Методика поверки «Приборы оптические координатно-измерительные бесконтактные Creaform Go!SCAN SPARK» (ΜΠ ΑΠΜ 45-19)
УТВЕРЖДАЮ
Генеральный директор ООО «Автопрогресс-М»

____А. С. Никитин
«02» октября 2019 г.
Приборы оптические координатно-измерительные бесконтактные Creaform GoJSCAN SPARK™
МЕТОДИКА ПОВЕРКИ МП АПМ 45-19г. Москва, 2019 г.
1 Методика поверки
Настоящая методика поверки распространяется на приборы оптические координатноизмерительные бесконтактные Creaform Go!SCAN SPARK™, производства «Creaform Inc.», Канада (далее - приборы) и устанавливает методику их первичной и периодической поверки.
Интервал между поверками - 1 год.
2 Операции поверки
При проведении поверки должны выполняться операции, указанные в таблице 1. Таблица 1.
№№ пункта |
Наименование операции |
Проведение операций при | |
первичной поверке |
периодической поверке | ||
8.1. |
Внешний осмотр |
Да |
Да |
8.2. |
Опробование |
Да |
Да |
8.3. |
Определение абсолютной погрешности измерений геометрических размеров объектов |
Да |
Да |
8.4. |
Определение абсолютной погрешности измерений геометрических размеров объектов приборами при проведении комбинированных измерений совместно с прибором оптическим координатно-измерительным фотограмметрическим MaxSHOT Next™ | Elite (далее - устройство MaxSHOT) |
Да* |
Да* |
* - на основании письменного заявления владельца СИ и предоставлении устройства MaxSHOT Next™ | Elite
3 Средства поверки
При проведении поверки должны применяться эталоны и вспомогательные средства поверки, приведённые в таблице 2.
Таблица 2.
№ пункта документа по поверке |
Наименование эталонов, вспомогательных средств поверки и их основные метрологические и технические характеристики |
8.1. 8.2. |
Эталоны не применяются |
8.3.- 8.4. |
Система лазерная измерительная Renishaw XL-80 (per. № 35362-13) |
Допускается применение аналогичных средств поверки, обеспечивающих определение метрологических характеристик поверяемых СИ с требуемой точностью.
4 Требования к квалификации поверителей
К проведению поверки допускаются лица, изучившие эксплуатационную документацию на приборы и средства поверки, и аттестованные в качестве поверителя средств измерений в установленном порядке.
5 Требования безопасности
При проведении поверки, меры безопасности должны соответствовать требованиям по технике безопасности согласно эксплуатационной документации на приборы, поверочное оборудование, правилам по технике безопасности, которые действуют на месте проведения поверки.
6 Условия проведения поверки
При проведении поверки должны соблюдаться следующие условия измерений:
-
- температура окружающей среды. °C от +5 до +40
-
- относительная влажность воздуха. % от 10 до 90
7 Подготовка к поверке
Перед проведением поверки должны быть выполнены следхтощие подготовительные работы:
-
- проверить наличие действлтощих свидетельств о поверке на средства поверки и устройство MaxSHOT Next™ Elite (далее - устройство MaxSHOT) (при проведении измерений совместно с данным устройством):
-
- прибор и средства поверки привести в рабочее состояние в соответствии с их эксплуатационной документацией.
-
8 Проведение поверки
8.1 Внешний осмотр
При внешнем осмотре должно быть установлено соответствие прибора следующим требованиям:
-
- отсутствие механических повреждений и других дефектов, влияющих на эксплуатационные и метрологические характеристики:
-
- наличие маркировки и комплектность согласно требованиям эксплуатационной документации.
Если хотя бы одно из перечисленных требований не выполняется, прибор признают непригодным к применению, дальнейшие операции поверки не производят.
8.2 Опробование
8.2.1 При опробовании должно быть установлено соответствие прибора следующим требованиям:
-
- отсутствие качки и смещений неподвижно соединённых деталей и элементов:
-
- правильность взаимодействия с комплектом принадлежностей:
-
- работоспособность всех функциональных режимов и узлов.
-
8.2.2 Для идентификационных данных программного обеспечения (далее - ПО) следует запустить ПО. в главном меню нажать кнопку «Help». Версия программного обеспечения отобразиться на экране. Данные, полл'ченные по результатам идентификации ПО. должны соответствовать таблице 3.
Таблица 3
Идентификационное данные (признаки) |
Значение |
Идентификационное наименование ПО |
VXelements |
Номер версии (идентификационный номер ПО), не ниже |
7.0.1 |
Цифровой идентификатор ПО |
18е1е982 |
Алгоритм вычисления цифрового идентификатора ПО |
CRC32 |
Если хотя бы одно из перечисленных требований не выполняется, прибор признают непригодным к применению, дальнейшие операции поверки не производят.
8.3 Определение абсолютной погрешности измерений геометрических размеров объектов
Для определение абсолютной погрешности измерений геометрических размеров объектов используют компаратор. В качестве компаратора может быть использована любая линейная направляющая (например: геодезический компаратор для поверки рулеток измерительных), позволяющая реализовать прямолинейной перемещение сканируемого объекта в диапазоне измерений приборов. Измерения проводить в следующей последовательности:
- привести компаратор в рабочее состояние, установить систему лазерную измерительную вдоль оси компаратора. Установить необходимые для работы компоненты системы и привести её в рабочее состояние согласно руководству по эксплуатации на систему лазерную измерительную:
-
- установить на каретку ретро-рефлектор (отражатель) из комплекта системы лазерной измерительной;
-
- установить на каретку марку-сферу диаметром не менее 20 мм;
-
- нанести светоотражающие метки (пример данных меток приведен на рисунке 1 в Приложении А к настоящей методике поверки) на компаратор вдоль оси перемещения каретки согласно эксплуатационной документации на прибор;
-
- включить прибор и дать ему прогреться 5-10 минут;
-
- провести калибровку прибора по входящей в комплект калибровочной пластине согласно эксплуатационной документации;
-
- установить каретку в нулевое положение;
-
- обнулить показания системы лазерной измерительной;
-
- переместить каретку на расстояние, соответствующее началу диапазона измерений, провести сканирование установленной на каретку марки-сферы;
-
- провести измерение системой лазерной измерительной, занести значение в протокол;
-
- переместить каретку на расстояние, близкое к середине диапазона измерений, провести сканирование установленной на каретку марки-сферы;
-
- провести измерение системой лазерной измерительной, занести значение в протокол;
-
- переместить каретку на расстояние, близкое к концу диапазона измерений, провести сканирование установленной на каретку марки-сферы;
-
- провести измерение системой лазерной измерительной, занести значение в протокол;
-
- сохранить данные, полученные при сканировании;
-
- обработать данные, полученные при сканировании;
-
- локализовать через ПО точки облака, относящиеся к отсканированной марке-сфере.
-
- провести построение поверхности сферы и её геометрического центра в каждой точке сканирования;
-
- произвести вычисление расстояния между нулевым положением геометрического центра марки-сферы и каждым последующим его положением Sy;
-
- произвести вычисление расстояния между нулевым положением геометрического центра отражателя и каждым последующим его положением So;
-
- повторить вышеописанные операции по сканированию объекта не менее 3 раз (приёмов);
-
- определить абсолютную погрешность измерений для каждого измерения.
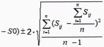
Абсолютная погрешность измерений вычисляется как сумма систематической и случайной погрешности и определяется по формуле:
2Л
AS = (-±1— и

где AS - абсолютная погрешность измерений, мм;
So- эталонное (действительное) значение, мм;
S . - измеренное значение j-oro измерения i-м приёмом, мм;
и - число приёмов измерений j-oro.
Значение абсолютной погрешности не должны превышать значений, указанных в Приложении Б к настоящей методике поверки.
Если требование данного пункта не выполняется, прибор признают непригодным к применению, дальнейшие операции поверки не производят.
8.4 Определение абсолютной погрешности измерений геометрических размеров объектов приборами при проведении комбинированных измерений совместно с устройством MaxSHOT Next™ | Elite
Для определение абсолютной погрешности измерений геометрических размеров объектов используют компаратор. В качестве компаратора может быть использована любая линейная направляющая (например: геодезический компаратор для поверки рулеток измерительных), позволяющая реализовать прямолинейной перемещение сканируемого объекта в диапазоне измерений приборов. Измерения проводить в следующей последовательности:
-
- привести компаратор в рабочее состояние, установить систему лазерную измерительную вдоль оси компаратора. Установить необходимые для работы компоненты системы и привести её в рабочее состояние согласно руководству по эксплуатации на систему лазерную измерительную:
-
- установить на каретку ретро-рефлектор (отражатель) из комплекта системы лазерной измерительной;
-
- установить на каретку марку-сферу диаметром не менее 20 мм:
-
- установить каретку в нулевое положение:
-
- нанести светоотражающие метки на компаратор вдоль оси перемещения каретки согласно эксплуатационной документации на прибор:
-
- включить устройство MAXSHOT и дать ему прогреться 5-10 минут:
-
- провести калибровку устройства MAXSHOT по входящей в комплект калибровочной пластине согласно эксплуатационной документации на устройство MAXSHOT;
-
- выполнить сканирование светоотражающих меток, нанесённых вдоль оси перемещения каретки согласно эксплуатационной документации на устройство;
-
- сохранить данные, полученные при сканировании:
-
- обработать данные, полученные при сканировании: провести построение базовой модели позиционирования:
-
- с помощью программного обеспечения загрузить полученную информацию в проект проведения измерений, для использования в качестве основной системы позиционирования:
-
- включить поверяемый прибор и дать ему прогреться 5-10 минут;
-
- провести калибровку прибора по входящей в комплект калибровочной пластине согласно эксплуатационной документации;
-
- выполнить сканирование каретки с установленной маркой-сферой:
-
- переместить каретку на расстояние, соответствующее началу диапазона измерений, провести сканирование каретки:
-
- переместить каретку на расстояние, близкое к середине диапазона измерений, провести сканирование каретки:
-
- переместить каретку на расстояние, близкое к концу диапазона измерений, провести сканирование каретки:
-
- сохранить данные, полученные при сканировании;
-
- обработать данные, полученные при сканировании:
-
- локализовать через ПО точки облака, относящиеся к отсканированной марке-сфере.
-
- провести построение поверхности сферы и её геометрического центра в каждой точке сканирования;
-
- произвести вычисление расстояния между нулевым положением геометрического центра марки-сферы и каждым последующим его положением Sij;
-
- повторить вышеописанные операции по сканированию объекта не менее 3 раз (приёмов):
-
- определить абсолютную погрешность измерений для каждого измерения.
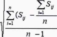
Абсолютная погрешность измерений вычисляется как сумма систематической и случайной погрешности и определяется по формуле:
5Л
г-1
п
-S0)±2‘

где AS - абсолютная погрешность измерений, мм;
So- эталонное (действительное) значение, мм;
S - измеренное значение j-oro измерения i-м приёмом, мм;
w - число приёмов измерений j-oro.
Значение абсолютной погрешности не должны превышать значений, указанных в Приложении Б к настоящей методике поверки.
Если требование данного пункта не выполняется, прибор признают непригодным к применению, дальнейшие операции поверки не производят.
Допускается не проводить поверку данного режима измерений при отсутствии письменного заявления владельца СИ, а также не предоставлении им для проведения поверки устройства MAXSHOT. При этом в свидетельстве о поверке обязательно должен быть указан объём проведённой поверки.
9 Оформление результатов поверки
-
9.1. Результаты поверки оформляются протоколом, составленным в виде сводной таблицы результатов поверки по каждому пункту раздела 8 настоящей методики поверки.
-
9.2. При положительных результатах поверки прибор признают годным к применению и на него выдаётся свидетельство о поверке установленной формы. Знак поверки наносится на свидетельство о поверке в виде наклейки и / или поверительного клейма.
-
9.3. При отрицательных результатах поверки прибор признают непригодным к применению и на него выдаётся извещение о непригодности установленной формы с указанием основных причин.
К.А. Ревин
Руководитель отдела ООО «Автопрогресс-М»
ПРИЛОЖЕНИЕ А
(обязательное)
Светоотражающие метки
ОООООЭОООО ООООО ООООО ОООООООООО ООООО ООООО ОООООООООО ООООО ООООО ОООООООООО ООООО ООООО ОООООООООО ООООО ООООО ОООООООООО ООООО ООООО ОООООООООО ОООООООООО 30000 ООООО ОООООООООО
Рисунок А.1 - Светоотражающие не кодированные метки.
ПРИЛОЖЕНИЕ Б(обязательное)
Метрологические характеристикиТаблица Б.1 - Метрологические характеристики приборов
Наименование характеристики |
Значение |
Диапазон измерений геометрических размеров объектов, мм |
от 100 до 4000 |
Диапазон измерений геометрических размеров объектов совместно с устройством MaxSHOT. мм |
от 100 до 10000 |
Пределы допускаемой абсолютной погрешности (при доверительной вероятности 0.95) измерений геометрических размеров объектов, мм |
±(0.050+0.150-L) где L - длина объекта в метрах |
Пределы допускаемой абсолютной погрешности (при доверительной вероятности 0.95) измерений геометрических размеров объектов при проведении комбинированных измерений совместно с устройством MaxSHOT Next™ | Elite, мм |
±(0.050+0.015 L) где L - длина объекта в метрах |
8