Методика поверки «Аппаратура геодезическая спутниковая Trimble R10-2 » (МП АПМ 40-19 )
УТВЕРЖДАЮ
Генеральный директор «Автопрогресс-М»

А.С. Никитин
«08$ августа 2019 г.
Аппаратура геодезическая спутниковая Trimble R10-2
МЕТОДИКА ПОВЕРКИ МП АПМ 40-19г. Москва, 2019 г.
Настоящая методика поверки распространяется на аппаратуру геодезическую спутниковую Trimble R10-2, производства «Trimble Inc.», США, (далее - аппаратуру) и устанавливает методику ее первичной и периодической поверки.
Интервал между поверками - 1 год.
1 Операции поверки
При проведении поверки должны выполняться операции, указанные в таблице 1.
Таблица 1 - Операции поверки
Наименование операции |
№ пункта документа по поверке |
Проведение операций при | |
первичной поверке |
периодической поверке | ||
Внешний осмотр |
7.1 |
Да |
Да |
Опробование |
7.2 |
Да |
Да |
Определение метрологических характеристик |
7.3 | ||
Определение абсолютной погрешности и средней квадратической погрешности измерений длины базиса в режимах «Статика», «Быстрая статика» |
7.3.1 |
Да |
Да |
Определение абсолютной погрешности и средней квадратической погрешности измерений длины базиса в режимах «Кинематика», «Кинематика в реальном времени (RTK)» |
7.3.2 |
Да |
Да* |
Определение абсолютной и средней квадратической погрешностей измерений длины базиса в режиме «Кинематика в реальном времени (RTK, Trimble xFill)» |
7.3.3 |
Да |
Да* |
Определение абсолютной и средней квадратической погрешностей измерений длины базиса в режимах «Trimble CenterPoint RTX», «Trimble CenterPoint RTX-РР» |
7.3.4 |
Да |
Да* |
Определение абсолютной погрешности и средней квадратической погрешности измерений в режиме «Дифференциальные кодовые измерения dGNSS)» |
7.3.5 |
Да |
Да* |
Определение абсолютной и средней квадратической погрешностей определения координат в режиме «Навигационный» |
7.3.6 |
Да |
Да* |
* - на основании письменного заявления владельца СИ |
2 Средства поверки
При проведении поверки должны применяться эталоны и вспомогательные средства поверки, приведенные в таблице 2.
Таблица 2 - Средства поверки
№ пункта документа по поверке |
Наименование эталонов, вспомогательных средств поверки и их основные метрологические и технические характеристики |
7.1 |
Эталоны не применяются |
7.2 | |
7.3.1 |
Фазовый светодальномер (тахеометр) или эталонный базисный комплекс 2 разряда в соответствии с Государственной поверочной схемой для координатно-временных средств измерений, утверждённой Приказом Росстандарта от 29.12.2018 г. №2831 Рулетка измерительная металлическая UM3M (per. № 67910-17) |
7.3.2 | |
7.3.3 | |
7.3.4 | |
7.3.5 | |
7.3.6 |
Имитатор сигналов СН-3803М, Госреестр № 54309-13, пределы |
№ пункта документа по поверке |
Наименование эталонов, вспомогательных средств поверки и их основные метрологические и технические характеристики |
среднего квадратического отклонения случайной составляющей основной погрешности формирования беззапросной дальности до спутников глобальных навигационных систем ГЛОНАСС и GPS:
или рабочий эталон координат местоположения, предел допускаемой погрешности хранения абсолютных координат не более 0,02 м |
Допускается применять другие средства поверки, обеспечивающие определение метрологических характеристик с точностью, удовлетворяющей требованиям настоящей методики поверки.
3 Требования к квалификации поверителей
К проведению поверки допускаются лица, изучившие эксплуатационную документацию на приборы и средства поверки, и аттестованные в качестве поверителя средств измерений в установленном порядке.
4 Требования безопасности
При проведении поверки должны соблюдаться требования по технике безопасности согласно эксплуатационной документации на приборы и поверочное оборудование, правила по технике безопасности, которые действуют на месте проведения поверки, а также правила по технике безопасности при производстве топографо-геодезических работ ПТБ-88. (Утверждены коллегией ГУГК при СМ СССР 09.02.1989 г., № 2/21).
5 Условия поверки
При проведении поверки должны соблюдаться следующие условия измерений:
- температура окружающей среды, °C от -40 до +65.
6 Подготовка к поверке
Перед проведением поверки должны быть выполнены следующие подготовительные работы:
-
- проверить наличие действующих свидетельств о поверке на эталонные средства измерений;
-
- аппаратуру и средства поверки привести в рабочее состояние в соответствии с их эксплуатационной документацией.
-
- аппаратура должна быть установлена на специальных основаниях (фундаментах) или штативах, не подвергающихся механическим (вибрация, деформация, сдвиги) и температурным воздействиям.
-
7 Проведение поверки
7.1 Внешний осмотр
При внешнем осмотре должно быть установлено соответствие аппаратуры следующим требованиям:
-
- отсутствие механических повреждений и других дефектов, влияющих на эксплуатационные и метрологические характеристики аппаратуры;
-
- наличие маркировки и комплектности, необходимой для проведения измерений, согласно требованиям эксплуатационной документации на аппаратуру.
Если хотя бы одно из перечисленных требований не выполняется, прибор признают непригодным к применению, дальнейшие операции поверки не производят.
7.2 Опробование
7.2.1 При опробовании должно быть установлено соответствие аппаратуры следующим требованиям:
-
- отсутствие качки и смещений неподвижно соединенных деталей и элементов аппаратуры;
-
- правильность взаимодействия с комплектом принадлежностей;
-
- работоспособность всех функциональных режимов.
-
7.2.2 Для идентификации номера версии МПО, установленного в аппаратуру, необходимо подключить приемник к контроллеру и в полевом ПО «Trimble Access», в модуле «Топография», в меню «Инструмент» выбрать «Параметры приёмника». В качестве альтернативы, следует подключить приемник к компьютеру, запустить утилиту «Trimble Installation Manager» и установить связь с приемником; номер версии МПО приемника будет отображен на главном экране утилиты. Номер версии МПО также указан в разделе «Установленное МПО» веб-интерфейса приемника, который доступен по адресу 192.168.142.1 при подключении к приемнику по беспроводной сети Wi-Fi.
Для идентификации ПО «Trimble Access», установленного на контроллер, следует запустить ПО - номер версии высвечивается при запуске программы. В качестве альтернативы, в главном экране «Trimble Access» нажать кнопку «Trimble», затем выбрать пункт «О программе»;
Для идентификации ПО «Trimble Business Center», установленного на ПК, необходимо запустить ПО - номер версии высвечивается при запуске программы. В качестве альтернативы, в главном экране «Trimble Business Center» выбрать вкладку «Поддержка», затем выбрать пункт «О программе Trimble Business Center».
Номер версии и наименование программного обеспечения должны соответствовать данным приведенным в таблице 3.
Таблица 3
Идентификационные данные(признаки) |
Значение | |||
Наименование программного обеспечения |
МПО Trimble R10-2 |
Trimble Access |
Trimble Access |
Trimble Business Center |
Идентификационное наименование ПО |
WFC-R10-2- V537.exe |
Trimble Access.exe |
Survey.exe |
TBC_4_10_l_Full.exe |
Номер версии ПО, не ниже |
5.37 |
2017.21 |
2018.12 |
4.10.1 |
Цифровой идентификатор ПО |
162F05B9 |
10D338D0 |
E9A54315 |
8C26EF56 |
Алгоритм вычисления цифрового идентификатора ПО |
CRC-32 |
CRC-32 |
CRC-32 |
CRC-32 |
Если хотя бы одно из перечисленных требований не выполняется, прибор признают непригодным к применению, дальнейшие операции поверки не производят.
7.3 Определение метрологических характеристик
7.3.1 Определение абсолютной погрешности и средней квадратической погрешности измерений длины базиса в режимах «Статика», «Быстрая статика»
Абсолютная и средняя квадратическая погрешности измерений длины базиса в режимах «Статика», «Быстрая статика» определяются путем многократных измерений (не менее 5) двух интервалов эталонного базисного комплекса или двух контрольных длин базиса, определённых фазовым светодальномером (тахеометром), 2 разряда в соответствии с Государственной поверочной схемой для координатно-временных средств измерений, утверждённой Приказом Росстандарта от 29.12.2018 г. №2831 и действительные значения которых расположены в диапазоне от 0 до 3,0 км.
Провести измерения на поверяемой аппаратуре при условиях, указанных в таблице 5 настоящей методики.
Выключить аппаратуру согласно требованиям руководства по эксплуатации.
При использовании контрольных длин базиса, ещё раз измерить эталонным дальномером их значения. Результат измерений не должен отличаться от значения Lj, полученного до начала съёмки аппаратурой, более чем на величину погрешности, приписанную эталонному дальномеру. В случае если измеренная длина отличается от значения Lj , полученного до начала съёмки аппаратурой, более чем на величину погрешности, необходимо повторить съёмку аппаратурой заново.
Провести обработку данных с использованием штатного ПО к аппаратуре.
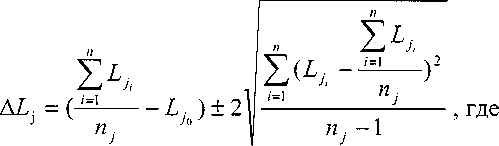
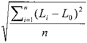
Абсолютная погрешность измерений каждой длины базиса (при доверительной вероятности 0,95) определяется как сумма систематической и случайной погрешностей по формуле:

ALj - погрешность измерений j длины базиса в плане/по высоте, мм;
Lj - эталонное значение j длины базиса в плане/по высоте, мм;
Lj_ - измеренное поверяемой аппаратурой значение j длины базиса i измерением в плане/по высоте, мм;
rij - число измерений j длины базиса.
Средняя квадратическая погрешность измерений длины базиса определяется по формуле:

где т - средняя квадратическая погрешность измерений длины базиса.
Значения абсолютной (при доверительной вероятности 0,95) и средней квадратической погрешностей измерений длины базиса в режимах «Статика», «Быстрая статика» не должна превышать значений, указанных в Приложении А к настоящей методике поверки.
-
7.3.2 Определение абсолютной погрешности и средней квадратической погрешности измерений длины базиса в режимах «Кинематика», «Кинематика в реальном времени (RTK)»
Абсолютная и средняя квадратическая погрешности измерений длины базиса в режимах «Кинематика», «Кинематика в реальном времени (RTK)» определяются путем многократных измерений (не менее 10) интервала эталонного базисного комплекса или контрольной длины базиса, определённой фазовым светодальномером (тахеометром), 2 разряда в соответствии с Государственной поверочной схемой для координатно-временных средств измерений, утверждённой Приказом Госстандарта от 29.12.2018 г. №2831 и действительное значение которого расположено в диапазоне от 0 до 3,0 км.
Провести измерения на поверяемой аппаратуре при условиях, указанных в таблице 5 настоящей методики.
Выключить аппаратуру согласно требованиям руководства по эксплуатации.
При использовании контрольной длины базиса, ещё раз измерить эталонным дальномером её значения. Результат измерений не должен отличаться от значения , полученного до начала съёмки аппаратурой, более чем на величину погрешности, приписанную эталонному дальномеру. В случае если измеренная длина отличается от значения Lj, полученного до начала съёмки аппаратурой, более чем на величину погрешности, необходимо повторить съёмку аппаратурой заново.
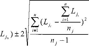
Абсолютная погрешность измерений длины базиса (при доверительной вероятности 0,95) определяется как сумма систематической и случайной погрешностей по формуле:
м. = (^—
п

п
—) п
-1
ч-
погрешность измерений j длины базиса в плане/по высоте, мм;
Ljo - эталонное значение j длины базиса в плане/по высоте, мм;
Lj - измеренное поверяемой аппаратурой значение j длины базиса i измерением в плане/по высоте, мм;
и • - число измерений j длины базиса.
Средняя квадратическая погрешность измерений длины базиса определяется по формуле:
т

где т - средняя квадратическая погрешность измерений длины базиса.
Значения абсолютной (при доверительной вероятности 0,95) и средней квадратической погрешностей измерений длины базиса в режимах «Кинематика», «Кинематика в реальном времени (RTK)» не должны превышать значений, указанных в Приложении А к настоящей методике поверки.
-
7.3.3 Определение абсолютной погрешности и средней квадратической погрешности измерений длины базиса в режиме «Кинематика в реальном времени (RTK, Trimble xFill)»
Абсолютная и средняя квадратическая погрешности измерений длины базиса в режиме «Кинематика в реальном времени (RTK, Trimble xFill)» определяются путем многократных измерений (не менее 10) интервала эталонного базисного комплекса или контрольной длины базиса, определённой фазовым светодальномером (тахеометром), 2 разряда в соответствии с Государственной поверочной схемой для координатно-временных средств измерений, утверждённой Приказом Росстандарта от 29.12.2018 г. №2831 и действительное значение которого расположено в диапазоне от 0 до 3,0 км.
Принудительно разорвать связь между базовым и подвижным приемниками (например, выключив базовый приемник). Провести измерения подвижным приемником с использованием дифференциальных поправок «Trimble xFill» при условиях, указанных в таблице 5.
Выключить аппаратуру согласно требованиям руководства по эксплуатации.
Ещё раз измерить эталонным тахеометром длину базиса. Результат измерений не должен отличаться от значения Zo, полученного до начала съёмки аппаратурой, более чем на величину погрешности, приписанную эталонному тахеометру. В случае если измеренная длина базиса отличается от значения £0, полученного до начала съёмки аппаратурой, более чем на величину погрешности, приписанную эталонному тахеометру, повторить съёмку аппаратурой заново.
Абсолютная погрешность измерений длины базиса (при доверительной вероятности 0,95) определяется как сумма систематической и случайной погрешностей по формуле:


, где
Д£у - погрешность измерений j длины базиса в плане/по высоте, мм;
LJn - эталонное значение j длины базиса в плане/по высоте, мм;
Ljj - измеренное поверяемой аппаратурой значение j длины базиса i измерением в плане/по высоте, мм;
Yij - число измерений j длины базиса.
Средняя квадратическая погрешность измерений длины базиса определяется по формуле:
т

где т - средняя квадратическая погрешность измерений длины базиса.
Значения абсолютной (при доверительной вероятности 0,95) и средней квадратической погрешностей измерений длины базиса в режиме «Кинематика в реальном времени (RTK, Trimble xFill)» не должны превышать значений, указанных в Приложении А к настоящей методике поверки.
-
7.3.4 Определение абсолютной погрешности и средней квадратической погрешности измерений длины базиса в режимах «Trimble CenterPoint RTX», «Trimble CenterPoint RTX-РР»
Абсолютная и средняя квадратическая погрешности измерений длины базиса в режимах «Trimble CenterPoint RTX», «Trimble CenterPoint RTX-РР» определяются путем многократных измерений (не менее 10) интервала эталонного базисного комплекса или контрольной длины базиса, определённой фазовым светодальномером (тахеометром), 2 разряда в соответствии с Государственной поверочной схемой для координатно-временных средств измерений, утверждённой Приказом Росстандарта от 29.12.2018 г. №2831 и действительное значение которого расположено в диапазоне от 0 до 3,0 км.
Провести измерения на поверяемой аппаратуре при условиях, указанных в таблице 5 настоящей методики.
Выключить аппаратуру согласно требованиям руководства по эксплуатации.
При использовании контрольной длины базиса, ещё раз измерить эталонным дальномером её значения. Результат измерений не должен отличаться от значения L-, полученного до начала съёмки аппаратурой, более чем на величину погрешности, приписанную эталонному дальномеру. В случае если измеренная длина отличается от значения L., полученного до начала съёмки аппаратурой, более чем на величину погрешности, необходимо повторить съёмку аппаратурой заново.
Провести обработку данных с использованием штатного ПО к аппаратуре.
Абсолютная погрешность измерений длины базиса (при доверительной вероятности 0,95) определяется как сумма систематической и случайной погрешностей по формуле:
п

Л£| = (■

, где
ALy - погрешность измерений j длины базиса в плане/по высоте, мм;
Ljo - эталонное значение j длины базиса в плане/по высоте, мм;
LJj - измеренное поверяемой аппаратурой значение j длины базиса i измерением в плане/по высоте, мм;
rij - число измерений j длины базиса.
Средняя квадратическая погрешность измерений длины базиса определяется по формуле:
т

где т - средняя квадратическая погрешность измерений длины базиса.
Значения абсолютной (при доверительной вероятности 0,95) и средней квадратической погрешностей измерений длины базиса в режимах «Trimble CenterPoint RTX», «Trimble CenterPoint RTX-РР» не должны превышать значений, указанных в Приложении А к настоящей методике поверки.
-
7.3.5 Определение абсолютной погрешности и средней квадратической погрешности измерений длины базиса в режиме «Дифференциальные кодовые измерения (dGNSS)»
Абсолютная и средняя квадратическая погрешности измерений длины базиса в режиме «Дифференциальные кодовые измерения (dGNSS)» определяются путем многократных измерений (не менее 10) интервала эталонного базисного комплекса или контрольной длины базиса, определённой фазовым светодальномером (тахеометром), 2 разряда в соответствии с Государственной поверочной схемой для координатно-временных средств измерений, утверждённой Приказом Госстандарта от 29.12.2018 г. №2831 и действительное значение которого расположено в диапазоне от 0 до 3,0 км.
Провести измерения на поверяемой аппаратуре при условиях, указанных в таблице 4 настоящей методики.
Выключить аппаратуру согласно требованиям руководства по эксплуатации.
Ещё раз измерить эталонным тахеометром длину базиса. Результат измерений не должен отличаться от значения £0, полученного до начала съёмки аппаратурой, более чем на величину погрешности, приписанную эталонному тахеометру. В случае если измеренная длина базиса отличается от значения Ло, полученного до начала съёмки аппаратурой, более чем на величину погрешности, приписанную эталонному тахеометру, повторить съёмку аппаратурой заново.
Абсолютная погрешность измерений длины базиса (при доверительной вероятности 0,95) определяется как сумма систематической и случайной погрешностей по формуле:
п | |
п |
,=1 rij , , где н7-1 |
Д£у - погрешность измерений j длины базиса в плане/по высоте, мм;
- эталонное значение j длины базиса в плане/по высоте, мм;
Ljj - измеренное поверяемой аппаратурой значение j длины базиса i измерением в плане/по высоте, мм;
rij - число измерений j длины базиса.
Средняя квадратическая погрешность измерений длины базиса определяется по формуле:

где т - средняя квадратическая погрешность измерений длины базиса.
Значения абсолютной (при доверительной вероятности 0,95) и средней квадратической погрешностей измерений длины базиса в режиме «Дифференциальные кодовые измерения (dGNSS)» не должны превышать значений, указанных в Приложении А к настоящей методике поверки.
7.3.6 Определение абсолютной и средней квадратической погрешностей определения координат в режиме «Навигационный»
Определение абсолютной погрешности и средней квадратической погрешности определения координат режиме «Навигационный» определяется с помощью имитатора сигналов космических навигационных систем ГЛОНАСС/GPS. Измерения следует выполнять в соответствии с руководством по эксплуатации при моделировании имитатором сигналов условий (сценария) неподвижности аппаратуры.
Собрать схему измерений с имитатором сигналов в соответствии с рисунком 1:
Имитатор сигналов


Аппаратура
Рисунок 1 - Схема измерений
-
1 - переизлучающая антенна;
-
2 - экранированная камера (из состава имитатора сигналов)
Составить сценарий имитации с параметрами, приведенными в таблице 4. Отслеживать
значение геометрического фактора PDOP (не должно превышать 4). Таблица 4
Наименование параметра имитации |
Значение параметра имитации |
Формируемые спутниковые навигационные сигналы |
ГЛОНАСС и GPS (код С/А без SA) |
Продолжительность |
120 мин. |
Количество каналов: ГЛОНАСС GPS |
8 8 |
Параметры среды распространения навигационных сигналов: тропосфера ионосфера |
отсутствует присутствует |
Координаты в системе координат WGS-84:
|
60°00'000000 N 030°00'000000 Е 100,00 18,00 |
Запустить сценарий имитации.
Включить образцы аппаратуры и настроить их на сбор данных (измерений) в необходимом режиме согласно требованиям руководства по эксплуатации. Настроить образцы аппаратуры на выдачу результатов измерений в протоколе NMEA. Осуществить запись измерений в формате NMEA сообщений с частотой 1 Гц в течение 120 минут, при условиях, указанных в таблице 5.
Выключить аппаратуру согласно требованиям руководства по эксплуатации.
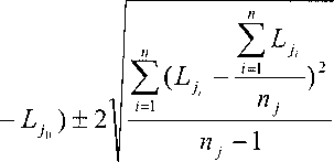
Провести постобработку собранных данных с помощью прикладного ПО на ПК. Абсолютная погрешность измерения вычисляется как сумма систематической и случайной
погрешности по выражению: | ||
п |
и | |
У s,. lX,Y,H 1 |
- |
--------)2 ПХХ,Н |
А _ ( 1=1 С А 4- П I |
/=1 | |
АХ,УЛ - 1 д<Ц1.„)±М |
-1 | |
ПХ,У,Н ’ |
п |
&x.y.h “ погрешность измерений координат X, Y, Н, мм;
‘ эталонные значения координат X, Y, Н задаваемые имитатором сигналов, мм; Six г и - измеренные аппаратурой значения координат X, Y, Н, мм;
пхун ~ число измерений координат X, Y Н.
Средняя квадратическая погрешность определения координат на неподвижном основании определяется по формуле:
где т - средняя квадратическая погрешность измерений длины базиса.
Значения абсолютной погрешности (при доверительной вероятности 0,95) и средней квадратической погрешности определения координат в режиме «Навигационный» не должно превышать значений, указанных в Приложении А к настоящей методике поверки.
Таблица 5
Режим измерений |
Количество спутников, шт. |
Время измерений, мин |
Интервал между эпохами, с. |
Статика, Быстрая статика, Trimble CenterPoint RTX-PP |
от 20 до 60 | ||
Кинематика, Кинематика в реальном времени (RTK), Trimble CenterPoint RTX, Дифференциальные кодовые измерения (dGNSS) |
>6 |
от 0,05 до 0,20* |
1 |
Измерение координат на неподвижном основании |
120 | ||
Поверка проводится при устойчивом закреплении поверяемой аппаратуры, открытом небосводе, отсутствии электромагнитных помех и многолучевого распространения сигнала спутников, а также при хорошей конфигурации спутниковых группировок. | |||
* - после выполнения инициализации или достижения сходимости |
8 Оформление результатов поверки
-
8.1. Результаты поверки оформляются протоколом, составленным в виде сводной таблицы результатов поверки по каждому пункту раздела 7 настоящей методики поверки с указанием числовых значений результатов измерений и их оценки по сравнению с допускаемыми значениями.
-
8.2. При положительных результатах поверки, аппаратура признается годной к применению и оформляют свидетельство о поверке установленной формы. Знак поверки наносится на свидетельство о поверке в виде наклейки и (или) поверительного клейма.
-
8.3. При отрицательных результатах поверки, аппаратура признается непригодной к применению и оформляют извещение о непригодности установленной формы с указанием основных причин.
К.А. Ревин
Руководитель отдела ООО «Автопрогресс - М»
Приложение А(Обязательное)
Метрологические характеристикиТаблица А.1 Основные метрологические и технические характеристики
Наименование характеристики |
Значение |
Диапазон измерений длин базисов, м |
от 0 до 30000 |
Границы допускаемой абсолютной погрешности измерений длины базиса (при доверительной вероятности 0,95), мм, в режимах: «Статика», «Быстрая статика»:
«Кинематика», «Кинематика в реальном времени (RTK)»:
«Кинематика в реальном времени (RTK, Trimble xFill)»1:
«Trimble CenterPoint RTX»2, «Trimble CenterPoint RTX-РР»:
«Дифференциальные кодовые измерения (dGNSS)»:
|
±2 • (3,0+ 0,5 • 10'6-D) ±2-(5,0+ 0,5- 10'6 • D) ±2-(8+1 • 10‘6-D) ±2- (15 + 1 • 10'6 • D) ±2-(8+1 • 10'6-D+10-T) ±2-(15+1 • IO-6 ■ D + 20 • T) ±2 • 60 ±2 • 140 ±2-(250+ 1 • 10'6-D) ±2 • (500+ 1 • 10'6 -D) где D - измеряемое расстояние в мм, Т - продолжительность измерений в минутах (не более 5 минут) с использованием источника дифференциальных поправок Trimble xFill |
Границы допускаемой абсолютной погрешности определения координат (при доверительной вероятности 0,95), мм, в режиме «Навигационный»:
|
±9000 ±15000 |
Допускаемая средняя квадратическая погрешность измерений длины базиса, мм, в режимах: «Статика», «Быстрая статика»:
«Кинематика», «Кинематика в реальном времени (RTK)»:
«Кинематика в реальном времени (RTK, Trimble xFill)»1:
«Trimble CenterPoint RTX»2, «Trimble CenterPoint RTX-РР»:
|
± (3,0 + 0,5 • 10'6 • D) ±(5,0+ 0,5 • 10'6-D) ±(8 + 1 • IO’6 - D) ±(15 + 1 • 10'6-D) ± (8 + 1 • IO’6 • D + 10 • T) ±(15 + 1 • 10'6 ■ D + 20 ■ T) ±30 ±70 |
Наименование характеристики |
Значение |
«Дифференциальные кодовые измерения (dGNSS)»:
|
±(250+ 1 • 10'6-D) ± (500 + 1 • IO’6 • D) где D - измеряемое расстояние в мм, Т - продолжительность измерений в минутах (не более 5 минут) с использованием источника дифференциальных поправок Trimble xFill |
Допускаемая средняя квадратическая погрешность определения координат, мм, в режиме -«Навигационный»:
|
4500 7500 |
отсутствии связи с базовым приемником в течение не более 5 минут
|
13