Инструкция «ГСИ. Резервуары стальные вертикальные цилиндрические теплоизолированные РВС-10000, РВС-20000 » (МП 1053-7-2019)
ФЕДЕРАЛЬНОЕ АГЕНТСТВО ПО ТЕХНИЧЕСКОМУ РЕГУЛИРОВАНИЮ И МЕТРОЛОГИИ
Федеральное государственное унитарное предприятие «Всероссийский научно-исследовательский институт расходометрии» Государственный научный метрологический центр
ФГУП «ВНИИР»
УТВЕРЖДАЮ

ГОСУДАРСТВЕННАЯ СИСТЕМА ОБЕСПЕЧЕНИЯ ЕДИНСТВА ИЗМЕРЕНИЙ
Резервуары стальные вертикальные цилиндрические теплоизолированные РВС-10000, РВС-20000 МЕТОДИКА ПОВЕРКИ МП 1053-7-2019
Казань 2019 г.
Предисловие-
1 РАЗРАБОТАНА
ИСПОЛНИТЕЛИ:
-
2 УТВЕРЖДЕНА
Федеральным государственным унитарным предприятием
Всероссийским научно-исследовательским институтом расходометрии
Государственным научным метрологическим центром
(ФГУП «ВНИИР»)
А. В. Кондаков, В. М. Мигранов
ФГУП «ВНИИР» «16» сентября 2019 г.
-
3 ВВЕДЕНА ВПЕРВЫЕ
Стр.
-
-
5.1 Требования к погрешности измерений параметров резервуара
-
5.2 Требования по применению рабочих эталонов и вспомогательных средств поверки ...6
-
-
7 Требования к квалификации поверителей и требования безопасности
Форма акта измерений базовой высоты резервуара
Д.1 Определение внутренних диаметров поясов резервуара
Д.2 Измерения высот поясов резервуара
Д.З Вычисление вместимости «мертвой» полости
Д.4 Вычисление посантиметровой вместимости 1-го пояса резервуара
Государственная система обеспечения единства измерений
Резервуары стальные вертикальные цилиндрические теплоизолированные РВС-10000, РВС-20000. Методика поверки МП 1053-7-2019
-
1 ОБЛАСТЬ ПРИМЕНЕНИЯ
Настоящая инструкция распространяется на резервуары стальные вертикальные цилиндрические теплоизолированные (далее - резервуары) номинальной вместимостью 10000 м3, 20000 м3 (РВС-10000 №№ МБ1С-1148, МБ2с-1149, РВС-20000 №№ МБ7с-1146, МБ9с-1143) расположенные по адресу: г. Петропавловск-Камчатский, ул. Степная, 50, Внеплощадочный склад мазута, ТЭЦ-2, филиал ПАО «Камчатскэнерго» Камчатские ТЭЦ и предназначенные для измерения объема нефтепродуктов, а также для их приема, хранения и отпуска и устанавливает методику его первичной, периодической поверки.
-
2 НОРМАТИВНЫЕ ССЫЛКИ
В настоящей инструкции использованы ссылки на следующие стандарты:
ГОСТ 12.0.004—2015 |
Система стандартов безопасности труда. Организация обучения безопасности труда. Общие положения |
ГОСТ 12.1.005—88 |
Система стандартов безопасности труда. Общие санитарно-гигиенические требования к воздуху рабочей зоны |
ГОСТ 12.4.087—84 |
Система стандартов безопасности труда. Строительство. Каски строительные. Технические условия |
ГОСТ 12.4.137—2001 |
Обувь специальная с верхом из кожи для защиты от нефти, нефтепродуктов, кислот, щелочей, нетоксичной и взрывоопасной пыли. Технические условия |
ГОСТ 19781—90 |
Обеспечение систем обработки информации программное. Термины и определения |
ГОСТ 28243—96 |
Пирометры. Общие технические требования |
ГОСТ 7502—98 |
Рулетки измерительные металлические. Технические условия |
ГОСТ 12.4.310—2016 |
Система стандартов безопасности труда. Одежда специальная для защиты работающих от воздействия нефти, нефтепродуктов. Технические требования |
-
3 ТЕРМИНЫ И ОПРЕДЕЛЕНИЯ
В настоящей инструкции применяют следующие термины с соответствующими определениями:
3-1 резервуар стальной вертикальный цилиндрический теплоизолированный: Стационарная мера вместимости, наружная поверхность которой покрыта слоем теплоизоляции, с индивидуальной градуировочной таблицей, предназначенная для приема, хранения и отпуска, измерения объема и массы нефти и нефтепродуктов совместно со средствами измерений уровня, плотности и температуры.
-
3.2 градуировочная таблица: Зависимость вместимости от уровня наполнения резервуара при нормированном значении температуры, равной 20 °C.
Таблицу прилагают к свидетельству о поверке резервуара и применяют для определения объема нефти и нефтепродукта в нем.
-
3.3 градуировка: Операция поверки по установлению зависимости вместимости резервуара от уровня его наполнения, с целью составления градуировочной таблицы.
3.4 вместительность резервуара: Внутренний объем резервуара с учетом объема внутренних деталей, который может быть наполнен нефтью и нефтепродуктом до определенного уровня.
-
3.5 номинальная вместимость резервуара: Вместимость резервуара, соответствующая предельному уровню наполнения его, установленная нормативным документом для конкретного типа резервуара.
-
3.6 действительная (фактическая) полная вместимость резервуара: Вместимость резервуара, соответствующая предельному уровню его наполнения, установленная при его поверке.
-
3.7 посантиметровая вместимость резервуара: Вместимость резервуара, соответствующая уровню налитых в него доз жидкости, приходящихся на 1 см высоты наполнения.
-
3.8 коэффициент вместимости: Вместимость, приходящаяся на 1 мм высоты наполнения.
-
3.9 точка касания днища грузом рулетки: Точка на днище резервуара, которой касается груз измерительной рулетки при измерении базовой высоты резервуара и уровня нефти и нефтепродукта в резервуаре.
-
3.10 базовая высота резервуара: Расстояние по вертикале от точки касания днища грузом рулетки до верхнего края измерительного люка или до риски направляющей планки измерительного люка (при наличии)
-
3.11 предельный уровень: Предельный уровень определения посантиметровой вместимости резервуара при его поверке, соответствующий суммарной высоте нижней части резервуара и стенки резервуара
-
3.12 геометрический метод поверки: Метод поверки, заключающийся в определении вместимости резервуара по результатам измерений его геометрических параметров.
-
4 МЕТОД ПОВЕРКИ
Поверку резервуара проводят геометрическим методом.
-
4.1 При поверке резервуара вместимость первого пояса резервуара определяют по результатам измерений внутреннего диаметра с применением электронного тахеометра и высоты первого пояса.
-
4.1 Вместимость вышестоящих поясов определяют по результатам измерений внутренних радиусов и высот поясов.
-
5 ТЕХНИЧЕСКИЕ ТРЕБОВАНИЯ
5.1 Требования к погрешности измерений параметров резервуара
5.1.1 Пределы допускаемой погрешности измерений параметров резервуара приведены в таблице 1.
Таблица 1
Наименование измеряемого параметра |
Пределы допускаемой погрешности измерений параметров резервуара |
Диаметр резервуара, мм |
± 3 |
Высота пояса, мм |
± 3 |
Измерение расстояний, мм |
±3 |
Температура стенки резервуара, °C |
± 2 |
Объем внутренних деталей, м3 |
± (0,025-0,25) |
-
5.1.2 При соблюдении указанных в таблице 1 пределов допускаемой погрешности измерений, относительная погрешность определения вместимости (градуировочной таблицы) резервуаров не превышает: ± 0,10 %.
5.2 Требования по применению рабочих эталонов и вспомогательных средств поверки
-
5.2.1 При поверке резервуаров применяют следующие рабочие эталоны и вспомогательные средства.
-
5.2.1.1 Рулетки измерительные 2-го класса точности с верхними пределами измерений 20, 30 или 50 м по ГОСТ 7502.
-
5.2.1.2 Рулетки измерительные с грузом 2-го класса точности с верхними пределами измерений 10, 20 и 30 м по ГОСТ 7502.
-
5.2.1.3 Термометр (пирометр) инфракрасный с диапазоном измерений температуры поверхности от минус 10 °C до плюс 65 °C, с пределами допускаемой абсолютной погрешности ± 2 °C.
-
5.2.1.4 Тахеометр электронный Leica FlexLine TS02 plus по [1].
-
5.2.2 Вспомогательные средства:
-
5.2.2.1 Анализатор-течеискатель типа АНТ-ЗМ по [2].
-
5.2.2.2 Веха телескопическая с призменным отражателем или нивелирная рейка с ценой деления 1 мм, оборудованная сферическим уровнем, (рисунок А.1, Приложение А).
-
5.2.3 Рабочие эталоны должны быть аттестованы в соответствии с действующим законодательством.
-
5.2.4 Допускается применение других, вновь разработанных или находящихся в эксплуатации средств измерений, удовлетворяющих по точности и пределам измерений требованиям настоящей методики.
-
6 ТРЕБОВАНИЯ К ОРГАНИЗАЦИИ ПРОВЕДЕНИЯ ПОВЕРКИ
-
6.1 Поверку резервуара, проводят юридические лица и индивидуальные предприниматели (далее - организация), аккредитованные в соответствии с действующим законодательством Российской Федерации на право проведения поверки.
-
6.2 Поверку резервуара проводят:
-
- первичную - после завершения строительства резервуара или капитального ремонта и его гидравлических испытаний - перед вводом его в эксплуатацию;
-
- периодическую - по истечении срока интервала между поверками.
-
6.3 Интервал между поверками - 5 лет.
-
7 ТРЕБОВАНИЯ К КВАЛИФИКАЦИИ ПОВЕРИТЕЛЕЙ И ТРЕБОВАНИЯ БЕЗОПАСНОСТИ
-
7.1 Измерения параметров при поверке резервуара проводит группа лиц (не менее двух человек), включая не менее одного специалиста, прошедшего курсы повышения квалификации в качестве поверителя в установленном порядке.
-
7.2 К проведению работ допускаются лица, изучившие настоящую инструкцию, техническую документацию на резервуар и его конструкцию и прошедших инструктаж по безопасности труда в соответствии с ГОСТ 12.0.004-2015.
-
7.3 Лица, проводящие работы, используют спецодежду по ГОСТ 12.4.310-2016, спецобувь по ГОСТ 12.4.137-2001, строительную каску по ГОСТ 12.4.087-84.
-
7.4 Предельно допустимая концентрация (ПДК) вредных паров и газов в воздухе, измеренная газоанализатором вблизи или внутри резервуара на высоте 2000 мм, не должна превышать ПДК, определенной по ГОСТ 12.1.005-88 и соответствовать гигиеническим нормативам ГН 2.2.5.3532.
-
7.5 При необходимости для дополнительного освещения при проведении измерений параметров резервуара применяют переносные светильники.
-
7.6 Перед началом работ проверяют исправность лестниц, перил и помостов с ограждениями.
-
8 УСЛОВИЯ ПОВЕРКИ
-
8.1 При поверке соблюдают следующие условия:
-
8.1.1 Измерения параметров резервуара проводят изнутри его.
-
8.1.2 Для проведения измерений параметров резервуара его освобождают от остатков нефтепродукта, зачищают, пропаривают (при необходимости), промывают и вентилируют.
-
8.1.3 Температура окружающего воздуха и воздуха внутри резервуара (20 ± 15)°С.
-
8.1.4 При проведении периодической поверки допускается использовать результаты измерений вместимости «мертвой» полости, полученные ранее, и вносить их в таблицу Б.7 приложения Б, если изменение базовой высоты резервуара по сравнению с результатами её измерений в предыдущей поверке составляет не более 0,1 %.
-
9 ПОДГОТОВКА К ПОВЕРКЕ
-
9.1 При подготовке к поверке проводят следующие работы:
-
9.1.1 Изучают техническую документацию на резервуар, рабочие эталоны и вспомогательные средства поверки.
-
9.1.2 Подготавливают их согласно технической документации на них, утвержденной в установленном порядке.
-
9.1.3 Штатив тахеометра приводят в рабочее положение, устанавливают на него тахеометр, проводят необходимые операции к подготовки к работе, в соответствии с руководством по эксплуатации. Для удобства выполнения измерений рекомендуемая высота установки: 1650- 1750 мм от днища резервуара до визирной линии тахеометра.
-
9.1.4 Проводят высотную привязку установки тахеометра, для этого:
а) опускают измерительную рулетку с грузом через измерительный люк то точки касания днища грузом рулетки и фиксируют её мелом;
б) устанавливают тахеометр в области центра резервуара, при этом место установки выбирают с учетом стабильного позиционирования прибора (отсутствие хлопуна);
в) тахеометр горизонтируют, с помощью триггеров в соответствии с его технической документацией. Выбирают режим измерений тахеометра HD-Hz-h. Величину горизонтального угла устанавливают Hz = 0°00 00 ;
г) направляют визир оптической трубы тахеометра (далее - визир тахеометра) по нормали к цилиндрической стенке резервуара в место пересечения днища и стенки (точка А рисунок А.З, Приложение А);
д) измеряют расстояние hA и вводят с обратным знаком в меню настроек тахеометра как высоту установки инструмента (рисунок А.З, Приложение А);
е) повторно снимая показания hA , проверяем правильность ввода данных. На меню дисплея отображения данных должны быть координаты: Hz = 0°00 00 ; /7 = 0.
-
9.1.5 В программном обеспечении тахеометра формируют файл записи данных измерений.
-
9.2 Операции поверки
9..2.1 При проведении поверки резервуара должны быть выполнены операции, указанные в таблице 2
Т а блица 2
№ п/п |
Наименование операции |
Номер пункта Инструкции |
1 |
Внешний осмотр |
10.1 |
2 |
Измерение базовой высоты |
10.2 |
3 |
Определение внутренних диаметров поясов резервуара |
10.3 |
4 |
Измерения высот поясов резервуара |
10.4 |
5 |
Определение параметров «мертвой» полости резервуара |
10.5 |
6 |
Определение объемов внутренних деталей |
10.6 |
-
10 ПРОВЕДЕНИЕ ПОВЕРКИ РЕЗЕРВУАРА
10.1 Внешний осмотр
-
10.1.1 При внешнем осмотре резервуара проверяют:
-
- состояние конструкции и внутренних деталей резервуара технической документации на него (паспорту, технологической карте на резервуар);
-
- наличие необходимой арматуры и оборудования;
-
- исправность лестниц и перил;
-
- состояние днища резервуара (отсутствие бугров, ям);
-
- чистоту внутренней поверхности резервуара;
-
- отсутствие деформации стенок резервуара, препятствующих проведению измерений параметров резервуара.
-
10.1.2 По результатам внешнего осмотра устанавливают возможность применения геометрического метода поверки резервуара.
10.2 Измерения базовой высоты резервуара
-
10.2.1 Базовую высоту резервуара Нб измеряют измерительной рулеткой с грузом не менее двух раз. Расхождение между результатами двух измерений не должно превышать 1 мм (рисунок А.2, Приложение А).
В точке касания днища грузом рулетки проводят мелом отметку на днище резервуара.
-
10.2.2 Результаты измерений базовой высоты А7б с указанием места отсчета вносят в протокол, форма которого приведена в приложении Б (таблица Б.З).
-
10.2.3 Базовую высоту измеряют ежегодно. Ежегодные измерения базовой высоты резервуара проводит комиссия, назначенная приказом руководителя предприятия -владельца резервуара, в состав которой должен быть включен специалист, прошедший курсы повышения квалификации по поверке и калибровке резервуаров.
При ежегодных измерениях базовой высоты, резервуар может быть наполнен до произвольного уровня.
Результат измерений базовой высоты резервуара не должен отличаться от ее значения, указанного в протоколе поверки резервуара, более чем на 0,1 %.
Если это условие не выполняется, то проводят повторное измерение базовой высоты при уровне наполнения резервуара, отличающимся от его уровня наполнения, указанного в протоколе поверки резервуара, не более чем на 500 мм.
Результаты измерений базовой высоты оформляют актом, форма которого приведена в Приложении В.
При изменении базовой высоты по сравнению с ее значением, установленным при поверке резервуара, более чем на 0,1 % устанавливают причину и устраняют ее. При отсутствии возможности устранения причины проводят внеочередную поверку резервуара.
10.3 Определение внутренних диаметров поясов резервуара
-
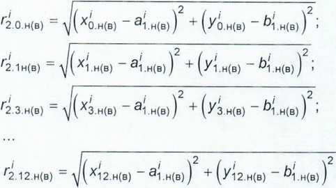
10.3.1 Определение внутренних диаметров поясов проводят с применением тахеометра по 5.2.1.4. Внутренне диаметры поясов резервуара определяют по результатам измерений радиусов на 12 образующих в каждом поясе резервуара.
Тахеометр устанавливают в режим измерений «HD-/7-/-/Z».
Измерение резервуара проводят:
а) для первого пояса - в верхнем сечении;
б) для вышестоящих поясов - в нижнем и верхнем сечениях.
Нижнее и верхнее сечения находятся в плоскости отходящих от сварного шва на величину равную 1/5 высоты пояса (рисунок А.4, Приложение А).
-
10.3.2 Измерение радиусов поясов резервуара проводят в следующей последовательности (рисунок А.5, Приложение А).
-
10.3.2.1 Направляют сетку нитей визира тахеометра на стенку резервуара в верхнем сечении 1-го пояса и измеряют параметры /JB, мм, как горизонтальные проложение и горизонтальный угол (pJB, град.
-
10.3.2.2 Направляют сетку нитей визира тахеометра на стенку резервуара в нижнем сечении 2-го пояса и измеряют координаты /qh; <р§н - мм-
-
10.3.2.3 Направляют сетку нитей визира тахеометра на стенку резервуара в верхнем сечении 2-го пояса и измеряют координаты /qb; Фов > мм-
-
10.3.2.4 Проводят аналогичные операции по 10.3.2.2, 10.3.2.3 и измеряют : координаты HDqbIh, Hz‘QBlh, мм.
Примечание - В обозначениях 1'0в/н; фдв/н верхний индекс указывает номер текущего пояса, в нижнем индексе - цифра соответствует номеру образующей (О, 1....N) , буква «н» и «в» соответствует плоскости (сечению) измерений (нижнее и верхнее соответственно).
-
10.3.2.5 Поворачивают алидаду тахеометра в горизонтальной плоскости против часовой стрелке на угол 30° (рисунок А.6, Приложение А). Фиксируют значение
1
горизонтального угла ф1н , угл. сек. первой образующей.
-
10.3.2.6 Проводя аналогичные операции по 10.3.2.1 — 10.3.2.4 измеряют параметры ^1в/н’ Ф1в/н ' ММ.
-
10.3.2.7 Поворачивают алидаду тахеометра на угол 60°. Фиксируют значение
1
горизонтального угла ф2н , угл. сек. второй образующей и проводят операции по 10.3.2.1 - 10.3.2.6.
-
10.3.2.8 Проводят аналогичные операции на остальных образующих.
-
10.3.2.9 Результаты измерений вносят в протокол, форма которого приведена в приложении Б (таблицы Б.4).
10.4 Измерения высот поясов резервуара
Высоту i-ro пояса резервуара hj измеряют на нулевой и противоположной N/2 образующей резервуара (рисунок А.7, Приложение А), при помощи тахеометра, в следующей последовательности.
-
10.4.1 Устанавливают на тахеометре режим измерений «.HD-h-Hz».
-
10.4.2 Направляют сетку нитей визира тахеометра на середину сварного шва соединения верхней границы 1-го пояса и нижней границы 2-го пояса. Измеряют расстояние высоту превышения, как расстояние по вертикали thv мм.
-
10.4.3 Проводя аналогичные процедуры по 10.4.3 измеряют расстояния th2...thk, мм, вышестоящих поясов.
-
10.4.4 Результаты измерений вносят в протокол, форма которого приведена в приложении Б (таблица Б.5).
10.5 Определение параметров «мертвой» полости резервуара
При определении параметров «мертвой» полости резервуара проводят измерения:
-
1) объема неровностей днища;
-
2) высоты «мертвой» полости;
-
3) координаты точки касания днища грузом рулетки.
-
10.5.1 Измерение объема неровностей днища
Определение объема неровностей днища (д\/дн)о проводят с применением тахеометра, вехи с призменным отражателем или нивелирной рейки и измерительной рулетки путем измерения высот превышения рейки в точках пересечения концентрических окружностей днища (I, II,..,VIII) и 8 радиусов днища (рисунок А.9, Приложение А).
Измерения проводят в следующей последовательности:
При применении вехи.
-
10.5.1.1 Проводят высотную привязку тахеометра к точке касания днища грузом рулетки днища грузом рулетки.
Тахеометр приводят в отражательный режим измерений «HD-h-Hz».
Устанавливают веху с призменным отражателем в точку касания днища грузом рулетки, контролируя вертикальное положение по круговому уровню вехи.
Наводят сетку нитей визира в центр призменного отражателя и измеряют высоту превышения hQ, мм, (рисунок А.8, Приложение А) и вводят с обратным знаком в меню настроек тахеометра как высоту установки инструмента.
Повторно снимая показания ц0, проверяем правильность ввода данных. На меню дисплея отображения данных должны быть координаты: Hz = 0°00 00"; h = 0.
-
10.5.1.2 Формируют координаты отсчета (места установки вехи) на первом радиусе, для чего укладывают рулетку на днище резервуара, при этом начало отсчета совмещают с точкой установки станции, а второй конец совмещают с отметкой 1-ой образующей на стенке резервуара (рисунок А.9, Приложение А).
-
10.5.1.3 Устанавливают веху в точку (пересечение 1-й окружности на 1-й
образующей), координаты отсчета приведены в таблице 3, контролируя вертикальное положение по круговому уровню вехи. Наводят сетку нитей визира в центр призменного отражателя и измеряют высоту превышения мм, (рисунок А. 10, Приложение А).
Последовательно устанавливая в остальных точках отсчета измеряют высоты превышения Ь2 11, мм.
Т а б л и ц а 3
Тип |
Отсчет по шкале ленты рулетки, мм, на радиусе | |||||||
I |
II |
III |
IV |
V |
VI |
VII |
VIII | |
РВС-10000, 20000 |
0,35R |
0,5R |
0,61 R |
0.71R |
0,79R |
0,86R |
0,93R |
стенка |
-
10.5.1.4 Поворачивают алидаду тахеометра на 45° против часовой стрелки и укладывают ленту рулетки на 2-й радиус днища, совмещая начало отсчета (точка /?2 i)> а второй конец совмещают с отметкой 2-ой образующей на стенке резервуара (рисунок А.9). Проводят измерения высот превышения Ь2 2,...,Ь8 2 на втором радиусе аналогично.
-
10.5.1.5 Проводя аналогичные процедуры по 10.5.1.2-10.5.1.4 измеряют высоты превышений точек отсчета на остальных образующих.
-
10.5.1.6 Результаты измерений вносят в протокол поверки форма которого приведена в приложении Б (таблица Б.6).
-
10.5.2 Измерение высоты «мертвой» полости
Измерение высоты «мертвой» полости резервуара проводят с применением тахеометра в следующей последовательности.
Устанавливают веху с призменным отражателем на плоскость среза приемнораздаточного устройства. Направляют сетку нитей визира на центр призмы и измеряют расстояние thMn, мм, как высоту превышения (рисунок А.11, Приложение А). Измерения проводят 2 раза, расхождение между результатами измерений должно быть не более 1 мм.
Результаты измерений вносят в протокол поверки форма которого приведена в приложении Б (таблица Б.7).
• При применении нивелирной рейки
-
10.5.1.2 Тахеометр приводят в отражательный режим измерений. Выставляют значение вертикального угла равное 0° (чтобы вращение тахеометра происходило в горизонтальной плоскости).
Поворачивают тахеометр до значения горизонтального угла равного 0°, что будет соответствовать первому радиусу на днище (рисунок А.9, Приложение А) и включают лазерный луч на тахеометре. Затем нивелирную рейку последовательно устанавливают вертикально по сферическому уровню в точках пересечения концентрических окружностей днища с первым радиусом днища и в точке касания днища грузом рулетки и смотрят значение превышения на миллиметровой шкале рейки в точке подсветки лазерным лучом. Аналогично производятся измерения на других радиусах при повороте тахеометра на 30° по горизонтальному углу.
-
10.5.2 Измерение координаты точки касания днища грузом рулетки
Координату точки касания днища грузом рулетки измеряют тахеометром в следующей последовательности.
Устанавливают веху в точку касания днища грузом рулетки, контролируя вертикальное положение по круговому уровню вехи. Наводят сетку нитей визира в центр призменного отражателя и измеряют горизонтальный угол (р0 , 0, и контролируют высоту A/q , мм. В соответствии с пунктом 10.5.1.1 её значение должно быть равно нулю.
Результаты измерений вносят в протокол поверки форма которого приведена в приложении Б (таблица Б.8).
-
11 ОБРАБОТКА РЕЗУЛЬТАТОВ ИЗМЕРЕНИЙ И СОСТАВЛЕНИЕ ГРАДУИРОВОЧНОЙ ТАБЛИЦЫ
11.1 Обработка результатов измерений
-
11.1.1 Обработку результатов измерений при поверке проводят в соответствии с приложением В.
11.2 Составление градуировочной таблицы резервуара
-
11.2.1 Градуировочную таблицу составляют начиная с уровня Нмп, соответствующего высоте «мертвой» полости /7МП, до предельного уровня /-/пр, вычисляя посантиметровую вместимость резервуара /-го пояса V (/-/).> м3> п0 формуле
где V (Н).^ - посантиметровая вместимость резервуара, соответствующая уровню Hj_^, м3;
// - уровень жидкости, соответствующий, отсчитываемый от точки касания днища грузом рулетки, см;
- уровень жидкости, соответствующий суммарной высоте поясов, см;
Dt - внутренний диаметр /-го пояса, вычисляемый по формуле (Д.1), мм.
-
11.2.2 Предельный уровень /7пр, см, до которого составляют градуировочную таблицу, вычисляют по формуле где /7 - номер пояса, выбираемый из ряда: 2, 3,..., п\
н 11
ПР L 9
П 1 п
Нб --- + Xfy+r0cos<p
V1 + H2
71 + г|2 Ч/=1
(2)
hj - высота i-ro пояса, мм;
Го - радиус расположения точки касания днища грузом рулетки, мм;
ф - угол направления наклона резервуара, °.
-
11.2.3 Посантиметровую вместимость 1-го пояса V(H)v м3, вычисляют по формуле (Д.8).
-
11.2.4 В пределах каждого пояса вычисляют коэффициент вместимости, равный вместимости, приходящейся на 1 мм высоты наполнения.
-
11.2.5 Градуировочную таблицу «мертвой» полости составляют, начиная от исходной точки до уровня Нмп , соответствующий высоте «мертвой» полости.
-
11.2.6 При составлении градуировочной таблицы значения вместимости округляют до 1 дм3.
-
11.2.7 Значения посантиметровой вместимости, указанные в градуировочной таблице, соответствуют температуре 20 °C.
-
11.2.8 Результаты расчетов вносят в журнал, форма которого приведена в приложении Г.
-
11.2.9 Обработка результатов измерений может быть проведена ручным способом или с использованием разработанного и аттестованного в установленном порядке программного обеспечения.
-
11.2.10 Результаты измерений должны быть оформлены протоколом поверки, форма которого приведена в приложении Б, который является исходным документом для расчета градуировочной таблицы.
-
12 ОФОРМЛЕНИЕ РЕЗУЛЬТАТОВ ПОВЕРКИ
-
12.1 Результаты поверки резервуара оформляют свидетельством о поверке
-
12.2 К свидетельству о поверке прикладывают:
а) градуировочную таблицу;
б) протокол поверки (оригинал прикладывают к первому экземпляру градуировочной таблицы);
-
12.3 Форма титульного листа градуировочной таблицы и форма градуировочной таблицы приведены в приложении Г. Форма акта ежегодных измерений базовой высоты резервуара приведена в приложении В.
Протокол поверки подписывает поверитель и лица, участвующие при проведении поверки резервуара.
Титульный лист и последнюю страницу градуировочной таблицы подписывает поверитель.
-
12.4 Градуировочную таблицу утверждает руководитель или уполномоченное лицо организации, аккредитованной на право проведения поверки.
Приложение А (справочное)
Телескопическая веха
Нивелирная рейка
Призменный отражатель




Рисунок А. 1 - Веха телескопическая с призменным отражателем, нивелирная рейка.


Рисунок А.З - Схема высотной привязки тахеометра

Рисунок А.4 - Схема расположений плоскостей измерений (сечений) внутренних радиусов резервуара





Рисунок А.9 - Координаты отсчета (место установки вехи или рейки) неровностей днища

Рисунок А. 10 - Схема измерений высот превышения неровностей днища

Рисунок А. 11 - Схема измерения высоты (превышения) «мертвой» полости
Приложение Б
(обязательное)
Форма протокола поверки резервуара
ПРОТОКОЛ
поверки резервуара геометрическим методом
Таблица Б.1 - Общие данные
Регистрационный номер |
Дата |
Основание для проведения поверки | ||
число |
месяц |
год | ||
1 |
2 |
3 |
4 |
5 |
Первичная, периодическая, внеочередная |
Продолжение таблицы Б.1
Место проведения поверки |
Рабочие эталоны и вспомогательные средства |
7 |
8 |
Окончание таблицы Б.1
Резервуар | ||
Тип |
Номер |
Погрешность определения вместимости резервуара, % |
9 |
10 |
11 |
Таблица Б.2 - Условия проведения измерений
Температура воздуха внутри резервуара, °C |
Температура стенок резервуара, °C |
Загазованность, мг/м3 |
Таблица Б.З - Базовая высота резервуара В миллиметрах
Точка измерения базовой высоты Нб |
Номер измерения | |
1 |
2 | |
Риска измерительного люка | ||
Верхний срез измерительного люка |
Таблица Б.4 - Измерение внутренних радиусов поясов резервуара
Номер пояса |
Значение параметра на образующей под номером | ||||||||||
2 |
3 |
Z |
5 | ||||||||
1к 'тн(в)1 ММ |
..к Фтн(в) • град |
1к 'тн(в)’ ММ |
к Фтн(в)> град |
1к 'тн(в)’ ММ |
..к Фтн(в) > град |
/к тн(в)> ММ |
к Ф/пн(в)> град |
1к 'тн(в)’ ММ |
,Jr Фтн(в)> град | ||
I |
в | ||||||||||
II |
н | ||||||||||
в | |||||||||||
III |
н | ||||||||||
в | |||||||||||
IV |
н | ||||||||||
в | |||||||||||
V |
н | ||||||||||
в | |||||||||||
VI |
н | ||||||||||
в | |||||||||||
VII |
н | ||||||||||
в | |||||||||||
VIII |
н | ||||||||||
в | |||||||||||
IX |
н | ||||||||||
в | |||||||||||
X |
н | ||||||||||
В | |||||||||||
XI |
н | ||||||||||
в | |||||||||||
XII |
н | ||||||||||
в |
Продолжение таблицы Б.7
Номер пояса |
Значение параметра на образующей под номером | ||||||||||
6 |
7 |
8 |
9 |
10 | |||||||
1к 'тн(в)1 ММ |
/с Ф/77Н(в)> град |
1к 'тн(в) ’ ММ |
Ртн(в) ’ град |
1к 'тн(в)’ ММ |
Фтн(в)> град |
Л '/пн(в)> ММ |
Д' Фтн(в)> град |
1к 'тн(в)’ мм |
к Фтн(в)’ град | ||
I |
в | ||||||||||
II |
н | ||||||||||
в | |||||||||||
III |
н | ||||||||||
в | |||||||||||
IV |
н | ||||||||||
в | |||||||||||
V |
н | ||||||||||
в | |||||||||||
VI |
н | ||||||||||
в | |||||||||||
VII |
н | ||||||||||
в | |||||||||||
VIII |
н | ||||||||||
в | |||||||||||
IX |
н | ||||||||||
в | |||||||||||
X |
н | ||||||||||
в | |||||||||||
XI |
н | ||||||||||
в | |||||||||||
XII |
Н | ||||||||||
в |
Окончание таблицы Б.4
Номер пояса |
Значение параметра на образующей под номером | ||||
11 |
12 | ||||
1к 'П7Н(в)' ММ |
/с 1тн(в)' град |
1к 'тн(в)> ММ |
к (Р/77Н(В) ’ град | ||
I |
в | ||||
II |
н | ||||
в | |||||
III |
н | ||||
в | |||||
IV |
н | ||||
в | |||||
V |
н | ||||
в | |||||
VI |
н | ||||
в | |||||
VII |
н | ||||
в | |||||
VIII |
н | ||||
в | |||||
IX |
н | ||||
в | |||||
X |
н | ||||
в | |||||
XI |
н | ||||
В | |||||
XII |
н | ||||
в |
а б л и ц а Б,5 - Высоты поясов
Номер |
Высоты ПОЯСОВ , |
мм | |||
образующей |
1 |
II |
III |
IV |
V |
N/2 |
Продолжение таблицы Б.5
Номер образующей |
Высоты ПОЯСОВ , мм | ||
VI |
VII |
VIII | |
0 | |||
N/2 |
Таблица Б.6 - Измерение неровностей днища
В миллиметрах
№ радиуса (образую щей) |
Отсчет по рейке в точке Ь/у- отсчет на концентрической окружности | ||||||||
0 |
I |
II |
III |
IV |
V |
VI |
VII |
VIII | |
1 | |||||||||
2 | |||||||||
3 | |||||||||
4 | |||||||||
5 | |||||||||
6 | |||||||||
7 | |||||||||
8 |
Таблица Б.7 - Параметры «мертвой» полости
№ измерения |
Высота «мертвой» полости thMn , мм |
1 |
2 |
1 | |
2 |
Таблица Б.8 - Координата точки касания лота.
Параметр |
Номер измерения | |
1 |
2 | |
Угол (градус, минута, секунда) | ||
/7 Высота превышения 0 , мм |
Т а б лица Б.9 - Параметры хранимой жидкости_________
Плотность хранимой жидкости, кг/м3
(подпись)
(Ф. И. О.)
(должность)
Приложение В
(обязательное)
Форма акта измерений базовой высоты резервуара
УТВЕРЖДАЮ
Руководитель предприятия - владельца резервуара (директор, гл. инженер)
АКТ
измерений базовой высоты резервуара
от «____»______________20__г.
Составлен в том, что комиссия, назначенная приказом по_________________________
наименование
... _____________________________________, в составе председателя___________________
предприятия - владельца резервуара
_________________________________________и членов:________________________________
инициалы, фамилия инициалы, фамилии
провела контрольные измерения базовой высоты резервуара стального вертикального цилиндрического теплоизолированного РВС-________№______________
при температуре окружающего воздуха_______________°C.
Измерения проведены рулеткой типа______________№____________со сроком
действия поверки до «___»____________20__г.
Результаты измерений представлены в таблице 1.
Таблица 1 В миллиметрах
Базовая высота резервуара |
Уровень жидкости в резервуаре | |
Среднее арифметическое значение результатов двух измерений (Н5)к |
Значение базовой высоты, установленное при поверке резервуара (Нб)п | |
1 |
2 |
3 |
Относительное изменение базовой высоты резервуара S6 , %, вычисляют по формуле
5б = ——----^--ЮО, где значения величин (Нб) , (Нб) , приведены в 1-й, 2-й графах.
(нб)„
Вывод - требуется (не требуется) внеочередная поверка резервуара.
Председатель комиссии
подпись инициалы, фамилия
Члены комиссии:
подпись инициалы, фамилия
подпись инициалы, фамилия
Приложение Г
(обязательное)
Форма титульного листа градуировочной таблицы и форма градуировочной таблицы
Г.1 Форма титульного листа градуировочной таблицы1
УТВЕРЖДАЮ
«____»________________20_ г.
ГРАДУИРОВОЧНАЯ ТАБЛИЦА
на резервуар стальной вертикальный цилиндрический теплоизолированный
РВС_________ №______________
О р га н и з а ци я__________________________________________________________
Погрешность определения вместимости: ±0,10 %
Срок очередной поверки_________________________
Поверитель
подпись
должность, инициалы, фамилия
' Форма градуировочной таблицы не подлежит изменению
Г.2 Форма градуировочной таблицы резервуара
Организация_____________________
Резервуар №______________________
Г.2.1 Форма градуировочной таблицы резервуара
Таблица Г.2 - Посантиметровая вместимость нижней части резервуара
Уровень наполнения, см |
Вместимость, м3 |
Уровень наполнения, см |
Вместимость, м3 |
^М.П | |||
Г/м.П 1 | |||
Нмп + 2 | |||
Таблица Г.З - Средняя вместимости в пределах вместимости пояса, приходящейся
на 1 см высоты наполнения
Уровень наполнения, мм |
Вместимость, м3 |
Уровень наполнения, мм |
Вместимость, м3 |
Уровень наполнения, мм |
Вместимость, м3 |
1 |
4 |
7 | |||
2 |
5 |
8 | |||
3 |
6 |
9 |
Приложение Д
(обязательное)
Обработка результатов измерений
Д. 1 Определение внутренних диаметров поясов резервуара
Д.1.1 Внутренние диаметры в сечении (нижнее, верхнее) /-го пояса резервуара
О,, мм, измеренные по 10.3 вычисляют по формуле
С)=2-/?н(в)- (Д-1)
где /?'(в) - внутренний радиус в нижнем (верхнем) сечении /-го пояса, мм.
Д.1.2 Для вычисления внутреннего радиуса пояса резервуара проводят вычисления координат точек в сечениях (нижнем/верхнем) Ун(в))’ мм- по
формулам:
ХП7Н/в ^тн/в ’ COS (ф/77н/в ) ’ (Д-2)
У тн/в ~ ^тн/в '^'^(фтн/в) » (Д-2)
где /тн/в, Фтн/в - горизонтальное проложение, мм, и горизонтальный угол точки, град, принимаемые по таблице Б.4.
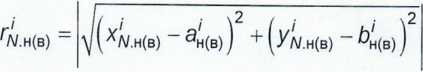
Д.1.3 Положение точки (например, точка А), лежащей на поверхности стенки пояса, определяется тремя координатами декартовой системы координат (х^вр у'н^ ) .
Из-за не совпадения начала системы координат измерений (станции съемки) с геометрическим центром резервуара (центром окружности) радиус резервуара определяют с учетом смещения станции съемки от геометрического центра резервуара.
Д.1.4 При направлении визирной линии тахеометра к точке А расстояние от точки (хл/н(в)’ У/\/н(в)> 2л/н(в)) д0 геометрического центра резервуара в плоскости измерений (нижнее/верхнее сечение), в соответствии с [4] вычисляют по формуле где { Х^/Н(В); У/уН(в)) “ координаты точки А в сечении N, мм;

(Д-4)
ан(в)> ^н(в) “ смещение по оси X и Y места установки станции съемки от геометрического центра резервуара, мм.
Расстояние отточки (х^н(в); у^н(в)) до геометрического центра резервуара в
нижнем (верхнем) сечении на N-ой образующей i-ro пояса вычисляют по формуле

(Д-5)


в нижнем (верхнем) сечении
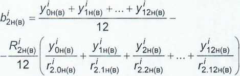
Д.1.5 Смещение станции съемки от геометрического центра резервуара а^в), Ь'н^ и расстояние от точек на поверхности пояса до центра окружности ^(в) в нижнем (верхнем сечении) i-ro пояса вычисляют методом наименьших квадратов.
Параметры а^в), Ь'н^, Г?'(в) вычисляют решая систему линейных уравнений
л/ л/

_1_. N ’
(Д-6)

’н(В)) 1
Л/’
(Д.7)

(Д.8)
где /у Н(В) - радиус /-го пояса на N-ой образующей в нижнем (верхнем) сечении, мм;
N - номер образующей (число измерений), в соответствии с 10.3.1 принято равным 12;
*)н(в)> У] н(в) “ координаты точки внутренней поверхности на N-ой образующей в нижнем (верхнем) сечении i-ro пояса резервуара, мм.
Радиус /-го пояса на N-ой образующей в нижнем (верхнем) сечении /уН(В) вычисляют по формуле


(Д-9)
Д 1.6 Вычисление величин а^(в), ,/?'(в) проводят в следующей
последовательности.
Д.1.6.1 Вычисление величин а^в), Ьв(в), , в нулевом приближении
^О.н(в)’ ^О.н(в)’ ^О.н(в) у •
1) устанавливают значение agH(B), bJH(B) в формуле (Д.9) равным нулю.
2) вычисляют значения Гу в соответствии с формулой (Д.9)
Г0.3.н(в)
н(в)) -

Примечание - В обозначении Гд 0 н(в) верхний индекс / соответствует номеру пояса, в нижнем индексе: первое число указывает номер приближения, второе число - номер образующей, н(в) нижнее (верхнее) сечение.
3) значение Rq о.Н(в) вычисляют по формуле (Д.8):
^Он(в) “
Y^(fO.O.H(B) +Г0.1.н(в) +Г0.2.н(в) + + Г0.12.н(в))’
4) вычисляют
значения адН(В), До.н(в) в соответствии с формулами (Д.6) и (Д.7)
соответственно:
а0.0н(в)
Х0н(в) + Х1н(в) + ••• + Х12н(в)
12
Х0н(в)
Х1н(в)
Д.1.6.2
pz г'0н(в)
12
Х2н(в)
+... +
Ин(в)
Уон(в)
Уон(в) У1н(в) + ••• + У12н(в)

1
г
'1.12н(в) J
Вычисление величин
*1н(в) -
'тО.нЦв) _
Г1.12.н(в) ”
л0н(в) +
г'
V1.0h(b)
/ _ х0н(в) + Х1н(в) + ••• + х12н(в)
а1н(в) —
р' 'чн(в)
12
первом приближении
г' '1.1 н(в)

г' —
М.З.н(в) “
^(Х0.н(в) а0.н(в)^ |
)2 + |
(Уо.н(в) ^О.н(в) |
Г; |
|(Х1.Н(в) ~ а0.н(в)) |
2+( |
У1.н(в) “ ^О.н(в)) |
2 J |
^(Х3.н(в) “ а0.н(в) |
Г+ |
(Уз.н(в) “ ^О.н(в) |
г |
-^■(^.О.нСв)+г1/.1.н(в) ’ '1.2.н(в)
12
Г/
12
Х1н(в) ! Х2н(в)
„ / „ /
'1.1н(в) '1.2н(в)

У Он(в) + У1н(в) + ••• + У-12н(в)
12

12
Урн(в)
Р
V1.0h(b)
У1н(в) , У2н(в) . . У12н(в)
—'■--1--:--г ... 4--:----------
г Г* г*
'1.1н(в) '1.2н(в) '1.12н(в) J
Д.1.6.3 Вычисление величин а'(в), Ь'(в), R'(b), во втором
приближении



■^Он(в) + ^1н(в) +•■•+ ^12н(в)
12
^2н(в)

у' Y1 1
Л2н(в) 4 Л12н(в)
Р Г'
'2.2н(в) '2.12н(в) J

Д.1.6.4 Операции вычисления прекращают в случае выполнения условия


< 0,001 мм,
где у - номер приближения (0, 1, ...т).
Д.1.7 Внутренний диаметр D1 i-ro пояса вычисляют по формуле

(Д.Ю)
где R^, RB - внутренние радиусы в нижнем и верхнем сечении i-ro пояса, мм.
Д.2 Измерения высот поясов резервуара
Д.2.1 Высоту /-го пояса резервуара (рисунок А.7), как расстояние по вертикали от верхнего края /-го пояса резервуара, hj, мм, вычисляют по формуле
й/ = . (Д . где th-, th" - высота превышения i-ro пояса (рисунок А.4), на образующей и противоположной образующей значение которого принимают из таблицы Б.З, мм;
f/7/+1 - высота превышения вышестоящего i+1-го пояса (рисунок А.7), значение которого принимают из таблицы Б.5, мм.
Д.З Вычисление вместимости «мертвой» полости
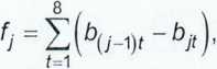
Д.3.1 Объем неровностей днища (дУдн)о вычисляют по формуле

яд2
4 -109
р, 005104/i +0,02281/2 + О, ОЗ86З/3 + " +0,05455/4+0,07038Г5+0,08513f6+ , k+0,10018/7+0,11645/8
(Д-12)
где f1t f2,...,/g - превышение высот призмы в точке между концентрическими
окружностями неровностей днища, вычисляемые по формуле

(Д-13)
где bj - высота превышения призмы, установленной по периметру j-й концентрической окружности;
Ь; 1 - высота превышения призмы, установленной по периметру (J - 1)-й вышележащей концентрической окружности.
Д.З.2 Уровень жидкости Нмп, мм, соответствующий высоте «мертвой» полости вычисляют по формуле
(Д-14)
где - базовая высота, измеренная по 10.2, её значение принимают из
таблицы Б.З, мм;
thMn - высота превышения среза ПРУ, значение принимают по таблице Б.7 (графа 2), мм.
Д.3.3 Вместимость «мертвой» полости \/мп вычисляют по формуле
(Д-15)
где
(\/дн) - объем неровностей днища, вычисляемый по формуле (Д.12), м3; V^n - вместимость «мертвой» полости в пределах Нмп, вычисляемая по формуле

(Д-16)
где - внутренний диаметр 1-го пояса, вычисляемый по формуле (Д.10), мм;
Н - уровень жидкости, отсчитываемый от точки касания днища грузом рулетки, мм;
Д.4 Вычисление посантиметроеой вместимости 1-го пояса резервуара
Д.4.1 Посантиметровую вместимость 1-го пояса от точки касания днища грузом рулетки до уровня Н}, соответствующий высоте 1-го пояса, вычисляют по формуле

(Д.17)
гДе Kin - вместимость «мертвой» полости, вычисляемая по формуле (Д.15), м3;
- внутренний диаметр 1-го пояса, вычисляемый по формуле (Д.10), мм;
Н - уровень жидкости, отсчитываемый отточки касания днища грузом рулетки, мм; А7МП - уровень жидкости, соответствующий высоте «мертвой» полости формуле (Д.14), мм.
A VB д - объем внутренней детали, определяемый по 10.6, м3.
Д.5 Вычисление посантиметроеой вместимости i-го пояса резервуара Посантиметровую вместимость резервуара /-го пояса \/(/"У). вычисляют по
формуле

(Д.18)
гДе
Н/_1, м3;
посантиметровая вместимость резервуара, соответствующая уровню
Н - уровень жидкости, соответствующий, отсчитываемый от точки касания днища грузом рулетки, см;
Hi _-] - уровень жидкости, соответствующий суммарной высоте поясов, см;
D;. - внутренний диаметр /-го пояса, вычисляемый по формуле (Д.10), мм.
БИБЛИОГРАФИЯ
-
[1] Тахеометр электронный Leica FlexLine TS02 plus, Госреестр № 65933-16
-
[2] ТУ ДКТЦ 41344.1.1.102 Анализатор-течеискатель АНТ-3. Технические условия
-
[3] РД-03-20-2007 Положение об организации обучения и проверки знаний рабочих организаций, поднадзорных федеральной службе по экологическому, технологическому и атомному надзору.
ФГУП «ВНИИР»
Страница 37 из 37
В обозначении точки отсчета Ь11.../?81 - первый индекс указывает номер радиуса
концентрической окружности днища, второй - номер радиуса днища (образующей)