Инструкция «ГСИ. Резервуары вертикальные стальные вертикальные цилиндрические теплоизолированные РВС-700 » (МП 1043-7-2019)
ФЕДЕРАЛЬНОЕ АГЕНТСТВО ПО ТЕХНИЧЕСКОМУ РЕГУЛИРОВАНИЮ И МЕТРОЛОГИИ
Федеральное государственное унитарное предприятие «Всероссийский научно-исследовательский институт расходометрии»
Государственный научный метрологический центр
ФГУП «ВНИИР»
УТВЕРЖДАЮ

ИНСТРУКЦИЯ
Государственная система обеспечения единства измерений Резервуары вертикальные стальные вертикальные цилиндрические теплоизолированные РВС-700
Методика поверки
МП 1043-7-2019
Начальни
Тел

Кондаков А. В.
2-62-75; 272-54-55
Казань 2019 г.
Предисловие|
1 РАЗРАБОТАНА |
Федеральным государственным унитарным предприятием Всероссийским научно-исследовательским институтом расходометрии Государственным научным метрологическим центром (ФГУП «ВНИИР») |
|
ИСПОЛНИТЕЛИ: |
А. В. Кондаков, В. М. Мигранов |
|
2 УТВЕРЖДЕНА |
ФГУП «ВНИИР» 10 октября 2019 г. |
-
3 ВВЕДЕНА ВПЕРВЫЕ
ЛИСТОВ: 38
Настоящий нормативный документ не может быть полностью или частично воспроизведен, тиражирован и (или) распространен без разрешения ФГУП «ВНИИР»
Адрес: 420088, г. Казань, ул. 2-я Азинская, 7а
Тел/факс +7(843)272-61-26; +7(843)272-62-75
E-mail: nio7@vniir.org
СодержаниеСтр.
-
-
5.1 Требования к погрешности измерений параметров резервуара
-
5.2 Требования по применению рабочих эталонов и вспомогательных средств поверки ... 3
-
-
7 Требования к квалификации поверителей и требования безопасности
-
10 Проведение поверки резервуара
-
11 Обработка результатов измерений и составление градуировочной таблицы
Государственная система обеспечения единства измерений
Резервуары вертикальные стальные цилиндрические теплоизолированные РВС-700. Методика поверки МП 1043-7-2019ГОСТ 30852.9—2002 Электрооборудование взрывозащищенное. Часть 10. Классификация взрывоопасных зон;
ГОСТ 30852.11—2002 Электрооборудование взрывозащищенное. Часть 12. Классификация смесей газов и паров с воздухом по безопасным экспериментальным зазорам и минимальным воспламеняющим токам.
-
3 ТЕРМИНЫ И ОПРЕДЕЛЕНИЯ
В настоящей инструкции применяют следующие термины с соответствующими определениями:
-
3.1 резервуар стальной вертикальный цилиндрический теплоизолированный: Стационарная мера вместимости, наружная поверхность которой покрыта слоем теплоизоляции, с индивидуальной градуировочной таблицей, предназначенная для приема, хранения и отпуска, измерения объема и массы метанола совместно со средствами измерений уровня, плотности и температуры.
-
3.2 градуировочная таблица: Зависимость вместимости от уровня наполнения резервуара при нормированном значении температуры, равной 20 °C.
Таблицу прилагают к свидетельству о поверке резервуара и применяют для определения объема метанола в нем.
-
3.3 градуировка: Операция поверки по установлению зависимости вместимости резервуара от уровня его наполнения, с целью составления градуировочной таблицы.
-
3.4 вместительность резервуара: Внутренний объем резервуара с учетом объема внутренних деталей, который может быть наполнен метанолом до определенного уровня.
-
3.5 номинальная вместимость резервуара: Вместимость резервуара, соответствующая предельному уровню наполнения его, установленная нормативным документом для конкретного типа резервуара.
-
3.6 действительная (фактическая) полная вместимость резервуара: Вместимость резервуара, соответствующая предельному уровню его наполнения, установленная при его поверке.
-
3.7 посантиметровая вместимость резервуара: Вместимость резервуара, соответствующая уровню налитых в него доз жидкости, приходящихся на 1 см высоты наполнения.
-
3.8 коэффициент вместимости: Вместимость, приходящаяся на 1 мм высоты наполнения.
-
3.9 точка касания днища грузом рулетки: Точка на днище резервуара, которой касается груз измерительной рулетки при измерении базовой высоты резервуара и уровня метанола в резервуаре.
-
3.10 базовая высота резервуара: Расстояние по вертикале от точки касания днища грузом рулетки до верхнего края измерительного люка или до риски направляющей планки измерительного люка (при наличии)
-
3.11 предельный уровень: Предельный уровень определения посантиметровой вместимости резервуара при его поверке, соответствующий суммарной высоте нижней части резервуара и стенки резервуара
3.12 геометрический метод поверки: Метод поверки, заключающийся в определении вместимости резервуара по результатам измерений его геометрических параметров.
-
4 МЕТОД ПОВЕРКИ
Поверку резервуара проводят геометрическим методом.
-
4.1 При поверке резервуара вместимость первого пояса резервуара определяют по результатам измерений внутреннего диаметра с применением электронного тахеометра и высоты первого пояса.
-
4.1 Вместимость вышестоящих поясов определяют по результатам измерений внутренних радиусов и высот поясов.
-
5 ТЕХНИЧЕСКИЕ ТРЕБОВАНИЯ
5.1 Требования к погрешности измерений параметров резервуара
5.1.1 Пределы допускаемой погрешности измерений параметров резервуара приведены в таблице 1.
Таблица 1
|
Наименование измеряемого параметра |
Пределы допустимой погрешности измерений параметров резервуара |
|
Диаметр резервуара, мм |
±3 |
|
Высота пояса, мм |
± 3 |
|
Измерение расстояний, мм |
± 3 |
|
Температура стенки резервуара, °C |
± 2 |
|
Объем внутренних деталей, м3 |
± (0,025-0,25) |
5.1.2 При соблюдении указанных в таблице 1 пределов допускаемой погрешности измерений, относительная погрешность определения вместимости (градуировочной таблицы) резервуаров не превышает: ± 0,20 %.
5.2 Требования по применению рабочих эталонов и вспомогательных средств поверки
-
5.2.1 При поверке резервуара применяют следующие основные и вспомогательные средства поверки:
-
5.2.1.1 Рулетку измерительную 2-го класса точности с диапазоном измерений от О до 20 м по ГОСТ 7502.
-
5.2.1.2 Рулетку измерительную 2-го класса точности с грузом диапазоном измерений от 0 до 30 м по ГОСТ 7502.
-
5.2.1.3 Линейку измерительную металлическую с диапазоном от 0 до 500 мм, от 0 до 1000 мм по ГОСТ 427.
-
5.2.1.4 Установка с тахеометром электронным Leica FlexLine TS02 plus 3" R500 по [1].
-
5.2.1.5 Термометр с ценой деления 0,1 °C и диапазоном измерений от 0 до плюс 50 °C по ГОСТ 28498.
-
5.2.1.6 Анализатор-течеискатель типа АНТ-ЗМ по [2].
-
5.2.1.7 Веха телескопическая с призменным отражателем (рисунок А. 1).
-
-
5.2.2 Вспомогательные средства поверки: мел, шпатель, щетки (металлические), микрокалькулятор.
-
5.2.3 Рабочие эталоны должны быть аттестованы в соответствии с действующим законодательством.
-
5.2.4 Допускается применение других, вновь разработанных или находящихся в эксплуатации средств измерений, удовлетворяющих по точности и пределам измерений требованиям настоящей методики.
-
6 ТРЕБОВАНИЯ К ОРГАНИЗАЦИИ ПРОВЕДЕНИЯ ПОВЕРКИ
-
6.1 Поверку резервуаров осуществляют аккредитованные в установленном порядке в области обеспечения единства измерений юридические лица.
-
6.2 Устанавливают следующие виды поверок резервуара:
-
-
- первичную, которую проводят после строительства резервуара перед его вводом в эксплуатацию и капитального ремонта;
-
- периодическую, которую проводят по истечению срока действия градуировочной таблицы и при внесении в резервуар конструктивных изменений, влияющих на его вместимость;
-
- внеочередную поверку - проводят при изменении значений базовой высоты резервуара более чем на 0,1 % по результатам ежегодных её измерений.
Первичную поверку резервуаров проводят после их гидравлических испытаний.
-
7 ТРЕБОВАНИЯ К КВАЛИФИКАЦИИ ПОВЕРИТЕЛЕЙ И ТРЕБОВАНИЯ БЕЗОПАСНОСТИ
-
7.1 Поверку резервуара проводит физическое лицо, аттестованное в качестве поверителя и в области промышленной безопасности в соответствии с РД-03-20 [3], утвержденным приказом Ростехнадзора от 29.01.2007 № 37.
-
7.2 Измерения параметров при поверке резервуара проводит группа лиц, включая поверителя организации, указанной в 6.1, и не менее двух специалистов, прошедших курсы повышения квалификации и других лиц (при необходимости), аттестованных в области промышленной безопасности в соответствии с РД-03-20.
-
7.3 К поверке резервуара допускают лиц, изучивших настоящую рекомендацию, техническую документацию на резервуар и его конструкцию, средства поверки и прошедших инструктаж по безопасности труда в соответствии с ГОСТ 12.0.004, по промышленной безопасности в соответствии с РД-03-20.
-
7.4 Лица, проводящие поверку резервуара, используют спецодежду - костюмы по ГОСТ Р 12.4.290, спецобувь по ГОСТ 12.4.137, строительную каску по ГОСТ 12.4.087, рукавицы по ГОСТ 12.4.010.
-
7.5 Предельно допустимая концентрация (ПДК) вредных паров и газов в воздухе, измеренная газоанализатором вблизи и внутри резервуара на высоте 2000 мм, не должна превышать 300 мг/м3 - по ГОСТ 12.1.005-88.
-
7.6 Измерения параметров резервуара во время грозы категорически запрещены.
-
7.7 Для освещения при проведении измерений параметров резервуара применяют светильники во взрывозащитном исполнении.
-
7.8 Перед началом поверки резервуара проверяют исправность:
-
-
- лестниц с поручнями и подножками;
-
- помостов с ограждениями.
-
7.9 В процессе измерений параметров резервуара обеспечивают двух или трехкратный обмен воздуха внутри резервуара. При этом анализ воздуха на содержание вредных паров и газов проводят через каждый час.
-
7.10 Продолжительность работы внутри резервуара не более 4-х часов, после каждой четырехчасовой работы - перерыв на один час.
-
8 УСЛОВИЯ ПОВЕРКИ
-
8.1 При поверке соблюдают следующие условия:
-
8.1.1 Измерения параметров резервуара проводят изнутри его.
-
8.1.2 Для проведения измерений параметров резервуара его освобождают от остатков метанола, зачищают, пропаривают (при необходимости), промывают и вентилируют.
-
8.1.3 Температура окружающего воздуха и воздуха внутри резервуара (20 ± 15) °C.
-
8.1.4 При проведении периодической поверки допускается использовать результаты измерений вместимости «мертвой» полости, полученные ранее, и вносить их в таблицу Б.7 приложения Б, если изменение базовой высоты резервуара по сравнению с результатами её измерений в предыдущей поверке составляет не более 0,1 %.
-
-
-
9 ПОДГОТОВКА К ПОВЕРКЕ
-
9.1 При подготовке к поверке проводят следующие работы:
-
9.1.1 Изучают техническую документацию на резервуар, рабочие эталоны и вспомогательные средства поверки.
-
9.1.2 Подготавливают их согласно технической документации на них, утвержденной в установленном порядке.
-
9.1.3 Штатив тахеометра приводят в рабочее положение, устанавливают на него тахеометр, проводят необходимые операции к подготовки к работе, в соответствии с руководством по эксплуатации. Для удобства выполнения измерений рекомендуемая высота установки: 1650 - 1750 мм от днища резервуара до визирной линии тахеометра.
-
9.1.4 Проводят высотную привязку установки тахеометра, для этого:
-
-
а) опускают измерительную рулетку с грузом через измерительный люк то точки касания днища грузом рулетки и фиксируют её мелом;
б) устанавливают тахеометр в области центра резервуара, при этом место установки выбирают с учетом стабильного позиционирования прибора (отсутствие хлопуна);
в) тахеометр горизонтируют, с помощью триггеров в соответствии с его технической документацией. Выбирают режим измерений тахеометра HD-h-HZ. Величину горизонтального угла устанавливают Hz = 0°00 00 ;
г) направляют визир оптической трубы тахеометра (далее - визир тахеометра) по нормали к цилиндрической стенке резервуара в место пересечения днища и стенки (точка А рисунок А.З);
д) измеряют расстояние hA и вводят с обратным знаком в меню настроек тахеометра как высоту установки инструмента (рисунок А.З);
е) повторно снимая показания hA , проверяем правильность ввода данных. На меню дисплея отображения данных должны быть координаты: Hz = 0°00 00 ; /? = 0.
-
9.1.5 В программном обеспечении тахеометра формируют файл записи данных измерений.
-
9.2 Операции поверки
9..2.1 При проведении поверки резервуара должны быть выполнены операции, указанные в таблице 2
Таблица 2
|
№ п/п |
Наименование операции |
Номер пункта Инструкции |
|
1 |
Внешний осмотр |
10.1 |
|
2 |
Измерение базовой высоты |
10.2 |
|
3 |
Определение внутренних диаметров поясов резервуара |
10.3 |
|
4 |
Измерения высот поясов резервуара |
10.4 |
|
5 |
Определение параметров «мертвой» полости резервуара |
10.5 |
|
6 |
Определение объемов внутренних деталей |
10.6 |
-
10 ПРОВЕДЕНИЕ ПОВЕРКИ РЕЗЕРВУАРА
10.1 Внешний осмотр
-
10.1.1 При внешнем осмотре резервуара проверяют:
-
- состояние конструкции и внутренних деталей резервуара технической документации на него (паспорту, технологической карте на резервуар);
-
- наличие необходимой арматуры и оборудования;
-
- исправность лестниц и перил;
-
- состояние днища резервуара (отсутствие бугров, ям);
-
- чистоту внутренней поверхности резервуара;
-
- отсутствие деформации стенок резервуара, препятствующих проведению измерений параметров резервуара.
-
10.1.2 По результатам внешнего осмотра устанавливают возможность применения геометрического метода поверки резервуара.
10.2 Измерения базовой высоты резервуара
-
10.2.1 Базовую высоту резервуара Нб измеряют измерительной рулеткой с грузом не менее двух раз. Расхождение между результатами двух измерений не должно превышать 2 мм (рисунок А.2).
В точке касания днища грузом рулетки проводят мелом отметку на днище резервуара.
-
10.2.2 Результаты измерений базовой высоты /7б с указанием места отсчета вносят в протокол, форма которого приведена в приложении Б (таблица Б.З).
-
10.2.3 Базовую высоту измеряют ежегодно. Ежегодные измерения базовой высоты резервуара проводит комиссия, назначенная приказом руководителя предприятия -владельца резервуара, в состав которой должен быть включен специалист, прошедший курсы повышения квалификации по поверке и калибровке резервуаров.
При ежегодных измерениях базовой высоты резервуара резервуар может быть наполнен до произвольного уровня.
Результат измерений базовой высоты резервуара не должен отличаться от ее значения, указанного в протоколе поверки резервуара, более чем на 0,1 %.
Если это условие не выполняется, то проводят повторное измерение базовой высоты при уровне наполнения резервуара, отличающимся от его уровня наполнения, указанного в протоколе поверки резервуара, не более чем на 500 мм.
Результаты измерений базовой высоты оформляют актом, форма которого приведена в приложении В.
При изменении базовой высоты по сравнению с ее значением, установленным при поверке резервуара, более чем на 0,1 % устанавливают причину и устраняют ее. При отсутствии возможности устранения причины проводят внеочередную поверку резервуара.
10.3 Определение внутренних диаметров поясов резервуара
-
10.3.1 Определение внутренних диаметров поясов проводят с применением тахеометра по 5.2.1.4. Внутренне диаметры поясов резервуара Ц определяют по результатам измерений радиусов на 12 образующих в каждом поясе резервуара.
Тахеометр устанавливают в режим измерений «SD-Hz-Vz».
Измерение резервуара проводят:
а) для первого пояса - в верхнем сечении;
б) для вышестоящих поясов - в нижнем и верхнем сечениях.
Нижнее и верхнее сечения находятся в плоскости отходящих от сварного шва на величину равную 1/5 высоты пояса (рисунок А.4).
-
10.3.2 Измерение радиусов поясов резервуара проводят в следующей последовательности (рисунок А.5).
-
10.3.2.1 Направляют сетку нитей визира тахеометра на стенку резервуара в верхнем сечении 1-го пояса и измеряют: наклонное расстояние /дв , мм; вертикальный угол Vg1B , угл. сек.
-
10.3.2.2 Направляют сетку нитей визира тахеометра на стенку резервуара в нижнем сечении 2-го пояса и измеряют: наклонное расстояние /2Н , мм; вертикальный угол Vg2H , угл. сек.
-
10.3.2.3 Направляют сетку нитей визира тахеометра на стенку резервуара в верхнем сечении 2-го пояса и измеряют: наклонное расстояние /2В , мм; вертикальный угол У02в , угл. сек.
-
10.3.2.4 Проводят аналогичные операции по 10.3.2.2, 10.3.2.3 и измеряют : наклонные расстояние /дв , мм; вертикальны1 углы VgB , угл. сек.
-
Примечание - В обозначениях /дв и VgB верхний индекс указывает номер текущего пояса, в нижнем индексе - цифра соответствует номеру образующей (О, 1....N) , буква «н» и «в» соответствует плоскости (сечению) измерений (нижнее и верхнее соответственно).
-
10.3.2.5 Поворачивают алидаду тахеометра в горизонтальной плоскости против часовой стрелке на угол 30° (рисунок А.6). Фиксируют значение горизонтального угла ф1н , угл. сек. первой образующей.
-
10.3.2.6 Проведя аналогичные операции по 10.3.2.1 - 10.3.2.4 измеряют /^Н(В) , мм;
вертикальные углы .
-
10.3.2.7 Поворачивают алидаду тахеометра на угол 60°. Фиксируют значение
4
горизонтального угла ср2н > Угл- сек- ВТ0Р0Й образующей и проводят операции по 10.3.2.1 - 10.3.2.6.
-
10.3.2.8 Проводят аналогичные операции на остальных образующих.
-
10.3.2.9 Результаты измерений вносят в протокол, форма которого приведена в приложении Б (таблицы Б.4, Б.4.1).
10.4 Измерения высот поясов резервуара
Высоту i-ro пояса резервуара /?, измеряют на нулевой и противоположной N/2 образующей резервуара (рисунок А.7), при помощи тахеометра, в следующей последовательности.
-
10.4.1 Устанавливают на тахеометра режим измерений «HD-h-Hz».
-
10.4.2 Направляют сетку нитей визира тахеометра на середину сварного шва соединения верхней границы 1-го пояса и нижней границы 2-го пояса. Измеряют расстояние высоту превышения, как расстояние по вертикали th^, мм.
-
10.4.3 Проводя аналогичные процедуры по 10.4.3 измеряют расстояния th2---thk, мм, вышестоящих поясов.
Ю.4.4 Результаты измерений вносят в протокол, форма которого приведена в приложении Б (таблица Б.5).
10.5 Определение параметров «мертвой» полости резервуара
При определении параметров «мертвой» полости резервуара проводят измерения:
-
1) объема неровностей днища;
-
2) высоты «мертвой» полости;
-
3) координаты точки касания днища грузом рулетки.
-
10.5.1 Измерение объема неровностей днища тахеометра, вехи с призменным отражателем и измерительной рулетки путем измерения высот превышения рейки в точках пересечения концентрических окружностей днища (I, ll,..,VIII) и 8 радиусов днища (рисунок А.9).
Определение объема неровностей днища


Измерения проводят в следующей последовательности.
-
10.5.1.1 Проводят высотную привязку тахеометра к точке касания днища грузом рулетки днища грузом рулетки.
Тахеометр приводят в отражательный режим измерений «HD-h-Hz».
Устанавливают веху с призменным отражателем в точку касания днища грузом рулетки, контролируя вертикальное положение по круговому уровню вехи.
Наводят сетку нитей визира в центр призменного отражателя и измеряют высоту превышения hQ, мм, (рисунок А.8) и вводят с обратным знаком в меню настроек тахеометра как высоту установки инструмента.
Повторно снимая показания hQ, проверяем правильность ввода данных. На меню дисплея отображения данных должны быть координаты: Hz = 0°00 00 ; /) = 0.
-
10.5.1.2 Формируют координаты отсчета (места установки вехи) на первом радиусе, для чего укладывают рулетку на днище резервуара, при этом начало отсчета совмещают с точкой установки станции, а второй конец совмещают с отметкой 1-ой образующей на стенке резервуара (рисунок А.9).
-
10.5.1.3 Устанавливают веху в точку 1 (пересечение 1-й окружности на 1-й образующей), координаты отсчета приведены в таблице 3, контролируя вертикальное положение по круговому уровню вехи. Наводят сетку нитей визира в центр призменного отражателя и измеряют высоту превышения мм, (рисунок А. 10). Последовательно устанавливая в остальных точках отсчета измеряют высоты превышения Ь2 Ь8 11, мм. Таблица 3
Тип
Отсчет по шкале ленты
эулетки, мм, на радиусе
I
II
III
IV
V
VI
VII
VIII
РВС-1000
0,35R
0,5R
0,61 R
0,71R
0,79R
0.86R
0,93R
стенка
-
10.5.1.4 Поворачивают алидаду тахеометра на 45° против часовой стрелки и укладывают ленту рулетки на 2-й радиус днища, совмещая начало отсчета (точка /?2 -0, а второй конец совмещают с отметкой 2-ой образующей на стенке резервуара (рисунок А.9). Проводят измерения высот превышения Ь2 2,..., Ь8 2 на ВТ0Р0М радиусе аналогично.
-
10.5.1.5 Проводя аналогичные процедуры по 10.5.1.2-10.5.1.4 измеряют высоты превышений точек отсчета на остальных образующих.
-
10.5.1.6 Результаты измерений вносят в протокол поверки форма которого приведена в приложении Б (таблица Б.6).
-
10.5.2 Измерение высоты «мертвой» полости
Измерение высоты «мертвой» полости резервуара проводят с применением тахеометра в следующей последовательности.
Устанавливают веху с призменным отражателем на плоскость среза приемнораздаточного устройства. Направляют сетку нитей визира на центр призмы и измеряют расстояние thMn, мм, как высоту превышения (рисунок А. 11). Измерения проводят 2 раза, расхождение между результатами измерений должно быть не более 1 мм.
Результаты измерений вносят в протокол поверки форма которого приведена в приложении Б (таблица Б.7).
-
10.5.3 Измерение координаты точки касания днища грузом рулетки
Координату точки касания днища грузом рулетки измеряют тахеометром в следующей последовательности.
Устанавливают веху в точку касания днища грузом рулетки, контролируя вертикальное положение по круговому уровню вехи. Наводят сетку нитей визира в центр призменного отражателя и измеряют горизонтальный угол ф0 , °, и контролируют высоту hQ, мм. В соответствии с пунктом 10.5.1.1 её значение должно быть равно нулю.
Результаты измерений вносят в протокол поверки форма которого приведена в приложении Б (таблица Б.8).
10.6 Определение объемов внутренних деталей
Объемы внутренних деталей, находящихся в резервуаре, определяют по данным проектной документации на резервуар.
Внутренняя деталь, которая влияет на вместимость резервуара является люк-лаз и центральная труба.
Данные объемов и расположения внутренних деталей носят в протокол поверки форма которого приведена в приложении Б (таблица Б.9).
-
11 ОБРАБОТКА РЕЗУЛЬТАТОВ ИЗМЕРЕНИЙ И СОСТАВЛЕНИЕ ГРАДУИРОВОЧНОЙ ТАБЛИЦЫ
11.1 Обработка результатов измерений
-
11.1.1 Обработку результатов измерений при поверке проводят в соответствии с приложением В.
11.2 Составление градуировочной таблицы резервуара
-
11.2.1 Градуировочную таблицу составляют начиная с уровня Нмп, соответствующего высоте «мертвой» полости /7МП, до предельного уровня Нпр, вычисляя посантиметровую вместимость резервуара /-го пояса V , м3, по формуле
^), =*/("),-1

(1)
где V (Н). 1 - посантиметровая вместимость резервуара, соответствующая уровню
, м3;
Н - уровень жидкости, соответствующий, отсчитываемый от точки касания днища грузом рулетки, см;
- уровень жидкости, соответствующий суммарной высоте поясов, см;
Dt - внутренний диаметр /-го пояса, вычисляемый по формуле (Д.1), мм.
-
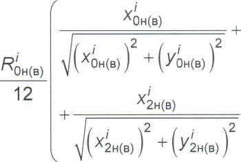
11.2.2 Предельный уровень Нпр, см, до которого составляют градуировочную таблицу, вычисляют по формуле

Л /_/ Д V'' м
-у== Цз-г== + -Lhi+roCOS(P -(2)
VWL лЛ+л2 /=1
где П - номер пояса, выбираемый из ряда: 2, 3,..., /?; hj - высота i-ro пояса, мм;
Го - радиус расположения точки касания днища грузом рулетки, мм; ф - угол направления наклона резервуара, °.
вычисляют по
-
11.2.3 Посантиметровую вместимость 1-го пояса формуле (Д.8).
-
11.2.4 В пределах каждого пояса вычисляют коэффициент вместимости, равный вместимости, приходящейся на 1 мм высоты наполнения.
-
11.2.5 Градуировочную таблицу «мертвой» полости составляют, начиная от исходной точки до уровня Нмп , соответствующий высоте «мертвой» полости.
-
11.2.6 При составлении градуировочной таблицы значения вместимости округляют до 1 дм3.
-
11.2.7 Значения посантиметровой вместимости, указанные в градуировочной таблице, соответствуют температуре 20 °C.
-
11.2.8 Результаты расчетов вносят в журнал, форма которого приведена в приложении Г.
-
11.2.9 Обработка результатов измерений может быть проведена ручным способом или с использованием разработанного и аттестованного в установленном порядке программного обеспечения.
-
11.2.10 Результаты измерений должны быть оформлены протоколом поверки, форма которого приведена в приложении Б, который является исходным документом для расчета градуировочной таблицы.
-
12 ОФОРМЛЕНИЕ РЕЗУЛЬТАТОВ ПОВЕРКИ
-
12.1 Результаты поверки резервуара оформляют свидетельством о поверке в соответствии с [4].
-
12.2 К свидетельству о поверке прикладывают:
-
а) градуировочную таблицу;
б) протокол поверки (оригинал прикладывают к первому экземпляру градуировочной таблицы);
в) эскиз резервуара.
-
12.3 Форма титульного листа градуировочной таблицы и форма градуировочной таблицы приведены в приложении Г. Форма акта ежегодных измерений базовой высоты резервуара приведена в приложении В.
Протокол поверки подписывает поверитель и лица, участвующие при проведении поверки резервуара.
Титульный лист и последнюю страницу градуировочной таблицы подписывает поверитель.
-
12.4 Градуировочную таблицу утверждает руководитель органа аккредитованного на право проведения поверки.

Рисунок А.1 - Веха телескопическая с призменным отражателем




Рисунок А.4 - Схема расположений плоскостей измерений (сечений) внутренних радиусов резервуара



Рисунок А.7 - Схема измерений высоты поясов


Рисунок А.9 - Координаты отсчета (место установки вехи) неровностей днища

Рисунок А.10 - Схема измерений высот превышения неровностей днища

(обязательное)
Форма протокола поверки резервуара
ПРОТОКОЛ
поверки резервуара геометрическим методом
Таблица Б.1- Общие данные
|
Код документа |
Регистрационный номер |
Дата |
Основание для проведения поверки | ||
|
число |
месяц |
год | |||
|
1 |
2 |
3 |
4 |
5 |
6 |
|
Первичная, периодическая, внеочередная | |||||
Продолжение таблицы Б.1
|
Место проведения поверки |
Рабочие эталоны и вспомогательные средства |
|
7 |
8 |
Окончание таблицы Б.1
|
Резервуар | ||
|
Тип |
Номер |
Погрешность определения вместимости резервуара, % |
|
9 |
10 |
11 |
Таблица Б.2 - Условия проведения измерений
|
Температура воздуха внутри резервуара, °C |
Загазованность, мг/м3 |
Таблица Б.З - Базовая высота резервуара В миллиметрах
|
Точка измерения базовой высоты /7б |
Номер измерения | |
|
1 |
2 | |
|
Риска измерительного люка | ||
|
Верхний срез измерительного люка | ||
Таблица Б.4 - Измерение внутренних радиусов
поясов резервуара В миллиметрах
|
Номер пояса |
/' Значение N на образующей | |||||||||||||
|
0 |
1 |
2 |
3 |
4 |
5 |
6 |
7 |
8 |
9 |
10 |
11 |
12 | ||
|
I |
в | |||||||||||||
|
II |
н | |||||||||||||
|
в | ||||||||||||||
|
III |
н | |||||||||||||
|
в | ||||||||||||||
|
IV |
н | |||||||||||||
|
в | ||||||||||||||
|
V |
н | |||||||||||||
|
в | ||||||||||||||
|
VI |
н | |||||||||||||
|
в | ||||||||||||||
|
VII |
н | |||||||||||||
|
в | ||||||||||||||
|
VIII |
н | |||||||||||||
|
в | ||||||||||||||
Таблица Б.4.1 - Параметры образующих
|
Параметр |
Номер образующей | |||||||
|
0 |
1 |
2 |
3 |
4 |
5 |
6 | ||
|
, угл. |
сек. |
о°оо’оо" | ||||||
|
V |
н | |||||||
|
угл. сек |
в | |||||||
продолжение таблицы 4.1
|
Параметр |
Номер образующей | ||||||
|
7 |
8 |
9 |
10 |
11 |
12 | ||
|
, угл. сек. |
н | ||||||
|
, угл. сек |
в | ||||||
Таблица Б. 5- Высота превышения поясов
|
Номер образующей |
Высота превышения поясов 1, мм | ||||
|
1 |
II |
III |
IV |
V | |
|
0 | |||||
|
N/2-1 | |||||
продолжение таблицы Б.5
|
Номер образующей |
Высота превышения поясов ', мм | ||
|
VI |
VII |
VIII | |
|
0 | |||
|
N/2-1 | |||
Таблица Б.6- Измерение неровностей днища
В миллиметрах
|
№ радиуса (образую щей) |
Высота превышения в точке Ь, • отсчет на концентрической окружности | |||||||
|
I |
II |
III |
IV |
V |
VI |
VII |
VIII | |
|
1 | ||||||||
|
2 | ||||||||
|
3 | ||||||||
|
4 | ||||||||
|
5 | ||||||||
|
6 | ||||||||
|
7 | ||||||||
|
8 | ||||||||
Таблица Б.7 - Параметры «мертвой» полости
|
№ измерения |
Высота (превышения) «мертвой» полости thMn, мм |
Вместимость \/мп, м3 |
|
1 |
2 |
3 |
|
1 | ||
|
2 | ||
|
Примечание - Графу 3 заполняют только при принятии вместимости «мертвой» полости по 7.1.4 | ||
Таблица Б.8 - Координата точки измерений уровня жидкости и базовой высоты резервуара
|
Параметр |
Номер измерения | |
|
1 |
2 | |
|
Угол Фо (градус, минута, секунда) | ||
|
/г Высота превышения ° , мм | ||
Таблица Б.9 - Внутренние детали цилиндрической формы
|
Диаметр, мм |
Высота от днища, мм |
Расстояние от стенки первого пояса /д, мм | |
|
Нижняя граница hBR |
Верхняя граница hBa | ||
Должности
Подписи и оттиски поверительного клейма,печатей (штампов)
Инициалы, фамилии
(рекомендуемое)
Форма акта измерений базовой высоты резервуара
УТВЕРЖДАЮ
Руководитель предприятия - владельца резервуара (директор, гл. инженер)
АКТ
измерений базовой высоты резервуара
от «____»_____________20__г.
Составлен в том, что комиссия, назначенная приказом по_________________________
наименование
_______________________________________, в составе председателя_________________
предприятия - владельца резервуара
_________________________________________и членов:________________________________
инициалы, фамилия инициалы, фамилии
провела контрольные измерения базовой высоты резервуара стального вертикального цилиндрического теплоизолированного РВС-________№______________
при температуре окружающего воздуха_______________°C.
Измерения проведены рулеткой типа______________№____________со сроком
действия поверки до «___»____________20__г.
Результаты измерений представлены в таблице 1.
Таблица 1 В миллиметрах
|
Базовая высота резервуара |
Уровень жидкости в резервуаре | |
|
Среднее арифметическое значение результатов двух измерений (Нб)к |
Значение базовой высоты, установленное при калибровке резервуара (/7б)п | |
|
1 |
2 |
3 |
Относительное изменение базовой высоты резервуара 5б , %, вычисляют по формуле
(Нб) ,-(Нб) / х / у
Зб =----(ГГ\----— ■ 100, где значения величин (/7б)п, приведены в 1-й, 2-й графах.
)п
Вывод - требуется (не требуется) внеочередная поверки резервуара.
Председатель комиссии
ПОДПИСЬ
инициалы, фамилия
Члены комиссии:
|
ПОДПИСЬ |
инициалы, фамилия |
|
ПОДПИСЬ |
инициалы, фамилия |
Форма титульного листа градуировочной таблицы и форма градуировочной таблицы
Г.1 Форма титульного листа градуировочной таблицы2
УТВЕРЖДАЮ
«____»________________201_ г.
ГРАДУИРОВОЧНАЯ ТАБЛИЦА
на резервуар стальной вертикальный цилиндрический теплоизолированный
РВС_________ №______________
Организация________________________________________________
Погрешность определения вместимости: ± 0,20 %
Срок очередной поверки__________________________
Поверитель
ПОДПИСЬ
должность, инициалы, фамилия
Г.2 Форма градуировочной таблицы резервуара
Организация______________________
Резервуар №______________________
Г.2.1 Форма градуировочной таблицы резервуара
Таблица Г.2- Посантиметровая вместимость нижней части резервуара
|
Уровень наполнения, см |
Вместимость, м3 |
Коэффициент вместимости, м3/мм |
|
Нм,п | ||
|
Нм.п + 1 | ||
|
Нм п 2 | ||
Таблица Г.З - Средняя вместимость в пределах вместимости пояса, приходящейся на
1 см высоты наполнения
|
Уровень наполнения , мм |
Вместимость , м3 |
Уровень наполнения , мм |
Вместимость , м3 |
Уровень наполнения , мм |
Вместимость , м3 |
|
1 |
4 |
7 | |||
|
2 |
5 |
8 | |||
|
3 |
6 |
9 |
Обработка результатов измерений
Д.1 Определение внутренних диаметров поясов резервуара
Д.1.1 Внутренние диаметры в сечении (нижнее, верхнее) /-го пояса резервуара Д, мм, измеренные по 10.3 вычисляют по формуле
Ф(в)=2-«'(в), (Д.1)
где /?'(В) - внутренний радиус в нижнем (верхнем) сечении /-го пояса, мм.
Д.1.2 Для вычисления внутреннего радиуса пояса резервуара проводят измерения следующих параметров:
-
- наклонного расстояния /д/Н(В) (параметр SD);
-
- вертикального угла (параметр Vz) ;
-
- горизонтального угла cpw (параметр Hz).
Д.1.3 Положение точки (например, точка А), лежащей на поверхности стенки пояса, определяется тремя координатами декартовой системы координат ^х'н^, у'н^, z'H^ I.
Из-за не совпадения начала системы координат измерений (станции съемки) с геометрическим центром резервуара (центром окружности) радиус резервуара определяют с учетом смещения станции съемки от геометрического центра резервуара.
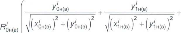
Д.1.4 При направлении визирной линии тахеометра к точке А расстояние от точки (хЛ/н(в)’Ул/н(в)’2Л/н(в)) Д° геометрического центра резервуара в плоскости измерений (нижнее/верхнее сечение), в соответствии с [4] вычисляют по формуле
где ; У|уН(В) ] ~ координаты точки А в сечении N, мм;
ан(в)> ^н(в) “ смещение по оси X и Y места установки станции съемки от геометрического центра резервуара, мм.
Величины I Х/уН(В); Хл/н(В)) вычисляют по формуле
ХЛ/н(в) _ ^Л/н(в) ' СОЭфл/ - COS (ЭО %(b)) , (Д.З)
Ул/н(в) “ ^Л/н(в) ‘ S'n Ф/V ‘ cos (90 Ч\/н(в)) ’ (Д'4)
где /д/Н(В) - наклонное расстояние, мм;
Ч\/н(в) “ вертикальный угол (зенитный), измеренный в i-ом поясе в нижнем (верхнем) сечении, угл. сек;
(pw - горизонтальный угол Л/-образующей, угл. сек.
Расстояние отточки (Х/уН(В); У/уН(В)) до геометрического центра резервуара
в нижнем (верхнем) сечении на N-ой образующей i-ro пояса вычисляют по формуле


в нижнем (верхнем) сечении
Д.1.5 Смещение станции съемки от геометрического центра резервуара 3^, Ь'н^ и расстояние от точек на поверхности пояса до центра окружности в нижнем
(верхнем сечении) i-ro пояса вычисляют методом наименьших квадратов
Параметры 3^, Ь'н^, ^н(В) вычисляют решая систему линейных уравнений

N
X Х/ н(в)
7=0
N
М>
Ху.н(в) ^н(в)

2
N'
7=1
N’
(Д-7)
(Д-8)
где ^ун(В) - радиус /-го пояса на N-ой образующей в нижнем (верхнем) сечении, мм;
N - номер образующей (число измерений), в соответствии с 10.3.1 принято равным 12;
х/н(в)’ Уу'н(в) “ координаты точки внутренней поверхности на N-ой образующей в нижнем (верхнем) сечении i-ro пояса резервуара, мм.
Радиус /-го пояса на
N-ой образующей в нижнем (верхнем)
сечении Г-н(в)
вычисляют по формуле
1
(Д-9)
Д 1.6 Вычисление
величина^), Ь'(в), /?'(в) проводят
следующей
последовательности.
Д.1.6.1 Вычисление
величин ^н(в)’ ^н(в)> ^н(в) ’
в нулевом приближении
(а0.н(в)’ ^О.н(в)’ ^О.н(в) ) •
-
1) устанавливают значение Эд Н(В), ЬдН(В) в формуле (Д.9) равным нулю.
-
2) вычисляют значения /уН(В) в соответствии с формулой (Д.9)
Г0.3.н(в) “
Примечание - В обозначении
_/
Го о н(в) веРхнии индекс / соответствует номеру пояса, в нижнем индексе: первое число указывает номер приближения, второе число - номер образующей, н(в) нижнее (верхнее) сечение.
3) значение ^оОн(в) вычисляют по формуле (Д.8):
И
^Он(в) = ^2 (Г0.0.н(в) +Г0.1.н(в) +Г0.2.н(в) + ■” + Г0.12.н(в) )l
4) вычисляют значения 3qH(B), Ь'Он^ в соответствии с формулами (Д.6) и (Д.7) соответственно:
_ Х0н(в) + Х1н(в) + ■•• + х12н(в) ^О.Он(в) —

Х1 н(в)
/У — и0.0н(в) “
■Уон(в) + У1н(в) + ■■• + У12н(в)
12



л0н(в)
ч/1/.Он(в)
Х1н(в) ! Х2н(в) + +
Г/.1н(в) Г1.2н(в)
v' 1
х12н(в)
12н(в) ,

^(Х12.н(в) а1.н(в)
*1 . . .2н(в) — ^2 (^2 0 н(в) +^2-1.н(в) + ^2.2.н(в) ^2.12.н(в) )>
/ _ ХОн(в) +Х1н(в) Х12н(в)
а2н(в) —
г —
'2.12.н(в) “
R!
< х' ХОн(в) |
кГ2.0н(в) г:


) +(/l2.H(B) ~^1.н(в)) ’
/ / / /
Уон(в) У-!н(в) У2н(в) + + У12н(в)
</2.0н(в) Г2.1н(в) Г2.2н(в) Г2.12н(в) ?
Д.1.6.4 Операции вычисления прекращают в случае выполнения условия
^у.н(в) ^у-1 ,н(в)
где j - номер приближения (0, 1, ...т).
Д.1.7 Внутренний диаметр D' i-ro пояса вычисляют по формуле
d'=r; + /?',
(Д.Ю)
где R„, Rg - внутренние радиусы в нижнем и верхнем сечении i-ro пояса, мм.
Д.2 Измерения высот поясов резервуара
Д.2.1 Высоту i-ro пояса резервуара (рисунок А.7), как расстояние по вертикали от верхнего края /-го пояса резервуара, hj, мм, вычисляют по формуле
(Д.11)
где th-, th" - высота превышения i-ro пояса (рисунок А.4), на образующей и противоположной образующей значение которого принимают из таблицы Б.З, мм;
//7;+1 - высота превышения вышестоящего i+1-го пояса (рисунок А.7), значение которого принимают из таблицы Б.5, мм.
Д.З Вычисление вместимости «мертвой» полости
Д.3.1 Объем неровностей днища

вычисляют по формуле

),

(Д.12)
где Г, /2,...,/д - превышение высот призмы в точке между концентрическими
окружностями неровностей днища, вычисляемые по формуле

(Д.13)
где Ьу - высота превышения призмы, установленной по периметру у-й концентрической окружности;
bj_^ - высота превышения призмы, установленной по периметру (/' - 1)-й вышележащей концентрической окружности.
Д.3.2 Уровень жидкости Нмп, мм, соответствующий высоте «мертвой» полости вычисляют по формуле
H«n=H6-th„„, им
где Hq - базовая высота, измеренная по 10.2, её значение принимают из таблицы Б.З, мм;
thMn - высота превышения среза ПРУ, значение принимают по таблице Б.7 (графа 2), мм.
Д.3.3 Вместимость «мертвой» полости \/мп вычисляют по формуле
Чип — Ц/in — (А^дн )q 1 (Д-15)

- объем неровностей днища, вычисляемый по формуле (Д.12), м3;
V^n - вместимость «мертвой» полости в пределах Нмп, вычисляемая по формуле
4 ■ 109
(Д.16)
где D1 - внутренний диаметр 1-го пояса, вычисляемый по формуле (Д.10), мм;
Н - уровень жидкости, отсчитываемый от точки касания днища грузом рулетки, мм;
Д.4 Вычисление посантиметроеой вместимости 1-го пояса резервуара
Д.4.1 Посантиметровую вместимость 1-го пояса от точки касания днища грузом рулетки до уровня , соответствующий высоте 1-го пояса, вычисляют по формуле где \/мп - вместимость «мертвой» полости, вычисляемая по формуле (Д.15), м3;
(Д.17)
01 - внутренний диаметр 1-го пояса, вычисляемый по формуле (Д.10), мм;
Н - уровень жидкости, отсчитываемый от точки касания днища грузом рулетки, мм;
Нмп - уровень жидкости, соответствующий высоте «мертвой» полости формуле (Д.14) , мм.
А Ув - объем внутренней детали, определяемый по 10.6, м3.
Д.5 Вычисление посантиметровой вместимости i-ao пояса резервуара Посантиметровую вместимость резервуара /-го пояса V (Н} вычисляют по формуле
(Д.18)
- посантиметровая вместимость резервуара, соответствующая уровню
Н - уровень жидкости, соответствующий, отсчитываемый от точки касания днища
грузом рулетки, см;
Н,_1 - уровень жидкости, соответствующий суммарной высоте поясов, см;
Dj - внутренний диаметр /-го пояса, вычисляемый по формуле (Д.10), мм.
ПРИЛОЖЕНИЕ ЕФорма титульного листа градуировочной таблицы и форма градуировочной таблицы
Г.1 Форма титульного листа градуировочной таблицы3
УТВЕРЖДАЮ
«____»________________201 _ г.
ГРАДУИРОВОЧНАЯ ТАБЛИЦА
на резервуар стальной вертикальный цилиндрический теплоизолированный РВС-____
тип________________ N°________________________________________
Организация_________________________________________________
Погрешность определения вместимости:
Срок очередной поверки_________________________
Поверитель
ПОДПИСЬ
должность, инициалы, фамилия
Г.2 Форма градуировочной таблицы резервуара
Организация______________________
Резервуар №______________________
Таблица Г.2 - Посантиметровая вместимость резервуара
|
Уровень наполнения, см |
Вместимость, м3 |
Коэффициент вместимости, м3/мм |
|
Нмп | ||
|
Члп+1 | ||
|
НИп+2 | ||
|
Чр |
Таблица Г.З- Средняя вместимость в пределах вместимости, приходящейся на 1 см высоты наполнения /-го пояса
|
Уровень наполнения , мм |
Вместимость , м3 |
Уровень наполнения , мм |
Вместимость , м3 |
Уровень наполнения , мм |
Вместимость , м3 |
|
1 |
4 |
7 | |||
|
2 |
5 |
8 | |||
|
3 |
6 |
9 |
Форма акта измерений базовой высоты резервуара УТВЕРЖДАЮ
Руководитель предприятия - владельца резервуара (директор, гл. инженер)
АКТ
измерений базовой высоты резервуара
от «____»__г.
Составлен в том, что комиссия, назначенная приказом по_________________________
наименование
_______________________________________, в составе председателя_________________ предприятия - владельца резервуара
_________________________________________и членов:________________________________ инициалы, фамилия инициалы, фамилии
провела контрольные измерения базовой высоты резервуара стального вертикального цилиндрического теплоизолированного РВС-________№______________
при температуре окружающего воздуха_______________°C.
Измерения проведены рулеткой типа______________№____________со сроком
действия поверки до «___»____________20__г.
Результаты измерений представлены в таблице Ж.1.
Таблица Ж.1 В миллиметрах
|
Базовая высота резервуара |
Уровень жидкости в резервуаре | |
|
Среднее арифметическое значение результатов двух измерений (Нд) |
Значение базовой высоты, установленное при калибровке резервуара (/-/б)п | |
|
1 |
2 |
3 |
Относительное изменение базовой высоты резервуара 5д, %, вычисляют по формуле
(Нб) -(Нб)
v v /п -100, где значения величин (Не)*, (Нб)п, приведены в 1-й, 2-й графах.
Вывод - требуется (не требуется) внеочередная калибровка резервуара.
Председатель комиссии
|
ПОДПИСЬ Члены комиссии: |
инициалы, фамилия |
|
ПОДПИСЬ |
инициалы, фамилия |
|
подпись |
инициалы, фамилия |
-
[1] Тахеометр электронный Leica FlexLine TS02 plus 3" R500, Госреестр № 65933-16
-
[2] ТУ ДКТЦ 41344.1.1.102 Анализатор-течеискатель АНТ-3. Технические условия
-
[3] РД-03-20-2007 Положение об организации обучения и проверки знаний рабочих организаций, поднадзорных федеральной службе по экологическому, технологическому и атомному надзору.
-
[4] Приказ от 2 июля 2015 г. № 1815 «Об утверждении порядка проведения поверки средств измерений, требования к знаку поверки и содержанию свидетельства о поверке»
ФГУП «ВНИИР»
Страница 38 из 38
В обозначении точки отсчета - первый индекс указывает номер радиуса
концентрической окружности днища, второй - номер радиуса днища (образующей)
Форма градуировочной таблицы не подлежит изменению
Форма градуировочной таблицы не подлежит изменению
