Методика поверки «ГСИ. Гониофотометр RIGO801» (МП 046.М4-19)

Государственная система обеспечения единства измерений
Гониофотометр RIGO801Методика поверки
МП 046.М4-19
Главный научный сотрудник

ФГУП «ВНИИОФИ»
В.Н. Крутиков
«11» октября 2019 г.
Руководитель Службы качества
ФГУП «ВНИИОФИ»

____Н.П. Муравская
«11» октября 2019 г.
Главный метролог
С.Н. Негода
П «ВНИИОФИ»
«11» октября 2019 г.
г. Москва
2019 г.
1 ВведениеНастоящая методика распространяется на гониофотометр RIGO801 (далее -гониофотометр), предназначенный для измерений фотометрических (силы света, светового потока) и колориметрических (координат цветности, коррелированной цветовой температуры, индекса цветопередачи) характеристик источников света и другого светотехнического оборудования (далее по тексту - источники света), и устанавливает операции при проведении их первичной и периодической поверок.
Интервал между поверками 1 год.
2 Операции поверки-
2.1 При проведении первичной и периодической поверок должны быть выполнены операции, указанные в таблице 1.
Таблица 1 - Операции поверки
|
№ п/п. |
Наименование операции |
Номер пункта методики поверки |
Обязательность выполнения операции при | |
|
первичной поверке |
периодической поверке | |||
|
1 |
Внешний осмотр |
8.1 |
Да |
Да |
|
2 |
Опробование |
8.2 |
Да |
Да |
|
3 |
Подтверждение соответствия программного обеспечения |
8.3 |
Да | |
|
4 |
Определение метрологических характеристик |
8.4 | ||
|
5 |
Определение диапазона измерений силы света |
8.4.1 |
Да |
Да |
|
6 |
Расчет пределов допускаемой относительной погрешности измерений силы света |
8.4.2 |
да |
Да |
|
7 |
Определение диапазона измерений светового потока |
8.4.3 |
Да |
Да |
|
8 |
Расчет пределов допускаемой относительной погрешности измерений светового потока |
8.4.4 |
Да |
Да |
|
9 |
Определение диапазона измерений координат цветности, коррелированной цветовой температуры и индекса цветопередачи |
8.4.5 |
да |
Да |
|
10 |
Расчет пределов допускаемой абсолютной погрешности измерений координат цветности, коррелированной цветовой температуры и индекса цветопередачи |
8.4.6 |
да |
Да |
-
2.2 При получении отрицательных результатов при проведении хотя бы одной операции поверка прекращается.
-
2.3 Поверку средств измерений осуществляют аккредитованные в установленном порядке в области обеспечения единства измерений юридические лица и индивидуальные предприниматели.
-
3.1 При проведении первичной и периодических поверок применяются средства
поверки, указанные в таблице 2. Таблица 2 - Средства поверки
|
Номер пункта методики |
Наименование и тип основного или вспомогательного средства поверки; обозначение нормативного документа, регламентирующего метрологические и основные технические характеристики |
Основные технические и (или) метрологические характеристики |
|
8.4.1; 8.4.2 |
Вторичный эталон единиц силы света и освещенности непрерывного излучения по ГОСТ 8.023-2014 (далее - ВЭТ СС и О) |
Диапазон измерений силы света: от 1 до 500 кд Диапазон измерений освещенности: от 1 до Г105 лк. СКО результата измерений единиц силы света и освещенности при сличении эталона с государственным первичным эталоном ± 0,3 % |
|
8.4.3; 8.4.4 |
Вторичный эталон единицы светового потока непрерывного излучения по ГОСТ 8.023-2014 (далее по тексту - ВЭТ СП) |
Диапазон измерения светового потока: от 8 до 2300 лм. Среднее квадратическое отклонение результата измерений единицы светового потока SXo при сличении эталона с государственным первичным эталоном ± 0,5 % |
|
8.4.5; 8.4.6 |
Вторичный эталон единиц координат цветности самосветящихся объектов по ГПС «Государственная поверочная схема для средств измерений координат цвета и координат цветности, белизны, блеска», утвержденной Приказом Федерального агентства по техническому регулированию и метрологии от 27 ноября 2018 г. №2516 (далее-ВЭТ КЦ) |
Диапазоны измерений:
х от 0,0039 до 0,7347, у от 0,0048 до 0,8338;
StkutZ = 15-50 К; SroI = 0,5. |
-
3.2 Допускается применение аналогичных средств поверки, обеспечивающих определение метрологических характеристик поверяемего гониофотометра с требуемой точностью.
-
3.3 Средства поверки, указанные в таблице 2, должны быть аттестованы в установленном порядке.
К проведению поверки допускаются лица, изучившие настоящую методику и руководство по эксплуатации гониофотометра и средств поверки, имеющие квалификационную группу не ниже III в соответствии с правилами по охране труда при эксплуатации электроустановок, указанными в приложении к приказу Министерства труда и 3 социальной защиты РФ от 24.07.13 № 328Н, прошедшие полный инструктаж по технике безопасности и прошедшие обучение на право проведения поверки по требуемым видам измерений.
5 Требования безопасности-
5.1 При проведении поверки следует соблюдать требования, установленные правилами по охране труда при эксплуатации электроустановок, указанными в приложении к приказу Министерства труда и социальной защиты РФ от 24.07.13 № 328Н. Оборудование, применяемое при поверке, должно соответствовать требованиям ГОСТ 12.2.003-91. Воздух рабочей зоны должен соответствовать ГОСТ 12.1.005-88 при температуре помещения, соответствующей условиям испытаний для легких физических работ.
-
5.2 При выполнении поверки должны соблюдаться требования руководства по эксплуатации гониофотометра.
-
5.3 Помещение, в котором проводится поверка, должно соответствовать требованиям пожарной безопасности по ГОСТ 12.1.004-91 и иметь средства пожаротушения по ГОСТ 12.4.009-83.
-
5.4 Гониофотометр не оказывает опасных воздействий на окружающую среду и не требует специальных мер по защите окружающей среды.
6 Условия поверки
6.1 При проведении поверки должны быть соблюдены следующие условия:
|
от +19 до +23 от 50 до 80; от 96 до 104; от 216 до 224; от 49 до 51. |
-
6.2 Помещение, где проводится поверка, должно быть чистым и сухим. В помещение не должно быть кислотных, щелочных и других газов, способных вызвать значительную коррозию металлов, а также газообразных органических растворителей (бензина и разбавителя), способных вызвать коррозию краски.
-
7.1 Перед началом работы с гониофотометром необходимо внимательно изучить его руководство по эксплуатации.
-
7.2 Проверить наличие средств поверки по таблице 2, укомплектованность их документацией и необходимыми элементами соединений.
-
8 Проведение поверки
-
8.1.1 Проверку проводят визуально. Проверяют соответствие расположения надписей и обозначений требованиям технической документации; отсутствие механических повреждений на наружных поверхностях гониофотометра, влияющих на его работоспособность; чистоту гнезд, разъемов и клемм; состояние соединительных кабелей.
-
8.1.2 Гониофотометр считается прошедшим операцию поверки, если корпуса составных частей и соединительные кабели и разъемы не повреждены, отсутствуют механические повреждения элементов конструкции.
-
8.2.1 Включить питание приборной стойки, источника переменного напряжения, анализатора мощности, измерительного компьютера, а также включить контроллер управления моторами гониофотометра.
-
8.2.2 Запустить программу «RIGO801», дважды нажав на ярлык «Rigo801 v. 1.7.2» (см. рисунок 1), расположенный на рабочем столе ПК (или запустив программу через меню приложений «Windows»: «Пуск» —> «Программа» —> «TechnoTeam» —> «Rigo801»).

Рисунок 2 - Экран запуска компонентов гониофотометра
8.2.3 Гониофотометр считается прошедшим операцию поверки, если включение всех его компонентов прошло успешно, все органы управления работают исправно, при запуске ПО «RIGO801» на экране ПК отображается экран запуска.
Рисунок 1 - Ярлык для запуска программного обеспечения.
При запуске программы требуемые данные калибровки загружаются одни за другими, также загружаются аппаратные компоненты гониометра и инициализируются камера-яркомер, спектрометр, фотометр и двигатели из состава гониофотометра. Во время этого процесса дополнительно отображается экран запуска, дающий информацию о ходе инициализации (см. рисунок 2).

-
8.3.1 Проверяют соответствие заявленных идентификационных данных программного обеспечения сведениям, приведенным в описании типа на гонифотометр.
Версия программного обеспечения отображается на экране монитора персонального компьютера при нажатии кнопок «Help» —► «About» в основном окне программы.
-
8.3.2 Гониофотометр признается прошедшим операцию поверки, если идентификационные данные программного обеспечения соответствуют значениям, приведенным в таблице 3.
Таблица 3 - Идентификационные данные программного обеспечения
|
Идентификационные данные (признаки) |
Значение |
|
Идентификационное наименование ПО |
RIGO801 |
|
Номер версии (идентификационный номер) ПО |
не ниже 1.7.1 |
|
Цифровой идентификатор ПО |
- |
8.4 Определение метрологических характеристик
8.4.1 Определение диапазона измерений силы света-
8.4.1.1 Установить излучатель из набора полупроводниковых излучателей из состава ВЭТ СС и О в держатель гониофотометра таким образом, чтобы оптическая ось излучателя совпадала с оптической осью фотометра, а фотометрический центр совпадал с центром вращения гониофотометра. Включить источник питания излучателя, установить рабочий режим питания излучателя, указанный в сертификате калибровки, и включить излучатель в соответствии с его руководством по эксплуатации. Выключить свет в комнате.
-
8.4.1.2 Установить настройки измерений.
Для запуска процедуры измерений необходимо в основном окне программы нажать «Measurement» —> «Execute measurement» (см. рисунок 3).
Capture luminance images...
Name
Measurement
File Hardware Setup

|
Align measuring object... |
|
Record stabilization... |
|
Execute measurement... Ctrl+N |
Execute measuring project...
Spectrometer measurement...
Shift* Ctrl* N
Alt+N
fpe
Рисунок 3 - Запуск процедуры измерения
Далее появится диалоговое окно для настройки процесса измерений (см. рисунок 4).
Рисунок 4 - Окно для настройки процесса измерений
В данном окне при нажатии кнопки «Start process» будут запускаться окна, отвечающие за определенный параметр настройки измерений:
-
• «Select measuring method» - выбор метода измерения (при помощи фотометра или камеры-яркомера);
-
• «Adjust angular range» - установка угловых диапазонов измерения пространственного распределения силы света;
-
• «Adjust camera» - настройка параметров камеры для случая когда в первом окне («Select measuring method») был выбран метод измерения при помощи камеры-яркомера;
-
• «Adjust photometer» - настройка параметров фотометра для случая когда в первом окне («Select measuring method») был выбран метод измерения при помощи фотометра;
-
• «Adjust measure devices» - настройка параметров дополнительного оборудования (в том числе измерителей электрических величин) подключенных к программному обеспечению для автоматизации процесса измерений;
-
• «Enter additional parameters» - ввод дополнительных сведений об объекте измерений для автоматизации процесса создания протокола;
-
• «Align lamp or luminaire» - включение камеры-яркомера в режиме видеотрансляции для юстировки объекта измерений;
-
• «Additional TTR Data» - дополнительные сведения об объекте измерений;
-
• «Execute measurement» - запустить процесс измерений;
-
• «Show measuring values» - отображение результатов измерений.
В окне «Select measuring method» необходимо выбрать метод измерения нажатием соответствующей пиктограммы (см. рисунок 5): для лампы типа СИП - камера-яркомер («Camera») и фотометр («Photometer»); для полупроводниковых излучателей и эталонного телецентрического осветителя "ЭТО-2" - фотометр («Photometer»). Кроме того в данном окне необходимо выбрать путь и задать имя файла для сохранения результатов измерений, путем нажатия кнопки «Change file пате». После выбора метода измерений, имени файла и папки для сохранения необходимо нажать кнопку «Continue».
Рисунок 5 - Окно выбора метода измерений
-
8.4.1.2.1 Для измерений при помощи фотометра установить следующие настройки:
-
8.4.1.2.1.1 В окне «Adjust angular range» (см. рисунок 6) задать угловые диапазоны сканирования распределения силы света при вертикальном (угол theta от 5° до 354° с шагом сканирования 2,5°) и горизонтальном (угол phi от 0 до 180° с шагом сканирования 5°) вращении вокруг неподвижно установленного источника света. С помощью пиктограмм необходимо выбрать область сканирования «Whole sphere» (полная сфера). Затем нажать кнопку «Continue».
Рисунок 6 - Настройка диапазонов измерения пространственного распределения силы света гониофотометром по углам
Далее появится окно для подтверждения диапазонов вращения гониофотометра по углам theta и phi. Если требуемые для измерений углы заданы правильно, то необходимо нажать кнопку «Yes»:
Рисунок 7 - Окно подтверждения настроек диапазонов измерения гониофотометром пространственного распределения силы света по углам
8.4.1.2.1.2 В появившемся далее окне настроек фотометра «Adjust photometer» выбрать коэффициент усиления фотометра. Выбор коэффициента усиления выполняется в несколько этапов. Коэффициент усиления переключается нажатием соответствующей кнопки от 1 до 13 (см. рисунок 8а и 86). Сначала, если горит надпись «Overload», необходимо выбрать такой коэффициент усиления, чтобы в графе «Load» было значение не более 60 %, после этого необходимо выполнить поиск максимума сигнала от источника излучения. Для этого: меняется угол поворота «theta» (нажатием кнопок в графе «Position» раздела «Axis control») и выполняется поиск максимума в плоскости «С» по углу «phi» (поиск происходит автоматически в каждой выбранной «С»-плоскости после нажатия кнопки «Start» в графе «Maximum search in C-plane»). После нахождения максимума сигнала необходимо убедиться, что в графе «Load» значение не превышает 90 % для точки с максимальной интенсивностью излучения от источника. Если это условие не выполняется, то следует выбрать меньший коэффициент усиления и повторить процедуру.
а б
Рисунок 8 - Настройка коэффициента усиления фотометра.
После завершения настройки коэффициента усиления фотометра нажать кнопку «Continue». Появится окно подтверждения выбора коэффициента усиления, закрыть его нажатием кнопки «Yes» (см. рисунок 9).
Рисунок 9 - Окно подтверждения выбора коэффициента усиления фотометра.
-
8.4.1.2.2 Для измерений при помощи камеры-яркомера установить следующие настройки:
-
8.4.1.2.2.1 Выполнить настройку угловых диапазонов сканирования распределения силы света в соответствии с п. 8.4.1.2.1.1.
-
8.4.1.2.2.2 Настроить камеру-яркомер путем подбора нейтральных светофильтров, входящих в комплект камеры-яркомера, и времени интегрирования. Для этого следует найти максимум сигнала по пространственному распределению, а затем подобрать светофильтры и время интегрирования, которые обеспечивают уровень сигнала «Current load» на уровне 90 % в точке с максимальной интенсивностью излучения.
В разделе «Current load» (см. рисунок 10) отображаются максимум яркости текущего изображения и текущее положение камеры в гониометре. В случае перегрузки цвет поля, содержащего максимум, меняется с зеленого на красный.
В разделе «Lens filter» отображаются светофильтры, которые в данный момент установлены перед объективом камеры-яркомера. Сверху от списка светофильтров отображается коэффициент пропускания, соответствующий выбранной комбинации светофильтров.
а
б
а - до настройки; б - после настройки
Рисунок 10 - Окно настройки камеры-яркомера
После подбора оптимальных параметров камеры-яркомера, необходимо в окне настройки (см. рисунок 10, б) нажать кнопку «Continue».
Далее появится информационное сообщение (рисунок 11) для подтверждения установленных параметров. В данном окне для продолжения необходимо нажать кнопку «Yes».
Рисунок 11 - Окно подтверждения настроек камеры-яркомера
-
8.4.1.3 После настройки фотометра или камеры-яркометра для проведения необходимых измерений необходимо выполнить следующие действия:
-
8.4.1.3.1 В появившемся далее окне «Measure devices» отображаются текущие параметры электропитания измеряемого излучателя (см. рисунок 12). Нажать кнопку «Continue».

Рисунок 12 - Текущие измеренные параметры электропитания измеряемого излучателя
-
8.4.1.3.2 В появившемся далее окне «Details of measurement» (см. рисунок 13) необходимо указать имя и номер измеряемого излучателя и проверить правильность выбранных параметров измерения. После этого необходимо нажать кнопку «Continue».
у гесмчпем" ' * -ч——" '*г
Dtdhd.....ж я |
Carmn j Cried
Рисунок 13 - Детали измерения
-
8.4.1.3.3 В появившемся далее окне «Execute measurement» (см. рисунок 14) необходимо выбрать метод запуска измерения «Monitored stabilization» (запуск после стабилизации светового потока). Для старта процесса измерений необходимо нажать кнопку «Start».

Рисунок 14 - Окно запуска процесса измерений
-
8.4.1.3.4 В появившемся далее окне «Stabilization of light source» (стабилизации измеряемого излучателя, см. рисунок 15) нажать кнопку «Start».

Рисунок 15 - Окно стабилизации измеряемого излучателя
По истечении 1 минуты (минимальное время ожидания стабилизации излучателя) появится окно «Execute measurement» (см. рисунок 16) и запустится процесс измерения.
Рисунок 16 - Окно запуска процесса измерений
-
8.4.1.3.5 После завершения процесса измерений появится окно с результатами (см. рисунок 17). После просмотра необходимо нажать кнопку «Close».

Рисунок 17 - Результаты измерений
-
8.4.1.3.6 После закрытия окна с результатами, необходимо закрыть оставшееся окно «Measuring process» (см. рисунок 4) нажатием кнопки «Exit».
-
8.4.1.4 Провести пятикратные измерения силы света для каждого излучателя из состава ВЭТ СС и О при помощи фотометра в соответствии с п. 8.4.1.3.
-
8.4.1.5 Установить эталонный телецентрический осветитель "ЭТО-2" (далее -излучатель) из состава ВЭТ СС и О в соответствии с п. 8.4.1.1. Провести пятикратные измерения силы света при помощи фотометра в соответствии с п. 8.4.1.3.
-
8.4.1.6 Рассчитать среднее арифметическое значение пяти измерений силы света по формуле (1):
где Д,-значения силы света, кд, к-го эталонного излучателя, измеренные гониофотометром;
i - номер измерения;
к- номер излучателя.
-
8.4.1.7 Диапазон измерений силы света от 500 до 150000 кд обеспечивается линейностью фотометра.
-
8.4.1.8 Гониофотометр признается прошедшим операцию поверки, если диапазон измерений силы света составляет от 1 до 150000 кд.
-
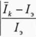
8.4.2.1 Относительная случайная погрешность измерений гониофотометром, %, определяется по формуле (2): где /э - значения силы света, кд, эталонных излучателей, указанные в сертификате калибровки.
силы света, вносимая
(2)
•100%,
-
8.4.2.2 Относительная погрешность измерений силы света %, определяется по формуле (3):
®,=±|S,+8;| (3)
где Si - относительная погрешность, обусловленная погрешностью эталонных источников света (излучателей и осветителя ЭТО-2), %, рассчитанная по формуле (4):
S, =ие,-7з (4)
где ис1 - суммарная стандартная неопределенность, вносимая эталонными источниками света и указанная в сертификате калибровки, %.
-
8.4.2.3 Гониофотометр признается прошедшим операцию поверки, если пределы допускаемой относительной погрешности измерений силы света не превышают: ± 5 % для источников со сплошным спектром и для светодиодов белого свечения с люминофором (осветителя ЭТО-2 и светодиодов белого цвета); ± 10 % для светодиодных источников, имеющих полуширину спектра менее 100 нм (светодиодов синего, зеленого, оранжевого и красного цветов).
-
8.4.3.1 Установить источник излучения (излучатель из набора полупроводниковых излучателей или лампу типа СИП 107-1500) из состава ВЭТ СП (далее - излучатель) в держатель гониофотометра таким образом, чтобы оптическая ось излучателя совпадала с оптической осью фотометра или камеры-яркомера, а фотометрический центр совпадал с центром вращения гониофотометра.
-
8.4.3.2 Включить источник питания излучателя, установить рабочий режим питания излучателя, указанный в сертификате калибровки или в свидетельстве о поверке, и включить излучатель в соответствии с его руководством по эксплуатации. Выключить свет в комнате.
-
8.4.3.3 Настроить фотометр или камеру-яркомер в соответствии с п. 8.4.1.2 и провести трехкратные измерения светового потока: при помощи фотометра для всех излучателей и при помощи камеры-яркомера для лампы типа СИП 107-1500 в соответствии с п. 8.4.1.3.
-
8.4.3.4 Рассчитать среднее арифметическое значение трех измерений светового потока для каждого метода измерения по формуле (5):
ф* (5)
где - значения светового потока к-го эталонного излучателя, измеренные гониофотометром, лм;
i - номер измерения;
к - номер излучателя.
-
8.4.3.5 Диапазон измерений светового потока от 2300 до 200000 лм обеспечивается линейностью фотометра и камеры-яркомера.
-
8.4.3.6 Гониофотометр признается прошедшим операцию поверки, если диапазон измерений светового потока составляет от 5 до 200000 лм.
-
8.4.4.1 Относительная погрешность измерений светового
потока, вносимая
(6)
гониофотометром, %, определяется по формуле (6):
•100%,
где Фэ - значения светового потока эталонных излучателей, лм, указанные в сертификате калибровки или в свидетельстве о поверке.
-
8.4.4.2 Относительная погрешность измерений светового потока, %, определяется по формуле (7):
где - относительная погрешность, обусловленная погрешностью эталонных источников света (излучателей и лампы типа СИП 107-1500), рассчитанная по формуле (8): 5ф=и1ф-л/з (8)
где - суммарная стандартная неопределенность, вносимая эталонными источниками света и указанная в сертификате калибровки, %.
-
8.4.4.3 Гониофотометр признается прошедшим операцию поверки, если пределы допускаемой относительной погрешности измерений светового потока не превышают: ± 5 % для источников со сплошным спектром и для светодиодов белого свечения с люминофором (лампы типа СИП 107-1500 и светодиодов белого цвета); ±10 % для светодиодных источников, имеющих полуширину спектра менее 100 нм (светодиодов синего, зеленого, оранжевого и красного цветов).
-
8.4.5.1 Установить источник излучения (излучатель из набора полупроводниковых излучателей из состава ВЭТ КЦ или лампу типа СИП 107-1500) (далее - излучатель) в держатель гониофотометра.
-
8.4.5.2 В основном окне программы (см. рисунок 3) нажать кнопку «Spectrometer measurement».
-
8.4.5.3 В появившемся далее окне «Spectrometer measurement» в меню «Positions» (см. рисунок 18) выбрать угловые диапазоны сканирования, в которых будет выполнено измерение координат цветности, коррелированной цветовой температуры и индекса цветопередачи: по горизонтальной оси от 0 до 180° с шагом 30°; по вертикальной оси от 100° до 260° с шагом 10°.

Рисунок 18 - Окно выбора угловых диапазонов сканирования для измерений колориметрических характеристик
После настройки параметров сканирования по углам, программное обеспечение рассчитает количество точек и их координаты для измерения колориметрических характеристик. Нажать кнопку «Insert», а затем кнопку_____►____L
-
8.4.5.4 Далее появится окно «Measurement» (рисунок 19) для запуска процесса измерений и сохранения результатов измерения колориметрических характеристик. Выбрать файл для сохранения результатов измерений.
Для запуска процесса измерений нажать кнопку «Start».
Рисунок 19 - Окно измерений колориметрических характеристик
-
8.4.5.5 После завершения процесса измерения появится окно с результатами (рисунок 20). Для закрытия окна необходимо нажать «Close».
I»—y>|tx a.o.MOj go.|


,0>MMu«ie«n3n»FR£b*Tl£D3CW£S*VE«aiXV4£(i*’L£D90^ES*vt«aX2«
S v».^»


*л .Tf es*« :x—

' load | [

Рисунок 20 - Результаты измерений колориметрических характеристик
-
8.4.5.6 Провести трехкратные измерения координат цветности, коррелированной цветовой температуры и индекса цветопередачи для каждого излучателя в соответствии с п. 8.4.5.4.
-
8.4.5.7 Рассчитать среднее арифметическое значение трех измерений координат цветности, коррелированной цветовой температуры и индекса цветопередачи по формулам (9), (10) и (11) и (12) соответственно:
(9)
Л
(10)
тк = Х-^тк1
(11)
(12)
где х, у - координаты цветности, измеренные гониофотометром;
Т- коррелированная цветовая температура, измеренная гониофотометром, К;
R - индекс цветопередачи, измеренный гониофотометром;
i - номер измерения;
к - номер излучателя.
-
8.4.5.8 Гониофотометр признается прошедшим операцию поверки, если диапазон измерений координат цветности составляет для х: от 0,0039 до 0,7347, для у\ от 0,0048 до 0,8338, диапазон измерений коррелированной цветовой температуры составляет от 2000 до 8000 К, диапазон измерений индекса цветопередачи составляет от 50 до 98.
8.4.6 Расчет пределов допускаемой абсолютной погрешности измерений координат цветности, коррелированной цветовой температуры и индекса цветопередачи
-
8.4.6.1 Абсолютная погрешность измерений координат цветности, коррелированной цветовой температуры и индекса цветопередачи, вносимая гониофотометром, определяется по формулам (13), (14) и (15) и (16) соответственно:
где хэ, уэ, Гэ, 7?э - значения координат цветности, коррелированной цветовой температуры, К, и индекса цветопередачи эталонных источников света, взятые из сертификата калибровки.
-
8.4.6.2 Абсолютная погрешность измерений координат цветности, коррелированной цветовой температуры и индекса цветопередачи, определяется по формулам (17), (18) и (19) и (20) соответственно:
д,=± |$х+д.|
(17)
A v = ± |SX + A v |
(18)
Ar = ± |Sr + Аг|
(19)
Ай = ± |5Я + АЛ|
(20)
где Sx, Sy, Sr, Sr - абсолютная погрешность, обусловленная погрешностью эталонных источников света (излучателей и лампы типа СИП 107-1500), рассчитанная по формулам (21), (22), (23) и (24) соответственно:
|
sx =^-73 |
(21) |
|
sy = ису -7з |
(22) |
|
ST =исТ-^3 |
(23) |
|
Sr = Ucr • у/З |
(24) |
|
- суммарная стандартная неопределенность, |
вносимая эталонными |
источниками света и указанная в сертификате калибровки, %.
-
8.4.6.3 Гониофотометр признается прошедшим операцию поверки, если пределы допускаемой абсолютной погрешности измерений координат цветности х и у не превышают ± 0,005, коррелированной цветовой температуры не превышают ± 50 К для источников на основе ламп накаливания и ± 100 К для источников на основе светодиодов белого свечения с люминофором (светодиодов белого цвета), индекса цветопередачи не превышают ±5.
-
9.1 Результаты измерений поверки заносятся в протокол (форма протокола приведена в приложении А настоящей методики поверки).
-
9.2 Гониофотометр, прошедший поверку с положительным результатом, признается годным и допускается к применению. На него выдаётся свидетельство о поверке установленной формы с указанием полученных по п.п. 8.4.1 - 8.4.6 фактических значений метрологических характеристик гониофотометра и наносят знак поверки (место нанесения указано в описании типа) согласно Приказу Министерства промышленности и торговли Российской Федерации №1815 от 02.07.2015 «Об утверждении Порядка проведения поверки средств измерений, требования к знаку поверки и содержанию свидетельства о поверке».
-
9.3 Гониофотометр, прошедший поверку с отрицательным результатом, признается непригодным, не допускается к применению. Выписывают «Извещение о непригодности» с указанием причин в соответствии с требованиями Приказа Министерства промышленности и торговли Российской Федерации №1815 от 02.07.2015.
Начальник лаборатории ФГУП «ВНИИОФИ»
Ведущий инженер ФГУП «ВНИИОФИ»

Е.А.Ивашин
Н.Е. Бурдакина
ПРИЛОЖЕНИЕ А (Обязательное) К Методике поверки МП 046.М4-19 Г ониофотометр RIGO801
ПРОТОКОЛ первичной (периодической) поверки от «________»________________20__г.
Средство измерений: Гониофотометр RIGO8Q1_________________________________________
наименование средства измерений, тип
Заводской номер 801-57__________________________________________________________________
заводской номер средства измерений
Прин ад л ежа щее__________________________________________________________________
наименование юридического лица, ИНН
Поверено в соответствии с методикой поверки МП 046.М4-19 «ГСИ. Гониофотометр RIGO8Q1. Методика поверки», утвержденной ФГУП «ВНИИОФИ» 11 октября 2019 г.
наименование документа на поверку, кем утвержден (согласован), дата
С применением эталонов___________________________________________________________
наименование, заводской номер, разряд класс точности или погрешность
При следующих значениях влияющих факторов:______________________________________
приводят перечень и значения влияющих факторов
-
- температура окружающей среды, °C ___________
-
- относительная влажность воздуха, % ___________
-
- атмосферное давление, кПа ___________
-
- напряжение питающей сети, В ___________
-
- частота питающей сети, Гц ___________
Внешний осмотр:_______________________________________________________
Проверка идентификации программного обеспечения:
Таблица А.1 - Идентификационные данные программного обеспечения
|
Идентификационные данные (признаки) |
Значение |
|
Идентификационное наименование ПО |
RIGO801 |
|
Номер версии (идентификационный номер) ПО, не ниже |
1.7.1 |
|
Цифровой идентификатор ПО |
- |
Опробование:_________________________________________________________________
Получены результаты поверки метрологических характеристик:
Таблица А.2 - Метрологические характеристики
|
Характеристика |
Результат |
Требования методики поверки |
|
Диапазон измерений силы света, кд |
от 1 до 150000 | |
|
Пределы допускаемой относительной погрешности измерений силы света для источников со сплошным спектром, а так же для светодиодов белого свечения с люминофором, % |
±5 | |
|
Пределы допускаемой относительной погрешности измерений силы света для светодиодных источников, имеющих полуширину спектра менее 100 нм, % |
± 10 |
|
Диапазон измерений светового потока, лм |
от 5 до 200000 | |
|
Пределы допускаемой относительной погрешности измерений светового потока для источников со сплошным спектром, а так же для светодиодов белого свечения с люминофором, % |
±5 | |
|
Пределы допускаемой относительной погрешности измерений светового потока для светодиодных источников, имеющих полуширину спектра менее 100 нм, % |
±10 | |
|
Диапазон измерений коррелированной цветовой температуры, К |
от 2000 до 8000 | |
|
Пределы допускаемой абсолютной погрешности измерений коррелированной цветовой температуры для источников на основе ламп накаливания, К |
±50 | |
|
Пределы допускаемой абсолютной погрешности измерений коррелированной цветовой температуры для источников на основе светодиодов белого свечения с люминофором, К |
± 100 | |
|
Диапазон измерений координат цветности: X У |
от 0,0039 до 0,7347 от 0,0048 до 0,8338 | |
|
Пределы допускаемой абсолютной погрешности измерений координат цветности |
± 0,005 | |
|
Диапазон измерений индекса цветопередачи |
от 50 до 98 | |
|
Пределы допускаемой абсолютной погрешности измерений индекса цветопередачи |
±5 |
Рекомендации_____________________________________________________________
средство измерений признать пригодным (или непригодным) к применению
Исполнители:_______________________ _____________ ______________________
должность подпись фамилия, инициалы
22
