Методика поверки «Установка поверочная нейтронного излучения УПН-АТ140» (ТИАЯ.412118.031 МП)
УТВЕРЖДАЮ

ГЦИ СИ ФГУП
И. Менделеева
.И. Ханов
УТВЕРЖДАЮ
2015
УСТАНОВКА ПОВЕРОЧНАЯ НЕЙТРОННОГО ИЗЛУЧЕНИЯ УПН-АТ140
Методика поверки
ТИАЯ.412118.031 МП
л ь -(2>35А2>'Л(ЬНачальник отдела радиационной метрологии УП «АТОМТЕХ»
В.Д. Гузов
« » 2015
Руководитель отдела измерений
ионизирующих излучений
ГЦИ

им. Д.И. Менделеева
У
С.Г. Трофимчук
2015
Приложение А (рекомендуемое) Форма протокола поверки
1 Вводная часть-
1.1 Настоящая методика поверки распространяется на установку поверочную нейтронного излучения УПН-АТ140, устанавливает методику ее первичной и периодической поверок и соответствует ГОСТ 8.521-84 «Государственная система обеспечения единства измерений. Установки поверочные нейтронного излучения. Методика поверки».
-
1.2 Установка поверочная нейтронного излучения УПН-АТ140 (далее - установка) предназначена для воспроизведения и передачи единиц плотности потока нейтронов, мощности амбиентного эквивалента дозы Н*(10) и индивидуального эквивалента дозы Н'р(10) нейтронного излучения при поверке, калибровке, градуировке и испытаниях радиометров и дозиметров нейтронного излучения.
-
1.3 Первичной поверке подлежат установки до ввода в эксплуатацию, а также после ремонта или устранения неисправности, которая могла бы привести к изменению метрологических характеристик установки.
-
1.4 Периодической поверке подлежит установка, находящаяся в эксплуатации.
-
1.5 Интервал между поверками - 2 года.
-
2.1 При проведении поверки должны быть выполнены операции, указанные в таблице 2.1.
Таблица 2.1
|
Наименование операции |
Номер пункта методики поверки |
Проведение операции при | |
|
первичной поверке |
периодической поверке | ||
|
1 Внешний осмотр |
7.1 |
Да |
Да |
|
2 Опробование |
7.2 |
Да |
Да |
|
3 Определение плотности потока нейтронов |
7.3.1 |
Да |
Да |
|
4 Определение плотности потока тепловых (подкадмиевых) нейтронов |
7.3.2 |
Да |
Да |
|
5 Определение плотности потока нейтронов в «открытой» геометрии |
7.3.3 |
Да |
Да |
|
6 Определение мощности амбиентного эквивалента дозы и мощности индивидуального эквивалента дозы нейтронного излучения |
7.3.4 |
Да |
Да |
|
7 Определение мощности амбиентного эквивалента дозы и мощности индивидуального эквивалента дозы нейтронного излучения при измерениях в "открытой" геометрии |
7.3.5 |
Да |
Да |
|
8 Оформление результатов поверки |
8 |
Да |
Да |
-
3.1 При проведении поверки должны применяться эталоны, средства измерений, приведенные в таблице 3.1.
Таблица 3.1
|
Номер пункта методики поверки |
Наименование и тип эталонов и вспомогательных средств поверки |
Метрологические и основные технические характеристики |
7.3.5 |
Эталон плотности потока нейтронов в ранге не ниже вторичного в соответствии с ПС ГОСТ 8.031-82 |
Диапазон 10 - 104 с'1 см"2 Суммарное CKO Sx0 = (2 - 3)10’2 |
|
7.3.4 |
Эталон мощности эквивалента дозы нейтронного излучения в ранге не ниже вторичного в соответствии с ПС ГОСТ 8.803-2012 |
Диапазон 10 - Г104 мкЗв ч’1 Суммарное CKO Sso = (2 - 3)10’2 |
|
7.3.1
|
Компаратор- радиометр-дозиметр нейтронов |
Диапазон измерений плотности потока нейтронов 1 - Г104 с’1 см’2 Диапазон измерений мощности эквивалента дозы нейтронного излучения 1 - Г104 мкЗв ч’1 СКО результата измерений Г10’2 |
|
7.3.2 |
Компаратор- радиометр тепловых нейтронов |
Диапазон измерений плотности потока нейтронов 1 - Г104 с'1 см’2 СКО результата измерений Г10’2 |
|
6.1 |
Термометр лабораторный |
Диапазон измерений температуры от 0 °C до 50 °C. Цена деления 0,1 °C. Погрешность измерения не более ±0,1 °C |
|
6.1 |
Психрометр аспирационный |
Измерение относительной влажности воздуха от 10% до 100%. Погрешность измерения не более ±2 % |
|
6.1 |
Барометр-анероид |
Измерение атмосферного давления от 80 до 107 кПа. Погрешность измерения не более ±0,2 кПа |
|
Примечание - Все средства измерений должны иметь действующие клейма и (или) свидетельства о поверке. Допускается применять другие средства измерений с метрологическими характеристиками не хуже указанных. Для расчета контрольной суммы программного обеспечения допускается применять стандартные средства, например, Total Commander, Double Commander. | ||
-
4.1 К проведению поверки и (или) обработке результатов поверки допускаются лица, аттестованные в качестве государственных поверителей в установленном порядке. Техническое обслуживание и обеспечение работоспособности поверяемой установки выполняет штатный сотрудник из числа персонала организации-пользователя установки.
-
4.2 Для проведения поверки необходимо ознакомиться с руководством по эксплуатации на поверяемую установку и рекомендациями по выполнению измерений основных параметров поля излучения.
-
5.1 При проведении поверки должны соблюдаться требования безопасности, установленные в:
-
- СП 2.6.1.2612-10 «Основные санитарные правила обеспечения радиационной безопасности (ОСПОРБ-99/20Ю)»;
-
- СанПиН 2.6.1.2523-09 «Нормы радиационной безопасности (НРБ-99/2009)»;
-ПОТ РМ-016-2001 (РД 153-34.0-03.150-00) «Межотраслевые правила по охране труда (правила безопасности) при эксплуатации электроустановок»;
-
- РЭ на поверяемую установку;
-
- эксплуатационной документации применяемых средств поверки.
-
6.1 Поверку необходимо проводить в следующих условиях:
- температура окружающего воздуха
(20 ± 5) °C;
-
- относительная влажность воздуха
-
- атмосферное давление
60 (+20; -30) %;
101,3 (+5,4;-15,3) кПа.
-
-
6.2 При подготовке к поверке необходимо:
-
- ознакомиться с РЭ;
-
- подготовить установку к поверке в соответствии с разделом 3 РЭ (3.1);
-
- подготовить средства измерений в соответствии с технической документацией.
-
7.1 Внешний осмотр
-
7.1.1 При проведении внешнего осмотра должно быть установлено:
-
-
- наличие РЭ на поверяемую установку;
-
- соответствие комплектности, поверяемой установки требованиям РЭ в объеме, необходимом для поверки;
-
- наличие свидетельства о первичной или предыдущей поверке;
-
- наличие паспортов на входящие в комплект установки радионуклидные источники нейтронов с указанием действующих сроков службы;
-отсутствие в поле излучения установки посторонних предметов, которые могут влиять на результаты измерений;
-
- отсутствие повреждений установки, влияющих на ее метрологические характеристики.
-
7.2 Опробование
-
7.2.1 При опробовании установки проверяют:
-
-
- исправность установки в соответствии с эксплуатационной документацией;
-
- возможность размещения и юстировки поверяемых приборов в поле излучения, их фиксации и необходимых перемещений в поле излучения;
-
- работоспособность установки в соответствии с РЭ;
-
- подтверждение соответствия программного обеспечения (ПО) установки.
-
7.2.2 Подтверждение соответствия ПО проводят идентификацией ПО и проверкой обеспечения защиты ПО от несанкционированного доступа во избежание искажения результатов измерений.
Метрологически значимыми в программном обеспечении УПН-АТ140 являются следующие программы:
-
- программа «UPNControl», установленная на внешнем компьютере, обеспечивающая связь с установкой, ввод и редактирование данных о средствах измерений (СИ) радиационного контроля, эталонных СИ, эталонных источниках излучения (ИИ), их поверках, сценариях поверок и сохранение их в базе данных, пересчет метрологически значимых величин и сохранение результатов измерений в базе данных;
-программа контроллера ДУ О (контроллера блока управления ДУО-АТ140), обеспечивающая управление процессом перемещения (позиционирования) облучателя и обработку сигналов ДУ О;
-
- программа контроллера КС (контроллера блока управления КС-АТ 140), обеспечивающая управление и позиционирование подвижной платформы по заданным координатам, управление опорным источником и обработку сигналов КС;
-программа панели оператора ДУ О (панели оператора пульта управления ДУО-АТ140), обеспечивающая отображение состояния облучателя и инициализацию процесса перемещения источника путем передачи команд и обмена данными с контроллером ДУ О.
-
- программа панели оператора КС (панели оператора пульта управления КС-АТ140), обеспечивающая отображение текущего состояния КС, передачу команд позиционирования контроллеру КС.
Определение цифровых идентификаторов исполняемых кодов внешнего ПО проводится вычислением контрольных сумм по методу MD5 с помощью внешней программы стороннего разработчика (например, стандартными средствами Total Commander).
Результаты поверки считают удовлетворительными, если наименования, номера версий (идентификационные номера) и контрольные суммы внешнего ПО соответствуют указанным в таблице 7.1 и в разделе РЭ «Особые отметки».
Идентификационные данные программного обеспечения приведены в таблице 7.1.
Таблица 7.1
|
Идентификационные данные (признаки) |
Значения | ||||
|
Встроенное ПО |
Внешнее ПО | ||||
|
Идентификационное наименование ПО |
IPLC |
CPLC |
IPO |
СРО |
UPNCon-trol.exe |
|
Номер версии (идентификационный номер) ПО |
2.10 |
2.1!) |
2.11} |
2.1!) |
1.0.0.0*) |
|
Цифровой идентификатор ПО (по MD5) |
Не определен2) |
Не определен2) |
Не определен2) |
46e975ae5f8 88687ab5d6b 88efa270003) | |
9 Номер версии программного обеспечения не ниже указанного в таблице.
-
2) Встроенное ПО устанавливается на стадии производства. Доступа к цифровому идентификатору встроенного ПО нет.
-
3) Контрольная сумма относится к текущей версии программного обеспечения (1.0.0.0).
Программы контроллера ДУ О, контроллера КС, панели оператора ДУ О, панели оператора КС защищены от несанкционированного изменения паролем и пломбой на корпусах контроллеров и пультов управления (см. рисунки 1 -4).
Под пломбой размещается шильдик с наименованием программы после слова «Firmware» и номером версии программы после слова «Уег».

1 - пломба; 2 -шильдик.
Рисунок 2 - Пломба на пульте управления стенда
1 - пломба; 2 -шильдик.
Рисунок 3 - Пломба на корпусе контроллера КС
1 - пломба; 2 -шильдик.
Рисунок 4 - Пломба на корпусе контроллера ДУ О
Результаты поверки считают удовлетворительными, если целостность пломбы не нарушена, а идентификационные наименования и номера версий (идентификационные номера) встроенного ПО соответствуют указанным в таблице Ошибка! Источник ссылки не найден, и (или) в разделе РЭ «Особые отметки». При повреждённой пломбе поверка прекращается и выписывается извещение о непригодности.
-
7.3 Определение метрологических характеристик
-
7.3.1 Определение плотности потока нейтронов
-
7.3.1.1 Значение плотности потока нейтронов определяют методом сличения значения плотности потока нейтронного поля поверяемой установки с конкретным источником, установленным в коллиматор, с плотностью потока в поле эталона более высокого разряда.
-
7.3.1.2 Блок детектирования радиометра-компаратора размещают на рабочем столе подвижной платформы поверяемой установки, обеспечивающем совпадение оси симметрии блока детектирования с центральной осью пучка нейтронов и оцифровку координаты расстояний R относительно центра радионуклидного источника
-
7.3.1.3 Устанавливают расстояние Rt (не менее 0,6 м) между центрами радионуклидного источника и радиометра-компаратора.
-
7.3.1.4 Измеряют скорость счета радиометра-компаратора N(Rt), с'1. Проводят не менее пяти измерений скорости счета. Время экспозиции выбирают таким образом, чтобы суммарное число отсчетов было не менее 5 1O5 импульсов. Значение N(R,) записывают в таблице А.2 протокола поверки, форма которого приведена в приложении Г.
-
7.3.1.5 Вычисляют среднее арифметическое значение результатов измерений для расстояния R = R, по формуле

-
-
(7-1)
где N, - результат i-ro измерения;
N - среднее арифметическое значение результатов измерений;
п - число измерений.
Результаты заносят в таблицу А.2 протокола поверки.
-
7.3.1.6 Увеличивая значение R на 0,1 м, повторяют процедуру 7.3.1.4 - 7.3.1.5 до достижения значения R = 3,0 м.
-
7.3.1.7 Для каждого значения R вычисляют значения скорости счета N"(R), с’1, по формуле
A',W = -4r-e"", (7.2)
1-Nt
где т - «мертвое» время радиометра компаратора, с,
/и - коэффициент рассеяния нейтронов воздухом, м’1.
Результаты заносят в таблицу А.2 протокола поверки.
Вычисляют величину . .
Результаты заносят в таблицу А.2 протокола поверки.
-
7.3.1.8 Строят график f(R) = — L— , и по начальному линейному участку №(R)
проводят прямую линию. Методом наименьших квадратов определяют параметры прямой
1 ъ
линии ■ =aR + b и вычисляют значение 4R, = — .
а
-
7.3.1.9 Для каждого значения R вычисляют значение заносят в таблицу А.2 протокола поверки.
1
---------у, результаты (R-AR,)
-
7.3.1.10 Строят график зависимости N*(R)-f ((R-AR,)~2), по начальному линейному участку проводят прямую линию и методом наименьших квадратов определяют параметры прямой N*(R)-a(R- AR,)~2 +b.
Физический смысл константы b - вклад рассеянных нейтронов в суммарную скорость счета, b = Nр1.
Для каждого значения R вычисляют значение характеристической константы системы «источник-детектор» по формуле
A = (N-(R)-Np,)-(R-AR,)!. (7.3)
В случае если A = const(R) в пределах ±1%, вычисляют среднее значение характеристической константы А по формуле

(7.4)
Результат заносят в таблицу А.2 протокола поверки.
-
7.3.1.11 В случае если А Ф const(R), строят график зависимости
(7.5)
и в соответствии с 7.3.1.8 - 7.3.1.11 вычисляют значения AR2, Np2 и А .
7.3.1.12
Вычисляют СКО результата измерений, %, по формуле
Z(^-4)2(7-6)
-
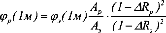
7.3.1.13 Вычисляют значение плотности потока нейтронов в поле поверяемой установки на расстоянии 1 м от центра источника по формуле

(7.7)
где фэ, Аэ и AR3 - значения относятся к эталону более высокого ранга, по которому проводится сличение;
<рр, Ар и ARp - значения для поверяемой установки.
-
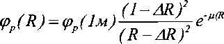
7.3.1.14 Рассчитывают значения плотности потока нейтронов в прямом пучке (без учёта рассеянного излучения) на расстоянии R в диапазоне расстояний от 0,6 до 3,0 м для поверяемой установки <pp(R) по формуле

(7.8)
-
7.3.1.15 Результаты измерений плотности потока нейтронов срр(R) принимают за действительные значения плотности потока нейтронов в поле поверяемой установки и записывают в таблицу А.6 протокола поверки.
-
7.3.1.16 Выполняют последовательность операций 7.3.1.3-7.3.1.12 для всех типов радиометров, проходящих поверку в поле поверяемой установки.
-
7.3.1.17 Для каждого типа радиометров вычисляют значение коэффициента B(R)
N(R)-N
для каждого значения R по формуле B(R) = ——. Результат записывают в таблицу А.З протокола поверки. B(R) - коэффициент, учитывающий вклад рассеянного нейтронного излучения в показания радиометра (определяется при поверке эталонной установки).
-
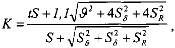
7.3.1.18 Доверительные границы основной относительной погрешности 80, %, плотности потока нейтронов в поле поверяемой установки с доверительной вероятностью Р = 0,95 определяют в соответствии с ГОСТ Р 8.736-2011 по формуле
80=KS^
где - суммарное СКО результатов измерений, %;
К - коэффициент, зависящий от выбранной доверительной вероятности Р и сочетания случайных и систематических погрешностей.
-
7.3.1.19 Суммарное СКО результатов измерений Sx вычисляют по формуле
Sz^S2+S2+S2e+S2s,
(7.10)
где S - СКО результата измерений, рассчитанное по формуле (7.6), %;
Sg - СКО неисключенной систематической погрешности (НСП) эталона более высокого ранга, по которому проводится поверка, равное половине значения погрешности для доверительной вероятности Р - 0,95, приведенного в свидетельстве о его поверке, %;
S9 - СКО НСП радиометра-компаратора, рассчитанное по формуле

(7.И)
где & - максимальное значение невоспроизводимое™ показаний радиометра-компаратора, %;
SR - СКО результата определения расстояния от центра источника до центра
детектора дозиметрического прибора = согласно
технической документации на установку), %.
-
7.3.1.20 Коэффициент К вычисляют по формуле

(7.12)
где t - коэффициент распределения Стьюдента, соответствующий доверительной вероятности Р = 0,95 и числу степеней свободы п-1 (числу результатов измерений и).
Результаты поверки считают положительными, если основная относительная погрешность поверяемой установки при доверительной вероятности 0,95 не превышает допустимого предела для рабочих эталонов 1-го и 2-го разрядов по ГОСТ Р 8.031-82.
-
7.3.2 Определение плотности потока тепловых нейтронов
-
7.3.2.1 Значение плотности потока нейтронов определяют методом сличения значения плотности потока нейтронного поля поверяемой установки с конкретным источником, установленным в контейнер-замедлитель, с плотностью потока в поле эталона более высокого разряда.
-
7.3.2.2 Блок детектирования радиометра-компаратора размещают на рабочем столе подвижной платформы поверяемой установки, обеспечивающем совпадение оси симметрии блока детектирования с центральной осью пучка нейтронов и оцифровку координаты расстояний R относительно центра радионуклидного источника.
-
7.3.2.3 По шкале градуировочной линейки установки устанавливают расстояние RI (не менее 0,6 м) между центрами радионуклидного источника и радиометра-компаратора.
-
7.3.2.4 Измеряют скорость счета N,, с’1. Время экспозиции выбирают таким образом, чтобы суммарное число отсчетов было менее 5 105 импульсов. Значение NI записывают в таблицу А.4 протокола поверки.
-
7.3.2.5 Закрывают кадмиевым экраном толщиной 1 мм источник тепловых нейтронов, по методике 7.3.2.4 получают значение Nn, результат заносят в таблицу А.4 протокола поверки.
-
7.3.2.6 Закрывают кадмиевым экраном толщиной 1 мм детектор, по методике
-
-
7.3.2.4 получают значение NIV, результат заносят в таблицу 3 протокола поверки.
-
7.3.2.7 Снимают кадмиевый экран с источника, по методике 7.3.2.4 получают значение , результат заносят в таблицу А.4 протокола поверки.
-
7.3.2.8 Увеличивают расстояние на 0,1 м, повторяют операции по 7.3.2.3 - 7.3.2.7 до достижения значения R = 3,0 м.
-
7.3.2.9 Для каждого полученного значения N рассчитывают значение N* по формуле
(7.13)
l-N-т
Результаты записывают в таблицу А.4 протокола поверки.
-
7.3.2.10 Для каждого значения R рассчитывают значение скорости счета, обусловленной тепловыми нейтронами, по формуле

(7.14)
Результаты записывают в таблицу А.4 протокола поверки.
-
7.3.2.11 Для каждого значения R рассчитывают значение N* - .
Результаты записывают в таблицу А.4 протокола поверки.
-
7.3.2.12 По методике 7.3.1.7-7.3.1.11 определяют значение А и Np, результаты записывают в таблицу А.4 протокола поверки.
-
7.3.2.13 Вычисляют СКО результата измерений по формуле (7.6).
-
7.3.2.14 Вычисляют значение плотности потока тепловых нейтронов в поле поверяемой установки на расстоянии 1 м от центра источника по формуле (7.7).
-
7.3.2.15 Рассчитывают значения (рр (R) плотности потока тепловых нейтронов в диапазоне расстояний от 0,6 до 3,0 м по формуле (7.8).
-
7.3.2.16 Результаты измерений плотности потока нейтронов <pp(R) принимают за действительные значения плотности потока нейтронов в поле поверяемой установки и записывают в таблицу А.6 протокола поверки.
-
7.3.2.17 Выполняют последовательность операций 7.3.2.3 - 7.3.2.12 для всех типов радиометров тепловых нейтронов, проходящих поверку в поле поверяемой установки.
-
7.3.2.18 Для каждого типа радиометров для каждого значения R вычисляют N(R)-N
значение B(R) = —. Результаты записывают в таблицу А.З протокола поверки.
-
7.3.2.19 Доверительные границы основной относительной погрешности плотности потока тепловых нейтронов <5д, %, с доверительной вероятностью Р = 0,95 определяют в соответствии с требованиями 7.3.1.18-7.3.1.20.
Результаты поверки считают положительными, если основная относительная погрешность поверяемой установки при доверительной вероятности 0,95 не превышает допустимого предела для рабочих эталонов 1-го и 2-го разрядов по ГОСТ Р 8.031-82.
-
7.3.3 Определение плотности потока нейтронов в «открытой» геометрии
-
7.3.3.1 Значение плотности потока нейтронов в «открытой» геометрии (в широком пучке) определяют методом сличения значения плотности потока нейтронного поля от конкретного источника, установленного в «открытой» геометрии, с плотностью потока в поле эталона более высокого разряда. Вклад рассеянного излучения определяют методом теневого конуса.
-
7.3.3.2 Блок детектирования радиометра-компаратора размещают на рабочем столе подвижной платформы, обеспечивающем совпадение оси симметрии блока детектирования с осью пучка нейтронов и оцифровку координаты расстояний R относительно центра радионуклидного источника, размещенного в «открытой» геометрии.
-
7.3.3.3 Устанавливают оборудование «открытой» геометрии на основание калибровочного стенда в соответствии с разделом 3.2 РЭ. Проводят юстировку оснований экранирующего конуса относительно оси, проходящей через центр радионуклидного источника нейтронов в «открытой» геометрии и эффективный центр блока детектирования радиометра-компаратора.
-
7.3.3.4 Убирают экранирующий конус. Устанавливают расстояние R} (не менее 0,6 м) между центрами радионуклидного источника и радиометра-компаратора.
-
7.3.3.5 Устанавливают радионуклидный источник в «открытой» геометрии.
-
7.3.3.6 Измеряют скорость счета N(Rj, с'1. Время экспозиции выбирают таким, чтобы суммарное число отсчетов было не менее 5-105 импульсов. Проводят не менее пяти измерений скорости счета. Значение N(Rt) записывают в таблице А.5 протокола поверки.
-
7.3.3.7 Вычисляют среднее арифметическое значение результатов измерений по формуле (7.1).
-
7.3.3.8 Увеличивая значение R на 0,1 м, повторяют операции по 7.3.3.6-7.3.3.7 до достижения значения R =3,0 м.
-
7.3.3.9 Для каждого значения R рассчитывают значение N* (R), с'1, по формуле
-
Vw = —(7.15)
1-N-т
Результаты записывают в таблицу А.5 протокола поверки.
-
7.3.3.10 Устанавливают экранирующий конус. Повторяют операции по 7.3.3.6-7.3.3.9.
-
7.3.3.11 Результат измерения скорости счета на расстояниях R в «открытой» геометрии No определяют как разность средних значений скоростей счета, полученных при измерениях без экранирующего конуса ЛГ (R), и значений скоростей счета, полученных при измерениях с экранирующим конусом N*K, по формуле
N0=N*(R)-N*K.
(7-16)
-
7.3.3.12 Вычисляют среднее квадратическое отклонение (СКО) результата измерений в относительной форме по формуле


(7-17)
где S и SK - средние квадратические отклонения результатов измерений скоростей счета, определенных без экранирующего конуса и с экранирующим конусом, соответственно.
-
7.3.3.13 Для каждого значения R рассчитывают значение N*0(R) = Noetd<. Результаты записывают в таблицу А.5 протокола поверки.
-
7.3.3.14 Для каждого значения R вычисляют значение характеристической константы системы «источник - детектор» по формуле

(7.18)
Для интервала расстояний R, когда A-const(R) в пределах ±1%, вычисляют значение характеристической константы А по формуле (7.4). Результат заносят в таблицу А.5 протокола поверки.
-
7.3.3.15 Вычисляют СКО результата измерений по формуле (7.6).
-
7.3.3.16 Вычисляют значение характеристической константы А* с учетом чувствительности радиометра-компаратора по формуле

(7-19)
где К3 - коэффициент чувствительности, приводящий к единицам плотности потока нейтронов.
-
7.3.3.17 Значение плотности потока нейтронов в «открытой» геометрии в направлении, перпендикулярном оси источника, рассчитывают по формуле
(7.20)
-
7.3.3.18 Результаты измерений плотности потока нейтронов <p(R) принимают за действительные значения плотности потока нейтронов в поле поверяемой установки и записывают в таблицу А.6 протокола поверки.
-
7.3.3.19 Доверительные границы основной относительной погрешности 80, %, плотности потока нейтронов в «открытой» геометрии определяют в соответствии с 7.3.1.18-7.3.1.20.
Результаты поверки считают положительными, если основная относительная погрешность поверяемой установки при доверительной вероятности 0,95 не превышает допустимого предела для рабочих эталонов 1-го и 2-го разрядов по ГОСТ 8.031-82.
7.3.4 Определение мощности амбиентного эквивалента дозы и мощности индивидуального эквивалента дозы нейтронного излучения
-
7.3.4.1 Значение мощности амбиентного эквивалента дозы и индивидуального эквивалента дозы нейтронного излучения определяют методом сличения значения мощности амбиентного (индивидуального) эквивалента дозы в поле поверяемой установки с конкретным источником, установленным в коллиматор, с мощностью амбиентного (индивидуального) эквивалента дозы в поле эталона более высокого разряда в соответствии с поверочной схемой ГОСТ 8.803-2012.
-
7.3.4.2 Проводят измерения в соответствии с п.п. 7.3.1.2 - 7.3.1.12.
-
7.3.4.3 Вычисляют значение мощности амбиентного эквивалента дозы в поле поверяемой установки на расстоянии 1 м от центра источника по формуле
(1 —ARp)2
(1 —AR3)2 ’
(7-21)
где Н*э , Аэ и AR3 - значения относятся к эталону более высокого ранга, по которому проводится сличение;
Н*, Ар и ARp - значения для поверяемой установки.
-
7.3.4.4 Рассчитывают значения мощности амбиентного эквивалента дозы на
расстоянии R в диапазоне расстояний от 0,6 до 3,0 м для поверяемой установки Я*(10)Л по формуле
/?(1О)Л =/?(1О)1л<
(1 AR)2 a(r-i)
(Я-AR)2
(7.22)
-
7.3.4.5 Результаты измерений мощности амбиентного эквивалента дозы Я*(10)й принимают за действительные значения мощности амбиентного эквивалента дозы в поле поверяемой установки и записывают в таблицу А.6 протокола поверки.
-
7.3.4.6 Вычисляют значение мощности индивидуального эквивалента дозы в поле поверяемой установки на расстоянии 1 м от центра источника по формуле
А„ (1 —AR )2
(7.23)
у/ (Ю). = /ЛЭ(1О)1Л, -А -------
У1л/ рэ V Z1JW А {Д_ ^2
где Нрэ, Аэ и AR3 - значения относятся к эталону более высокого ранга, по которому проводится сличение;
Нр , Ар и ARp - значения для поверяемой установки.
-
7.3.4.7 Значения мощности индивидуального эквивалента дозы на расстоянии R в диапазоне расстояний от 0,6 до 3,0 м для поверяемой установки /7р(10)д рассчитывают по формуле

(7.24)
-
7.3.4.8 Результаты измерений мощности индивидуального эквивалента дозы Н*(10)я принимают за действительные значения мощности индивидуального эквивалента дозы в поле поверяемой установки и записывают в таблицу А.6 протокола поверки.
-
7.3.4.9 Доверительные границы основной относительной погрешности 8(), %, мощности амбиентного (индивидуального) эквивалента дозы в поле поверяемой установки с доверительной вероятностью Р = 0,95 определяют в соответствии с п.п. 7.3.1.18-7.3.1.20.
Результаты поверки считают положительными, если основная относительная погрешность поверяемой установки при доверительной вероятности 0,95 не превышает 7%.
7.3.5 Определение мощности амбиентного эквивалента дозы и мощности индивидуального эквивалента дозы нейтронного излучения при измерениях в "открытой" геометрии
-
7.3.5.1 Значения мощности амбиентного эквивалента дозы нейтронного излучения рассчитывают в соответствии с рекомендациями ISO-8529 по формуле:

(7.25)
где ф - плотность потока нейтронов, определённая в соответствии с п. 7.3.3.
-
7.3.5.2 Значения мощности индивидуального эквивалента дозы нейтронного излучения рассчитывают в соответствии с рекомендациями ISO-8529 по формуле


(7.26)
-
7.3.5.3 Значения коэффициентов перехода от флюенса к эквиваленту дозы (от плотности потока нейтронов к мощности эквивалента дозы) для радионуклидных источников нейтронов приведены в справочном Приложении Б.
-
7.3.5.4 Результаты определения мощности амбиентного эквивалента дозы и мощности индивидуального эквивалента дозы нейтронного излучения записывают в таблицу А.6 протокола поверки.
-
8.1 Результаты поверки оформляют протоколом поверки по форме, приведенной в приложении А.
-
8.2 Положительные результаты поверки оформляют выдачей свидетельства о поверке установки установленной формы.
-
8.3 При отрицательных результатах поверки:
-
- поверяемая установка к применению не допускается;
-на установку выдается извещение о непригодности установленной формы с указанием причин непригодности;
-
- свидетельство о поверке установки аннулируется.
Приложение А
(рекомендуемое) Форма протокола поверки
Протокол поверки
установки поверочной нейтронного излучения УПН-АТ140 зав. №__________
ДАТА ПОВЕРКИ_________
ПОВЕРКА ПРОВОДИЛАСЬ____________________________________
поверочный орган
Условия поверки: температура относительная влажность атмосферное давление внешний фон гамма-излучения

Средства поверки
-
1 Внешний осмотр
документация _________________________________________________________________
комплектность _________________________________________________________________
отсутствие механических повреждений____________________________________________
-
2 Опробование
работоспособность ________________________________________________________________
соответствие ПО ______________________________________________________________
Таблица А.1 Результаты проверки программного обеспечения
|
Наименование ПО |
Идентификационное наименование ПО |
Номер версии (идентификационный номер) ПО |
Цифровой идентификатор ПО (контрольная сумма исполняемого кода) |
Алгоритм вычисления цифрового идентификатора ПО |
|
UPNControl |
UPNControl.exe | |||
|
Программа контроллера ДУО |
IPLC | |||
|
Программа контроллера КС |
CPLC | |||
|
Программа панели оператора ДУО |
IPO | |||
|
Программа панели оператора КС |
СРО |
-
3 Определение метрологических характеристик
Таблица А.2 Результаты измерения плотности потока нейтронов
|
R, м |
N, с'1 |
N*, с’1 |
1 |
1 |
1 |
1 |
А | |
|
(R-ARJ2 |
/N*-Nr, |
(R-AR2)2 | ||||||
|
0,8 0,9 3,0 | ||||||||
|
А | ||||||||
Таблица А.З Результаты определения вклада рассеянного излучения
|
R, м |
<Р, с^м-2 |
В | ||||
|
(тип радиометра) |
(тип радиометра) |
(тип радиометра) |
(тип радиометра) |
(тип радиометра) | ||
|
0,8 0,9 | ||||||
|
3,0 | ||||||
Таблица А.4 Результаты определения плотности потока тепловых нейтронов
|
R, м |
Nu |
Nn, |
К |
N т |
N* т |
1 |
А | |||||
|
у т | ||||||||||||
|
0,8 0,9 | ||||||||||||
|
3,0 | ||||||||||||
|
А | ||||||||||||
Таблица А.5 Результаты определения плотности потока нейтронов в "открытой" геометрии
|
R, м |
N,cl |
N*,cl |
> с 1 |
К, с1 |
А | |
|
0,6 0,7 | ||||||
|
3,0 | ||||||
|
А | ||||||
Таблица А.6 Результаты определения метрологических характеристик установки
|
R, м |
Источник типа.. |
.... №..... |
Источник типа.. |
... №..... | ||||||||||
|
Коллиматор |
Открытая геометрия |
Коллиматор |
Открытая геометрия | |||||||||||
|
t 3 |
//ДЮ) |
i |
Г 3 |
//’(10) |
//р(10) |
//’(10) |
ЯР(10 |
i J |
Г 3 |
//‘(ю |
//Р(10 | |||
|
0,8 0,9 | ||||||||||||||
|
3,0 | ||||||||||||||
Установка УПН-АТ140
методике поверки.
соответствует/не соответствует
Свидетельство №_______от____________
(Извещение о непригодности)
Поверитель
«___»___________20
личная подпись
расшифровка подписи
Приложение Б (справочное)
Таблица Б.1 Значения коэффициентов перехода от флюенса к эквиваленту дозы (от плотности потока нейтронов к мощности эквивалента дозы) для радионуклидных источников нейтронов различного спектрального состава
|
Радионуклидный источник |
Коэффициент конверсии | |
|
кн*(Ю), (pSvcm2 |
кнр(10), (pSvcm2) | |
|
252Cf+D2O замедлитель (диаметр 30см) |
105 |
110 |
|
252Cf |
385 |
400 |
|
238Ри-В(а,п) [241Ат-В(а,п)] |
408 |
426 |
|
238Ри -Ве(а,п) [241Ат -Ве(а,п)] |
391 |
411 |
Таблица Б.2 Рекомендуемые значения коэффициентов ослабления нейтронов воздухом (//) для радионуклидных источников нейтронов различного спектрального состава и периодов полураспада основных радионуклидов в источниках (Tzz?).
|
Радионуклидный источник |
Ti/2, лет | |
|
Тепловые (подкадмиевые) |
5,70 Ю'2 | |
|
252Cf+D2O замедлитель (диаметр 30 см) |
2,96 1 О’4 |
2,65 |
|
252Cf |
1,05 Ю-4 |
2,65 |
|
238Ри-В(а,п) [241Ат-В(а,п)] |
0,83 ТО"4 |
87,7 [432,6] |
|
238Ри -Ве(а,п) [241Ат -Ве(а,п)] |
0,87 1 О'4 |
87,7 [432,6] |
|
Изм. |
Номера листов (страниц) |
Всего листов (страниц) в докум. |
№ документа |
Входящий № сопроводительного документа и дата |
Поди. |
Дата | |||
|
измененных |
замененных |
новых |
аннулированных | ||||||
22
- пломба; 2 -шильдик.
Рисунок 1 — Пломба на пульте управления облучателя
