Методика поверки «ГСИ. Газоанализаторы стационарные фотоионизационные RAEGuard 2 PID дели FGM-2010 » (МП 242-2340-2019 )
Федеральное государственное унитарное предприятие
«Всероссийский научно-исследовательский институт метрологии им. Д.И. Менделеева» ФГУП «ВНИИМ им. Д.И. Менделеева»
УТВЕРЖДАЮИ.о. директора

13 СТ .3.10,2017
ДИРЕКТОРА
ИРДА К.В-
ИМ им. Д.И. Менделеева"
____А.Н. Пронин 14" октября 2019 г.
Государственная система обеспечения единства измерений
Газоанализаторы стационарные фотоионизационные RAEGuard 2 PID модели FGM-2010 Методика поверки
МП 242-2340-2019
Заместитель руководителя научно-исследовательского отдела государственных эталонов в области физико-химических измерений ФГУП « ЦИМ/м. Д.И. Менделеева»

____А.В. Колобова "14" октября 2019 г.
Инженер 1-й категории Q , /' А.Л. Матвеев Т7
Санкт-Петербург 2019 г.
Настоящая методика поверки распространяется на газоанализаторы стационарные фо-тоионизационные RAEGuard 2 P1D модели FGM-2001, зав. №№ D0370011U3, D0370006U5, D0370005U3, D0370028W6, D0370003U5, D0370002U5, D0370007U3, D0370005U5, D0370009U5, D0370009U3, D0370008U3, D0370008U5, D0370010U3, D0370007V2, D0370033W6, D0370015V2, D0370041W6. D0370011V2, D0370004U5, изготовленные фирмой «Honeywell Analytics Ltd», Великобритания, и устанавливает методы их первичной поверки при вводе в эксплуатацию и после ремонта и периодической поверки в процессе эксплуатации.
Методикой поверки не предусмотрена возможность проведения поверки отдельных измерительных каналов и (или) отдельных автономных блоков из состава газоанализаторов или меньшего числа измеряемых величин или на меньшем числе поддиапазонов измерений.
Интервал между поверками - один год.
1 Операции поверки-
1.1 При проведении поверки должны быть выполнены операции, указанные в таблице 1.
Таблица 1 - Операции поверки
Наименование операции |
Номер пункта методики поверки |
Обязательность проведения | |
при первичной поверке |
при периодической поверке | ||
1 Внешний осмотр |
6.1 |
да |
да |
2 Опробование |
6.2 |
да |
да |
3 Подтверждение соответствия программного обеспечения |
6.3 |
да |
да |
4 Определение метрологических характеристик |
6.4 | ||
4.1 Определение основной погрешности газоанализатора |
6.4.1 |
да |
да |
4.2 Определение вариации выходного сигнала |
6.4.2 |
да |
нет |
-
1.2 Если при проведении одной из операций получен отрицательный результат, дальнейшая поверка прекращается.
-
2.1 При проведении поверки применяют средства, указанные в таблице 2.
Таблица 2 - Средства поверки
Номер пункта методики поверки |
Наименование эталонного средства измерений или вспомогательного средства поверки, номер документа, регламентирующего технические требования к средству, основные метрологические и технические характеристики |
6 |
Термометр ртутный стеклянный лабораторный ТЛ-4, ТУ 25-2021.003-88, ГОСТ 28498-90, диапазон измерений от 0 до 55 °C, цена деления 0,1 °C, пределы допускаемой абсолютной погрешности ± 0,2 °C |
Секундомер механический СОПпр, ТУ 25-1894.003-90, класс точности 2 | |
Барометр-анероид контрольный М-67 ТУ 2504-1797-75, диапазон измерений давления от 610 до 790 мм рт.ст., пределы допускаемой абсолютной погрешности ±0,8 мм рт.ст. | |
Психрометр аспирационный М-34-М, ТУ 52.07-(ГРПИ.405 132.001)-92, диапазон относительной влажности от 10 до 100 % при температуре от 5 до 40°С | |
6.4 |
Ротаметр РМ-А-0,063Г УЗ, ГОСТ 13045-81, верхняя граница диапазона измерений объемного расхода 0,063 м3/ч, класс точности 4* |
Номер пункта методики поверки |
Наименование эталонного средства измерений или вспомогательного средства поверки, номер документа, регламентирующего технические требования к средству, основные метрологические и технические характеристики |
6.4 |
Вентиль точной регулировки ВТР-1 (или ВТР-1-М160), диапазон рабочего давления (0-150) кгс/см2, диаметр условного прохода 3 мм* |
Вольтметр универсальный В7-40М, диапазон измерений напряжения постоянного тока от 0 до 1000 В, диапазон измерений силы постоянного тока от 0 до 10 А | |
Редуктор баллонный кислородный одноступенчатый БКО-50-4* | |
Трубка фторопластовая по ТУ 6-05-2059-87, диаметр условного прохода 5 мм, толщина стенки 1 мм * | |
Поверочный нулевой газ (ПНГ) - воздух марки А, в баллонах под давлением по ТУ 6-21-5-85 | |
Азот особой чистоты сорт 1 по ГОСТ 9293-74 в баллоне под давлением | |
Стандартные образцы газовых смесей в баллонах под давлением по ТУ 6-16-2956-92 и ТУ 2114-014-20810646-2014 (характеристики приведены в Приложении А)1 | |
Рабочий эталон 1-го разряда в соответствии с приказом Росстандарта от 14.12.2018 г. генератор газовых смесей ГГС, исполнений ГГС-Р, ГГС-К (ФИФ № 62151-15) | |
Тройник стеклянный, диаметр условного прохода 5 мм* | |
Примечания:
|
3 Требования безопасности
-
3.1 Помещение, в котором проводят поверку, должно быть оборудовано приточно-вытяжной вентиляцией.
-
3.2 Концентрации вредных компонентов в воздухе рабочей зоны должны соответствовать требованиям ГОСТ 12.1.005-88.
-
3.3 Должны выполняться требования охраны труда для защиты персонала от поражения электрическим током согласно классу I ГОСТ 12.2.007.0-75.
-
3.4 Требования правил безопасности при эксплуатации ГС в баллонах под давлением должны соответствовать федеральным нормам и правилам в области промышленной безопасности "Правила промышленной безопасности опасных производственных объектов, на которых используется оборудование, работающее под избыточным давлением" (утверждены приказом Ростехнадзора № 116 от 25.03.2014 г.).
-
3.5 Не допускается сбрасывать ГС в атмосферу рабочих помещений.
-
4.1 При проведении поверки должны соблюдаться следующие условия:
-
- температура окружающей среды, °C 20 ± 5;
-
- диапазон относительной влажности окружающей среды, % от 30 до 80;
-
- атмосферное давление, кПа 101,3 ± 4,0,
мм рт.ст. 760 ± 30;
-
- механические воздействия, внешние электрические и магнитные поля (кроме поля Земли), влияющие на метрологические характеристики, должны быть исключены.
-
5.1 Выполнить мероприятия по обеспечению условий безопасности.
-
5.2 Проверить наличие паспортов и сроки годности ГС в баллонах под давлением.
-
5.3 Баллоны с ГС выдержать при температуре поверки не менее 24 ч.
-
5.4 Выдержать поверяемые газоанализаторы и средства поверки при температуре поверки в течение не менее 2 ч.
-
5.5 Подготовить поверяемый газоанализатор и эталонные средства измерений к работе в соответствии с эксплуатационной документацией.
-
6.1 Внешний осмотр
-
6.1.1 При внешнем осмотре устанавливают соответствие газоанализатора следующим требованиям:
-
-
- соответствие комплектности (при первичной поверке) требованиям руководства по эксплуатации;
-
- соответствие маркировки требованиям руководства по эксплуатации;
-
- газоанализатор не должен иметь повреждений, влияющих на работоспособность.
-
6.1.2 Газоанализатор считают выдержавшим внешний осмотр, если он соответствует указанным выше требованиям.
-
6.2 Опробование
-
6.2.1 При опробовании проверяют общее функционирование газоанализатора, для чего включают газоанализатор, после чего на дисплее появляется таймер обратного отсчета и запускается режим тестирования.
-
По окончанию времени прогрева, при условии отсутствия ошибок на лицевой панели газоанализатора светодиодный индикатор «STATUS» светится зеленым светом и газоанализатор переходит в режим измерений.
-
6.2.2 Результат опробования считают положительным, если:
-
- органы управления газоанализатора функционируют;
-
- во время тестирования отсутствуют сообщения об отказах;
-
- после окончания времени прогрева газоанализатор переходит в режим измерений (на дисплее отображается измерительная информация).
6.3 Подтверждение соответствия программного обеспечения
Дтя проверки соответствия ПО выполняют следующие операции:
-
- проводят визуализацию идентификационных данных ПО газоанализатора (номер версии встроенного ПО отображается при включении газоанализатора или на экране, показывающем версию программного обеспечения (доступен после четырехкратного нажатия символа «-» в режиме измерений));
-
- сравнивают полученные данные с идентификационными данными, установленными при проведении испытаний для целей утверждения типа и указанными в Описании типа газоанализаторов (приложение к Свидетельству об утверждении типа).
Результат подтверждения соответствия ПО считают положительным, если идентификационные данные соответствуют указанным в Описании типа газоанализаторов (приложение к Свидетельству об утверждении типа).
-
6.4 Определение метрологических характеристик
-
6.4.1 Определение основной погрешности
-
6.4.1.1 Определение основной погрешности газоанализатора проводят по схеме Рисунка Б.1 Приложения Б в следующем порядке:
-
1) Переводят насос газоанализатора в непрерывный режим работы;
-
2) Подают на вход газоанализатора ГС, содержащие поверочный компонент (таблица А.1 Приложения А, соответственно определяемому компоненту), в последовательности:
-№№ 1-2-3-2-1-3 (при первичной поверке);
- №№ 1-2-3 (при периодической поверке).
Время подачи каждой ГС не менее утроенного времени установления показаний. Время подачи контролируют с помощью секундомера.
Расход ГС устанавливают вентилем точной регулировки так, чтобы расход газа через ротаметр 5 был на уровне (0,1 - 0,3) дм3/мин (для исключения возможности разбавления ГС атмосферным воздухом через линию сброса).
Примечание - допускается проводить поверку газоанализаторов по ГС, содержащим определяемый компонент (таблица А.2 Приложения А).
-
3) Фиксируют установившиеся показания газоанализатора при подаче каждой ГС по показаниям жидкокристаллического дисплея и показаниям вольтметра универсального, подключенного к аналоговому выходу газоанализатора;
-
4) Рассчитывают значение содержания определяемого компонента в i-ой ГС по значению выходного токового сигнала по формуле
16
(1)
где Ij - установившееся значение выходного токового сигнала газоанализатора при подаче i-ой ГС, мА;
Св - верхний предел диапазона показаний (от 0 до 100 млн'1) определяемого компонента. млн*1.
4) Значение основной приведенной погрешности газоанализатора %, для диапазонов измерений, в которых нормированы пределы допускаемой основной приведенной погрешности, рассчитывают по формуле

(2)
где Ci - установившиеся показания газоанализатора при подаче i-й ГС, объемная доля определяемого компонента, млн'1;
Cf' - действительное значение содержания определяемого компонента в i-ой ГС, объем
ная доля определяемого компонента, млн'1;
Св, Сн - значения объемной доли определяемого компонента, соответствующие верх
нему и нижнему пределам диапазона измерений, в котором нормированы пределы допускаемой основной приведенной погрешности, млн'1.
Расчет действительного значения определяемого компонента С,л, по содержанию поверочного компонента, следует проводить по формуле

(3)
где - коэффициент пересчета на поверочный компонент для /'-ой ГС (/ = 2, 3), указан
ный в таблице А.З Приложения А для соответствующего определяемого компонента;
С(Л/'С4Н8 _ действительное значение объемной доли поверочного компонента (изобутилена)
в подаваемой ГС, млн'1;
Примечание — значения коэффициентов пересчета определено для газоанализаторов стационарных фотоионизационных RAEGuard 2 PID модели FGM-2001, зав. №№ D0370011U3, D0370006U5, D0370005U3, D0370028W6, D0370003U5, D0370002U5, D0370007U3, D0370005U5, D0370009U5, D0370009U3, D0370008U3, D0370008U5, D0370010U3, D0370007V2, D0370033W6, D0370015V2, D0370041W6, D0370011V2, D0370004U5 при проведении испытаний для целей утверждения типа и подлежит повторному определению один раз в три года или после замены чувствительного элемента.
Значение основной относительной погрешности газоанализатора, , %, для диапазонов измерений, в которых нормированы пределы допускаемой основной относительной погрешности, рассчитывают по формуле
<?, =£^.100, (4)
<~'д
-
6.4.1.2 Результат определения основной погрешности считают положительным, если основная погрешность газоанализатора в каждой точке поверки не превышает значений, указанных в Приложении В для соответствующего определяемого компонента.
-
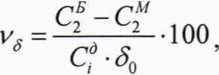
6.4.2 Определение вариации выходного сигнала
Определение вариации выходного сигнала допускается проводить одновременно с определением основной погрешности по п. 6.4.2 при подаче ГС № 2.
Значение приведенной вариации показаний, vz , в долях от пределов допускаемой основной приведенной погрешности рассчитывают по формуле

(С в

(5)
где Cf, С" - результат измерений объемной доли определяемого компонента при подходе к точке поверки 2 со стороны больших и меньших значений, млн'1;
/0 - пределы допускаемой основной приведенной погрешности поверяемого газоанали
затора, %.
Значение относительной вариации показаний Vj в долях от пределов допускаемой основной относительной погрешности рассчитывают по формуле

(6)
где J() - пределы допускаемой основной относительной погрешности газоанализатора, %.
Результат считают положительным, если вариация выходного сигнала газоанализатора не превышает 0,5.
7 Оформление результатов поверки-
7.1 При проведении поверки оформляют протокол поверки произвольной формы.
12 Результатом поверки является подтверждение пригодности средства измерений к применению или признание средства измерений непригодным к применению. Если газоанализатор по результатам поверки признан пригодным к применению, то результаты поверки удостоверяются знаком поверки, наносимым на свидетельство о поверке.
7.3 Если газоанализатор по результатам поверки признан непригодным к применению, выписывается извещение о непригодности установленной формы.
Приложение А
(обязательное) Характеристики ГС, используемых при поверке газоанализаторов
Таблица А.1 - Характеристики газовых смесей, содержащих поверочный компонент (изобутилен), используемых при проведении поверки
Определяемый компонент |
Диапазон измерений содержания определяемого компо нента, млн'1 |
Номинальное значение объёмной доли определяемого компонента, пределы допускаемого отклонения от номинального значения |
Погрешность аттестации |
№ по реестру | ||
ГС№1 |
ГС №2 |
ГС №3 | ||||
1,4-дихлоргексафторбутен-2 (C4CI2F6) |
от 0 до 10 |
ПНГ -воздух |
- |
Марка А по ТУ 6-21 -5-85 | ||
0,15 млн'1 ± 5 % отн. |
0,18 млн'1 ± 5 % отн. |
± 12,5 % отн. |
ГГС-03-03 с ГСО 10539-2014 (i-C4H8 - воздух) | |||
1,3-гексафторбутадиен (C4F6) |
от 0 до 10 |
ПНГ -воздух |
- |
Марка А по ТУ 6-21 -5-85 | ||
1,0 млн'1 ± 50 % отн. |
1,39 млн'1 ± 50 % отн. |
± 10 % отн. |
ГСО 10539-2014 (i-C4H8 - воздух) | |||
Трифторхлорэтилен (C2F3CI) |
от 0 до 10 |
ПНГ -воздух |
- |
Марка А по ТУ 6-21 -5-85 | ||
1,0 млн'1 ± 50 % отн. |
1,5 млн'1 ± 50 % отн. |
± 10 % отн. |
ГСО 10539-2014 (i-C4H8 - воздух) | |||
Примечания:
|
Таблица А.2 - Характеристики газовых смесей, содержащих определяемый компонент, используемых при проведении поверки
Определяемый компонент |
Диапазон измерений объемной доли определяемого компонента, млн'1 |
Номинальное значение объемной доли определяемого компонента, пределы допускаемого отклонения от номинального значения |
Погрешность аттестации |
№ по реестру | ||
ГС№1 |
ГС №2 |
ГС №3 | ||||
1,4-дихлоргсксафторбутен-2 (C4CI2F6) |
от 0 до 10 |
ПНГ -воздух |
Марка А по ТУ 6- 21-5-85 | |||
4,0 млн'1 ± 50 % отн. |
6,6 млн'1 ± 50 % отн. |
± 7 % отн. |
ГСО 11258-2018 (C4CI2F6-N2) | |||
1,3-гексафторбутадиен (C4F6) |
от 0 до 10 |
ПНГ -воздух |
Марка А по ТУ 6- 21-5-85 | |||
5,0 млн'1 ± 20 % отн. |
8,3 млн'1 ± 20 % отн. |
± 8 % отн. |
ГСО 10550-2014 (C4F6-N2) | |||
Трифторхлорэтилен (C2F3CI) |
от 0 до 10 |
ПНГ -воздух |
Марка А по ТУ 6- 21-5-85 | |||
4,0 млн'1 ± 50 % отн. |
6,6 млн'1 ± 50 % отн. |
± 7 % отн. |
ГСО 11257-2018 (C2F3CI-N2) | |||
Примечания:
|
Таблица Л.З - Значения коэффициентов пересчета на поверочный компонент (изобутилен) для газоанализаторов стационарных фотоионизаци-онных RAEGuard 2 PID модели FGM-2001
Определяемый компонент |
зав. № газоанализатора |
Значения коэффициентов пересчета на поверочный компонент | |
К2 |
КЗ | ||
1,4-дихлоргексафторбутен-2 (C4CI2F6) |
D0370011U3 |
34 |
51 |
трифторхлорэтилен (C2F3CI) |
D0370005U3 |
5,0 |
4,8 |
D0370028W6 |
4,3 |
4,5 | |
D0370003U5 |
4,5 |
4,4 | |
D0370002U5 |
4,7 |
4,6 | |
D0370007U3 |
4,2 |
4,4 | |
D0370005U5 |
4,1 |
4,2 | |
D0370009U5 |
3,6 |
4,0 | |
D0370009U3 |
4,5 |
4,5 | |
D0370008U5 |
4,2 |
4,3 | |
1,3-гексафторбутадиен (СдЕб) |
D0370010U3 |
5,8 |
5,0 |
D0370011V2 |
4,2 |
4,6 | |
D0370004U5 |
4,7 |
5,2 | |
D0370041W6 |
4,4 |
4,7 | |
D0370033W6 |
4,5 |
4,7 | |
D0370007V2 |
4,3 |
4,4 | |
D0370015V2 |
4,5 |
4,6 |
Приложение Б
(рекомендуемое)
Схемы подачи ГС при проведении испытаний

1 - баллон с ГС; 2 - редуктор баллонный; 3 - вентиль точной регулировки трассовый; 4 - тройник;
5 - ротаметр (индикатор расхода); 6 - газоанализатор; 7 - вольтметр универсальный.
Примечания:
-
1) Источник питания постоянного тока на схеме не показан.
-
2) Подача ГС от генератора газовых смесей ГГС-03-03 осуществляется аналогично, при этом поз. 1 - 3 не используются, выход генератора подключается непосредственно на вход тройника 4.
Рисунок Б.1 - Схема подачи ГС на газоанализаторы при проведении испытаний
Приложение В
(обязательное)
Метрологические характеристики газоанализаторов
Таблица В.1 - Диапазоны измерений и пределы допускаемой погрешности газоанализатора, зав. № D0370011U3
Определяемый компонент |
Диапазон показаний объемной доли определяемого компонента, млн*1 |
Диапазоны измерений, млн'1 |
Пределы допускаемой погрешности | |
приведенной, % |
относительной, % | |||
1,4-дихлоргексафторбутен-2 (C4CI2F6) |
от 0 до 100 |
от 0 до 5 включ. |
±25 |
- |
св. 5 до 10 |
- |
±25 | ||
Примечания:
|
Таблица В.2 - Диапазоны измерений и пределы допускаемой погрешности газоанализаторов, зав. №№ D0370006U5, D0370005U3, D0370028W6, D0370003U5, D0370002U5, D0370007U3, D0370005U5, D0370009U5, D0370009U3, D0370008U3, D0370008U5
Определяемый компонент |
Диапазон показаний объемной доли определяемого компонента. млн'1 |
Диапазоны измерений, млн*1 |
Пределы допускаемой погрешности | |
приведенной, % |
относительной, % | |||
Трифторхлорэтилен (С2 F3CI) |
от 0 до 100 |
от 0 до 5 включ. |
±25 |
- |
св. 5 до 10 |
- |
±25 | ||
Примечания:
|
Таблица В.З - Диапазоны измерений и пределы допускаемой погрешности газоанализаторов, зав. №№ D0370010U3, D0370007V2, D0370033W6, D0370015V2, D0370041W6, D0370011V2, D0370004U5
Определяемый компонент |
Диапазон показаний объемной доли определяемого компонента, млн'1 |
Диапазоны измерений, млн'1 |
Пределы допускаемой погрешности | |
приведенной, % |
относительной, % | |||
1,3-гексафторбутадиен (СдРб) |
от 0 до 100 |
от 0 до 5 включ. |
±25 |
- |
св. 5 до 10 |
- |
±25 | ||
Примечания:
|
13
Допускается использование стандартных образцов состава газовых смесей (ГС), не указанных в настоящей методике поверки, при выполнении следующих условий:
-
- номинальное значение содержания определяемого компонента в ГС должно соответствовать указанному для соответствующей ГС из приложения А;
-
- отношение погрешности, с которой устанавливается содержание компонента в ГС к пределу допускаемой основной погрешности поверяемого газоанализатора, должно быть не более 1/3.