Методика поверки «ДАТЧИКИ УДАРНЫХ ИМПУЛЬСОВ СЕРИИ 4XXXX И СЕРИИ TRAXX» (433-122-2015 МП)
УТВЕРЖДАЮ
ДАТЧИКИ УДАРНЫХ ИМПУЛЬСОВ
СЕРИИ 4ХХХХ И СЕРИИ TRAXX
Методика поверки
433-122-2015 МП
2015 г.
Содержание
ВВЕДЕНИЕ
-
1. Настоящая методика поверки (далее - методика) устанавливает объем, методику и порядок проведения первичной и периодической поверки, необходимую номенклатуру эталонных средств измерений (далее - средства поверки), способ обработки экспериментальных данных, а также форму представления результатов поверки датчиков ударных импульсов серии 4ХХХХ и серии TRAXX фирмы «SPM Instrument АВ» (далее -датчики 4ХХХХ и TRAXX).
-
2. Требования настоящей методики распространяются на датчики 4ХХХХ и TRAXX, которые могут являться частью измерительной системы мониторинга состояния подшипников качения механических объектов.
-
3. Поверке подлежат 100 % датчиков 4ХХХХ и TRAXX, входящих в состав информационно-измерительных систем мониторинга.
-
4. Интервал между поверками датчиков 4ХХХХ и TRAXX - четыре года.
1. ОПЕРАЦИИ ПОВЕРКИ
1.1 Объем операций, выполняемых при проведении поверки датчиков 4ХХХХ и
TRAXX, представлен в таблице 1.
Таблица 1
|
Наименование операции поверки |
Номер пункта методики |
Обязательность проведения операции при | |
|
Первичной поверке |
Периодической поверке | ||
|
1 |
2 |
3 |
4 |
|
Внешний осмотр датчика |
п. 7.1 |
Да |
Да |
|
Определение частоты установочного резонанса датчиков |
п. 7.2 |
Да |
Нет |
|
Определение диапазона измерения датчиков ударных импульсов при электрическом возбуждении |
п. 7.3 |
Да |
Нет |
|
Определение относительного коэффициента затухания датчиков |
п. 7.4 |
Да |
Нет |
|
Определение пикового значения сигнала датчика ударных импульсов при возбуждении сигналом 96 дБ, диапазона и погрешности измерения ударных импульсов при механическом возбуждении |
п. 7.5 |
Да |
Да |
|
Оформление результатов поверки |
п. 8 |
Да |
Да |
2. Средства поверки
При проведении поверки применяют поверенные в установленном порядке СИ, указанные в таблице 2.
Таблица 2
|
Наименование средств поверки |
Основные технические характеристики средств поверки |
Тип | |
|
1 |
Пределы измерений |
Погрешность |
4 |
|
2 |
3 | ||
|
Генератор сигналов произвольной формы |
Есинус = (1‘Ю'б-20-106)Гц; UnHK-пик = ±(0,01 -10) В |
ПГ=±(0,01 UnHK-ПИК + 1) мВ |
33220А |
Продолжение таблицы 2
|
1 |
2 |
3 |
4 |
|
Осциллограф цифровой |
0-100 МГц, 5 нс/дел - 50 с/дел, 2 мВ/дел - 5 В/дел |
ПГ ±3% |
TDS1012B |
|
Усилитель измерительный |
Ипик-пик — ±3 1 ,6 В, минус 20 - 60 дБ, 0,1 -1-105 Гц |
ПГ ±0,1 дБ |
NEXUS |
|
Установка калибровочная |
Диапазон виброускорений 0-77 м/с2, частота следования импульсов 0,1 - 1080 Гц |
СКО размаха ударных импульсов не более 5 % |
CU-01 |
|
Анализатор состояния механизмов |
от минус 19 до 99 дБ |
ПГ ± 1 дБ |
Leonova Emerald или Leonova Diamond |
Примечание. Допускается замена средств поверки приведенных в таблице 2 на аналогичные, характеристики, которых не хуже следующих:
-
• для задающего генератора для сигнала прямоугольной формы:
-
- размах напряжения на выходе.........................................< 10,0 В;
-
- основная погрешность по частоте....................................< ±0,1 %;
-
- основная погрешность по напряжению...............................< ± 1 %;
-
- выходное сопротивление прибора........................................50 Ом;
-
• для цифрового осциллографа:
-
- пределы измерений в диапазоне.........................................(0,05 - 10) В;
-
- основная погрешность измерения значения сигнала в точке расположения маркера не более ±1,5% от диапазона;
-
- основная погрешность измерения временных интервалов........< ±0,5 %;
-
- входное сопротивление прибора........................................> 1 МОм.
-
3. Требования к квалификации лиц, проводящих поверку
К поверке датчиков 4ХХХХ и TRAXX допускаются лица, прошедшие обучение в установленном порядке, и изучившие эксплуатационные документы на поверяемые датчики и настоящую методику.
При проведении поверки, кроме данной методики, необходимо ознакомиться со следующими документами:
-
- «Датчики ударных импульсов серии 4ХХХХ и серии TRAXX. Руководство по эксплуатации» ТС RU C-SE.TB04.B.00018;
-
- рабочий проект на конкретную информационно-измерительную систему, в составе которой используются датчики 4ХХХХ и TRAXX, а также эксплутационная документация этой системы (при наличии);
-
- «Инструкция по монтажу (демонтажу) датчиков ударных импульсов 4ХХХХ и TRAXX фирмы «SPM Instrument АВ» ТС RU C-SE.TB04.B.00018 ИМ.
-
4. Требования безопасности
-
4.1 При проведении поверки датчики ударных импульсов, снимаемые для поверки с оборудования, должны пройти радиохимическую очистку.
-
4.2 При монтаже и демонтаже датчиков и проведении поверки следует руководствоваться требованиями безопасности, изложенными в следующих документах:
-
-
- ПУЭ «Правила устройства электроустановок. Издание 7»;
-
- «Правила технической эксплуатации электроустановок потребителей», а также правилами технической эксплуатации и инструкциями по технике безопасности, действующими на предприятии.
-
5. Условия поверки
При проведении работ по поверке датчиков 4ХХХХ и TRAXX в помещении должны быть соблюдены следующие условия:
-
- температура окружающего воздуха, °C
20 ±5;
60±20;
101,3±4(760±30);
±10 %;
-
- относительная влажность окружающего воздуха, %
-
- атмосферное давление, кПа (мм.рт.ст.)
-
- отклонение напряжения питания от номинального значения 220 В не более
-
- внешние вибрационные, электрические и магнитные поля (кроме земного) не должны влиять на работу используемых средств поверки.
-
6. Подготовка к поверке
-
6.1 Подготовка к поверке эталонных и вспомогательных средств должны соответствовать требованиям эксплуатационной документации на эти средства.
-
6.2 Поверяемые датчики должны быть перенесены в помещение, предназначенное для поверки, и выдержаны в течение 2 часов, если они находились в условиях отличных от регламентированных п. 5.
-
6.3 Крепление калибруемых датчиков к эквивалентному грузу должны соответствовать требованиям «Инструкции по монтажу (демонтажу) датчиков ударных импульсов 4ХХХХ и TRAXX фирмы «SPM Instrument АВ» ТС RU C-SE.TB04.B.00018 ИМ.
-
6.4 Для радиохимической очистки датчиков применять спирт этиловый из расчета 10 мл на один датчик .
-
6.5 Поверка всей группы датчиков, входящих в состав информационноизмерительной системы мониторинга состояния подшипников качения механических объектов, производится в произвольной последовательности с регистрацией индивидуальных номеров и результатов поверки каждого датчика в рабочем журнале представителя метрологической службы
-
-
7. Проведение поверки
-
7.1 Внешний осмотр датчика.
-
При внешнем осмотре необходимо обратить внимание на следующие факторы:
-
- должен хорошо идентифицироваться номер, присвоенный конкретному датчику;
-
- должна хорошо идентифицироваться маркировка взрывозащиты на каждом дат
чике;
-
- должны отсутствовать в любой части датчика какие-либо видимые механические повреждения (вмятины, сколы, повреждения хвостовика, резьбовых частей и др.);
-
- посадочные поверхности датчиков должны быть очищены от загрязнений и не должны иметь видимых повреждений.
-
7.2 Определение частоты установочного резонанса датчика
-
7.2.1 Для определения частоты установочного резонанса датчика 4ХХХХ и TRAXX используют специальный эквивалентный груз, эскиз и требования к которому приведены в Приложении А.
-
7.2.2 В резьбовое отверстие М8 эквивалентного груза устанавливают поверяемый датчик 4ХХХХ или шпильку-болт для крепления датчиков TRAXX и вворачивают его на посадочное место с моментом затяжки 15 Нм с помощью тензометрического гаечного ключа с размером захвата 17 мм.
-
* Нормы расхода этилового спирта-ректификата на техническое обслуживание и поверку образцовых средств измерения и поверочного оборудования /Утв.24.07.1986 - ВНИИМС, Госстандарт, 1986. Группа 06. Средства измерения параметров движения.
Примечание. Перед каждой установкой датчика посадочная поверхность эквивалентного груза должна оставаться чистой, без видимых повреждений.
-
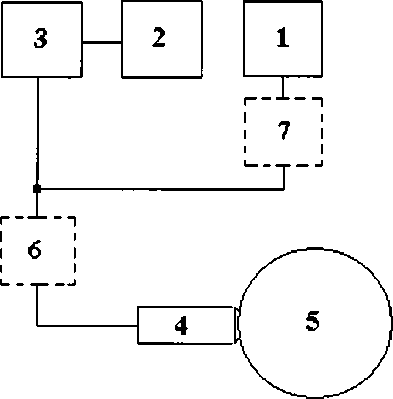
7.2.3 Собирают схему внешних электрических соединений в соответствии с рисунком 1. Для подключения датчика 4ХХХХ и TRAXX к задающему генератору 1 и цифровому осциллографу 2 используют технологический кабель, состоящий из разъема TNC (для связи с датчиком 4ХХХХ и TRAXX), коаксиального кабеля RG-58, сплиттера на 2 канала (тройника) и разъемов для подсоединения к выходу генератора 1 и входу осциллографа 2.

Рисунок 1. Схема внешних электрических соединений для поверки датчиков
4ХХХХ и TRAXX
-
1 - генератор сигналов произвольной формы;
-
2 - осциллограф цифровой;
-
3 - усилитель измерительный;
-
4 - поверяемый датчик ударных импульсов 4ХХХХ или TRAXX, закрепленный на эквивалентном грузе;
-
5 - эквивалентный груз (Приложение А);
-
6 - внешнее согласующее устройство TMU-12 (применять для поверки датчиков 4ХХХХ или TRAXX семейства 40000 и 44000);
-
7 - делитель 40 дБ.
-
7.2.4 После сборки электрической схемы эквивалентный груз устанавливают на стол (стеллаж), подложив под него прокладку из мягкого поролона упаковочного толщиной 20 - 40 мм.
-
7.2.5 Подготавливают средства поверки к работе в соответствии с их эксплутаци-онной документацией.
-
7.2.6 Задают на выходе генератора 1 электрические колебания прямоугольной формы напряжением идмп = (2 ± 0,005) В на частоте 100 Гц.
Примечание. Эквивалентный груз с датчиком 4ХХХХ и TRAXX во время проведения операций по определению заданных методикой параметров должен находиться на поролоновой прокладке в свободном (незакрепленном) состоянии; влияние на него дополнительных масс (касание руками, прокладка через него кабельных трасс и т.д.) должно быть исключено.
-
7.2.7 Настраивают цифровой осциллограф таким образом, чтобы на его экране регистрировались собственные затухающие колебания закрепленного датчика за один период колебаний генератора в соответствии с рисунком 2.
Рисунок 2 Определение частоты установочного резонанса fpe3
-
7.2.8 Фиксируют моменты достижения кривой затухающих колебаний первого ti и второго t2 максимумов и вычисляют частоту установочного резонанса датчика в килогерцах по формуле (7.1)
f
J рез
— t}
-
7.2.9 Датчик считают пригодным, если значение fpe3 находится в пределах от 28 до 36 кГц.
-
7.3 Определение диапазона измерения датчиков ударных импульсов при электрическом возбуждении.
-
7.3.1 Для определения диапазона измерения при электрическом возбуждении датчиков 4ХХХХ и TRAXX используют средства поверки по п. 7.2 настоящей методики.
-
7.3.2 Подготовку установки для определения диапазона измерения и последовательность в проведении операции осуществляют в соответствии с п.п. 7.2.3 - 7.2.6 настоящей методики.
-
7.3.3 Регистрируют на экране цифрового осциллографа собственные затухающие колебания закрепленного датчика за один период колебаний генератора в соответствии с рисунком 3.
Рисунок 3. Определение пикового значения сигнала датчиков ударных импульсов при электрическом возбуждении
-
7.3.4 Фиксируют значения первого А] максимума и конечное значение сигнала перед началом следующего импульса Ак на кривой затухающих колебаний и вычисляют пиковое значение сигнала датчика ударных импульсов при электрическом возбуждении в децибелах по формуле (7.2)
SL =201g(4 -4,)+20
(7.2)
-
7.3.5 Повторяют измерения по п.п. 7.3.3, 7.3.4 для различных амплитуд напряжения прямоугольной формы, установленного на генераторе в диапазоне амплитуд напряжений от 0,10 мВ (с учетом делителя 40 дБ, подключаемого на выход генератора) до 10 В.
-
7.3.6 Датчик считают пригодным, если значения $отн находится в пределах от 0 до
99 дБ.
-
Примечание. Значения пикового значения сигнала датчиков 4ХХХХ и TRAXX при электрическом возбуждении определяется амплитудой напряжения генератора, возбуждающего датчик, и может варьироваться для различных модификаций датчиков при одинаковых амплитудах напряжения генератора.
-
7.4 Определение относительного коэффициента затухания датчиков.
-
7.4.1 Для определения относительного коэффициента затухания датчика 4ХХХХ и TRAXX в закрепленном состоянии используют средства поверки по п. 7.2 настоящей методики.
-
7.4.2 Подготовку установки для определения коэффициента затухания датчика и последовательность в проведении операции осуществляют в соответствии с п.п. 7.2.3 -
-
-
7.2.6 настоящей методики.
-
7.4.3 Регистрируют на экране цифрового осциллографа собственные затухающие колебания закрепленного датчика за один период колебаний генератора в соответствии с рисунком 4.
-400
Ag= - 304,0 мВ
i
100
200
-600 1
t, мкс
Рисунок 4. Определение относительного коэффициента затухания £
-
7.4.4 Фиксируют значения первого А; максимума и первого минимума Аг и конечное значение сигнала перед началом следующего импульса Ак на кривой затухающих колебаний и вычисляют значение относительного коэффициента затухания датчика в закрепленном состоянии по формуле (7.3)
-In

(7.3)
Д'
-
7.4.5 Датчик считают пригодным, если значение £ находится в пределах от 0,15 до 0,30.
Примечание. Операции по п.п. 7.2 - 7.4 для конкретного датчика рекомендуется выполнять одновременно.
-
7.5 Определение пикового значения сигнала датчика ударных импульсов при возбуждении сигналом 96 дБ, диапазона и погрешности измерения ударных импульсов при механическом возбуждении.
-
7.5.1 Для определения диапазона и погрешности измерения ударных импульсов собрать измерительную схему согласно рисунку 5. В резьбовое отверстие устройства 16016 установки калибровочной CU-01 устанавливают поверяемый датчик 4ХХХХ или шпильку-болт для крепления датчиков TRAXX и вворачивают его на посадочное место с моментом затяжки 15 Нм с помощью тензометрического гаечного ключа с размером захвата 17 мм.

-
Рисунок 5. Измерительная схема для проверки диапазона и погрешности измерения ударных импульсов при механическом возбуждении
-
7.5.2 Для определения погрешности измерения ударных импульсов соединить выход генератора STG-02 с устройством 16016 установки калибровочной CU-01. Соединить выход датчика ударных импульсов 4ХХХХ или TRAXX со входом вспомогательного анализатора состояния механизмов Leonova Emerald.
Примечание. При поверке датчиков семейства 4ХХХХ и TRAXX взрывозащищенного исполнения с анализатором состояния механизмов Leonova Emerald не взрывозащищенного исполнения применять внешнее согласующее устройство TMU-12, либо соответствующий барьер искрозащиты.
-
7.5.3 Установить на выходе генератора STG-02 режим измерения Shock Pulse, далее - Single Pulse выходное напряжение синусоидального сигнала полуразмахом 6,3 В и частотой повторения импульсов 1000 Гц, соответствующее уровню сигнала 96 дБ, относительно 100 мкВ (при этом уровень полуразмаха виброускорения на выходе устройства 16016 установки калибровочной CU-01 составляет 56 дБ относительно 100 мм/с2).
-
7.5.4 Произвести отсчет показаний анализатора состояния механизмов Leonova Emerald. Считать, что пиковое значение сигнала датчика ударных импульсов находится в допустимых пределах, если показания находятся в пределах 55±3 дБ LR и 55±3 дБ HR.
-
7.5.5 Установить на выходе генератора STG-02 режим измерения Shock Pulse, далее - STG Pulse, частоту модулирующего генератора равную 1000 Гц.
-
7.5.6 Провести измерения при помощи анализатора состояния механизмов Leonova Emerald, задавая пиковое значение сигнала на выходе генератора STG-02, используя контрольные значения в соответствии с таблицей 3.
Таблица 3
|
(LR/HR)reH, дБ |
(LR/HR)3O, дБ |
(LR/HR)H3M, дБ |
ДбВизм, дБ |
ДбВдоп, дБ |
|
96 |
55/55 |
±3 | ||
|
75/65 |
34/24 |
±3 | ||
|
45/35 |
6/-6 |
±3 | ||
|
20/10 |
-20/-30 |
±3 |
-
7.5.7 Повторяют измерения по п.п. 7.5.6 три раза.
-
7.5.8 По трем наблюдениям определяют средние значения для (LR/HR)roM.
-
7.5.9 Вычислить отклонения измеренных значений ударных импульсов от заданных для значений LR/HR и занести результаты в таблицу 3.
-
7.5.10 Считать датчик ударных импульсов 4ХХХХ и TRAXX годным, если полученные отклонения находятся в пределах допусков, установленных в таблице.
8. Оформление результатов поверки
-
8.1 Результаты поверки датчиков 4ХХХХ и TRAXX оформляют в виде протокола, типовая форма которого приведена в Приложении Б. на основании экспериментальных данных, полученных в процессе первичной (периодической) поверки и зафиксированных в рабочем журнале.
-
8.2 На датчики ударных импульсов 4ХХХХ и TRAXX, признанные годными, выдается свидетельство о поверке по форме, установленной ПР 50.2.006-94. На оборотной стороне свидетельство записывают результаты поверки по форме, приведенной в Приложении В.
-
8.3 Датчики, не удовлетворяющие требованиям настоящей методики, к выпуску и применению не допускаются, на них выдается извещение о непригодности с указанием причин.
Главный специалист отдела № 433

А.Ю. Смирнов
Приложение А (обязательное)
-
1. Материал : столь 45ХНМФ ГОСТ 4543-71.
-
1 Отбе^тие’мЗ выполняется б соответствии с инструхциеО по понта*# на дотчики ^М4ХХХХ.
Приложение Б
(рекомендуемое)
Протокол первичной (периодической) поверки датчиков 4ХХХХ и TRAXX №......
от................20.....г.
1 Поверка датчиков проведена рабочей группой в составе:
-
2 Назначение датчиков - датчики ударных импульсов подлежат применению в составе ИИСМ состояния подшипников механических объектов (роторных агрегатов)
(наименование технологической установки) ________________в качестве первичных измерительных преобразователей, (наименование организации)
-
3 Наименование и номер документа, по которому проводилась поверка «Датчики ударных импульсов 4ХХХХ и TRAXX. Методика поверки» ТС RU C-SE.rE04.B.00018 МП.
-
4 Условия поверки
-
5 Результаты внешнего осмотра датчиков
-
5.1 Наличие индивидуальных номеров датчиков___________________
-
5.2 Наличие маркировки взрывозащиты__________________________
-
5.3 Состояние контактирующих поверхностей____________________
-
-
6 Результаты поверки
№ датчика 4ХХХХи TRAXX
Значение fpe3 при первичной поверке, кГц
Диапазон пиковых значений сигнала SomH при электрическом возбуждении, дБ
Значение £ при первичной поверке
где
fpe3 - значение частоты установочного резонанса датчика, кГц;
SomH - пиковое значение сигнала датчика ударных импульсов при электрическом возбуждении, дБ;
е - значение относительного коэффициента затухания датчиков.
-
7 ЗАКЛЮЧЕНИЕ
На основании результатов поверки признать параметры исследованных датчиков стабильными и пригодными к использованию в составе «Системы мониторинга состояния подшипников механических объектов (роторных агрегатов) «Установки...........
... ».
(наименование организации, эксплуатирующей данную установку)
На основании результатов поверки выдано свидетельство о поверке
№______________от_________________
или извещение о непригодности №________от_______
Причина оформления извещения о непригодности
Подписи лиц, проводивших поверку:______________________
ПРОТОКОЛ №

Форма № 433-04-02
МИ гци СИ
первичной поверки аппаратуры для мониторинга
зав. №

изготовитель
"SPM Instrument АВ", Швеция
наименование
принадлежащей
Условия поверки
|
Параметр |
Фактические значения |
|
Температура окружающего воздуха |
21 °C |
|
Относительная влажность воздуха |
30% |
Средства поверки
|
Наименование, тип, заводской номер |
Метрологические характеристики |
|
Установка калибровочная CU-01, зав.№ Свид. о поверке № от г. |
(0 - 77) м/с2, (0.1 - 1080) Гц, ПГ+/- 5 % 0 dBsv соотв. 1 • 10'2 м/с2 или 100 мкВ |
Операции поверки
-
1. Внешний осмотр: соответствует |
-
2. Обозначения мест установки ВХ - воздушный холодильник
датчики ударных импульсов: Н - насосная
-
3. Состав измерительных каналов: измерительный блок типа № _______
установленный в шкафу № ____________ |,
датчики ударных импульсов типа SPM42011-R
Таблица 1
Результаты поверки
|
Уровень,заданный на STG-02, dBsv |
Ожидаемое значение LK/HR, dBsv |
Значение, измеренное датчиками удцзных импульсов, dBsv | |||||||
|
!1 1 1 1 1 4. |
5 1 6.1 1 1? | ||||||||
|
установленного: | |||||||||
|
1 1 1 1 1 1 | |||||||||
|
обозначения и серийные №№ датчиков ударных импульсов: | |||||||||
|
96 |
56/56 |
55/55 |
55/55 |
55/55 |
55/55 | ||||
|
70/60 |
30/20 |
29/19 |
29/19 |
29/19 |
29/19 | ||||
|
45/35 |
5/-5 |
4/-7 |
4/-7 |
4/-7 |
4/-7 | ||||
|
0 |
-20/-20 |
-19/-19 |
-19/-19 |
-19/-19 |
-19/-19 | ||||
|
Допустимое отклонение LR/HR, dBsv |
+/-3 |
+1-3 |
+1-3 |
+1-3 |
+/-3 |
+/-3 |
+1-3 |
+1-3 | |
Таблица 1 Продолжение
|
Значение, измеренное датчиками ударных импульсов, dBsv | |||||||||
|
9 |
10 |
11 |
12 |
13 |
14 |
15 |
16 | ||
|
Уровень,заданный на STG-02, dBsv |
Ожидаемое |
установленного: | |||||||
|
значение LR/HR, |
1 1 1 1 1 1 | ||||||||
|
dBsv |
обозначения и серийные №№ датчиков ударных импульсов: | ||||||||
|
96 |
56/56 | ||||||||
|
70/60 |
30/20 | ||||||||
|
45/35 |
5/-5 | ||||||||
|
0 |
-20/-20 | ||||||||
Приложение В
(рекомендуемое)
Форма записи на обратной стороне сертификата о поверке датчика ударных импульсов 4ХХХХ и TRAXX
-
1. Частота установочного резонанса (/рез) датчика___________кГц.
-
2. Значение относительного коэффициента затухания (г)___________.
-
3. Пиковое значение сигнала датчиков ударных импульсов при возбуждении
сигналом 96 дБ,_______дБ.
-
4. Диапазон измерения ударных импульсов: от -19 до 99 дБ.
15
