Методика поверки «Государственная система обеспечения единства измерений Газоанализаторы стационарные моделей DM-700 и DM-100» (MП-242-2204-2018)
Федеральное государственное унитарное предприятие
«Всероссийский научно-исследовательский институт метрологии им. Д.И. Менделеева»
ФГУП «ВНИИМ им. Д.И. Менделеева»
УТВЕРЖДАЮ

И.о. директора ФГУП
Менделеева"
А.Н. Пронин
й8Е?£Нязгть №17
03 Октября 2017г.
■ЧТ мая 2018 г.
Государственная система обеспечения единства измерений
Газоанализаторы стационарные моделей DM-700 и DM-100 Методика поверки МП-242-2204-2018
Заместитель руководителя
научно-исследовательского отдела
государственных эталонов области физико-химических измерений ФГУП "ВНИИМ им. Д.И. Менделеева" / у - А.В. Колобова
Р " 11" мая 2018 г.


Разработал
1 -й категории
А.Л. Матвеев
г. Санкт-Петербург 2018 г.
Настоящая методика поверки распространяется на газоанализаторы стационарные моделей DM-700 и DM-100, выпускаемые фирмой «DETCON, Inc.», США и устанавливает методы их первичной поверки до ввода в эксплуатацию, после ремонта и периодической поверки в процессе эксплуатации.
Интервал между поверками - один год.
1 Операции поверки-
1.1 При проведении поверки должны быть выполнены операции, указанные в таблице 1.
Таблица 1 - Операции поверки
Наименование операции |
Номер пункта ме-тодики поверки |
Обязательность проведения при | |
первичной поверке |
периодической поверке | ||
1 Внешний осмотр |
6.1 |
да |
да |
2 Опробование |
6.2 |
да |
да |
3 Подтверждение соответствия программного обеспечения |
6.3 |
да |
да |
4 Определение метрологических характеристик |
6.4 | ||
4.1 Определение основной погрешности |
6.4.1 |
да |
да |
4.2 Определение вариации показаний |
6.4.2 |
да |
нет |
4.3 Определение времени установления показаний |
6.4.3 |
да |
нет |
-
1.2 Если при проведении той или иной операции получен отрицательный результат, дальнейшая поверка прекращается.
-
2.1 При проведении поверки применяют средства, указанные в таблице 2.
Таблица 2 - Средства поверки
Номер пункта методики поверки |
Наименование эталонного средства измерений или вспомогательного средства поверки, номер документа, регламентирующего технические требования к средству, метрологические и технические характеристики |
6 |
Измеритель параметров микроклимата «Метеоскоп» по ТУ 43 1110 - 002 -18446736 - 05, диапазон измерений относительной влажности от 3 до 98 %, относительная погрешность ± 3 %, диапазон измерений температуры от минус 10 °C до плюс 50 °C, относительная погрешность ± 0,2 °C, диапазон измерений давления в воздухе от 80 до 110 кПа |
Источник питания постоянного тока Б5-48. Диапазон напряжения (0-50) В, ток (0-2) А* | |
Вольтметр цифровой универсальный В7-65, ТУ РБ 14559587.038, диапазон измерения силы постоянного тока до 2 А; силы переменного тока до 2 А; сопротивления постоянному току 2 ГОм; постоянного напряжения до 1000 В; переменного напряжения до 700 В | |
Секундомер СОСпр, ТУ 25-1894.003-90, погрешность ± 0,2 с | |
6.4 |
Стандартные образцы состава газовые смеси (ГС) в баллонах под давлением, выпускаемые по ТУ 6-16-2956-92 (технические характеристики ГС приведены в Приложении А) |
Рабочий эталон 1-го разряда - генератор газовых смесей ГГС (исп. ГГС-Т, ГГС-К) (per. № 62151-15), в комплекте с источниками микропотока (per. №№ 15075-09, 68336-17) |
Номер пункта методики поверки |
Наименование эталонного средства измерений или вспомогательного средства поверки, номер документа, регламентирующего технические требования к средству, метрологические и технические характеристики |
6.4 |
Комплекс газодинамический - рабочий эталон 2-го разряда ГДК-045, зав. № 01 (per. № 57490-14) |
Генератор озона ГС-024 (per. № 19859-00) | |
Азот газообразный особой чистоты сорт 1 по ГОСТ 9293-74 в баллонах под давлением | |
Поверочный нулевой газ (ПНГ) - воздух марка А, Б по ТУ 6-21-5-82 в баллонах под давлением | |
Ротаметр РМ-А-0,1 Г УЗ, ГОСТ 13045-81, верхняя граница диапазона измерений объемного расхода 0,1 м3/ч, кл. точности 4* | |
Вентиль точной регулировки ВТР-1 (или ВТР-1-М160), диапазон рабочего давления (0-150) кгс/см2, диаметр условного прохода 3 мм* | |
Редуктор кислородный баллонный одноступенчатый БКО-50-4, наибольшее давление газа на входе 20 МПа* | |
Трубка медицинская поливинилхлоридная (ПВХ) по ТУ6-01-2-120-73, 6><1,5 мм* | |
Трубка фторопластовая по ТУ 6-05-2059-87, диаметр условного прохода 5 мм, толщина стенки 1 мм* |
2.2 Все средства поверки, кроме отмеченных знаком «*» в таблице 2, должны иметь действующие свидетельства о поверке, стандартные образцы состава в баллонах под давлением -действующие паспорта.
-
2.3 Допускается использование других средств поверки, обеспечивающих определение метрологических характеристик газоанализаторов с требуемой точностью
-
3.1 При проведении поверки соблюдают следующие требования безопасности:
-
- помещение, в котором проводят поверку, должно быть оборудовано приточно-вытяжной вентиляцией;
-
- не допускается сбрасывать ГС в атмосферу рабочих помещений;
-
- содержание вредных компонентов в воздухе рабочей зоны должно соответствовать требованиям ГОСТ 12.1.005-88;
-должны выполняться требования техники безопасности для защиты персонала от поражения электрическим током согласно классу I ГОСТ 12.2.007.0-75.
-
- при работе с чистыми газами и газовыми смесями в баллонах под давлением соблюдают федеральные нормы и правила в области промышленной безопасности "Правила промышленной безопасности опасных производственных объектов, на которых используется оборудование, работающее под избыточным давлением" (утверждены приказом Ростехнадзора № 116 от 25.03.2014 г.);
-
3.2 Требования к квалификации персонала
К работе с газоанализаторами и проведению поверки допускаются лица, ознакомленные с ГОСТ 13320-80, ГОСТ 8.578-2014, руководством по эксплуатации газоанализаторов и прошедшие инструктаж по технике безопасности.
'Допускается использование стандартных образцов состава газовых смесей (ГС), не указанных в настоящей методики поверки, при выполнении следующих условий:
-
- номинальное значение и пределы допускаемого отклонения содержания определяемого компонента в ГС должны соответствовать указанному для соответствующей ГС из приложения А;
-
- отношение погрешности, с которой устанавливается содержание компонента в ГС к пределу допускаемой основной погрешности поверяемого газоанализатора, должно быть не более 1/3.
-
4.1 При проведении поверки должны соблюдаться следующие условия:
-
- температура окружающей среды, °C 20 ± 5
-
- диапазон относительной влажности окружающей среды, % от 30 до 80
-
- атмосферное давление, кПа 101,3 + 4,0
-
5.1 Выполнить мероприятия по обеспечению условий безопасности.
-
5.2 Проверить наличие паспортов и сроки годности ГС в баллонах под давлением.
-
5.3 Баллоны с ГС выдержать при температуре поверки не менее 24 ч.
-
5.4 Выдержать газоанализатор и средства поверки при температуре поверки в течение не менее 4 ч.
-
5.5 Подготовить поверяемый газоанализатор и эталонные средства измерений к работе в соответствии с эксплуатационной документацией.
-
6.1 Внешний осмотр
-
6.1.1 При внешнем осмотре устанавливают соответствие газоанализатора следующим требованиям:
-
-
- соответствие комплектности (при первичной поверке) требованиям руководства по эксплуатации;
-
- соответствие маркировки требованиям руководства по эксплуатации;
-
- газоанализатор не должен иметь повреждений, влияющих на работоспособность.
-
6.1.2 Газоанализатор считают выдержавшим внешний осмотр, если он соответствует указанным выше требованиям.
-
6.2 Опробование
-
6.2.1 При опробовании проверяют общее функционирование газоанализатора, для чего на газоанализатор подают электрическое питание, после чего на дисплее (при его наличии) отображается модель газоанализатора и номер версии программного обеспечения, после чего газоанализатор переходит к самодиагностике.
-
По окончанию самодиагностики, при условии отсутствия ошибок газоанализатор переходит в режим измерений (на дисплее (при его наличии) отображается измерительная информация, на выходе газоанализатора появятся аналоговый и цифровой сигналы, соответствующие нормальной работе газоанализатора).
-
6.2.2 Результат опробования считают положительным, если:
-
- органы управления газоанализатора функционируют;
-
- во время самодиагностики отсутствуют сообщения об отказах;
-
- после окончания самодиагностики газоанализатор переходит в режим измерений (на дисплее (при его наличии) отображается измерительная информация, на выходе газоанализаторы появляются аналоговый и цифровой сигналы, соответствующие нормальной работе газоанализатора).
6.3 Подтверждение соответствия программного обеспечения
Для проверки соответствия ПО выполняют следующие операции:
-
- проводят визуализацию идентификационных данных ПО газоанализатора (ПО газоанализаторов (кроме исполнения DM-100 (без дисплейного модуля)) идентифицируется на дисплее при включении электрического питания путем вывода номера версии встроенного ПО, ПО газоанализаторов исполнения DM-100 (без дисплейного модуля) идентифицируется по запросу через интерфейс RS-485);
-
- сравнивают полученные данные с идентификационными данными, установленными при проведении испытаний для целей утверждения типа и указанными в Описании типа газоанализаторов (приложение к Свидетельству об утверждении типа).
Результат подтверждения соответствия ПО считают положительным, если идентификационные данные соответствуют указанным в Описании типа газоанализаторов (приложение к Свидетельству об утверждении типа).
6.4 Определение метрологических характеристик
-
6.4.1 Определение основной погрешности
-
6.4.1.1 Определение основной погрешности газоанализаторов производят в следующей последовательности :
а) собирают газовую схему, представленную на рисунке Б. 1 Приложения Б;
б) на вход газоанализаторов подают ГС (Приложение А) в последовательности:
-
- при первичной поверке:
-№№ 1-2-3-4-3-2-1-4 (для газоанализаторов для которых в Приложении А указаны 4 точки поверки),
-
- №№ 1-2-3-2-1-3 (для газоанализаторов для которых в Приложении А указаны 3 точки поверки);
-
- при периодической поверке:
-
- №№ 1-2-3-4 (для газоанализаторов для которых в Приложении А указаны 4 точки поверки),
-
- №№ 1 -2-3 (для газоанализаторов для которых в Приложении А указаны 4 точки поверки);
Время подачи каждой ГС не менее утроенного времени установления показаний, время подачи контролируют с помощью секундомера.
в) фиксируют установившиеся показания газоанализатора при подаче каждой ГС по:
-
- цифровому дисплею газоанализатора (при его наличии);
-
- по измерительному прибору, подключенному к аналоговому выходу газоанализатора;
-
- по цифровому выходу газоанализатора и по показаниям HART-коммуникатора (при наличии технической возможности).
г) по значению выходного токового сигнала рассчитывают значение содержания определяемого компонента на входе газоанализатора по формуле
С, =-^(/,-4), (1)
16
где /, - установившееся значение выходного токового сигнала при подаче Гой ГС, мА;
Св - значение содержания определяемого компонента, соответствующее верхней границе диапазона показаний, объемная доля, % (млн-1).
Значение основной приведенной погрешности газоанализатора Гой точке поверки %, для диапазонов измерений, в которых нормированы пределы допускаемой основной приведенной погрешности, находят по формуле

•100,
(2)
где Ci - установившиеся показания газоанализатора при подаче Гй ГС, объемная доля определяемого компонента, % (млн’1);
- действительное значение содержания определяемого компонента в Гой ГС, объемная доля определяемого компонента, % (млн’1);
Се, Сн - значения объемной доли определяемого компонента, соответствующие верхней и нижней границе диапазона измерений, в котором нормированы пределы допускаемой основной приведенной погрешности, % (млн’1).
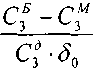
Значение основной относительной погрешности газоанализаторов 5Ь %, для диапазонов измерений, в которых нормированы пределы допускаемой основной относительной погрешности, рассчитывают по формуле
С -С
(3)
Сд
Результаты испытания считают положительными, если основная погрешность газоанализаторов не превышает пределов, указанных в Приложении В.
-
6.4.2 Определение вариации показаний
Определение вариации показаний допускается проводить одновременно с определением основной погрешности по п. 6.4.1 при подаче ГС № 2(при поверке газоанализаторов для которых в Приложении А указаны 3 точки поверки) или ГС №3 (при поверке газоанализаторов для которых в Приложении А указаны 4 точки поверки).
Значение вариации показаний газоанализаторов vr, в долях от пределов допускаемой основной приведенной погрешности, рассчитывают по формуле
_qM
(4)
(Ce-CH)-Zo’
где Cf, Сг - результат измерений содержания определяемого компонента при подходе к точ
ке 2 со стороны больших и меньших значений, объемная доля, % (млн’1);
у0 - пределы допускаемой основной приведенной погрешности газоанализатора, %.
Значение вариации показаний газоанализаторов $5, в долях от пределов допускаемой основной относительной погрешности, рассчитывают по формуле

5
(5)
где 50 - пределы допускаемой основной относительной погрешности газоанализато
ра, %.
Результат испытания считают положительным, если вариация показаний газоанализаторов не превышает 0,5 в долях от пределов допускаемой основной погрешности.
-
6.4.3 Определение времени установления показаний
Допускается проводить определение времени установления показаний одновременно с определением основной погрешности по п. 6.4.1 в следующем порядке:
а) на вход газоанализатора подают ГС №3 (при поверке газоанализаторов для которых в Приложении А указаны 3 точки поверки) или ГС № 4 (при поверке газоанализаторов для которых в приложении А указаны 4 точки поверки), фиксируют установившиеся показания газоанализатора;
б) вычисляют значение, равное 0,9 установившихся показаний газоанализатора;
в) подают на вход газоанализатора ГС № 1, фиксируют установившиеся показания газоанализатора. Отклонение от нулевых показаний должно быть не более 0,5 в долях от предела допускаемой основной погрешности;
г) подают на вход газоанализатора ГС №3 или ГС № 4, включают секундомер и фиксируют время достижения значения, рассчитанного в п. б).
Примечание - При поверке газоанализаторов с определяемым компонентом кислород допускается в качестве ГС № 4 использовать чистый атмосферный воздух
Результаты испытания считают положительными, если время установления показаний газоанализаторов не превышает значений, указанных в Приложении В.
7 Оформление результатов поверки-
7.1 При проведении поверки оформляют протокол результатов поверки произвольной формы.
-
7.2 Результатом поверки является подтверждение пригодности средства измерений к применению или признание средства измерений непригодным к применению. Если газоанализатор по результатам поверки признан пригодным к применению, то на эксплуатационную документацию наносится оттиск поверительного клейма или выдается свидетельство о поверке по форме приказа Министерства промышленности и торговли Российской Федерации № 1815 от 02 июля 2015 г.
-
7.3 Если газоанализатор по результатам поверки признан непригодным к применению, оттиск поверительного клейма гасится, свидетельство о поверке аннулируется, выписывается извещение о непригодности установленной формы.
Приложение А
(обязательное) Технические характеристики ГС, используемых при поверке газоанализаторов стационарных моделей DM-700 и DM-100
Таблица А.1 - Технические характеристики ГС, используемых при поверке газоанализаторов стационарных моделей DM-700 и DM-100
Определяемый компонент |
Диапазон измерений объемной доли определяемого компонента |
Номинальное значение объемной доли определяемого компонента в ГС, пределы допускаемого отклонения |
Погрешность аттестации |
Номер ГС по реестру ГСО или источник ГС | |||
ГС №1 |
ГС2 |
ГС№3 |
ГС №4 | ||||
Ацетальдегид (СНзСНО) |
От 0 до 25 млн'1 |
пнг-воздух |
Марка А по ТУ 621-5-82 | ||||
12,5 млн'1 ± 15 % отн. |
21,7 млн'1 ± 15 % отн. |
±5 % отн. |
ГГС-Т или ГГС-К с ИМ-СНзСНО ИМ138-М- А2 | ||||
Ацетилен (С2Н2) |
От 0 до 25 млн'1 |
пнг- воз Дух |
Марка А по ТУ 621-5-82 | ||||
0,00125 % ± 30 % отн. |
±8 % отн. |
ГСО 105412014 (ацетилен -воздух) | |||||
0,00192 %± 30 % отн. |
±4 % отн. |
ГСО 105402014 (ацетилен -воздух) | |||||
От 0 до 100 млн’1 |
пнг-воздух |
Марка Б по ТУ 6 21-5-82 | |||||
0,005 % ± 30 % отн. |
±8 % отн. |
ГСО 105412014 (ацетилен -воздух) | |||||
0,0083 % ± 20 % отн. |
±3 % отн. |
ГСО 105402014 (ацетилен -воздух) |
Определяемый компонент |
Диапазон измерений объемной доли определяемого компонента |
Номинальное значение объемной доли определяемого компонента в ГС, пределы допускаемого отклонения |
Погрешность аттестации |
Номер ГС по реестру ГСО или источник ГС | |||
ГС №1 |
ГС2 |
ГС№3 |
ГС №4 | ||||
Акрилонитрил (C3H3N) |
От 0 до 25 млн’1 |
пнг-воз-дух |
Марка А по ТУ 6- 21-5-82 | ||||
0,00125 % ± 10 % отн. |
0,00227 % ± 10 % отн. |
±5 % отн. |
ГСО 10535-2014 (акрилонитрил - воздух) | ||||
От 0 до 100 млн’1 |
ПНГ-воз-дух |
МаркаБ по ТУ 6-21-5-82 | |||||
0,005 % ± 10 % отн. |
0,009 % ± 10 % отн. |
±5 % отн. |
ГСО 10535-2014 (акрилонитрил - воздух) | ||||
От 0 до 400 млн’1 |
ПНГ-воз-дух |
МаркаБ по ТУ 6-21-5-82 | |||||
0,02 %± 10 % отн. |
0,0363 % ± 10 % отн. |
±5 % отн. |
ГСО 10535-2014 (акрилонитрил - воздух) | ||||
Аммиак (NH3) |
От 0 до 25 млн’1 |
ПНГ-воз-дух |
Марка А по ТУ 6-21-5-82 | ||||
0,00125 % ± 10 % отн. |
0,00227 % ± 10 % отн. |
±5 % отн. |
ГСО 10547-2014 (аммиак -воздух) | ||||
От 0 до 100 млн’1 |
ПНГ-воз-дух |
Марка Б по ТУ 6- 21-5-82 | |||||
0,00272 % ± 10 % отн. |
0,005 % ± 10 % отн. |
0,0090 % ± 10% отн. |
±5 % отн. |
ГСО 10547-2014 (аммиак -воздух) |
Определяемый компонент |
Диапазон измерений объемной доли определяемого компонента |
Номинальное значение объемной доли определяемого компонента в ГС, пределы допускаемого отклонения |
Погрешность аттестации |
Номер ГС по реестру ГСО или источник ГС | |||
ГС №1 |
ГС2 |
ГС№3 |
ГС №4 | ||||
Аммиак (NH3) |
От 0 до 400 млн'1 |
пнг-воздух |
Марка Б по ТУ 6 21-5-82 | ||||
0,00272 % ± 10 % отн. |
0,02 %± 10 % отн. |
0,0363 % ± 10 % отн. |
±5 % отн. |
ГСО 105472014 (аммиак -воздух) | |||
От 0 до 250 млн’1 |
ПНГ-воздух |
Марка Б по ТУ 6 21-5-82 | |||||
0,0054 % ± 10 % отн. |
0,0125 %± 10 % отн. |
0,0227 % ± 10% отн. |
±5 % отн. |
ГСО 10547-2014(аммиак -воздух) | |||
От 0 до 1000 млн'1 |
ПНГ-воздух |
Марка Б по ТУ 6 21-5-82 | |||||
0,05 %± 10 % отн. |
0,0909 % ± 10 % отн. |
±5 % отн. |
ГСО 105472014 (аммиак -воздух) | ||||
От 0 до 4000 млн'1 |
ПНГ-воздух |
Марка Б по ТУ 6 21-5-82 | |||||
0,2 % ± 7 % отн. |
0,374 % ± 7 % отн. |
±3 % отн. |
ГСО 105472014 (аммиак -воздух) | ||||
Арсин (АзНз) |
От 0 до 1 млн'1 |
ПНГ-воздух |
Марка А по ТУ 621-5-82 | ||||
0,28 млн'1 ± 5 % отн. |
0,5 млн'1 ± 5 % отн. |
0,93 млн' 1 ± 5 % отн. |
±7 % отн. |
ГДК-045 |
Определяемый компонент |
Диапазон измерений объемной доли определяемого компонента |
Номинальное значение объемной доли определяемого компонента в ГС, пределы допускаемого отклонения |
Погрешность аттестации |
Номер ГС по реестру ГСО или источник ГС | |||
ГС №1 |
ГС2 |
ГС№3 |
ГС №4 | ||||
Бром (Вг2) |
От 0 до 5 млн'1 |
пнг- воз- дух |
Марка А по ТУ 6-21-5-82 | ||||
2,5 млн'!± 15 % отн. |
4,34 млн'*± 15 % отн. |
±5 % отн. |
ГГС-Т или ГГС-К с ИМВг ИМ159-М-А2 | ||||
1,3- бутадиен (С4Н6) |
От 0 до 25 млн'1 |
ПНГ-воз-дух |
Марка А по ТУ 6-21-5-82 | ||||
0,00125 % ± 30 % отн. |
±15 % отн. |
ГСО 10540-2014(1,3-бутадиен-азот) | |||||
0,00192 % ± 30 % отн. |
±7,5 % отн. |
ГСО 10539-2014(1,3-бутадиен-азот) | |||||
От 0 до 100 млн'1 |
ПНГ-воз-дух |
Марка Б по ТУ 6- 21-5-82 | |||||
0,0050% ± 30 % отн. |
±15 % отн. |
ГСО 10539-2014(1,3-бутадиен-азот) | |||||
0,0083 % ± 20 % отн. |
±10 % отн. |
ГСО 10540-2014(1,3-бутадиен-азот) |
Определяемый компонент |
Диапазон измерений объемной доли определяемого компонента |
Номинальное значение объемной доли определяемого компонента в ГС, пределы допускаемого отклонения |
Погрешность аттестации |
Номер ГС по реестру ГСО или источник ГС | |||
ГС №1 |
ГС2 |
ГС№3 |
ГС №4 | ||||
1,3- бутадиен (С4Н6) |
От 0 до 250 млн'1 |
ПНГ-воздух |
Марка Б по ТУ 6 21-5-82 | ||||
0,0125% ± 15 % отн. |
±12 % отн. |
ГСО 105412014(1,3-бутадиен-азот) | |||||
0,0217 %± 15 % отн. |
±7 % отн. |
ГСО 105402014(1,3-бутадиен-азот) | |||||
Оксид углерода (СО) |
От 0 до 25 млн’1 |
ПНГ-воздух |
Марка А по ТУ 621-5-82 | ||||
0,00125 % ± 10 % отн. |
0,00227 % ± 10 % отн. |
±5 % отн. |
ГСО 105322014 (оксид углерода - воздух) | ||||
От 0 до 100 млн"1 |
ПНГ-воздух |
Марка А по ТУ 621-5-82 | |||||
0,0018 %± 10 % отн. |
0,005 % ± 10 % отн. |
0,009 % ± 10% отн. |
±5 % отн. |
ГСО 105322014 (оксид углерода - воздух) | |||
От 0 до 400 млн’1 |
ПНГ-воздух |
Марка А по ТУ 6 21-5-82 | |||||
0,0018 %± 10 % отн. |
0,02 %± 10 % отн. |
0,0363 % ± 10% отн. |
±5 % отн. |
ГСО 105322014 (оксид углерода - воздух) |
Определяемый компонент |
Диапазон измерений объемной доли определяемого компонента |
Номинальное значение объемной доли определяемого компонента в ГС, пределы допускаемого отклонения |
Погрешность аттестации |
Номер ГС по реестру ГСО или источник ГС | |||
ГС №1 |
ГС2 |
ГС№3 |
ГС №4 | ||||
Хлор (С12) |
От 0 до 2,5 млн'1 |
пнг-воздух |
Марка А по ТУ 621-5-82 | ||||
0,43 млн'1 ± 15 % отн. |
1,25 млн'1 ± 15 % отн. |
2,17 млн' '±15% отн. |
±5 % отн. |
ГГС-Т с ИМ- С12 ИМ163- М-Г2 | |||
От 0 до 10 млн'1 |
ПНГ-воздух |
Марка А по ТУ 6 21-5-82 | |||||
0,0005 % ± 20 % отн. |
0,0005 % ± 20 % отн. |
±4 % отн. |
ГСО 105462014 (хлор - азот) | ||||
От 0 до 40 млн'1 |
ПНГ-воздух |
Марка Б по ТУ 6 21-5-82 | |||||
0,002 % ± 10 % отн. |
0,00363 % ± 10 % отн. |
±5 % отн. |
ГСО 105472014 (хлор - азот) | ||||
Этанол (С2Н5ОН) |
От 0 до 25 млн'1 |
ПНГ-воздух |
Марка А по ТУ 621-5-82 | ||||
0,00125 % ± 10 % отн. |
0,00227 % ± 10 % отн. |
±5 % отн. |
ГСО 105352014 (этанол - воздух) | ||||
От 0 до 100 млн'1 |
ПНГ-воздух |
Марка Б по ТУ 6 21-5-82 | |||||
0,005 % ± 10 % отн. |
0,009 % ± 10 % отн. |
±5 % отн. |
ГСО 105352014 (этанол - воздух) |
Определяемый компонент |
Диапазон измерений объемной доли определяемого компонента |
Номинальное значение объемной доли определяемого компонента в ГС, пределы допускаемого отклонения |
Погрешность аттестации |
Номер ГС по реестру ГСО или источник ГС | |||
ГС №1 |
ГС2 |
ГС №3 |
ГС №4 | ||||
Этанол (С2Н5ОН) |
От 0 до 250 млн’1 |
пнг-воздух |
Марка Б по ТУ 6 21-5-82 | ||||
0,0125 %± 10 % отн. |
0,0227 % ± 10 % отн. |
±5 % отн. |
ГСО 105352014 (этанол - воздух) | ||||
Этилмер-каптан (C2H5SH) |
От 0 до 25 млн’1 |
ПНГ-воздух |
Марка А по ТУ 6 21-5-82 | ||||
0,00125 % ± 10 % отн. |
0,00227 % ± 10 % отн. |
±5 % отн. |
ГСО 105382014 (этилмер-каптан -азот) | ||||
От 0 до 100 млн’1 |
ПНГ-воздух |
Марка Б по ТУ 6 21-5-82 | |||||
0,005 % ± 10 % отн. |
0,009 % ± 10 % отн. |
±5 % отн. |
ГСО 105382014 (этилмер-каптан -азот) | ||||
От 0 до 250 млн’1 |
ПНГ-воздух |
Марка Б по ТУ 6 21-5-82 | |||||
0,0125 %± 10 % отн. |
0,0227 % ± 10 % отн. |
±5 % отн. |
ГСО 105382014 (этилмер-каптан -азот) |
Определяемый компонент |
Диапазон измерений объемной доли определяемого компонента |
Номинальное значение объемной доли определяемого компонента в ГС, пределы допускаемого отклонения |
Погрешность аттестации |
Номер ГС по реестру ГСО или источник ГС Марка А по ТУ 621-5-82 | |||
ГС №1 |
ГС2 |
ГС№3 |
ГС №4 | ||||
Этилен (С2Н4) |
От 0 до 25 млн'1 |
пнг-воздух | |||||
0,00125 % ± 30 % отн. |
±8 % отн. |
ГСО 105412014 (этилен - воздух) | |||||
0,00192 % ± 30 % отн. |
±4 % отн. |
ГСО 105402014 (этилен - воздух) | |||||
От 0 до 100 млн'1 |
пнг- воз ДУХ |
Марка Б по ТУ 6 21-5-82 | |||||
0,005 % ± 30 % отн. |
±8 % отн. |
ГСО 105412014 (этилен - воздух) | |||||
0,0083 % ± 20 % отн. |
±3 % отн. |
ГСО 105402014 (этилен - воздух) | |||||
Оксид этилена (С2Н4О) |
От 0 до 25 млн'1 |
пнг-воздух |
Марка А по ТУ 621-5-82 | ||||
0,00125 %± 30 % отн. |
±15 % отн. |
ГСО 105402014 (оксид этилена - азот) | |||||
0,00192 %± 30 % отн. |
±7,5 % отн. |
ГСО 105392014 (оксид этилена - азот) |
Определяемый компонент |
Диапазон измерений объемной доли определяемого компонента |
Номинальное значение объемной доли определяемого компонента в ГС, пределы допускаемого отклонения |
Погрешность аттестации |
Номер ГС по реестру ГСО или источник ГС | |||
ГС №1 |
ГС2 |
ГС№3 |
ГС №4 | ||||
Оксид этилена (С2Н4О) |
От 0 до 100 млн"1 |
пнг-воз-дух |
Марка Б по ТУ 6- 21-5-82 | ||||
0,005 % ± 20 % отн. |
±15 % отн. |
ГСО 10540-2014(оксид этилена - азот) | |||||
0,0083 % ± 20 % отн. |
±5 % отн. |
ГСО 10539-2014(оксид этилена - азот) | |||||
Формальдегид (СН2О) |
От 0 до 25 млн'1 |
ПНГ-воз-дух |
Марка А по ТУ 6-21-5-82 | ||||
0,00125 % ±15% отн. |
0,00217 %± 15 % отн. |
±7 % отн. |
ГГС-Т с ИМ- СН2О ИМ94 - М -А2 | ||||
Гидразин (N2H4) |
От 0 до 1 млн"1 |
ПНГ-воз-дух |
Марка А по ТУ 6-21-5-82 | ||||
0,5 млн"1 ± 15 % отн. |
0,86 млн'1 ± 15 % отн. |
±5 % отн. |
ГГС-Т с ИМ- N2H4 им-гп-177-М-А2 | ||||
От 0 до 4 млн"1 |
ПНГ-воз-дух |
Марка А по ТУ 6-21-5-82 | |||||
2 млн"1 ± 15 % отн. |
3,4 млн"1 ± 15 % отн. |
±5 % отн. |
ГГС-Т с ИМ- n2h4 им-гп-177-М-А2 |
Определяемый компонент |
Диапазон измерений объемной доли определяемого компонента |
Номинальное значение объемной доли определяемого компонента в ГС, пределы допускаемого отклонения |
Погрешность аттестации |
Номер ГС по реестру ГСО или источник ГС Марка Б по ТУ 6- 21-5-82 | |||
ГС №1 |
ГС2 |
ГС№3 |
ГС №4 | ||||
Водород (На) |
От 0 до 100 млн'1 |
пнг-воз-дух | |||||
0,005 % ± 10 % отн. |
±5 % отн. |
ГСО 10532-2014 (водород -воздух) | |||||
0,009 % ± 10 % отн. |
±2,5 % отн. |
ГСО 10531-2014 (водород -воздух) | |||||
От 0 до 400 млн'1 |
пнг- воз- Дух |
Марка Б по ТУ 6- 21-5-82 | |||||
0,02 % ± 10 % отн. |
±5 % отн. |
ГСО 10532-2014 (водород -воздух) | |||||
0,0363 % ± 10 % отн. |
±2,5 % отн. |
ГСО 10531-2014 (водород -воздух) | |||||
От 0 до 4 % |
азот |
О.ч., сорт 1-й по ГОСТ 9293-74 | |||||
1,86 %± 7 % отн. |
3,63 % ± 7 % отн. |
±2,5 % отн. |
ГСО 10532-2014 (водород -азот) |
Определяемый компонент |
Диапазон измерений объемной доли определяемого компонента |
Номинальное значение объемной доли определяемого компонента в ГС, пределы допускаемого отклонения |
Погрешность аттестации |
Номер ГС по реестру ГСО или источник ГС Марка А по ТУ 6-21-5-82 | |||
ГС №1 |
ГС2 |
ГС№3 |
ГС №4 | ||||
Хлористый водород (НС1) |
От 0 до 10 млн'1 |
ПНГ-воз-дух | |||||
0,00025 % ± 20 % отн. |
±8 % отн. |
ГСО 10547-2014 (хлористый водород -азот) | |||||
0,0005 % ± 20 % отн. |
0,00083 %±20% отн. |
±4 % отн. |
ГСО 10546-2014 (хлористый водород -азот) | ||||
От 0 до 30 млн'1 |
ПНГ-воз-дух |
Марка А по ТУ 6- 21-5-82 | |||||
0,0015 %± 10 % отн. |
0,00272 % ± 10 % отн. |
±5 % отн. |
ГСО 10547- 2014 (хлористый водород -азот) | ||||
От 0 до 100 млн'1 |
ПНГ-воз-дух |
Марка Б по ТУ 6- 21-5-82 | |||||
0,005 % ± 10 % отн. |
0,009 % ± 10 % отн. |
±5 % отн. |
ГСО 10547-2014 (хлористый водород -азот) |
Определяемый компонент |
Диапазон измерений объемной доли определяемого компонента |
Номинальное значение объемной доли определяемого компонента в ГС, пределы допускаемого отклонения |
Погрешность аттестации |
Номер ГС по реестру ГСО или источник ГС Марка А по ТУ 6-21-5-82 | |||
ГС №1 |
ГС2 |
ГС№3 |
ГС №4 | ||||
Синильная кислота (HCN) |
От 0 до 10 млн'1 |
пнг-воз-дух | |||||
0,0005 % ± 20 % отн. |
±8 % отн. |
ГСО 10547-2014 (синильная кислота -азот) | |||||
0,00083 % ± 20 % отн. |
±4 % отн. |
ГСО 10546-2014 (синильная кислота -азот) | |||||
От 0 до 30 млн'1 |
ПНГ-воз-дух |
Марка Б по ТУ 6-21-5-82 | |||||
0,0015 %± 10 % отн. |
0,00272 %± 10 % отн. |
±5 % отн. |
ГСО 10547-2014 (синильная кислота -азот) | ||||
От 0 до 100 млн'1 |
ПНГ-воз-дух |
Марка Б по ТУ 6- 21-5-82 | |||||
0,005 %± 10 % отн. |
0,009 %± 10 % отн. |
±5 % отн. |
ГСО 10547-2014 (синильная кислота -азот) |
Определяемый компонент |
Диапазон измерений объемной доли определяемого компонента |
Номинальное значение объемной доли определяемого компонента в ГС, пределы допускаемого отклонения |
Погрешность аттестации |
Номер ГС по реестру ГСО или источник ГС Марка А по ТУ 621-5-82 | |||
ГС №1 |
ГС2 |
ГС№3 |
ГС №4 | ||||
Фтористый водород (HF) |
От 0 до 5 млн’1 |
пнг- воздух | |||||
0,000076 % ± 30 % отн. |
±5 % отн. |
ГСО 10546-2014(фтористый водород -азот) | |||||
0,00025 % ± 20 % отн. |
0,000416 % ± 20 % отн. |
±4 % отн. |
ГСО 105462014 (фтористый водород -азот) | ||||
От 0 до 10 млн’1 |
ПНГ-воздух |
Марка А по ТУ 621-5-82 | |||||
0,0005 %± 20 % отн. |
0,00083 %± 20 % отн. |
±4 % отн. |
ГСО 105462014 (фтористый водород -азот) | ||||
От 0 до 40 млн’1 |
ПНГ-воздух |
Марка Б по ТУ 6 21-5-82 | |||||
0,002 ± 10 % отн. |
0,00363 ± 10 % отн. |
±5 % отн. |
ГСО 105472014 (фтористый водород -азот) |
Определяемый компонент |
Диапазон измерений объемной доли определяемого компонента |
Номинальное значение объемной доли определяемого компонента в ГС, пределы допускаемого отклонения |
Погрешность аттестации |
Номер ГС по реестру ГСО или источник ГС | |||
ГС №1 |
ГС2 |
ГС№3 |
ГС №4 | ||||
Сероводород (H2S) |
От 0 до 25 млн’1 |
пнг-воз-дух |
Марка А по ТУ 6- 21-5-82 | ||||
0,00083± 20 % отн. |
±4 % отн. |
ГСО 10546-2014 (сероводород - воздух) | |||||
0,00227 % ± 10 % отн. |
±5 % отн. |
ГСО 10547-2014 (сероводород - воздух) | |||||
От 0 до 100 млн’1 |
ПНГ-воз-дух |
Марка Б по ТУ 6- 21-5-82 | |||||
0,00083± 20 % отн. |
±4 % отн. |
ГСО 10546-2014 (сероводород - воздух) | |||||
0,005 % ± 10 % отн. |
0,009 % ± 10 % отн. |
±5 % отн. |
ГСО 10547-2014 (сероводород - воздух) | ||||
От 0 до 400 млн'1 |
ПНГ-воз-дух |
Марка Б по ТУ 6- 21-5-82 | |||||
0,02 %± 10 % отн. |
0,0363 % ± 10 % отн. |
±5 % отн. |
ГСО 10547-2014 (сероводород - воздух) | ||||
Метанол (СНзОН) |
От 0 до 25 млн’1 |
ПНГ-воз-дух |
Марка А по ТУ 6-21-5-82 | ||||
8,6 млн’1 ± 15 % отн. |
21,7 млн’1 ± 15 % отн. |
±5 % отн. |
ГГС-Т или ГГС-К с ИМ СНзОН ИМ36 - М -А2 |
Определяемый компонент |
Диапазон измерений объ-емной доли определяемого компонента |
Номинальное значение объемной доли определяемого компонента в ГС, пределы допускаемого отклонения |
Погрешность аттестации |
Номер ГС по реестру ГСО или источник ГС | |||
ГС №1 |
ГС2 |
ГС№3 |
ГС №4 | ||||
Метанол (СНзОН) |
От 0 до 100 млн'1 |
пнг-воз-дух |
Марка Б по ТУ 6- 21-5-82 | ||||
8,6 млн'1 ± 15 % отн. |
50 млн'1 ± 15 % отн. |
±5 % отн. |
ГГС-Т или ГГС-К с ИМ СНзОН ИМ36-М -А2 | ||||
(95 ± 20 % отн |
±10 % отн. |
ГСО 10540-2014 (метанол -азот) | |||||
Метил-меркап-тан (CH3SH) |
От 0 до 25 млн'1 |
ПНГ-воз-дух |
Марка А по ТУ 6-21-5-82 | ||||
0,000076 % ± 30 % отн. |
±5 % отн. |
ГСО 10537-2014 (ме-тилмер-каптан -азот) | |||||
0,00125 %± 10 % отн. |
0,00227 %± 10% отн. |
±5 % отн. |
ГСО 10538-2014 (ме-тилмер-каптан -азот) | ||||
От 0 до 100 млн'1 |
ПНГ-воз-дух |
Марка Б по ТУ 6- 21-5-82 | |||||
0,005 % ± 10 % отн. |
0,009 % ± 10 % отн. |
±5 % отн. |
ГСО 10538-2014 (ме-тилмер-каптан -азот) |
Определяемый компонент |
Диапазон измерений объемной доли определяемого компонента |
Номинальное значение объемной доли определяемого компонента в ГС, пределы допускаемого отклонения |
Погрешность аттестации |
Номер ГС по реестру ГСО или источник ГС | |||
ГС №1 |
ГС2 |
ГС№3 |
ГС №4 | ||||
Метил-меркап-тан (CH3SH) |
От 0 до 400 млн’1 |
пнг- воз- Дух |
Марка Б по ТУ 6-21-5-82 | ||||
0,02 %± 10 % отн. |
0,0363 % ± 10 % отн. |
±5 % отн. |
ГСО 10538-2014 (ме-тилмер-каптан -азот) | ||||
Оксид азота (NO) |
От 0 до 25 млн’1 |
пнг- воз- Дух |
Марка А по ТУ 6-21-5-82 | ||||
0,00041 %± 20 % отн. |
±4 % отн. |
ГСО 10546-2014(оксид азота -воздух) | |||||
0,00125 % ± 10 % отн. |
0,00227 %± 10% отн. |
±5 % отн. |
ГСО 10547-2014(оксид азота -воздух) | ||||
От 0 до 100 млн’1 |
пнг-воз-дух |
Марка Б по ТУ 6- 21-5-82 | |||||
0,00041 %± 20 % отн. |
±4 % отн. |
ГСО 10546-2014 (оксид азота -воздух) | |||||
0,005 % ± 10 % отн. |
0,009 % ± 10 % отн. |
±5 % отн. |
ГСО 10547-го 14 (оксид азота -воздух) | ||||
От 0 до 400 млн'1 |
ПНГ-воз-дух |
Марка Б по ТУ 6- 21-5-82 | |||||
0,02 %± 10 % отн. |
0,0363 % ± 10 % отн. |
±5 % отн. |
ГСО 10547-го 14 (оксид азота -воздух) |
Определяемый компонент |
Диапазон измерений объемной доли определяемого компонента |
Номинальное значение объемной доли определяемого компонента в ГС, пределы допускаемого отклонения |
Погрешность аттестации |
Номер ГС по реестру ГСО или источник ГС | |||
ГС №1 |
ГС2 |
ГС №3 |
ГС №4 | ||||
Диоксид азота (NO2) |
От 0 до 2,5 млн"1 |
пнг-воз-дух |
Марка А по ТУ 6-21-5-82 | ||||
0,000076 % ± 30 % отн. |
±5 % отн. |
ГСО 10546-2014(диоксид азота - азот) | |||||
0,000125 % ± 20 % отн. |
0,0002 % ± 20 % отн. |
±4 % отн. |
ГСО 10546-2014(диоксид азота - азот) | ||||
От 0 до 10 млн"1 |
ПНГ-воз-дух |
Марка А по ТУ 6- 21-5-82 | |||||
0,000076 % ± 30 % отн. |
±5 % отн. |
ГСО 10546-2014(диоксид азота - азот) | |||||
0,0005 % ± 20 % отн. |
0,00083 % ± 20 % отн. |
±4 % отн. |
ГСО 10546-2014(диоксид азота - азот) | ||||
От 0 до 40 млн"1 |
ПНГ-воз-дух |
Марка Б по ТУ 6- 21-5-82 | |||||
0,002 % ± 10 % отн. |
0,0033 % ± 10 % отн. |
±5 % отн. |
ГСО 10547-2014(диоксид азота - азот) | ||||
Озон (Оз) |
От 0 до 1,0 млн"1 |
ПНГ-воз-дух |
Марка А по ТУ 6- 21-5-82 | ||||
0,095 млн"1 ± 5 % отн. |
0,5 млн'1 ± 5 % отн. |
0,95 млн" 1 ± 5 % отн. |
±5 % отн. |
ГС-024 |
Определяемый компонент |
Диапазон измерений объемной доли определяемого компонента |
Номинальное значение объемной доли определяемого компонента в ГС, пределы допускаемого отклонения |
Погрешность аттестации |
Номер ГС по реестру ГСО или источник ГС | |||
ГС №1 |
ГС2 |
ГС№3 |
ГС №4 | ||||
Фосген (СОС12) |
От 0 до 1 млн'1 |
ПНГ-воз-дух |
Марка А по ТУ 6-21-5-82 | ||||
0,00001 % ± 30 % отн. |
0,00005 % ± 30 % отн. |
±7,5 % отн. |
ГСО 10545-2014 (фосген - азот) | ||||
0,000083 % ± 20 % отн. |
±5 % отн. |
ГСО 10545-2014 (фосген - азот) | |||||
От 0 до 4 млн'1 |
ПНГ-воз-дух |
Марка А по ТУ 6-21-5-82 | |||||
0,0002% ± 20 % отн. |
0,00033% ± 20 % отн. |
±5 % отн. |
ГСО 10546-2014 (фосген - азот) | ||||
Фосфин (РН3) |
От 0 до 1,25 млн'1 |
ПНГ-воз-дух |
Марка А по ТУ 6-21-5-82 | ||||
0,000063 % ± 30 % отн. |
±5 % отн. |
ГСО 10546-2014 (фосфин -азот) | |||||
0,000104% ± 20 % отн. |
±4 % отн. |
ГСО 10546-2014 (фосфин -азот) | |||||
От 0 до 5 млн'1 |
ПНГ-воз-дух |
Марка А по ТУ 6- 21-5-82 | |||||
0,00025 % ± 20 % отн. |
0,00041 %± 20 % отн. |
±4 % отн. |
ГСО 10546-2014 (фосфин -азот) |
Определяемый компонент |
Диапазон измерений объемной доли определяемого компонента |
Номинальное значение объемной доли определяемого компонента в ГС, пределы допускаемого отклонения |
Погрешность аттестации |
Номер ГС по реестру ГСО или источник ГС | |||
ГС №1 |
ГС2 |
ГС№3 |
ГС №4 | ||||
Диоксид серы (SO2) |
От 0 до 10 млн’1 |
ПНГ-воз-дух |
Марка А по ТУ 6- 21-5-82 | ||||
0,00041 % ± 20 % отн. |
0,00083 % ± 20 % отн. |
±4 % отн. |
ГСО 10546-2014(диоксид серы - азот) | ||||
От 0 до 20 млн'1 |
ПНГ-воз-дух |
Марка А по ТУ 6- 21-5-82 | |||||
0,00041 % ± 20 % отн. |
0,001 %± 20 % отн. |
±4 % отн. |
ГСО 10546-2014 (диоксид серы - азот) | ||||
0,0018% ± 10% отн. |
±5 % отн. |
ГСО 10547-2014(диоксид серы - азот) | |||||
От 0 до 80 млн'1 |
ПНГ-воз-дух |
Марка Б по ТУ 6- 21-5-82 | |||||
0,004 % ± 10 % отн. |
0,0072 % ± 10 % отн. |
±5 % отн. |
ГСО 10547-2014(диоксид серы - азот) | ||||
Винилацетат (С4Н6О2) |
От 0 до 25 млн’1 |
пнг- воз- ДУХ |
Марка А по ТУ 6- 21-5-82 | ||||
0,00041 % ± 20 % отн. |
±4 % отн. |
ГСО 10534-2014(винилацетат - воздух) | |||||
0,00125 %± 10 % отн. |
0,00227 %± 10% отн. |
±5 % отн. |
ГСО 10535-2014 (винилацетат - воздух) |
Определяемый компонент |
Диапазон измерений объемной доли определяемого компонента |
Номинальное значение объемной доли определяемого компонента в ГС, пределы допускаемого отклонения |
Погрешность аттестации |
Номер ГС по реестру ГСО или источник ГС | |||
ГС №1 |
ГС2 |
ГС№3 |
ГС №4 | ||||
Винилацетат (С4Н6О2) |
От 0 до 100 млн'1 |
пнг-воздух |
Марка Б по ТУ 6 21-5-82 | ||||
0,005 % ± 10 % отн. |
0,009 % ± 10 % отн. |
±5 % отн. |
ГСО 105352014 (винилацетат - воздух) | ||||
Винилхлорид (C2H3C1) |
От 0 до 30 млн'1 |
ПНГ-воздух |
Марка А по ТУ 621-5-82 | ||||
0,00041 %± 20 % отн. |
±4 % отн. |
ГСО 105492014 (винилхлорид - азот) | |||||
0,0015 %± 10 % отн. |
0,00272 %± 10% отн. |
±5 % отн. |
ГСО 105502014 (винилхлорид - азот) | ||||
Кислород (О2) |
От 0 до 25 % |
азот |
О.ч., сорт 1-й по ГОСТ 9293-74 | ||||
4,76 % ± 5 % отн. |
±1 % отн. |
ГСО 105312014 (кислород -азот) | |||||
15 %±3 % отн. |
±0,6 % отн. |
ГСО 10531-2014(кислород -азот) | |||||
23,8 % ± 5 % отн. |
±1 % отн. |
ГСО 105322014 (кислород -азот) |
Определяемый компонент |
Диапазон измерений объемной доли определяемого компонента |
Номинальное значение объемной доли определяемого компонента в ГС, пределы допускаемого отклонения |
Погрешность аттестации |
Номер ГС по реестру ГСО или источник ГС | |||
ГС №1 |
ГС2 |
ГС№3 |
ГС №4 | ||||
Примечания:
|
Приложение Б
(рекомендуемое)
Схема подачи ГС при проведении поверки
2 3 5 9 8

1 - источник ГС (баллон или ГГС и т.д.); 2 - редуктор баллонный (используется при подаче ГС от баллонов под давлением); 3 - вентиль точной регулировки (используется при подаче ГС от баллонов под давлением); 4 - ротаметр (индикатор расхода); 5 - газоанализатор; 6 - насадка для подачи ГС; 7 - датчик газоанализатора; 8 - источник питания; 9 - вторичный прибор (вольтметр универсальный, подключенный к аналоговому выходу газоанализатора, ПК, подключенный к цифровому выходу газоанализатора, HART коммуникатор).
Рисунок Б. 1 - Схема подачи ГС на газоанализаторы
Приложение В
(рекомендуемое) Метрологические характеристики газоанализаторов стационарных моделей DM-700 и DM-100
Таблица В.1 - Диапазоны измерений, пределы допускаемой основной погрешности газоанализаторов и предел допускаемого времени установления показаний
Определяемый компонент |
Диапазон показаний объемной доли определяемого компонента |
Диапазон измерений объемной доли определяемого компонента |
Единицы измерений объемной доли определяемого компонента |
Пределы допускаемой основной погрешности1^ |
Предел допускаемого времени установления показаний Тодд, с |
Назначение 3) | |
приведенной, %2) |
относитель ной, % | ||||||
Ацетальдегид (СНзСНО) |
от 0 до 25 |
от 0 до 25 |
млн’1 |
±20 |
- |
140 |
А |
от 0 до 100 |
- |
- |
- |
- | |||
от 0 до 400 |
- |
- |
- | ||||
Ацетилен (С2Н2) |
от 0 до 25 |
от 0 до 25 |
млн’1 |
±15 |
140 |
В | |
от 0 до 100 |
от 0 до 100 |
±15 |
В | ||||
Акрилонитрил (C3H3N) |
от 0 до 25 |
от 0 до 25 |
млн’1 |
±20 |
140 |
А | |
от 0 до 100 |
от 0 до 100 |
±15 |
А | ||||
от 0 до 400 |
от 0 до 400 |
±15 |
А | ||||
Аммиак (NH3) |
от 0 до 25 |
от 0 до 25 |
млн’1 |
±20 |
90 |
К | |
от 0 до 100 |
от 0 до 30 включ. свыше 30 до 100 |
млн’1 |
±15 |
±15 |
90 |
К | |
от 0 до 400 |
от 0 до 30 включ. свыше 30 до 400 |
±15 |
±15 |
К | |||
от 0 до 250 |
от 0 до 60 включ. свыше 60 до 250 |
млн’1 |
±20 |
±20 |
А | ||
от 0 до 1000 |
от 0 до 1000 |
±15 |
- |
А | |||
от 0 до 4000 |
от 0 до 4000 |
±15 |
- |
А | |||
Арсин (АвНз) |
от 0 до 1 |
от 0 до 0,3 включ. свыше 0,3 до 1 |
млн’1 |
±20 |
±20 |
60 |
А |
от 0 до 4 |
- |
- |
- | ||||
Бром (Вгг) |
от 0 до 5 |
от 0 до 5 |
млн’1 |
±20 |
60 |
А | |
от 0 до 20 |
- |
- |
- | ||||
1,3-бутадиен (С4Нб) |
от 0 до 25 |
от 0 до 25 |
млн’1 |
±20 |
140 |
В | |
от 0 до 100 |
от 0 до 100 |
±20 |
А | ||||
от 0 до 250 |
от 0 до 250 |
±20 |
- |
А |
Определяемый компонент |
Диапазон показаний объемной доли определяемого компонента |
Диапазон измерений объемной доли определяемого компонента |
Единицы измерений объемной доли определяемого компонента |
Пределы допускаемой основной погрешности1) |
Предел допускаемого времени установления показаний Тодд, с |
Назначение 3) | |
приведенной, %2) |
относительной, % | ||||||
Оксид угле-рода (СО) |
от 0 до 25 |
от 0 до 25 |
млн'1 |
±15 |
- |
30 |
А |
от 0 до 100 |
от 0 до 20 включ. свыше 20 до 100 |
±15 |
±15 |
К | |||
от 0 до 400 |
от 0 до 20 включ. свыше 20 до 400 |
±15 |
±15 |
К | |||
Хлор (Ch) |
от 0 до 2,5 |
от 0 до 0,5 включ. свыше 0,5 до 2,5 |
млн'1 |
±20 |
±20 |
60 |
А |
от 0 до 10 |
от 0 до 10 |
±15 |
А | ||||
от 0 до 40 |
от 0 до 40 |
±15 |
А | ||||
Этанол (С2Н5ОН) |
от 0 до 25 |
от 0 до 25 |
млн'1 |
±20 |
140 |
В | |
от 0 до 100 |
от 0 до 100 |
±15 |
В | ||||
от 0 до 250 |
от 0 до 250 |
±15 |
В | ||||
Этилмеркап-тан (C2H5SH) |
от 0 до 25 |
от 0 до 25 |
млн'1 |
±20 |
45 |
А | |
от 0 до 100 |
от 0 до 100 |
±20 |
А | ||||
от 0 до 250 |
от 0 до 250 |
±20 |
А | ||||
Этилен (С2Н4) |
от 0 до 25 |
от 0 до 25 |
млн'1 |
±20 |
140 |
В | |
от 0 до 100 |
от 0 до 100 |
±15 |
В | ||||
Оксид этиле-на (С2Н4О) |
от 0 до 25 |
от 0 до 25 |
млн'1 |
±20 |
140 |
А | |
от 0 до 100 |
от 0 до 100 |
±20 |
А | ||||
Формальде-гид (СН2О) |
от 0 до 25 |
от 0 до 25 |
млн'1 |
±20 |
140 |
А | |
от 0 до 100 |
- |
- |
- | ||||
Гидразин (N2H4) |
от 0 до 1 |
от 0 до 1 |
млн'1 |
±20 |
120 |
А | |
от 0 до 4 |
от 0 до 4 |
±20 |
А | ||||
Водород (Нг) (РРт) |
от 0 до 100 |
от 0 до 100 |
млн'1 |
±10 |
30 |
В | |
от 0 до 400 |
от 0 до 400 |
±10 |
В | ||||
Водород (Нг) (LEL) |
от 0 до 4 |
от 0 до 2 включ. свыше 2 до 4 |
% |
±10 |
±10 |
30 |
В |
Хлористый водород (НС1) |
от 0 до 10 |
от 0 до 3 включ. свыше 3 до 10 |
млн'1 |
±20 |
±20 |
90 |
А |
от 0 до 30 |
от 0 до 30 |
±15 |
- |
А | |||
от 0 до 100 |
от 0 до 100 |
±15 |
- |
А |
Определяемый компонент |
Диапазон показаний объемной доли определяемого компонента |
Диапазон измерений объемной доли определяемого компонента |
Единицы измерений объемной доли определяемого компонента |
Пределы допускаемой основной погрешности1) |
Предел допускаемого времени установления показаний Тодд, с |
Назначение 3) | |
приведенной, %2) |
относительной, % | ||||||
Синильная кислота (HCN) |
от 0 до 10 |
от 0 до 10 |
млн'1 |
±20 |
- |
40 |
А |
от 0 до 30 |
от 0 до 30 |
±15 |
- |
А | |||
от 0 до 100 |
от 0 до 100 |
±15 |
- |
А | |||
Фтористый водород (HF) |
от 0 до 5 |
от 0 до 1 включ. свыше 1 до 5 |
млн'1 |
±20 |
±20 |
90 |
А |
от 0 до 10 |
от 0 до 10 |
±20 |
- |
А | |||
от 0 до 40 |
от 0 до 40 |
±20 |
- |
А | |||
Сероводород (H2S) |
от 0 до 25 |
от 0 до 10 включ. свыше 10 до 25 |
млн'1 |
±20 |
±20 |
30 |
А |
от 0 до 100 |
от 0 до 10 включ. свыше 10 до 100 |
±20 |
±20 |
А | |||
от 0 до 400 |
от 0 до 400 |
±20 |
- |
А | |||
Метанол (СНзОН) |
от 0 до 25 |
от 0 до 10 включ. свыше 10 до 25 |
млн'1 |
±20 |
±20 |
140 |
А |
от 0 до 100 |
от 0 до 10 включ. свыше 10 до 100 |
±20 |
±20 |
А | |||
Метилмер-каптан (CH3SH) |
от 0 до 25 |
от 0 до 1 включ. свыше 1 до 25 |
млн'1 |
±20 |
±20 |
45 |
А |
от 0 до 100 |
от 0 до 100 |
±20 |
- |
А | |||
от 0 до 400 |
от 0 до 400 |
±20 |
- |
А | |||
Оксид азота (NO) |
от 0 до 25 |
от 0 до 5 включ. свыше 5 до 25* |
млн'1 |
±20 |
±20 |
10 |
А |
Определяемый компонент |
Диапазон показаний объемной доли определяемого компонента |
Диапазон измерений объемной доли определяемого компонента |
Единицы измерений объемной доли определяемого компонента |
Пределы допускаемой основной погрешности1) |
Предел допускаемого времени установления показаний Тодд, с |
Назначе ние 3) | |
приведенной, %2) |
относительной, % | ||||||
Оксид азота (NO) |
от 0 до 100 |
от 0 до 5 включ. свыше 5 до 100* |
±20 |
±20 |
А | ||
от 0 до 400 |
от 0 до 400* |
±20 |
- |
А | |||
Диоксид азота (NO2) |
от 0 до 2,5 |
от 0 до 1 включ. свыше 1 до 2,5 |
млн'1 |
±20 |
±20 |
40 |
А |
от 0 до 10 |
от 0 до 1 включ. свыше 1 до 10 |
±20 |
±20 |
А | |||
от 0 до 40 |
от 0 до 40 |
±15 |
- |
А | |||
Озон (Оз) |
от 0 до 1 |
от 0 до 0,1 включ. свыше 0,1 до 1,0 |
млн'1 |
±20 |
±20 |
120 |
А |
от 0 до 4 |
- |
- |
- |
- | |||
Фосген (СОСЬ) |
от 0 до 1 |
от 0 до 0,1 включ. свыше 0,1 ДО 1 |
млн'1 |
±20 |
±20 |
120 |
А |
от 0 до 4 |
от 0 до 4 |
±20 |
- |
А | |||
Фосфин (РНз) |
от 0 до 1,25 |
от 0 до 1,25 |
млн'1 |
±20 |
- |
30 |
А |
от 0 до 5 |
от 0 до 5 |
±20 |
- |
А | |||
Диоксид серы (SO2) |
от 0 до 10 |
от 0 до 5 включ. свыше 5 до 10 |
млн'1 |
±20 |
±20 |
30 |
А |
от 0 до 20 |
от 0 до 5 включ. свыше 5 до 20 |
±20 |
±20 |
А | |||
от 0 до 80 |
от 0 до 80 |
±15 |
- |
А | |||
Винилацетат (С4Н6О2) |
от 0 до 25 |
от 0 до 5 включ. свыше 5 до 25 |
млн'1 |
±20 |
±20 |
140 |
А |
от 0 до 100 |
от 0 до 100 |
±15 |
- |
А |
Определяемый компонент |
Диапазон показаний объемной доли определяемого компонента |
Диапазон измерений объемной доли определяемого компонента |
Единицы измерений объемной доли определяемого компонента |
Пределы допускаемой основной погрешности1) |
Предел допускаемого вре-мени установления показаний Тодд, с |
Назначе ние 3) | |
приведенной, %2) |
относительной, % | ||||||
Винилхлорид (C2H3CI) |
от 0 до 30 |
от 0 до 5 включ. свыше 5 до 30 |
млн'1 |
±20 |
±20 |
140 |
А |
Кислород (02) |
от 0 до 25 |
от 0 до 5 свыше 5 до 25 |
% |
±5 |
±5 |
5 |
В |
В нормальных условиях эксплуатации.
|
34