки с положительным результатом, если результаты измерений соответствуют таблице 6:
Таблица 6 - Метрологические характеристики
|
Обозначение модификации |
Типоразмер (диаметр) |
Наименование характеристики | |
|
мм |
дюйм | ||
|
Диапазон измерений толщины стенки трубопровода магнитным методом, мм | |||
|
12-МСК.01-00.000 |
325,0 |
12 |
от 6 до 14 |
|
323,8 |
12 API | ||
|
14-МСК.01-00.000 |
377,0 |
14 |
от 7 до 14 |
|
355,6 |
14 API | ||
|
16-МСК.01-00.000 |
426,0 |
16 |
от 5 до 15 |
|
406,4 |
16 API | ||
|
20-МСК.02-00.000 |
530,0 |
20 |
от 6 до 16 |
|
508,0 |
20 API | ||
|
28-МСК. 10-00.000 |
711,2 |
28 API |
от 6 до 24 |
|
720,0 |
28 | ||
|
762,0 |
30 API | ||
|
32-МСК. 10-00.000 |
812,8 |
32 API |
от 8 до 16 |
|
820,0 |
32 | ||
|
863,6 |
34 API | ||
|
40-МСК.02-00.000 |
1020,0 |
40 |
от 11 до 26 |
|
1016,0 |
40 API | ||
|
1067,0 |
42 API | ||
|
40-МСК. 10-00.000 |
1020,0 |
40 |
от 11 до 26 |
|
1016,0 |
40 API | ||
|
1067,0 |
42 API | ||
|
48-МСК.02-00.000 |
1220,0 |
48 |
от 11 до 29 |
|
1219,3 |
48 API | ||
|
Пределы допускаемой относительной погрешности измерения толщины стенки трубопровода магнитным методом, % |
±30 | ||
-
9.1 Результаты поверки заносят в протокол поверки. Рекомендуемая форма протокола поверки приведена в приложении Б к методике поверки.
-
9.2 Дефектоскопы, прошедшие поверку с положительным результатом, признаются годными и допускаются к применению. На них выдается свидетельство о поверке установленной формы и наносят знак поверки согласно Приказу Министерства промышленности и торговли Российской Федерации №1815 от 02.07.2015 «Об утверждении Порядка проведения поверки средств измерений, требования к знаку поверки и содержанию свидетельства о поверке».
-
9.3 Отрицательные результаты поверки оформляются путем выдачи извещения о непригодности средства измерения к дальнейшей эксплуатации в установленной форме в соответствии с приказом Министерства промышленности и торговли Российской Федерации №1815 от 02.07.2015 «Об утверждении Порядка проведения поверки средств измерений, требования к знаку поверки и содержанию свидетельства о поверке», с указанием причин непригодности.
Разработчики:
Начальник отдела Д-4 ФГУП «ВНИИОФИ»
Начальник отдела Д-2 ФГУП «ВНИИОФИ»
Инженер 2-ой категории отдела Д-4
ФГУП «ВНИИОФИ»

(рекомендуемое)
Обозначение используемых для поверки дефектоскопов стендов и фланцевых вставок
Таблица А.1 - Обозначение используемых стендов и фланцевых вставок
|
дефектоскопы |
комплект мер КМ0001, стенды, фланцевые вставки | ||||||||||||
|
11аименованис |
типоразмер |
толщи |
11 ределы доп. отн. погр-ти.% |
наименование |
толщина. |
наименование |
толщина. |
наименование |
толщина, мм | ||||
|
мм |
дюйм |
на стенк и, мм |
вставки |
секции |
мм |
вставки |
секции |
мм |
вставки |
секции | |||
|
начало диапазона |
середина диапазона |
конец диапазона | |||||||||||
|
I2-MCK.01- 00.000 |
325 |
12 |
от 6 до 14 |
±30 |
ФА325-7 |
С325-22О |
6 |
ФВ 325-02 |
110.293- 00.505 |
7,8 ± 0.3 |
ФА325-3 |
С325-190 |
14 |
|
323.8 |
12 API | ||||||||||||
|
14-МСК.01- 00.000 |
377 |
14 |
от 7 до 14 |
±30 |
НО 186- 00.250 |
21 |
6,8 ± 0.3 |
НО 186- 00.250 |
36 |
8.8 ± 0,3 |
110186- 00.250 |
80 |
14,3 ±0,3 |
|
355.6 |
14 API | ||||||||||||
|
I6-MCK.0I- 00.000 |
426 |
16 |
от 5 до 15 |
±30 |
НО.ЗОО- 00.010 |
НО.ЗОО- 00.016 |
5,8 ± 0,3 |
110.300- 00.010 |
НО.ЗОО- 00.017 |
10,0 ±0.3 |
НО.ЗОО- 00.010 |
110.300- 00.018 |
15 |
|
406.4 |
16 API |
110.331- 00.100 |
С406-30 |
7,2 |
НО.331- 00.100 |
C406-I20 |
15,2 | ||||||
|
20-МСК.02- 00.000 |
530 |
20 |
от 6 ДО 16 |
±30 |
ФА53О- 9.0-11 |
С530-462 |
6 |
ФВ530- 8.2-26 |
Р0134 |
10,4 ±0,3 |
ФА530- 9.0-11 |
С530-432 |
15,3 |
|
508 |
20 API | ||||||||||||
|
28-MCK.I0- 00.000 |
711,2 |
28 API |
от 6 до 24 |
±30 |
С720-256 |
6,9 |
ФВ 720- 8.2-27 |
P014I |
9.9 ± 0,3 |
ФА 720- 12 |
С72О-551 |
24,8 | |
|
720 |
28 | ||||||||||||
|
762 |
30 API | ||||||||||||
|
32-МСК.10- 00.000 |
812,8 |
32 API |
от 8 до 26 |
±30 |
НО.293- 00.750 |
С820-4 |
8 |
110307- 00.210 |
110307- 00.037 |
9,9 |
НО307- 00.210 |
НО307- 00.031 |
16.3 ±0,3 |
|
820 |
32 | ||||||||||||
|
863,6 |
34 API |
110.361- 02.000 |
110.361- 02.001 |
8,7 |
HO.36I- 01.000 |
110.361- 01.001 |
15,9 |
HO.36I- 00.0(H) |
110.361- 00.001 |
25,8 | |||
|
40-МСК.02- 00.000 |
1020 |
40 |
от 11 до 26 |
±30 |
НО 309- 00.210 |
С1020-8 |
11,8 |
НО 309- 00.210 |
С1020-3 |
27,2 ± 0,3 | |||
|
1016 |
40 API | ||||||||||||
|
1067 |
42 API |
ФВ1067- 8.2-01 |
ТОООЗ |
11 |
С1067- 480 |
17 |
С1067- 160 |
25 | |||||
|
40-МСК. 10- |
1020 |
40 |
от 11 до 26 |
х 1л |
110 309- 00.210 |
С1020-8 |
11,8 |
НО 309- 00.210 |
С1020-3 |
27,2 ± 0,3 | |||
|
1016 |
40 API | ||||||||||||
|
00.000 |
1067 |
42 API |
ФВ1067- 8.2-01 |
ТОООЗ |
II |
С1067- 480 |
17 |
С1067- 160 |
25 | ||||
|
48-МСК.02- |
1220 |
48 |
от 11 до 29 |
±30 |
ФВ1220- 8.2-44 |
P0I44 |
11 |
ФВ1220- 8.2-44 |
Р0142 |
17,3 ±0,3 |
С1220- 632 |
28,5 | |
|
00.000 |
1219,3 |
48 API | |||||||||||
(рекомендуемое) Форма протокола поверки
ПРОТОКОЛ первичной/периодической поверки № от «___»__________20__годаСредство измерений:
Серия и номер клейма предыдущей поверки:. Заводской номер:.
Принадлежащее:.
Поверено в соответствии с методикой поверки:. При следующих значениях влияющих факторов: Температура окружающей среды ;
Атмосферное давление Относительная влажность
С применением эталонов:.
Результаты поверки:
-
1 Внешний осмотр.
-
2 Опробование.
-
3 Результаты определения
Метрологические характеристики
Номинальная величина / погрешность
Измеренное значение
Заключение:
Средство измерений признать пригодным (или непригодным) для применения
Поверитель:
//
Подпись
ФИО
