Методика поверки «Государственная система обеспечения единства измерений Средство измерений энергии импульсного лазерного излучения СИЭ» (МП 035.Ф2-18)
УТВЕРЖДАЮ

директора «ВНИИОФИ» Р.А. Родин 2018 г.
Государственная система обеспечения единства измерений
Средство измерений энергии импульсного лазерного излучения СИЭ
Методика поверки
МП035.Ф2-18

Главный метролог
ФГУП «ВНИИОФИ»
_____С.Н. Негода » лг 2018 г.
Начальник лаборатории Ф-2 ФГУП«ВНИИОФИ» с С.А. Москалюк
» zy 2018 г.
г. Москва
2018 г.
1 Введение-
1.1 Настоящая методика распространяется на средство измерений энергии импульсного лазерного излучения СИЭ (далее по тексту СИЭ), предназначенного для работы на фиксированных длинах волн лазерного излучения 1,064 и 0,532 мкм в динамическом диапазоне измерения энергии лазерного излучения от РЮ’4 до Г10'1 Дж в нано- и пикосекундном диапазоне длительностей импульса при частоте повторения до 2000 Гц с регистрацией значений энергии по каждому импульсу в серии до 5000 импульсов и устанавливает методы его первичной и периодической поверок.
-
1.2 Интервал между поверками 1 год.
-
1.3 В тексте приняты следующие сокращения:
ЛИ - лазерное излучение;
ВЭТ - вторичный эталон единиц средней мощности и энергии;
НСП - неисключенная систематическая погрешность;
СКО - среднеквадратическое отклонение;
СИ - средство измерений;
БИ - блок индикации;
ФПЭ-1 - фотоэлектрический преобразователь энергии импульсного лазерного излучения для лазерных пучков диаметром от 3 до 30 мм;
ФПЭ-2 - фотоэлектрический преобразователь энергии импульсного лазерного излучения для лазерных пучков диаметром от 30 до 60 мм;
НД - нормативные документы;
ПО - программное обеспечение.
2 Операции поверки-
2.1 При проведении первичной и периодической поверок выполняют операции, указанные в таблице 1.
Таблица 1 - Операции поверки
|
Наименование операции |
Номер пункта методики |
Обязательность выполнения операции | |
|
При первичной поверке |
При периодической поверке | ||
|
Внешний осмотр |
8.1 |
Да |
Да |
|
Опробование |
8.2 |
Да |
Да |
|
Подтверждение соответствия программного обеспечения |
8.3 |
Да |
Да |
|
Определение метрологических характеристик |
8.4 | ||
|
Определение диапазона измерений и расчет предела допускаемой относительной погрешности измерений энергии ЛИ |
8.4.1 |
Да |
Да |
2.2 При получении отрицательных результатов хотя бы одной операции
поверка прекращается.
-
2.3 Поверку средств измерений осуществляют аккредитованные в установленном порядке в области обеспечения единства измерений юридические лица и индивидуальные предприниматели.
-
3.1 При проведении первичной или периодической поверки применяется Государственный вторичный эталон единиц средней мощности от 0,1 до 2,0 Вт и энергии от 0,1 до 2,0 Дж в диапазоне длин волн от 0,3 до 12,0 мкм по ГОСТ Р 8.275-2016 (регистрационный номер в Федеральном информационном фонде 2.1.ZZA.0060.2015), суммарная относительная погрешность при воспроизведении единицы энергии лазерного излучения не превышает 1 %.
-
3.2 Средства поверки, указанные в п.3.1, должны быть поверены и аттестованы в установленном порядке. Допускается также применение других средств поверки, обеспечивающих определение (контроль) метрологических характеристик поверяемого средства измерения с требуемой точностью.
-
4.1 К проведению поверки допускают лиц, изучивших настоящую методику поверки, ГОСТ 31581-2012, а также требования эксплуатационной документации, имеющих квалификационную группу не ниже III в соответствии с правилами по охране труда при эксплуатации электроустановок, указанных в приложении к приказу Министерства труда и социальной защиты РФ от 24.07.13 № 328Н, прошедших полный инструктаж по технике безопасности, а также прошедших обучение на право проведения поверки по требуемому виду измерений.
-
5.1 При проведении поверки следует соблюдать требования, установленные ГОСТ Р 12.1.031-2010, ГОСТ 12.1.040-83, правилами по охране труда при эксплуатации электроустановок, указанных в приложении к приказу Министерства труда и социальной защиты РФ от 24.07.13 № 328Н.
-
5.2 Оборудование, применяемое при поверке, должно соответствовать требованиям ГОСТ 12.2.003-91. Воздух рабочей зоны должен соответствовать ГОСТ 12.1.005-88 при температуре помещения, соответствующей условиям испытаний для легких физических работ.
-
5.3 Система электрического питания средств поверки и измерителя должна быть защищена от колебаний и пиков сетевого напряжения.
-
5.4 При проведении поверки должны соблюдаться требования безопасности при эксплуатации лазерных изделий согласно ГОСТ 31581-2012, а также требования эксплуатационной документации.
-
5.5 Помещение, в котором проводится поверка, должно соответствовать требованиям пожарной безопасности по ГОСТ 12.1.004-91, и иметь средства пожаротушения по ГОСТ 12.4.009-83.
-
6.1 Все этапы поверки проводят в нормальных условиях окружающей среды в соответствии с ГОСТ 8.395-80 при следующих условиях:
- температура окружающего воздуха, °C.......................................20 ± 3;
-
- относительная влажность воздуха, %, не более..........................80;
-
- атмосферное давление, кПа........................................................100 ± 4.
-
6.2 Помещение, где проводится поверка, должно быть чистым и сухим,
а также должны отсутствовать интенсивные воздушные потоки, вибрации, воздействие электрических помех и акустические шумы.
-
6.3 Допускаемый перепад температуры воздуха в течение часа -не более 2 °C.
-
7.1 Перед проведением поверки необходимо ознакомиться с настоящей методикой поверки, руководством по эксплуатации и формуляром на СИЭ.
-
7.2 Выполнить мероприятия по обеспечению условий безопасности согласно разделу 5 настоящей методики поверки.
-
7.3 Перед проведением поверки фотоэлектрические преобразователи из состава СИЭ должны быть извлечены из транспортировочной тары и выдержаны не менее одного часа в условиях окружающей среды по п.6.1 настоящей методики поверки, если условия хранения или транспортировки отличались от указанных.
-
7.4 Подготовить СИЭ к работе, для чего к его блоку индикации (БИ) подключают один из фотоэлектрических преобразователей и конфигурируют на необходимую длину волны и уровень принимаемого ЛИ, согласно руководству по эксплуатации.
-
7.5 ВЭТ включают и подготавливают к работе в соответствии с его правилами содержания и применения.
-
8 Проведение поверки
-
8.1.1 СИЭ должно быть укомплектовано всеми составными частями и документацией в соответствии с его формуляром.
-
8.1.2 Составные части СИЭ не должны иметь механических повреждений, фотоэлектрические преобразователи не должны иметь трещин, сколов, следов абляции и других дефектов.
-
8.1.3 Проверяется надежность межблочных соединений составных частей СИЭ.
-
8.1.4 Маркировка и заводские номера на всех составных частях СИЭ должны соответствовать данным указанным в формуляре.
-
8.1.5 СИЭ считается прошедшим операцию поверки, если он представлен комплектно, на фотоэлектрических преобразователях отсутствуют дефекты, а блок индикации не имеет повреждений влияющих на индикацию результатов измерений.
-
8.2.1 Проверка работоспособности СИЭ осуществляется в соответствии с руководством по эксплуатации, с целью проверки его пригодности к поверке.
-
8.2.2 Фотоэлектрические преобразователи ФПЭ-1 и ФПЭ-2 поочередно подключают к блоку индикации (БИ) и путем перевода тумблера в положение ВКЛ находящегося на корпусе БИ, включают его.
-
8.2.3 Подключенный к БИ фотоэлектрический преобразователь устанавливают в оптический тракт подготовленного к работе ВЭТ, и проводят юстировку, таким образом, чтобы ЛИ попадало в центр приёмного элемента фотоэлектрического преобразователя, после чего, в соответствии с алгоритмом работы ВЭТ, подают импульсы ЛИ.
-
8.2.4 СИЭ считается прошедшим операцию поверки, если после подачи ЛИ, значение энергии ЛИ, преобразованное фотоэлектрическими преобразователями и выводится на индикатор БИ.
-
8.3.1 Идентификация данных встроенного программного обеспечения предусмотрена только при подключении БИ с помощью специального соединительного кабеля к персональному компьютеру, с установленным на него внешним ПО, взятые из состава СИЭ. Идентификационные данные версии установленного ПО, отображаются в диалоговом окне на экране персонального компьютера, в разделе «свойства».
-
8.3.2 СИЭ считается прошедшим операцию проверки, если идентификационные данные ПО соответствуют идентификационным данным, приведенным в таблице 2.
Таблица 2 - Идентификационные данные.
|
Идентификационные данные (признаки) |
Значение |
|
Идентификационное наименование внешнего ПО |
sie.exe |
|
Номер версии (идентификационный номер внешнего ПО) |
1.0 и выше |
|
Цифровой идентификатор внешнего ПО |
- |
-
8.4 Определение метрологических характеристик
-
8.4.1.1 Определение диапазона измерений значений энергии ЛИ и расчет предела допускаемой относительной погрешности СИЭ производится с помощью ВЭТ на длинах волн 1,064 и 0,532 мкм. Диаметр пучка лазерного излучения, поступающего от ВЭТ на вход ФПЭ-1 должен находиться в пределах от 8 до 10 мм, а ФПЭ-2 в пределах от 30 до 40 мм в динамическом диапазоне от 1 • 10’4 до 1’10’1 Дж.
-
8.4.1.2 ВЭТ включают и подготавливают к работе в соответствии с его правилами содержания и применения, и СИЭ в соответствии с руководством по эксплуатации подготавливают к работе на длине волны 1,064 мкм с уровнем энергии ЛИ, соответствующим середине рабочего диапазона энергии ЛИ СИЭ.
-
8.4.1.3 Фотоэлектрический преобразователь, подключенный к БИ, устанавливают в оптический тракт ВЭТ и проводят юстировку таким образом, чтобы ЛИ попадало в центр приемного окна фотоэлектрического преобразователя.
-
8.4.1.4 В соответствии с алгоритмом работы на ВЭТ последовательно подаются п - импульсов с известным значением энергии ЛИ, где п - не менее семи.
-
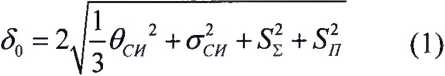
8.4.1.5 По значениям, полученным в процессе измерений, рассчитывается предел допускаемой относительной погрешности измерений энергии ЛИ СИЭ по формуле 1:

®си
где,
- неисключенная относительная систематическая погрешность
измерений энергии ЛИ СИЭ, % ;
&си - среднеквадратическое отклонение измерений энергии ЛИ СИЭ, %;
SL - суммарная погрешность измерений энергии ЛИ ВЭТ выраженная в виде СКО (&= 1,0%);
Sn - погрешность передачи единицы энергии ЛИ ВЭТ (Sn ~ 0,8 %).
Неисключенная относительная систематическая погрешность измерений энергии ЛИ СИЭ рассчитывается по формуле 2:
• 100 %,

где, Дпах - максимальное значение отношения Qcns ! Q-взт , отн. ед.;
4nin - минимальное значение отношения 0СЮ / QB3t ■, отн. ед.;
0сяэ - значение энергии ЛИ, зарегистрированное СИЭ, мДж;
О.вэт - значение энергии ЛИ, воспроизведенное ВЭТ, мДж.
Среднеквадратическое отклонение измерений энергии ЛИ СИЭ определяется по формуле 3:
(3)где, Д - 1-°е значение отношения Qcu3/Qb3t, отн. ед.;
А - среднее значение отношения Qcu3/QB3T, отн. ед.;
Qcus - значение энергии ЛИ, зарегистрированное СИЭ, мДж;
Qb3t - значение энергии ЛИ, воспроизведенное ВЭТ, мДж;
п - число импульсов (w=7).
-
8.4.1.6 Процедуру определения предела допускаемой основной относительной погрешности измерений ЛИ повторяют на минимуме и максимуме динамического диапазона.
-
8.4.1.7 После чего ВЭТ в соответствии с его правилами содержания и применения и СИЭ в соответствии с руководством по эксплуатации подготавливают к работе на длине волны 0,532 мкм, и проводят поверку аналогично пунктам 8.4.3 - 8.4.8 настоящей методики поверки.
-
8.4.1.8 СИЭ считают прошедшим операцию поверки, если диапазон измерений на длинах волн 1,064 и 0,532 мкм находится в пределах от 1’10’4 до Г10’1 Дж и полученное значение предела допускаемой относительной погрешности измерений ЛИ на длинах волн 1,064 и 0,532 мкм не превышает 5 %.
-
9.1 Результаты поверки заносятся в протокол (рекомендуемая форма протокола приведена в приложении А, к настоящей методике поверки), который хранится в организации, проводившей поверку не менее трех интервалов поверки.
-
9.2 СИЭ, прошедшее поверку с положительным результатом, признается годным и допускается к эксплуатации. Выдаётся свидетельство о поверке установленной формы с указанием полученных по п.8.4 фактических значений метрологических характеристик, и наносится знак поверки согласно Приказу Министерства промышленности и торговли Российской Федерации №1815 от 02.07.2015 «Об утверждении Порядка проведения поверки средств измерений, требования к знаку поверки и содержанию свидетельства о поверке».
-
9.3 СИЭ, прошедшее поверку с отрицательным результатом, признается непригодным и не допускается к эксплуатации. Свидетельство о предыдущей поверке и знак поверки аннулируют и выписывают «Извещение о непригодности» с указанием причин в соответствии с требованиями Приказа Министерства
промышленности и торговли Российской Федерации № 1815 от 02.07.2015.
Е. Г. Мезенцева
В.С. Хлопов
Главный специалист ФГУП «ВНИИОФИ»
Инженер 1 категории ФГУП «ВНИИОФИ»
ПРИЛОЖЕНИЕ А
(рекомендуемое)
ПРОТОКОЛ первичной / периодической поверки от «_______»____________20__года
Средство измерений: ________________________________
""(Наименование СЙ, тип (если в состав СИ входит несколько автономных блоков
то приводят их перечень (наименования) и типы с разделением знаком «косая дробь» /)
Зав. № ____________________________________
Заводские номера блоков
Принадлежащее_________________________________
Наименование юридического лица. ИНН
Поверено в соответствии с методикой поверки ____________________________________
Наименование документа на поверку, кем утвержден (согласован), дата
С применением эталонов_______
(наименование, заводской номер, разряд, класс точности или погрешность)
При следующих значениях влияющих факторов:
(приводят перечень и значения влияющих факторов, нормированных в методике поверки)
-
- температура окружающего воздуха,°С 20 ± 3;
-
- относительная влажность, %, не более 80;
-
- атмосферное давление, кПа 100 ± 4;
Получены результаты поверки метрологических характеристик:
|
Показания эталона |
Показания поверяемого СИ |
Результат % |
Требования методики поверки |
Рекомендации___________________
Средство измерений признать пригодным (или непригодным) для применения
И спо л н ител и:____________________________________________________________________
_________________________________________подписи, ФИО, должность
9
