Методика поверки « СИСТЕМЫ ИЗМЕРЕНИЙ ДЛИТЕЛЬНОСТИ СОЕДИНЕНИЙ MSS R18» (5295-022-29420846-2018MП)

СИСТЕМЫ ИЗМЕРЕНИЙ ДЛИТЕЛЬНОСТИ СОЕДИНЕНИЙ
MSSR18Методика поверки
5295-022-29420846-2018МП
СОГЛАСОВАНО
По доверенности от Ericsson АВ Начальник отдела подтверждения

А.В. Шмигирилова
Математический аппарат обработки результатов испытаний
Описание формата файла тарифной информации................................................................. 18
Настоящая методика поверки (МП) устанавливает методы и средства первичной, и периодической поверок системы измерений длительности соединений MSS R18, версия ПО 18, далее СИДС.
СИДС входит в состав комплекса оборудования с измерительными функциями оконечно-транзитного узла связи MSS сети подвижной радиотелефонной связи стандартов GSM 900/1800, UMTS, версии ПО 18 производства Ericsson АВ, Швеция.
Методика разработана в соответствии с рекомендацией РМГ 51-2002 ГСИ Документы на методики поверки средств измерений. Основные положения.
Объектом метрологического контроля при поверке является система измерений длительности соединений, входящая в состав вышеназванного оборудования.
Цель поверки - определение действительных значений метрологических характеристик (MX) СИДС и предоставление документа о возможности ее эксплуатации.
Поверку СИДС осуществляют один раз в два года метрологические службы, которые аккредитованы в системе Росаккредитации на данные виды работ.
Требования настоящей методики поверки обязательны для метрологических служб юридических лиц независимо от форм собственности.
1 Операции поверки
При проведении поверки должны производиться операции, указанные в таблице 1.
Таблица 1
Наименование операции |
Номер пункта документа по поверке |
Проведение операции при | |
первичной поверке |
периодической поверке | ||
1 Опробование |
7.1 |
+ |
+ |
2 Определение метрологических и технических характеристик: - абсолютная погрешность измерения длительности телефонного соединения; вероятность неправильного представления исходных данных для тарификации. |
7.2 |
+ |
+ |
2 Средства поверки
-
2.1 При проведении поверки должны применяться средства измерений, указанные в таблице 2.
Таблица 2
Наименование СИ |
Предел измерений, с |
Основная погрешность, с |
Примечание |
1 Формирователь - измеритель соединений универсальный СИГМА, СВТН.466961.001 ТУ |
1 - 3600 |
±0,25 | |
Примечания
|
3 Требования к квалификации поверителей
-
3.1 К проведению поверки допускаются лица
аттестованные в качестве поверителей систем измерений длительности соединений;
изучившие эксплуатационную документацию СИДС и рабочих эталонов;
имеющие знания в области IP - технологий;
имеющие квалификационную группу по технике безопасности не ниже III.
4 Требования безопасности
-
4.1 Корпус прибора Сигма должен быть заземлен.
-
4.2 Рабочее место должно иметь соответствующее освещение.
-
4.3 При проведении поверки запрещается:
проводить работы по монтажу и демонтажу применяемого в поверке оборудования;
производить работы по подключению соединительных кабелей при включенном питании прибора Сигма.
5
5.1
Условия поверки
При проведении поверки должны соблюдаться следующие условия:
температура окружающей среды, °C относительная влажность воздуха, % атмосферное давление, кПа (мм рт. ст.)
25 ± 10;
30-80;
84,0- 105,7 (630-800).
6 Подготовка проведению поверки
-
6.1 Перед проведением поверки необходимо провести следующие подготовительные работы:
проверить (экран монитора PC) версию программного обеспечения оборудования;
проверить срок действия свидетельства о поверке прибора Сигма;
разместить на рабочем столе прибор Сигма;
подвести к рабочему месту однофазное переменное напряжение 220 В;
собрать схему измерений в соответствии с рисунком 1 и руководством по эксплуатации на прибор Сигма;
откорректировать текущее время прибора Сигма по времени поверяемого оборудования.

Рисунок 1 - Схема поверки
-
7 Проведение поверки
7.1 Опробование
-
7.1.1 Опробование производят по схеме в соответствии с рисунком 1:
- включить питание прибора Сигма, после автоматической инсталляции операционной системы Linux, на рабочем столе появляются пиктограммы: Sigma-IP, Sigma-Taxofon, Sigma-ATC (рисунок 2), ассоциированные с программным обеспечением sigma.exe;

Рисунок 2
- щелкнуть по пиктограмме Sigma-ATC, открывается основное окно подпрограммы СИГМА-АТС, рисунок 3,
СИГМА-АТС
S3 Гпгтя •э*
Исходные данные Испытания Статистика

имя испытания Г New£xperimewt_2 ) о Создать ]
Сохранить | Всего этапов
t __________________ . °* .............. 1 | ||
Задано: 0 |
Сделано: 0 |
Ошибок: 0 |
L Ст«Е J |
| Ьпокироаать ) | |
( Стоп ] |
|Разблокировать] |
Рисунок 3
- выбрать имя испытаний или создать новую настройку испытаний, щелкнув по кнопке Создать, откроется окно, рисунок 4, в котором можно выбрать ранее созданную настройку или ввести имя в бокс File name, например, имя СИДС и сохранить, нажав на кнопку Save.

S Гнгтл
■ ■





\ UMW
IЕ. счг... 1

Рисунок 4
- откроется окно испытаний с сохраненным именем (рисунок 5),
.‘..EiggS
S3 Стятаг
Фармироватрды^чмдыт^ль ун^^М1*

wOxm «емггамй
Тиуш.е рвультагты
Сушаарш. роуль ...

- щелкнуть по вкладке Исходные данные и выбрать опцию Комплекты\Модемы (рисунок 6) и в соответствующих боксах ввести собственные и вызываемые телефонные номера, полученные от оператора;
СИГМА-АТС

Статистика

Исходные данные
настроить
Блок/Разбл
Испытания
N |
Собственный номер |
Вызываемый номер N |
Роль | ||
{ Номер |
) | ||||
Е 1 |
(Номер |
1 i 1 них • | |||
Е 2 |
( Номер |
) |
Номер |
ВХ 1 | |
Е 3 |
1 Номер |
j |
(Номер 1 |
И |
ИСХ » |
Е 4 |
(Номер |
) |
(Номер |
ВХ . | |
Е 5 |
( Номер |
) |
(Номер |
6 1 |
ИСХ 1 |
£ 6 |
[ Номер |
) |
номер |
Ь ■ |
ВХ . |
Е 7 |
( Номер |
J |
(Номер |
8 ■ |
ИСХ 1 |
Е В |
( Номер |
) |
((Номер_____) |
Р «Ж >1 |
Рисунок 6
- щелкнуть вкладку План испытаний (рисунок 7) и в диалоговое окно Выбор этапа 1 ввести длительность телефонного соединения и количество соединений на этапе. Для опробования создается один этап, а для поверки - 3 этапа в соответствии с таблицей 2.
S3

формировлтрлмзМРритРль универсальный

Рисунок 7 - Исходные данные/ План испытаний (опробование)
Таблица 2
Длительность телефонных соединений, с |
Количество телефонных соединений | ||
Опробование |
Первичная поверка |
Периодическая поверка | |
10 |
16 | ||
3600* |
8 |
- | |
600 |
16 |
16 | |
1 |
300 |
300 | |
* При невозможности установления длительности соединения, равной 3600 с, установить максимально возможную длительность, указанную оператором связи |
При необходимости можно сделать дополнительные настройки: Старт со сдвигом и изменить время между сессиями.
Перейти на вкладку Испытания и нажать клавишу Сохранить.
Для старта опробования необходимо нажать на кнопку Старт, прибор Сигма автоматически выполнит программу опробования.
После выполнения программы необходимо запросить у оператора учетный файл и скопировать его в прибор Сигма в папку Sigma-АТС с именем испытания (MSS).
Перейти в меню Статистика/Конвертация и выбрать или создать конвертор, рисунок 8, для автоматического расчета результатов опробования и способ расчета, рисунок 9.



(л испытания . J ФаАл ре»ульта’ t i«fc«A ' ‘ :’тЗ
Иыбранная СПК ■и библиотеки утвержденных СИДС И1 библиотеки СИДС | |
Файл СИДС 1 |
J; MAtam» J |
Конасрпчпмп. Начал. | |
Ололик ■ файлы | |
1 | |
Выяодиой Файл f |
Рисунок 8
сигма-ATt,



Рисунок 9
Оценить результаты опробования (успешно, неуспешно):
а) при успешном результате опробования (погрешность СИДС для каждой сессии не превышает ±1 с, конвертация учетного файла успешна) поверка продолжается;
б) при неуспешном результате (погрешность СИДС хотя бы одной сессии превышает ±1 с, или конвертация учетного файла не успешна), поверка прекращается до устранения неисправности.
7.2 Определение метрологических характеристик (MX)
-
7.2.1 Определение MX проводят аналогично пункту 7.1 на репрезентативных выборках комплексным (сквозным) методом, суть которого заключается в многократной подаче на вход испытываемого оборудования сигнала эталонной длительности телефонного соединения, а по средствам отображения информации (дисплей или учетные файлы) определяют длительности каждого соединения, измеренные СИДС, с дальнейшей обработкой и оценкой метрологических характеристик (MX).
-
7.2.1.2 Для определения MX создается 3 этапа, рисунок 10, в соответствии с таблицей 2.
-
СИГМА-АТС
SiФдрмиройатрдншрритрль универсальный


□ Старт со сдвигом, м с 100 р
□ Синхронный режим
Исходные данные
Испытания
Статистика
-----Выбор этапа----
Длительность сессии, с
Количество повтори
Добавить этап

Параметры испытания
Комплекты SIP ■
Период между соединениями.с
□ Отложенный старт
|0:00 ' В
Рисунок 10 - Исходные данные/План испытаний (определение MX)
Процедуру поверки прибор Сигма выполняет автоматически - формирует три этапа с указанным количеством телефонных соединений одновременно по восьми абонентским каналам.
8 Обработка результатов измерений
-
8.1 Обработка результатов измерений по п. 7.1 и определение MX по п. 7.2 производится полностью автоматически в PC по соответствующей программе.
-
8.3 Результаты поверки СИДС считаются положительными, если для всех соединений погрешность измерения длительности не превышает предельное значение и отсутствуют потери вызовов из-за неправильного определения номера автоабонента или автоответчика.
-
8.4 Результаты поверки СИДС считаются отрицательными, если хотя бы для одного соединения погрешность измерения длительности превышает предельное значение и имеется потеря вызовов из-за неправильного определения номера автоабонента или автоответчика.
-
8.5 При отрицательных результатах поверки СИДС после устранения причин проводится повторная поверка в объеме первичной поверки.
9 Оформление результатов поверки
-
9.1 Если СИДС по результатам поверки признана пригодной к применению, то на нее выдается «Свидетельство о поверке», установленной формы.
-
9.2 Если СИДС по результатам поверки признана непригодной к применению, то «Свидетельство о поверке» аннулируется, выписывается «Извещение о непригодности к применению» установленной формы, и ее эксплуатация запрещается.
-
9.3 Формы «Свидетельство о поверке» и «Извещение о непригодности к применению» оформляются в соответствии с документом «Порядок проведения поверки средств измерений, требования к знаку поверки и содержанию свидетельства о поверке», утвержденном приказом Минпромторга России от 02 июля 2015 г. №1815.
-
9.4 В обоих случаях составляется протокол поверки в произвольной форме и в качестве приложений прикладываются таблицы результатов поверки.
Формы таблиц приведены в приложении Б.
ПРИЛОЖЕНИЕ А
(справочное)
Характеристики прибора Сигма
Математический аппарат обработки результатов испытаний
А.1 Формирователь - измеритель соединений универсальный СИГМА. Общие сведения.
Формирователь - измеритель соединений универсальный СИГМА предназначен для измерений на сетях связи длительности соединения (сеанса связи) и количества (объема) переданной и (или) принятой информации.
Формирователь - измеритель соединений универсальный СИГМА, далее прибор, представляет собой программно-аппаратную систему, состоящую из блока формирователя-измерителя со встроенным управляющим компьютером и пакета специального программного обеспечения, СИГМА, версия 2.0, функционирующего в среде Linux.
Прибор может подключаться к поверяемым объектам по аналоговым абонентским линиям или с использованием технологий: Ethernet, GSM, UMTS, LTE.
В процессе работы прибор обеспечивает выполнение функций:
-
- переноса единиц объемов цифровой информации от государственного первичного эталона;
-
- формирования временных интервалов;
-
- измерения временных интервалов;
-
- измерения объемов информации;
-
- статистическая обработка многократных измерений объемов информации и временных интервалов.
Конструктивно оборудование выполнено в виде приборного контейнера, содержащего рабочие ТЭЗы.
Основные MX:
-
- пределы допускаемой абсолютной погрешности формирования длительности
IP соединений в диапазоне от 1 до 3600 с, с ±0,25;
-
- пределы допускаемой абсолютной погрешности измерения длительности IP соединений в диапазоне от 1 до 3600 с, с ±0,25;
-
- погрешность переноса эталонных единиц количества (объемов) информации в
диапазоне от 1 байта до 1 Гбайт, байт 0;
-
- погрешность измерения количества (объемов) информации, принимаемой в IP соединении, в диапазоне от 1 байта до 1 Гбайт, байт ±1;
-
- пределы допускаемой абсолютной погрешности формирования длительности телефонных соединений по аналоговым линиям в диапазоне от 1 до 3600 с, ± 0,25 с;
-
- пределы допускаемой абсолютной погрешности измерения длительности телефонных соединений по аналоговым линиям в диапазоне от 1 до 3600 с, ± 0,25 с;
-
- пределы допускаемой абсолютной погрешности измерения длительности телефонных соединений в режиме таксофона в диапазоне от 1 до 600 с, ± 0,25 с.
А.2 Математический аппарат обработки результатов испытаний
А.2.1 Модель испытаний
Объектом испытаний являются СИ, которые измеряют объем проходящей через них информации, либо длительность осуществляемых соединений или сеансов связи соответственно.
Схема испытания состоит из последовательно осуществляемых опытов, в каждом из которых испытуемое устройство проводит измерение заведомо известного (эталонного) значения длительности или объема информации.
Результатом каждого опыта, то есть наблюдаемым событием, будет погрешность измерения, то есть разность между измеренным и подаваемым на вход эталонным значениями.
Результат считается успешным, если погрешность измерения меньше или равна заданному предельно допустимому значению и неуспешным - в противном случае.
Неуспешным, также, считается измерение, незафиксированное испытуемым устройством.
Обозначим вероятность успешного результата каждого измерения - р, тогда вероятность неуспешного результата q = 1 - р, где р - вероятность появления успешного события, а q - вероятность появления неуспешного события (отказа).
Так как все измерения проводятся в одинаковых условиях - то эти вероятности (р и q) независимы и одинаковы для каждого опыта. Тогда, число успешных результатов S из и проводимых опытов - является случайной величиной, распределенной по биномиальному закону.
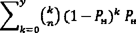
P(S<s)=Y' Q,‘(1-₽)"■“> (1)
■*—‘fc=0
где P(S < s) - вероятность того, что число успешных результатов не превысит величины s,
к - текущее значение величины S.
А.2.2 Критерии завершения испытаний
В ходе проведения испытаний требуется проверить, что оцениваемое значение q < Ро при выбранном значении доверительной вероятности Рдов. Ро - это предельно допустимая вероятность измерений с погрешностью больше заданной.
Вероятность P(S<s) можно рассматривать, как вероятность попадания оцениваемой величины ~q в заданный интервал [0, q], то есть должно выполняться соотношение P(S<s) = Рдов, или исходя из (1):

С)(1-Р0)к Р0и-к>Рдов; (2)
к=0
Из соотношения (2) находим s. Фактически это означает, что при вероятности отказа (ошибки измерения), равной Ро, с вероятностью Рдов будут успешными не более s измерений.
Иначе говоря, если в серии из п испытаний число отказов составит не более, чем у = (n - s), то можно утверждать, вероятность неправильной работы контролируемой системы измерений - меньше предельно - допустимой. Обозначим это значение ун.
Аналогично, из соотношения (3), можно определить значение s и, соответственно, у = (n - s), при котором вероятность неправильной работы контролируемой системы измерений окажется больше предельно - допустимой. Обозначим его ув.

(*) Р/(1 - Р0)"_к > Рдов (3)
к—О
Таким образом, в процессе проведения испытаний, в соответствующие моменты времени, проводится анализ зафиксированного количества ошибок (отказов) у на соответствие границам ун и ув, определенным, в соответствие с (2) и (3) Примеры расчета при разных значениях допустимой вероятности отказа (ошибки измерения) приведены в таблицах А1 и А2.
Если у < ун, то испытания закончены, результат УСПЕШНО;
Если у > ув, то испытания закончены, результат НЕУСПЕШНО;
Если ун < у < ув, то испытания следует продолжать, ДАННЫХ НЕДОСТАТОЧНО.
А.2.3 Точечные и интервальные оценки погрешности
Пусть А - измеряемая величина, тогда оцениваемую нами погрешность обозначим Х|.
Погрешность измерений - случайная величина, значения этой величины можно вычислить для каждого измерения, как разность между значением, измеренным контролируемым оборудованием и истинным (эталонным) значением формируемым прибором xj = Аизм, - АэТ|.
Таким образом, имеем набор значений погрешности измерений от Xi до хп.
Погрешность измерений является случайной величиной. На практике, полагают, что эта случайная величина имеет нормальное распределение. Это обусловлено тем, что погрешности измерений складываются из большого числа небольших возмущений, ни одно из которых не является преобладающим. Согласно же центральной предельной теореме сумма бесконечно большого числа взаимно независимых бесконечно малых случайных величин с любыми распределениями имеет нормальное распределение.
Реально, даже воздействие ограниченного числа возмущений, приводит к нормальному распределению результатов измерений и их погрешностей.
А.2.4 Систематическая составляющая погрешности
При многократных измерениях эффективной оценкой математического ожидания для группы из п наблюдений является среднее арифметическое л:
(4)
Формула (4) - определяет систематическую составляющую погрешности.
А.2.5 Среднеквадратическое отклонение СКО систематической погрешности
Оценка дисперсии будет выражаться:
Тогда среднеквадратическое отклонение от этого среднего а определяется, как квадратный корень из выражения (5):
(6)
А.2.6 Доверительный интервал систематической составляющей погрешности
95% - ный доверительный интервал для оцениваемой погрешности задается как:
(7)
А.2.7 Доверительный интервал для дисперсии
Величина D - представляет сумму случайных величин и в нашем случае можно
утверждать, что величина В распределена по нормальному закону.
Тогда:
D[P] = ^-52, J n-1
(8)
а среднеквадратическое отклонение будет равно:

(9)
95% - ный доверительный интервал для дисперсии D будет определяться:
D = D + 1,96
(Ю)
Таким образом, 95% - ный доверительный интервал для СКО систематической погрешности будет ограничен интервалом (\/о — 1,96 а д ', + 1,96 ад).
А.2.8 Доверительный интервал суммарной погрешности
Доверительный интервал, в котором находится значение суммарной погрешности задается формулой:

(Н)
или


(12)
Min и шах - это минимальное и максимальное значения погрешности измерения длительности сессии или объема переданного файла, в зависимости от вида испытаний.
Оценка вероятности неправильной работы контролируемого оборудования производится исходя из зафиксированных на конец испытаний значений п (общее число проводимых опытов) и у (количество отказов) по формулам (2) и (3).
(13)
где Рн и Рв соответственно нижняя и верхняя границы вероятности отказа.
Эти границы, в свою очередь могут быть найдены из уравнений (14) и (15) при вне
сении в них соответствующих значений п и у и Рдов = 0,95.




*—>к=0
(15)
В таблицах А1 и А2 представлены число необходимых испытаний для вероятности ошибок Ро = 0,01 и Ро = 0,0001.
Таблица А1 - Вероятность ошибки Ро = 0,01
Число испытаний |
Успешно, если число ошибок меньше или равно |
Неуспешно, если число ошибок больше |
299 |
1 |
6 |
473 |
2 |
9 |
628 |
3 |
И |
773 |
4 |
13 |
913 |
5 |
14 |
1049 |
6 |
16 |
1182 |
7 |
18 |
1312 |
8 |
19 |
1441 |
9 |
21 |
1568 |
10 |
22 |
1693 |
И |
24 |
1818 |
12 |
25 |
1941 |
13 |
27 |
2064 |
14 |
28 |
2185 |
15 |
30 |
2306 |
16 |
31 |
Таблица А2 - Вероятность ошибки Ро = 0,0001
Число испытаний |
Успешно, если число ошибок меньше или равно |
Неуспешно, если число ошибок больше |
29956 |
1 |
6 |
47437 |
2 |
9 |
62956 |
3 |
11 |
77535 |
4 |
13 |
91533 |
5 |
14 |
105128 |
6 |
16 |
118422 |
7 |
18 |
131479 |
8 |
19 |
144344 |
9 |
21 |
157049 |
10 |
22 |
169619 |
11 |
24 |
182072 |
12 |
25 |
194422 |
13 |
27 |
206682 |
14 |
28 |
218861 |
15 |
30 |
230968 |
16 |
31 |
ПРИЛОЖЕНИЕ Б
(справочное)
Таблицы результатов поверки
Таблица Б1 - Итоговые результаты
№ этапа |
Длительность, L, с |
Количество соединений |
Количество ошибок измерений |
Количество пропущенных соединений |
Результат этапа |
1 |
1 |
300 | |||
2 |
600 |
16 | |||
3 |
3600 |
8 | |||
Итог |
324 |
Таблица Б2 - Доверительные интервалы
Вероятность отказа min |
Вероятность отказа max |
Суммарная составляющая min |
Суммарная составляющая max |
Систематическая составляющая min |
Систематическая составляющая max |
CKO систематической составляющей погрешности min |
CKO систематической составляющей погрешности max |
ПРИЛОЖЕНИЕ В
(справочное)
Описание формат а файла тарифной информации
Наименование шаблона конвертора - Eric-MSSl8-2018.cfg
Для того, чтобы файл подробного учета, полученный от системы измерений длительности соединений, был корректно импортирован программным обеспечением прибора СИГМА необходимо определить и описать его структуру.
Данные учета, полученные от СИДС MSS R18, представляют собой набор небольших текстовых файлов. Для дальнейшего использования их необходимо объединить в один файл. Это обеспечивается программными средствами ПО СИГМА окно: СТАТИСТИКА/ Конвертация/Склеить файлы СИДС.
Полученный объединенный файл имеет текстовый формат и тегированную структуру. Каждому соединению в учетном файле соответствует блок текстовых строк, называемый запись, и начинающийся символьной строкой <UMTSGSMPLMNCallDataRecord>.
ПО прибора СИГМА импортирует четыре поля из каждой записи файла учета:
-
• Номер вызывающего абонента содержится в поле < callingParty Number>;
-
• Номер вызываемого абонента содержится в поле < calledPartyNumber>;
-
• Дата и время начала соедииеиня содержатся в поле
<timeForStartOfCharge>, в формате ДЕН.МЕС.ГОД ЧАС:МИН:СЕК.МС;
-
• Продолжительность соединения, в секундах содержатся в поле <
chargeableDuration >.
Полученный после конвертации файл имеет расширение csv и может быть открыт для финальной обработки в программе Exel.
Каждая строка содержит информацию об одном соединении.
Поскольку полученный файл содержит записи не только о тех соединениях, которые были реализованы с прибора СИГМА, но и о соединениях, устанавливаемых другими абонентами, то на первом этапе, следует провести фильтрацию, оставив только строки, в которых содержится записи о соединениях, инициированных прибором СИГМА. Это осуществляется встроенными средствами программы Exel, применяя аппарат текстовых фильтров к столбцам, содержащим номера вызывающих и вызываемых абонентов.
Дополнительно также следует модифицировать столбцы, содержащие номера вызывающего и вызываемого абонентов, добавив перед номером каждого абонента символ "плюс”. Это обеспечивается опцией ’’замена”, имеющейся в ПО Exel.
Если значения столбца "Duration” выражены в секундах, следует каждое значение этого столбца умножить на 1000, чтобы эти значения были выражены в миллисекундах.
Полученный файл сохранить в формате csv и скопировать в прибор СИГМА в каталог: home/administrator/sotsbi/sigma_ats/SIPD.
Фрагмент файла учета представлен на рисунке 1.
. » i
Call Type Service Subscriber
+79000002021
Called party
+79000002022
Maritime
23.05.2018 11:04:10.000
J________________
Stop time
23.05.201811:04:12.000
Duration I
1000
+79000002017
+79000002018
23.05.201811:04:10.000
23.05.201811:04:12.000
1000
4
5 I
Рисунок 1
+79000002017
+79000002021
+79000002018
+79000002022
23.05.2018 11:04:10.000
23.05.201811:04:12.000
1000
23.05.201811:04:10.000
23.05.201811:04:12.000
1000
g Ф;.1ЧЛ |
ъ * = | |||
Разметка страницы |
Формулы Дднгчье Рецензирование Вид I iepe: | |||
X Вырезать |
Calibri il |
■ А' А’ = |
Перенести текст | |
=—1 |
Копировать ’ | |||
Вставить , V формат по образцу |
Ж К Ч - Ш ’ |
* =г ~=- ♦= •*= |
Объединить и поместить | |
Буфер обмена |
Шрифт |
Выравнивание | ||
NIC |
■V |
А |
Пример записи в учетном файле:
Первая строка приведенного файла интерпретируется ПО прибора СИГМА следующим образом:
абонент с номером 4 79000002021 инициировал телефонное соединение с абонентом 4-79000002022, дата и время начала которого зафиксирована в файле, как 23 мая 2018 г. 11 ч, 04 мин 10.000 с, а длительность соединения - 1000 миллисекунд.
Лист регистрации изменений
Изм. |
Номера листов (страниц) |
Всего листов (страниц) в документе |
Номер документа |
Входящий номер сопроводительного документа |
Подпись |
Дата | |||
измененных |
заме нен ных |
новых |
аннулированных | ||||||