Методика поверки «Сигнализатор виброскорости и температуры "ПИК-ВТ" ("ПИК-VT")» (ИМБР 421 451.008 МП)
УТВЕРЖДАЮ
Руководитель ГЦИСИ ФГУП «ВНИИМС»
УТВЕРЖДАЮ
Генеральньпрдаректор НПП «ТИК»
________ ________ В.И. Яншин « (- О) , -? .<•' 201 ; Г.

Булатов
201 г.
Сигнализатор виброскорости и температуры «ПИК-ВТ» («ПИК-VT»)
Методика поверки
ИМБР421 451.008 МП
Пермь
2011
Стр. 2
Настоящая методика поверки распространяется на сигнализатор виброскорости и температуры «ПИК-ВТ» («ПИК-VT») (далее по тексту - прибор) и устанавливает требования к методике первичной и периодической поверок.
Интервал между поверками составляет один год.
1 ОПЕРАЦИИ ПОВЕРКИ-
1.1 При проведении поверки должны быть выполнены операции поверки, указанные в таблице 1.
Таблица 1
|
Наименование операций |
№ пункта МП |
Обязательность проведения операций при поверке | |
|
Первичной |
периодической | ||
|
Внешний осмотр |
7.1 |
да |
да |
|
Измерение электрической прочности и сопротивления изоляции |
7.2 |
да |
нет |
|
Опробование |
7.3 |
да |
да |
|
Проверка прибора при измерении вибрации |
7.4 | ||
|
Проверка основной абсолютной погрешности канала измерения СКЗ виброскорости |
7.4.1 |
да |
да |
|
Проверка неравномерности АЧХ канала измерения СКЗ виброскорости |
7.4.2 |
да |
да |
|
Проверка основной приведенной погрешности блока сигнализации |
7.5 | ||
|
Проверка основной приведенной погрешности блока сигнализации при измерении СКЗ виброскорости и осевого смещения |
7.5.1 |
да |
да |
|
Проверка основной приведенной погрешности блока сигнализации при измерении температуры |
7.5.2. |
да |
да |
Стр. 3
Продолжение таблицы 1
|
Наименование операций |
№ пункта МП |
Обязательность проведения операций при поверке | |
|
Первичной |
периодической | ||
|
Проверка вибропреобразователя совместно с У СО |
7 6 | ||
|
Проверка основной абсолютной погрешности вибропреобразователя DV-1 сУСО ПИК-V-l, вибропреобразователя DVA-3-3-3 |
7.6.1 |
да |
да |
|
Проверка неравномерности АЧХ вибропреобразователя DV-1 сУСО ПИК-V-l, вибропреобразователя DVA-3-3-3 |
7.6.2 |
да |
да |
|
Проверка основной абсолютной погрешности при измерении осевого сдвига |
7.7 | ||
|
Проверка основной абсолютной погрешности канала измерения осевого сдвига |
7.7.1 |
да |
да |
|
Проверка основной абсолютной погрешности датчика совместно с У СО при измерении осевого сдвига |
7.7.2 |
да |
да |
|
Проверка прибора при измерении температуры |
7.8 | ||
|
Проверка основной приведенной погрешности прибора при измерении температуры |
7.8.1 |
да |
да |
|
Проверка основной приведенной погрешности УСО ПИК-Т |
7.8.2 |
да |
да |
Сигнализатор «ПИК-УТ». Методика поверки ИМБР 421 451.008 МП _______Стр. 4
2 СРЕДСТВА ПОВЕРКИ-
2.1 При проведении поверки должны быть выполнены операции и применены средства поверки, указанные в таблице 2.
Таблица 2
|
№ пункта МП |
Наименование средств поверки и их нормативно-технические характеристики |
|
7.1 | |
|
7.2 |
Установка для проверки параметров электрической безопасности GPI-825 Рабочее напряжение до 5000 В, пределы измерений сопротивления изоляции до 2 ГОм, основная погрешность ± 2,5 % |
|
7.3 |
Эталонная вибрационная установка 2-го разряда по МИ 2070-90; магазин сопротивлений Р4831 класс точности 0,02; мультиметр Agilent 34401А полоса частот 3Гц - ЗООкГц, погрешность измерения постоянного напряжения на пределе 1В -0,002% ; мультиметр цифровой GDM-8245 полоса частот 20Гц- ЮОкГц. погрешность измерения постоянного напряжения на пределе 1В - 0,003%. |
|
7.4 | |
|
7.4.1 |
Эталонная вибрационная установка 2-го разряда по МИ 2070-90; мультиметр Agilent 34401А полоса частот ЗГц - ЗООкГц, погрешность измерения постоянного напряжения на пределе 1В - 0,002% ; мультиметр цифровой GDM-8245 полоса частот 20Гц- ЮОкГц, погрешность измерения постоянного напряжения на пределе 1В - 0,003%. |
|
7.4.2 |
Используются средства поверки, указанные в предыдущем пункте |
|
7.5 | |
|
7.5.1 |
Мультиметр Agilent 34401А полоса частот 3Гц - ЗООкГц, погрешность измерения постоянного напряжения на пределе 1В - 0,002% ; мультиметр цифровой GDM-8245 полоса частот 20Гц- ЮОкГц, погрешность измерения постоянного напряжения на пределе 1В - 0,003%; калибратор Fluke-715 погрешность 0,02%. |
|
7.5.2 |
Мультиметр Agilent 34401А полоса частот 3Гц - ЗООкГц, погрешность измерения постоянного напряжения на пределе 1В - 0,002% ; мультиметр цифровой GDM-8245 полоса частот 20Гц - 1 ООкГц, погрешность измерения постоянного напряжения на пределе 1В - 0,003%; калибратор Fluke-715 погрешность 0,02%. |
|
7.6 | |
|
7.6.1 |
Эталонная вибрационная установка 2-го разряда по МИ 2070-90; мультиметр Agilent 34401А полоса частот3Гц- ЗООкГц, погрешность измерения постоянного напряжения на пределе 1В - 0,002%. |
|
7.6.2 |
Эталонная вибрационная установка 2-го разряда по МИ 2070-90; мультиметр Agilent 34401А полоса частот 3Гц - ЗООкГц, погрешность измерения постоянного напряжения на пределе 1В - 0,002% . |
|
7.7 | |
|
7.7.1 |
Приспособление для юстировки ТИК-ЮСТ 01 (02);мультиметр цифровой GDM-8245 полоса частот 20Гц- ЮОкГц, погрешность измерения постоянного напряжения на пределе 1В - 0,003%. |
|
7.7.2 |
Приспособление для юстировки ТИК-ЮСТ 01 (02);мультиметр цифровой GDM-8245 полоса частот 20Гц - ЮОкГц, погрешность измерения постоянного напряжения на пределе 1В - 0,003%; источник напряжения постоянного тока Б5-30/3 диапазон выходного напряжения 0-30 В. |
|
7.8 | |
|
7.8.1 |
Прибор универсальный измерительный Р4833 класс точности 0,02; мультиметр Agilent 34401А полоса частот 3Гц - ЗООкГц, погрешность измерения постоянного напряжения на пределе 1В - 0,002% ; |
|
7.8.2 |
Прибор универсальный измерительный Р4833 класс точности 0,02; мультиметр Agilent 34401А полоса частот 3Гц- ЗООкГц, погрешность измерения постоянного напряжения на пределе 1В - 0,002% ; источник напряжения постоянного тока Б5-30/3 диапазон выходного напряжения 0-30 В. |
Сигнализатор «ПИК-УТ». Методика поверки ИМБР 421 451.008 МП Стр. 5
Примечание:
1 .Возможно применение эталонов и оборудования других типов, имеющих аналогичные основные характеристики.
2. Поэлементную поверку по п.п. 7.6, 7.7.2 и 7.8.2 проводят в случае, если необходима проверка отдельных составляющих канала.
3 ТРЕБОВАНИЯ К КВАЛИФИКАЦИИ ПОВЕРИТЕЛЕЙ-
3.1. К поверке допускаются лица, аттестованные по месту работы в соответствии с правилами ПР 50.2.012-94, прошедшие обучение и имеющие свидетельство и аттестат поверителя.
-
4.1 При проведении поверки должны быть соблюдены следующие требования:
-
* при обслуживании, испытаниях прибора следует соблюдать "Правила технической эксплуатации электроустановок потребителей", утвержденные Г осэнергонадзором;
-
* к работе с прибором, а так же к его техническому обслуживанию и поверке должны допускаться лица не моложе 18 лет, прошедшие инструктаж и обучение безопасным методам труда, проверку знаний правил безопасности труда и пожарной безопасности; имеющие опыт работы;
-
* лица, допущенные к работе, должны проходить ежегодную проверку знаний по технике безопасности;
-
* запрещается работать с незаземленным прибором.
-
5.1 При проведении поверки должны соблюдаться следующие условия: => температура окружающего воздуха 20 ± 5 °C;
=> относительная влажность воздуха от 30 до 80 %;
-=ъ атмосферное давление от 86 до 107 кПа (от 645 до 802 мм рт. ст.);
=> напряжение питания 220 ± 4,4 В;
=> частота напряжения питания 50 + 1 Гц.
6 ПОДГОТОВКА К ПРОВЕДЕНИЮ ПОВЕРКИ-
6.1 Подготовка к поверке приборов, У СО, датчиков и контрольной аппаратуры должна соответствовать требованиям эксплуатационной документации на них.
Стр. Q
7 ПРОВЕДЕНИЕ ПОВЕРКИ-
7.1 Внешний осмотр
При проведении внешнего осмотра должно быть установлено соответствие поверяемых приборов следующим требованиям:
-
♦ приборы должны быть укомплектованы УСО, датчиками, паспортом и методикой
поверки;
-
♦ должны отсутствовать дефекты и повреждения (трещины, разрыв кабеля, вмятины);
-
♦ внутри прибора должны отсутствовать незакрепленные детали;
-
♦ маркировка шкал и табличек должна быть четкой и соответствовать технической документации.
-
7.2 Измерение электрической прочности и сопротивления изоляции
Прибор подготавливают к измерениям согласно таблице 3.
Таблица 3
|
Проверяемые цепи |
Замкнутые контакты |
|
Силовая цепь |
ХТ2(1,2) |
|
Цифровые линии связи |
Контакты разъемов ХР4, ХР 5 (2,3) |
|
Выходные сигнальные цепи устройств |
Контакты разъема ХР6 (1-15) |
Отсчет показаний мегомметра проводят по истечении времени, за которое его показания практически установятся. Измерения производятся согласно технической документации на мегомметр.
Приборы считают выдержавшими испытания, если сопротивление изоляции цепей прибора (при приложении напряжения постоянного тока 500 В) не меньше следующих значений:
-
- силовая цепь относительно корпуса, выходных цепей сигнализации и цифровой линии связи - 40 МОм;
-
- выходные цепи устройств сигнализации и цифровые линии связи относительно корпуса - 20 МОм.
-
- прочность изоляции силовой цепи относительно корпуса, выходных цепей сигнализации и цифровой линии связи проверяют путем подключения к этим цепям испытательного напряжения переменного тока 1500 В в течение одной минуты;
-
- прочность изоляции выходных цепей устройств сигнализации и цифровых линий связи относительно корпуса проверяют путем подключения к этим цепям испытательного напряжения переменного тока 500 В в течение одной минуты;
Приборы считают выдержавшими испытания, если не произошло пробоя или перекрытия изоляции.
-
7.3 Опробование
При опробовании поверяемого прибора необходимо произвести следующие операции:
-
• подключить к прибору УСО и вибропреобразователи из комплекта поставки в соответствии со схемами подключения (см. приложения к РЭ прибора);
-
• при наличии свободных измерительных каналов - соединить входные контакты разъема ХТ1 платы управления блока сигнализации ПИК-VT, неиспользуемых измерительных каналов с контактом заземления 11 или 12 (AGND) разъема ХТ1;
Сигнализатор «ПИК-УТ». Методика поверки ИМБР 421 451.008 МП _______Стр. 7
-
• включив прибор, убедиться, используя кнопку «№ канала», в наличии показаний индикаторов «№ канала» и «Параметры» всех восьми каналов прибора; при этом светодиод «№ канала» должен гореть зеленым светом для каждого подключенного канала;
-
• убедиться, используя кнопки «Уст.1», «Уст.2», что для каждого измерительного канала установлены пороги срабатывания световой индикации и аварийных реле;
-
• убедиться в возможности программирования уставок и времени задержки срабатывания аварийных реле (см. РЭ п. 10 «Настройка прибора»);
•для проверки работоспособности каналов контроля виброскорости необходимо поочередно установить датчики каналов измерения виброскорости на эталонную вибрационную установку; включив установку (79,6 Гц), плавно повышать уровень вибрации, до тех пор пока показания индикатора «Параметры» проверяемого канала не достигнут верхней границы диапазона измерений (25 мм/с, с помощью вольтметра (амперметра, подключенного к контактам 1...8 (в соответствии с номером поверяемого канала) разъема ХТ2) убедиться в наличии и изменении нормированного выхода прибора по напряжению (току) от 0 до 5 В (от 4 до 20 мА или от 1 до 5 мА), параллельно необходимо убедиться в срабатывании световой индикации (светодиод «№ канала» должен светиться зеленым светом при уровне входного сигнала не превышающим уровни Уст.1 и Уст.2; желтым - после превышения уровня Уст.1 и красным - после превышения уровня Уст.2), что является критерием исправности канала прибора, УСО и вибропреобразо вателя;
-
• опробование каналов измерения осевого сдвига производится с помощью юстировочного приспособления. Вихретоковый преобразователь закрепить на юстировочном приспособлении, по микрометру юстировочного приспособления выставляем значения зазора от 0,25 до 2,75 мм для DS-1 (от 0,5 до 5,5 мм - для DS-2) и контролируем эти значения по показаниям индикатора. Одновременно аналогично предыдущему пункту контролируем аналоговые выходы и срабатывание световых индикаторов.
-
• опробование каналов измерения температуры (преобразователи термосопротивления) производится без подключения датчиков температуры изменением величины сопротивления подключенного к УСО магазина сопротивлений в диапазоне 40 ... 100 Ом или 80 ... 200 Ом в зависимости от используемого типа температурного датчика; повышая величину сопротивления до тех пор, пока показания индикатора «Параметры» проверяемого канала не достигнут верхней границы диапазона измерений (200°С, с помощью вольтметра (амперметра, подключенного к контактам 1...8 (в соответствии с номером поверяемого канала) разъема ХТ2) убедиться в наличии и изменении нормированного выхода прибора по напряжению (току) от 0 до 5 В (от 4 до 20 мА или от 1 до 5 мА), убедиться в срабатывании световой индикации (светодиод «№ канала» должен светиться зеленым светом при уровне входного сигнала не превышающим уровни Уст.1 и Уст.2; желтым - после превышения уровня Уст.1 и красным -после превышения уровня Уст.2), что является критерием исправности канала прибора, УСО;
-
• на двух из измеряемых каналов (из группы каналов 1...4 и 5...8) проверить срабатывание предупредительных и аварийных реле (разъем ХТ4, см. п.п. 5.6, 5.7 РЭ), предварительно: сбросить текущее положение реле, нажав кнопку «Сброс» прибора;
-
• (см. предыдущие пункты данного раздела методики поверки) на любом из измеряемых каналов (относится только к каналам измерения СКЗ виброскорости) добиться срабатывания аварийного реле (см. предыдущие пункты данного раздела методики поверки) и, выключив и снова включив прибор, убедиться в наличии первоначальной задержки на срабатывание реле (время срабатывания реле должно состоять из суммы: первоначальная задержка (установленная для данного прибора), сек + установленное время задержки для данного реле, сек);
-
• проверку связи прибора с внешними объектами по интерфейсу RS-485 (протоколу обмена Modbus) проводить в следующей последовательности:
-
- подключить прибор через разъем ХТЗ к ПК с установленным программным обеспечением ModScan32;
-
- переключить прибор в режим корректировки параметров (см. п. 10.6 РЭ);
Сигнализатор «ПИК-VT». Методика поверки ИМБР 421 451.008 МП _______Стр. 8
-
- проверить корректировку номера (адреса) прибора по протоколу обмена Modbus (см. п.
-
10.7 РЭ) и скорость обмена по протоколу обмена Modbus (см. п. 10.8 РЭ);
-
- в соответствии с п.п. 10.9... 10.16 РЭ проверить корректировку остальных параметров;
-
- перевести прибор в рабочий режим (кнопка «Сброс»);
-
- запустить программное обеспечение ModScan32;
-
- в верхней строке (панели инструментов) выбирается меню «Setup» —» команда «Data Definition»;
-
- в появившемся окне установить:
Scan Rate - 1000 msecs;
Slave Address - 1;
Point Type - 04 input register;
Point Address - 50;
Length - 8;
-
- свернуть окно (кнопка Ок);
-
- запустить процесс обмена данными (в верхней строке (панели инструментов) выбирается меню «Connect» —> команда «Connect»);
-
- в появившемся окне установить:
Connect Using: ... (указать соответствующий СОМ-порт - номер COM-порта можно посмотреть в «Диспетчере устройств»);
Baud Rate: 9600;
Word Length: 8;
Parity: NONE;
Stop Bits: 1;
-
- свернуть окно (кнопка Ок);
-
- считать контрольную сумму ПО записанного в блок сигнализации ПИК-VT (регистр 548 см. приложение М РЭ). Сравнить ее с контрольной суммой указанной на наклейке, расположенной на внутренней стороне крышки прибора.
-
- считать номер версии ПО (регистр 549 см. приложение М РЭ) сравнить с версией указанной на внутренней стороне крышки прибора;
-
- проверить отображение в регистрах информации передаваемой с прибора (см. приложение М РЭ);
-
- для сброса на 0 нажать на «Reset Ctrs»;
-
- для завершения процедуры передачи информации выбрать в верхней строке (панели инструментов) меню «Connect» —> команда «Disconnect».
На этом проверка правильности функционирования прибора (опробование) закончена.
7.4. Проверка канала измерения вибрации прибора.
Допускается производить проверку канала измерения СКЗ виброскорости как в целом, так и поэлементно: отдельно блока сигнализации ПИК-VT и отдельно вибропреобразователя.
-
7.4.1. Проверка основной абсолютной погрешности канала измерения СКЗ виброскорости в целом при использовании вибропреобразователя DV-1, вибропреобразователя DVA-3-3-3.
Проверку основной абсолютной погрешности измерения СКЗ виброскорости проводят для канала в целом: блок сигнализации ПИК-VT и вибро преобразователь DV-1 с платой У СО ПИК-V-l или однокоординатный вибропреобразователь DVA-3-3-3 .
Определение погрешности проводят по индикатору и нормированным выходам по току и напряжению с использованием эталонной вибрационной установки.
Сигнализатор «ПИК-УТ». Методика поверки ИМБР 421 451.008 МП ______ Стр. 9
К нормированным выходам (контакты 1...8, 10 разъема XS3 сигнализатора) подключить мультиметр Agilent 34401А при измерении напряжения и мультиметр цифровой GDM-8245 (в режиме амперметра) при измерении тока.
Измерения проводить следующим образом:
определить показания прибора (уровень шума ¥ш (СКЗ)) при действительном значении вибрации V = 0,0 мм/с;
Уровень шума не должен превышать:
VUI < 0,3 мм/с по показаниям индикации;
иш < 0,060 В по нормированному выходу 0 В 5 В;
1ш < 0,05 мА по нормированному выходу 1 мА - 5 мА; 1Ш < 0,20 мА по нормированному выходу 4 мА - 20 мА;
- установить вибропреобразователь на вибрационной установке;
на вибрационной установке задать колебания с частотой 79,6 Гц и СКЗ виброскорости от 1 до 25 мм/с (Рекомендованные значения СКЗ виброскорости: 1,5, 10, 15, 20, 25 мм/с); фиксировать показания прибора в окне индикатора «Параметры» блока измерения и сигнализации ПИК-VT;
фиксировать показания вольтметров. Снятые показания занести в протокол, форма протокола приведена в приложении.
-
7.4.1.1 Основную абсолютную погрешность по показаниям индикатора «Параметры» блока сигнализации ПИК-VT определяют по формуле:
A=V3m-VUMi, (1)
где:
Бэт - уровень СКЗ виброскорости, заданный на эталонной виброустановке, мм/с;
Кеи - показания индикатора «Параметры», мм/с.
Полученные значения погрешности не должны превышать zW =± (0,3 + 0,05 V),
где:
V- действительное значение СКЗ виброскорости, мм/с;
-
7.4.1.2 Основную абсолютную погрешность по нормированным выходам определяют по формулам:
- для выходов по току: (1 5) мА; (4 20) мА
-«)-». (2)
где
Га -- диапазон измерения СКЗ виброскорости, Vd = 24 мм/с;
Io - диапазон измерения унифицированного сигнала (Ц = 3,84 мА - для выхода 1 мА 5 мА; Б = 15,36 мА - для выхода 4 мА -г 20 мА), мА;
Л - значение тока на выходе прибора при z-ом измерении, м А;
1о - значение тока на выходе прибора при отсутствии входного сигнала (/о = 1 мА - для выхода 1 мА + 5 мА; 1$ = 4 мА - для выхода 4 мА 20 мА), мА;
V3m - значение вибороскорости, задаваемое на вибрационной установке,
- для выхода по напряжению (0 5) В
О)
где
Сигнализатор «ПИК-УТ». Методика поверки ИМБР 421 451.008 МП _______Стр. 10 Vt) - диапазон измерения СКЗ виброскорости, Va = 24 мм/с;
Ud - диапазон измерения унифицированного сигнала, Ua = 4,8 В; U, - значение напряжения на выходе прибора при /-ом измерении, В; Иэт - значение вибороскорости, задаваемое на вибрационной установке, мм/с.
Полученные значения погрешности не должны превышать:
Zlzzp =± (0,3 + 0,05 V),
где:
V- действительное значение СКЗ виброскорости, мм/с;
-
7.4.2. Определение неравномерности амплитудно-частотной характеристики (АЧХ) канала измерения СКЗ виброскорости (включающего блок сигнализации ПИК-VT, У СО ПИК-V-l с датчиком: вибрации DV-1, или однокоординатный датчик DVA-3-3-3 .
Неравномерность А ЧХ достаточно проверять по индикации прибора.
Неравномерность АЧХ канала измерения СКЗ виброскорости определять следующим образом:
- установить вибропреобразователь на вибрационной установке;
на вибрационной установке последовательно, начиная с нижней частоты, согласно таблице 3, задать колебания с уровнем СКЗ виброскорости 10 мм/с (при существующих ограничениях, установленных для используемой вибрационной установки, допускается задавать меньший уровень СКЗ виброскорости)',
контролировать показания индикатора «Параметры» поверяемого канала и занести показания в протокол в соответствие с таблицами 3;
неравномерность АЧХ (Y) определяют по формуле:
Г - ((V, V,,, j V,i:>lOO. (%) (4)
где
К- показания индикатора на Сой частоте, мм/с;
Сбаз - значение виброскорости на базовой частоте 79,6 Гц.
Полученные значения не должны превышать значений Г (%), указанных в таблице 3, составленной для диапазона (10 - 1000) Гц; в таблице 3.1, составленной для диапазона (5 -1000) Гц; и в таблице 3.2, составленной для диапазона (2 - 1000) Гц.
Таблица 3
|
/•', Гц |
5 |
10 |
20 |
40 |
79,6 |
160 |
320 |
640 |
1000 |
2000 |
|
Г,% |
-80%, -90% |
±10% |
±10% |
±10% |
базовое значение |
± 10% |
± 10% |
±10% |
+10 -20% |
-80%, -90% |
Таблица 3.1
|
F, Гц |
2,5 |
5 |
10 |
20 |
40 |
79,6 |
160 |
320 |
640 |
1000 |
2000 |
|
Г, % |
-80%, -90% |
+10 -20% |
+10% |
±10% |
+10% |
базовое значение |
± 10% |
± 10% |
±10% |
+10 -20% |
-80%, -90% |
Таблица 3.2
|
F, Гц |
2,0 |
5 |
10 |
20 |
40 |
79,6 |
160 |
320 |
640 |
1000 |
2000 |
|
Г,% |
+10 -20% |
+10 -20% |
±10% |
±10% |
±10% |
базовое значение |
± 10% |
+ 10% |
±10% |
+10 -20% |
-80%, -90% |
Сигнализатор «ПИК-УТ». Методика поверки ИМБР 421 451.008 МП Стр. 11
7.5 Проверка основной приведенной погрешности блока сигнализации ПИК-VT.
-
7.5.1 Определение основной приведенной погрешности измерительных каналов блока сигнализации ПИК-VT.
Основную приведенную погрешность определять:
по показаниям индикатора;
по нормированному выходу прибора по напряжению (току) (0 - 5) В, (4 - 20) мА или (1 - 5) мА.
Заземлить корпус блока сигнализации ПИК-VT. Соединить вместе аналоговые входы (каналы с 1 по 8) на разъёме ХТ1. Подключить «+» калибратора к общей точке каналов и «-» калибратора к контакту заземления 11 или 12 (AGND) на разъёме XTL Переключить прибор в режим корректировки параметров и настроить все каналы прибора на режим измерения вибрации (см. п.п. 10.6, 10.10 РЭ) (см. п. 10.6 РЭ).
К контактам (N, L, «земля») разъёма ХТ5 подключить напряжение питания ~ 220В или =24(~36В) (питание смотреть по исполнению прибора).
Подключить блок сигнализации ПИК-VT (разъём ХТЗ) к ПК с установленным программным обеспечением ModScan32 с помощью преобразователя USB/RS-485 (А-А, В-В, GND-O). Проверку связи прибора с внешними объектами по интерфейсу RS-485 (протоколу обмена Modbus) проводить в следующей последовательности:
-
- проверить корректировку номера (адреса) прибора по протоколу обмена Modbus (см. п.
-
10.7 РЭ) и скорость обмена по протоколу обмена Modbus (см. п. 10.8 РЭ);
-
- в соответствии с п.п. 10.9... 10.16 РЭ проверить корректировку остальных параметров;
-
- перевести прибор в рабочий режим (кнопка «Сброс»);
-
- запустить программное обеспечение ModScan32;
-
- в верхней строке (панели инструментов) выбирается меню «Setup» —» команда «Data Definition»;
-
- в появившемся окне установить:
Scan Rate - 1000 msecs;
Slave Address - 1;
Point Type - 04 input register;
Point Address - 50; Length - 8;
-
- свернуть окно (кнопка Ок);
-
- запустить процесс обмена данными (в верхней строке (панели инструментов) выбирается меню «Connect» —* команда «Connect»);
-
- в появившемся окне установить:
Connect Using: ... (указать соответствующий СОМ-порт - номер
COM-порта можно посмотреть в «Диспетчере устройств»);
Baud Rate: 9600;
Word Length: 8;
Parity: NONE;
Stop Bits: 1;
-
- свернуть окно (кнопка Ок);
-
- проверить отображение в регистрах информации передаваемой с прибора (см. приложение 8 РЭ);
-
- для сброса на 0 нажать на «Reset Ctrs»;
- для завершения процедуры передачи информации выбрать в верхней строке (панели инструментов) меню «Connect» —* команда «Disconnect».
Задаём с калибратора значения входного напряжения. Рекомендованные действительные значения входного напряжения: 0.1, 0.25, 0.5, 1.0, 1.5, 2.0, 2.5 В, соответствующие значениям индикации (При определении основной приведенной погрешности измерительных каналов
Сигнализатор «ПИК-УТ». Методика поверки ИМБР 421 451.008 МП ______ОтВН!2 запятую на экране индикатора не учитывать); 10, 25, 50, 100, 150, 200, 250 мм/с (°C). Показания на ПК и на блоке сигнализации ПИК-VT индикатора «Параметры» в каждом действительном значении входного напряжения записываем в протокол. Полученные значения погрешности не должны превышать ± 0,5 %. Переключение каналов осуществляется кнопкой «№ канала» на блоке сигнализации ПИК-VT.
Подключить к нормированному выходу прибора по напряжению (току) (контакты 1...8 разъема ХТ2 сигнализатора).
-
- нормированный выход по напряжению (0 - 5) В - мультиметр GDM-8245;
-
- нормированный выход по току (1-5) мА, (4 - 20) мА - мультиметр Agilent 34401А и катушку электрического сопротивления Р331 (100 Ом).
-
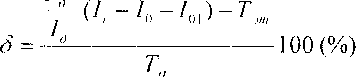
7.5.2 Основная приведенная погрешность измерительных каналов температуры блока сигнализации ПИК-VT по показаниям индикатора в процентах равна:
8пр = ± (KUd - И)/(Кид) -100 % (5)
где:
К - коэффициент пропорциональности, К = 100 мм/с(°С)/В;
Ua - диапазон напряжения, подаваемое на вход сигнализатора, В;
И - показания индикации, мм/с (°C).
Полученные значения погрешности не должны превышать ± 0,5 %.
-
7.5.2.1 Основную приведенную погрешность измерительных каналов температуры блока сигнализации ПИК-VT по нормированному выходу прибора по напряжению (току) определять по формуле:
-
- для выходов по току: 1 5 мА; 4 20 мА
§ = 2т----1 оо (%) (6)
где
Ud - диапазон измерения входного напряжения, Ud = 2,5 В;
Io - диапазон измерения унифицированного сигнала (1д = 4 мА - для выхода 1 мА + 5 мА; 4 =16 мА - для выхода 4 мА 20 мА) мА;
I, - значение тока на выходе прибора при z-ом измерении, мА;
10 - значение тока на выходе прибора при отсутствии входного сигнала (Io ~ 1 мА - для выхода 1 мА -ь 5 мА; /о =4 мА - для выхода 4 мА 20 мА) мА;
U3m - контрольное значение входного напряжения, В.
- для выхода по напряжению 0 5 В
и 'зт
£ = —--100(%) (7)
2)га-
где
Udex~ диапазон измерения входного напряжения, Udex = 2,5 В;
Ц - i-e значение нормированного сигнала по напряжению, определяемое на выходе прибора, В;
Ud - диапазон измерения унифицированного сигнала, Ua = 5 В;
иэт - контрольное значение входного напряжения, В.
Сигнализатор «ПИК-УТ». Методика поверки ИМБР 421 451.008 МП _____Стр. 13 Полученные значения основной приведенной погрешности блока сигнализации ПИК-VT не должна превышать значение 0,5%.
7.6 Определение основной абсолютной погрешности и неравномерности АЧХ вибропреобразователя DV-1 в комплекте с УСО ПИК-V-l или однокоординатного вибропреобразователя DVA-3-3-3.
Поверку вибропреобразователей проводить с использованием эталонной вибрационной установки.
-
7.6.1 Основную абсолютную погрешность вибропреобразователя DV-1 в комплекте с УСО ПИК-V-l или однокоординатного вибропреобразователя DVA-3-3-3 определять следующим образом:
-
- для DV-1 в комплекте с УСО ПИК-V-l: подключить к контактам 1, 2, 4 (+ U, - U, ±, разъема ХТ2 платы УСО) источник двуполярного питания (+3,34 В (±0,1 В), -1,27 В (±0,1 В), ±), выходной сигнал снимать на выходе УСО ПИК-V-l (контакты 3, 4 (Ивых, ±) , разъема ХТ2 платы УСО).
-
- для однокоординатного вибропреобразователя DVA-3-3-3: питание +3,ЗВ подключить к контакту 1 разъема датчика относительно общего контакта 4 разъема, выходной сигнал снимать с контакта 3 разъема датчика относительно общего контакта 4.
-
- определить выходное значение напряжения на выходе УСО (уровень шума UIU (СКЗ)) при контрольном значении вибрации V = 0,0 мм/с, уровень шума (СКЗ) не должен превышать: UU) < 0,03 В;
-
- установить датчик вибрации на вибрационной установке;
на вибрационной установке задать колебания с частотой 79,6 Гц и СКЗ виброскорости от 1 до 25 мм/с (Рекомендованные контрольные значения СКЗ виброскорости: 1, 5, 10, 15, 20, 25 мм/с);
Снятые показания занести в протокол, форма протокола приведена в приложении.
Основную абсолютную погрешность вибропреобразователя определять по формуле:
(8)
где
Vd - диапазон измерения СКЗ виброскорости, И) = 24 мм/с;
- диапазон измерения выходного напряжения, Ua = 2,4 В;
и, - значение напряжения на выходе при z-ом измерении, В;
Уэт - значение вибороскорости, задаваемое на вибрационной установке, мм/с.
Полученные значения погрешности не должны превышать:
для DV-1, DVA-3-3-3 ЛПР =± (0,3 + 0,04V),
где:
V- действительное значение СКЗ виброскорости, мм/с;
-
7.6.2 Неравномерность АЧХ вибропреобразователя DV-1 в комплекте с УСО ПИК-V-l или однокоординатного вибропреобразователя DVA-3-3-3 определять следующим образом:
-
- установить вибропреобразователь на вибрационной установке;
на вибрационной установке последовательно, начиная с нижней частоты, согласно таблицам 5, задать колебания с уровнем СКЗ виброскорости 10 мм/с (при существующих ограничениях, установленных для. используемой вибрационной установки, допускается задавать меньший уровень СКЗ виброскорости)-.
Сигнализатор «ПИК-VT». Методика поверки ИМБР 421 451.008 МП Стр. 14 показания выходного сигнала заносить в протокол приложения в соответствие с таблицами 5;
неравномерность АЧХ Г (%) определять по формуле:
У=(^Ц-^„)Ю0.(%) (9)
c/f)
где:
Va - диапазон измерения СКЗ виброскорости, Vo - 24 мм/с;
Uo - диапазон измерения выходного напряжения, С1д = 2.4 В;
U, - значение напряжения на выходе датчика на контрольных частотах, В;
Рваз ~ значение виброскорости на базовой частоте 79,6 Гц.
Вибропреобразователь DV-1 в комплекте с У СО ПИК-V-l или однокоординатный вибропреобразователь DVA-3-3-3 соответствует метрологическим характеристикам, если полученные значения не превышают значений Г (%), указанных в таблице 5, составленной для диапазона (10 - 1000) Гц; в таблице 5.1, составленной для диапазона (5 -1000) Гц; и в таблице 5.2, составленной для диапазона (2 - 1000) Гц.
Таблица 5
|
F, Гц |
5 |
10 |
20 |
40 |
79,6 |
160 |
320 |
640 |
1000 |
2000 |
|
X, % |
-80% -90% |
±10% |
±10% |
±10% |
базовое значение |
+ 10% |
± 10% |
±10% |
+10 -20% |
-80% -90% |
Таблица 5.1
|
F. Гц |
!===SX55SS====== 2.5 |
5 |
10 |
20 |
40 |
79,6 |
160 |
320 |
640 |
1000 |
~2000 |
|
Х,% |
-80% |
+10 |
±10% |
±10% |
±10% |
базовое |
± 10% |
± 10% |
±10% |
+10 |
-80% |
|
-90% |
-20% |
значение |
-20% |
-90% |
Таблица 5.2
|
F, Гц |
2 |
5 |
10 |
20 |
40 |
79,6 |
160 |
320 |
640 |
1000 |
2000 |
|
х,% |
+10 -20% |
+10 -20% |
±10% |
±10% |
±10% |
базовое значение |
±10% |
± 10% |
±10% |
+10 -20% |
-80% -90% |
-
7.7 Проверка основной абсолютной погрешности измерения осевого сдвига
Допускается поверку канала измерения осевого сдвига проводить либо в целом в составе блока сигнализации ПИК-VT совместно с УСО MS-1, или отдельно блока сигнализации ПИК-VT и отдельно УСО MS-1.
-
7.7.1 Проверку основной абсолютной погрешности канала измерения осевого сдвига прибора (датчик DS-1 или DS-2, УСО MS-1, блока сигнализации ПИК-VT) производят с использованием приспособления с микрометрическим винтом. Датчики подключить к УСО MS-1 и установить в приспособление с микрометрическим винтом, затем УСО MS-1 подключить согласно схемы подключения, приведенной в РЭ, к блоку сигнализации ПИК-VT.
Микрометрическим винтом установить зазоры между датчиком и образцом материала от 0,25мм до 2,75мм для датчика DS-1 (от 0,25мм до 5,5мм для датчика DS-2) равномерно по диапазону не менее чем в десяти точках и при каждом зазоре определить выходные напряжения.
Сигнализатор «ПИК-УТ». Методика поверки ИМБР 421 451.008 МП _______Стр. 15 Снятые показания занести в протокол, форма протокола приведена в приложении.
Определение основной абсолютной погрешности каналов в зависимости от вида выходного сигнала производится по формулам:
-
* для выходов сигнализации: A s = Sy - S, (10)
где:
Sy - значение контрольной уставки (мм).
Sj - значение текущего зазора при котором произошло включение сигнализации (мм).
-
* для выхода индикации: A s = S„ - S, (II)
где:
Sj, - значение показаний индикатора Sj - значение текущего зазора
* для выхода регистрации:
Ди = K-(S -So) - U, для выхода (0-5 В) (12)
Аа^ Kl-(S-So) - (1вых-10), для выхода (4-20мА) (13)
где: S - значение зазора между датчиком и образцом материала, мм;
So - значение зазора, соответствующее началу измерительного диапазона, К - коэффициент пропорциональности, К = 2,5 В/мм;
К1 - коэффициент пропорциональности, К1 — 8 мА/мм;
U - напряжение на аналоговом выходе прибора, В; 1Вых “ ток на аналоговом выходе прибора, мА;
1о~ ток соответствующий началу измерительного диапазона, 1о = 4 мА.
Полученные значения основной абсолютной погрешности по выходам сигнализации, индикации и регистрации не должны превышать ± 0,05 мм для датчика DS-1 и ±0,125 мм для датчика DS-2.
-
7.7.2 Основная абсолютная погрешность устройства сопряжения УСО MS-1 определяется совместно с датчиком DS-1 или DS-2, с которым УСО будет эксплуатироваться на объекте, на образце материла, предоставленном заказчиком и соответствующем по составу и термообработке материалу рабочего объекта.
Датчики DS-1 или DS-2 и источник двухполярного питания плюс 4,0 (3,34) В минус 2,5 (1,27) В подключить к УСО MS-1 согласно технической документации на прибор. Датчики установить в приспособление с микрометрическим винтом, микрометрический винт приспособления установить на 0 и датчик вплотную подвести к образцу материала. К выходу УСО подключить цифровой вольтметр.
Микрометрическим винтом установить зазоры между датчиком и образцом материала от 0,25мм до 2,75 мм для датчиков DS-1 (от 0,5мм до5,5 мм для датчиков DS-2) и при каждом зазоре определить выходное напряжение.
Снятые показания занести в протокол, форма протокола приведена в приложении.
Основную абсолютную погрешность УСО MS-1 определить по формуле:
A = S-K-U,
(14)
Стр. 16
где: S - значение зазора между датчиком и образцом материала, мм, К - коэффициент пропорциональности, К = I мм/В для датчиков DS-1, К = 0,464 мм/В для датчиков DS-2.
U - напряжение на выходе УСО (В).
Полученные значения основной абсолютной погрешности не должны превышать 0,05 мм датчиков DS-1 (0,125 мм для датчиков DS-2).
-
7.8 Проверка канала измерения температуры.
Допускается поверку канала измерения температуры проводить либо в целом в составе блока сигнализации ПИК-VT совместно с УСО ПИК-Т, или отдельно блока сигнализации ПИК-VT и отдельно УСО ПИК-Т.
Перед проверкой блок сигнализации ПИК-VT должен быть установлен на прогрев во включенном состоянии на время не менее 1 часа. Основную погрешность определяют не менее чем в пяти точках диапазона измерения, интервал между которыми не должен превышать 30% (включая верхнее и нижнее значения).
Основная погрешность определяется по:
показаниям индикатора; нормированным выходам: (0 - 5) В, (4 - 20) мА или (1 - 5) мА.
-
7.8.1 Определение основной приведенной погрешности канала измерения температуры прибора.
Определение основной приведенной погрешности проводят для блока сигнализации ПИК-VT и УСО ПИК-Т без подключения датчиков температуры по индикатору и нормированным выходам по току и напряжению.
К входным контактам разъема ХТ1 УСО ПИК-Т подключить магазин сопротивлений Р4833. К нормированным выходам (контакты 1...8, 10 разъема XS3 сигнализатора) подключить мультиметр Agilent 34401 А.
Пользуясь таблицами ГОСТ 6651 в зависимости от типа используемого температурного датчика определить сопротивления, соответствующие контрольным значениям температуры. Рекомендованные контрольные значения температуры: -40, 0, 50, 100, 150, 200 °C. Снятые показания занести в протокол, форма протокола приведена в приложении.
-
7.8.1.1 Основную приведенную погрешность по показаниям индикатора определяют по формуле:


(15)
где:
Т- заданное значение температуры, °C;
Г/ - показания индикатора, °C;
Тд = 240 °C.
Полученные значения погрешности не должны превышать ± 1 %.
7.8.1.2. Основную приведенную погрешность по нормированным выходам определяют по формулам:
Стр. 17
для выходов по току 1 мА 5 мА; 4 мА + 20 мА Т

(16)
Тд - диапазон измерения температуры, Т() = 240 °C;
1(> - диапазон измерения унифицированного сигнала (р ~ 3,84 мА - для выхода 1 мА 5 мА; Б - 15,36 мА - для выхода 4 мА 20 мА) мА;
I, - значение тока на выходе прибора при z'-ом измерении, мА;
1о - значение тока на выходе прибора соответствующее нижней границе измерительного диапазона Jo = 1,16 мА - для выхода 1 мА -г 5 мА; Б = 4,64 мА - для выхода 4 мА + 20 мА) мА (7> -40 °C);
Ju - значение тока на выходе прибора соответствующее смещению начала измерительного диапазона относительно нуля Joi ~ 0,64 мА - для выхода 1 мА 5 мА; lot = 2,56 мА - для выхода 4 мА 20 мА) мА (То= -40 °C)
7) - контрольное значение температуры, °C;
для выхода по напряжению 0 В 5 В
Т
‘ д
100 (%)
где
То - диапазон измерения температуры, То - 240 °C,
Ui - i-e значение нормированного сигнала по напряжению, определяемое на выходе прибора. В;
Uo - диапазон измерения нормированного сигнала, Ud = 4,8 В;
Uq - значение напряжения на выходе прибора соответствующее смещению начала измерительного диапазона относительно нуля, Uq = 0,8 В (Т = -40 °C);
M)i - значение напряжения на выходе прибора соответствующее началу измерительного диапазона, Uq ~ 0,2 В (Т = -40 °C);
Г,действительное значение температуры, °C.
Полученные значения погрешности не должны превышать ± 1 %.
Снятые показания занести в протокол, форма протокола приведена в приложении.
-
7.8.2 Определение основной приведенной погрешности У СО ПИК-Т (производится без подключения датчиков температуры).
Для определения основной приведенной погрешности УСО ПИК-Т подключить к контактам 1,2, 4 (+U, -U, ± разъема ХТ2 платы УСО) источник двухполярного питания (+ 3,34 В (± 0,1 В), - 1,27 В (± 0,1 В), ±), к входу УСО ПИК-Т (разъем ХТ1, см. схемы подключения, РЭ) подключить магазин сопротивлений Р4831, а к контактам 3, 4 (Пвых, ± разъема ХТ2 платы УСО) - мультиметр Agilent34401A. Для задания сопротивлений, соответствующих контрольным значениям температур, должны быть использованы таблицы ГОСТ 6651 в зависимости от типа используемого температурного датчика. Рекомендованные контрольные значения температуры: -40, 0, 50,100,150,200 °C.
Снятые показания занести в протокол, форма протокола приведена в приложении.
Стр. 18
Основную приведенную погрешность УСО ПИК-Т определять по формуле:
----------------Ю0(%) (IS)
■* <>
где:
Т„„ - заданное значение температуры, °C;
U(i - диапазон выходного напряжения УСО, Ua= 2,4 В;
U\ - i-e значение измеренного напряжения на выходе УСО, В;
Со - значение напряжения на выходе УСО соответствующее смещению начала измерительного диапазона относительно нуля, Со = 0,4 В (Т = -40 °C);
С01 - значение напряжения на выходе УСО соответствующее началу измерительного диапазона, Со = 0,1 В (Т = -40 °C);
Тд - диапазон измерения температуры, П = 240 °C.
Полученные значения погрешности не должны превышать ± 0,5 %.
5. ОФОРМЛЕНИЕ РЕЗУЛЬТАТОВ ПОВЕРКИ.
-
5.1 При положительных результатах поверки оформляется свидетельство о поверке согласно ПР 50.2.006 и делается отметка в паспорте.
-
5.2 Результаты поверки заносятся в протоколы поверки, формы протоколов приведены в приложениях настоящей методики.
-
5.3 При отрицательных результатах свидетельство о поверке не выдается, а свидетельство о предыдущей поверке (при периодической поверке) аннулируется.
Сигнализатор «ПИК-VT». Методика поверки ИМБР 421 451,008 МП _______Стр. 19
Приложение АПРОТОКОЛ №___ Лист__
поверки сигнализатора ПИК-VT Листов
Условия поверки:
окружающая температура:___°C, влажность воздуха:___%, атмосферное давление:_____кПа
Средства поверки:
|
Наименование |
Тип прибора |
Заводской номер |
Дата последней поверки |
Дата очередной поверки |
|
Установка для проверки параметров эл. безопасности |
GPI-825 | |||
|
Поверочная виброустановка |
2-го разряда | |||
|
Мультиметр цифровой |
Agilent 34401А | |||
|
Мультиметр цифровой |
GDM-8245 | |||
|
Калибратор |
Fluke-715 | |||
|
Магазин сопротивления |
Р4831 |
Состав прибора,:
Блок сигнализации ПИК-VT №___ Год выпуска___________
УСО ПИК-VT №______, УСО ПИК-Т №____, У СО ПИК-V-1 №
Вибропреобразователи___в комплекте УСО______
№№ ______~_____________
Датчики температуры___________в комплекте УСО
№№> ____________________
Нормативный документ по поверке: методика поверки ИМБР 421451.008 МП
Внешний осмотр:____________________
(годен, негоден)
Измерение электрического сопротивления изоляции:
Силовая цепь относительно корпуса и выходных цепей сигнализации:
_________(>40 МОм).
Цепи устройств сигнализации относительно корпуса:__(>20 МОм).
Испытания изоляции на электрическую прочность:
Силовая цепь относительно корпуса, выходных цепей сигнализации и входной цепи: ___________ (1500 В).
Цепи устройств сигнализации относительно корпуса и входной цепи:
_____________(500 В).
Опробование:__________________________
(годен, негоден)
По результатам проведенной поверки прибор ПИК-VT №____________ соответствует/ не
соответствует требованиям технических условий.
(расшифровки)
Стр. 20
Лист
Определение основной абсолютной погрешности каналов измерения СКЗ виброскорости (совместно с УСО ПИК-У-1 (УТ) Ле и датчиками ):
|
Номер |
Вид |
Действительные значения виброскорости, мм/с |
Ед. измер. | |||||||
|
канала, |
выходного |
V„, |
1 |
2 |
5 |
10 |
15 |
20 |
25 | |
|
датчика |
сигнала |
Измеренные значения выходных сигналов: | ||||||||
|
1 _ |
индикация |
мм/с | ||||||||
|
ЭВМ | ||||||||||
|
I и 1ВЫХ*' '-'вых |
мА, В | |||||||||
|
2 КГо |
индикация |
мм/с | ||||||||
|
ЭВМ | ||||||||||
|
^вых» ^вых |
мА, В | |||||||||
|
3 No |
индикация |
мм/с | ||||||||
|
ЭВМ | ||||||||||
|
'вЫХ ? U вых |
мА, В | |||||||||
|
4 № |
индикация |
мм/с | ||||||||
|
ЭВМ | ||||||||||
|
'вЫХ 5 Ugbfx |
мА, В | |||||||||
|
5 No |
индикация |
мм/с | ||||||||
|
ЭВМ | ||||||||||
|
■'•ВЫХ 7 ^ВЫХ |
мА, В | |||||||||
|
6 |
индикация |
мм/с | ||||||||
|
ЭВМ | ||||||||||
|
^ВЫХ ? ^ЙЫХ |
мА, В | |||||||||
|
7 N*o |
индикация |
мм/с | ||||||||
|
ЭВМ | ||||||||||
|
'вых 5 Ubmx |
мА, В | |||||||||
|
8 No |
индикация |
мм/с | ||||||||
|
ЭВМ | ||||||||||
|
I и |
мА, В | |||||||||
|
Номинальные значения контроли] |
эуемого параметра: | |||||||||
|
индикация, ЭВМ |
<0,3 |
1,0 |
2,0 |
S.0 |
10,0 |
15,0 |
20,0 |
25,0 |
мм/с | |
|
и ВЫХ |
<0,06 |
0,20 |
0,4 |
1,00 |
2,00 |
3,00 |
4,00 |
5,00 |
В | |
|
кых |
<0,20 |
4,64 |
5,28 |
7,20 |
10,40 |
13,60 |
16,80 |
20,00 |
мА | |
Определение неравномерности А ЧХ каналов измерения СКЗ виброскорости. Контролируемый уровень: У=10 мм/с (5мм/с на частотах 640-1000 Гц):
|
№ канала, в/пр-ля |
Измеренные значения виброскорости по частотам |
Ед. измер. | ||||||||||
|
5 |
10 |
20 |
40 |
79,6 |
160 |
320 |
640 |
1000 |
2000 |
Гц | ||
|
1, |
I | |||||||||||
|
2, | ||||||||||||
|
3, | ||||||||||||
|
4, |
В | |||||||||||
|
5, | ||||||||||||
|
6, | ||||||||||||
|
7, | ||||||||||||
|
8, | ||||||||||||
|
Г раницы |
-80, |
+ 10, |
+ 10 |
базовое |
± 10 |
+ 10, |
-80, |
% | ||||
|
допуска: |
-90 |
-20 |
значение |
-20 |
-90 | |||||||
Стр. 21
Лист_________
Проверка основной приведенной погрешности блока сигнализации:
Определение основной приведенной погрешности показаний индикатора, показаний ЭВМ (по интерфейсу) и основной приведенной погрешности аналоговых выходов измерительных каналов блока измерения и сигнализации ПИК-VT№__________________(прибор запрограммирован
на измерение виброскорости), версия ПО: , исполнение: _________
|
Номер канала |
Вид выходного сигнала |
Действительные значения входного сигнала (напряжение постоянного тока) |
Ед. измерения | ||||
|
0,1 |
0,5 |
1,0 |
2,0 |
2,5 |
В | ||
|
1 |
индикация |
мм/с | |||||
|
ЭВМ |
ед. ЭВМ | ||||||
|
^ВЫХ * Увых |
мА, В | ||||||
|
2 |
индикация |
мм/с | |||||
|
ЭВМ |
ед. ЭВМ | ||||||
|
^ВЫХ ? Увых |
мА, В | ||||||
|
индикация |
мм/с | ||||||
|
ЭВМ |
ед. ЭВМ | ||||||
|
^ВЫХ 5 Увых. |
мА, В | ||||||
|
4 |
индикация |
мм/с | |||||
|
ЭВМ |
ед. ЭВМ | ||||||
|
5 ивых |
мА, В | ||||||
|
5 |
индикация |
мм/с | |||||
|
ЭВМ |
ед. ЭВМ | ||||||
|
Пых s USI,K |
мА, В | ||||||
|
6 |
индикация |
мм/с | |||||
|
ЭВМ |
ед. ЭВМ | ||||||
|
Пых » UeMX |
мА, В | ||||||
|
z |
индикация |
мм/с | |||||
|
ЭВМ |
ед. ЭВМ | ||||||
|
Пых » ивых |
мА, В | ||||||
|
8 |
индикация |
мм/с | |||||
|
ЭВМ |
ед. ЭВМ | ||||||
|
1|.|.1Х 5 ивых |
мА, В | ||||||
|
Номинальные значения контролируемого параметра: | |||||||
|
индикация |
1,0 |
5,0 |
10,0 |
20,0 |
25,0 |
мм/с | |
|
Нвых |
0,2 |
1,0 |
2,0 |
4,0 |
5,0 |
В | |
|
1 ВЫХ (4-20мА) |
4.64 |
7,2 |
10,4 |
16,8 |
20 |
мА | |
|
ЭВМ |
10 |
50 |
100 |
200 |
250 |
ед. ЭВМ | |
|
Допускаемые отклонения: | |||||||
|
индикация |
± 1 |
± 1 |
± 1 |
+ 1 I +1 |
мм/с | ||
|
ЭВМ |
± 12 |
± 12 |
± 12 |
±12 ± 12 |
ед. ЭВМ | ||
|
1 'l-.I.IX |
± 0.024 В | ||||||
|
Пых (4-20мА) |
± 0,08 мА | ||||||
Стр. 22
Лист
Определение абсолютной погрешности вибропреобразователей D V-1:
|
№ в/пр-ля |
Вид выходного сигнала |
Действительные значения виброскорости (79,6 Гц) |
Ед. измер. | ||||||
|
1 |
2 |
5 |
10 |
15 |
20 |
25 |
мм/с | ||
|
ивых |
В | ||||||||
|
отклонение | |||||||||
|
ивых | |||||||||
|
отклонение | |||||||||
|
Сныч | |||||||||
|
отклонение | |||||||||
|
-------------------, |
U ВЫХ | ||||||||
|
отклонение | |||||||||
|
--- |
ивнх | ||||||||
|
отклонение | |||||||||
|
С ВЫХ | |||||||||
|
отклонение | |||||||||
|
и ВЫХ | |||||||||
|
отклонение | |||||||||
|
ивнх | |||||||||
|
отклонение | |||||||||
|
Ubmx.HOM. |
0,1 |
0,2 |
0,5 |
го |
1,5 |
2,0 |
2,5 |
В | |
|
Максимальное отклонение: |
± 0,03 |
± 0,038 |
±0,05 |
±0,07 |
±0,09 |
± 0,11 |
±0,13 |
В | |
ивых ном. ~ номинальное значение постоянного напряжения на выходных контактах У СО; UBblx. - измеренное значение постоянного напряжения на выходных контактах У СО
Определение неравномерности АЧХ каналов измерения СКЗ виброскорости относительно частоты F=79,6 Гц. Контролируемый уровень Г=10 мм/с (5мм/с на частотах 640-1000 Гц):
|
№ в/пр-ля |
Измеренные значения выходного постоянного напряжения по частотам |
Ед. измер. | ||||||||||
|
5 |
10 |
20 |
40 |
79,6 |
160 |
320 |
640 |
1000 |
2000 |
Гц | ||
|
В | ||||||||||||
|
... | ||||||||||||
|
Границы допуска: |
-80, -90 |
+ 10, 20 |
± 10 |
базовое значение |
+ 10 |
+ 10, -20 |
-80, -90 |
% | ||||
Стр. 23
Лист____
Определение абсолютной погрешности преобразования и нелинейности амплитудной характеристики DVA-3-3-3 на базовой частоте вибрации 79,6 Гц:_____
|
№№ DVA |
Заданные уровни СКЗ виброскорости |
Ед. изм. | |||||||
|
0 |
1,0 |
2,0 |
5,0 |
10,0 |
15,0 |
20,0 |
25,0 |
мм/с | |
|
В | |||||||||
|
Ном-ные значения пост. |
0 |
0,1 |
0,2 |
0,5 |
1,0 |
1,5 |
2,0 |
2,5 |
В |
|
Границы допуска |
0,01 |
± 0,029 |
± 0,033 |
± 0,045 |
± 0,065 |
± 0,085 |
±0,105 |
±0,125 |
В |
Определение неравномерности АЧХпри СКЗ виброскорости 10мм/с в диапазоне f=3...500 Гц (2 мм/с при f=500...2000 Гц) относительно 11еыхна базовой частоте 79,6Гц:
|
№№ DVA |
Измеренные значения |
С’вых. пост. |
в диапазоне частот 3...2000 Гц |
Ед. изм | |||||||
|
2,5 |
5 |
10 |
20 |
40 |
160 |
320 |
640 |
1000 |
2000 |
Гц | |
|
В | |||||||||||
|
Гранины допуска |
-80, -90 |
+10, -20 |
±10 |
+10, -20 |
-80, -90 |
% | |||||
Стр. 24
Лист__
Протокол №___поверки канала осевого сдвига
в составе: УСО ПИК-MS-1 №____и датчика DS-1 №____
Дата поверки: «________» 20 г.
Условия поверки:
температура окружающ. воздуха:___°C, относит, влажность__%, атм. давление:___кПа
Средства поверки:
|
Наименование |
Тин |
Заводской номер |
Дата последней поверки |
Дата очередной поверки |
|
Мультиметр |
Agilent 34401А | |||
|
Катушка эл. сопротивления |
Р331 100 Ом | |||
|
Приспособление для юстировки |
ИМБР.401129.001 | |||
|
Установка для проверки параметров эл. безопасности |
GPI-825 |
-
1. Внешний осмотр:____
(годен, негоден)
-
2. Проверка прочности и измерение электрического сопротивления изоляции (при первичной поверке):
Испытание изоляции на электрическую прочность:_________________________________________(500В).
(годен, негоден)
Измерение электрического сопротивления изоляции:___(не менее 40 МОм).
3. Определение коэффициента преобразования, основной абсолютной погрешности:
|
S„, мм. |
0,25 |
0,5 |
0,75 |
1,0 |
1,25 |
1,5 |
1,75 |
2,0 |
2,25 |
2,5 |
2,75 |
|
Ном.значение |
4,0 |
5,6 |
7,2 |
8,8 |
10,4 |
12,0 |
13,6 |
15,2 |
16,8 |
18,4 |
20,0 |
|
Изм.значение ЦцЗМ ’ -МЛ | |||||||||||
|
Допусковая |
3,68- |
5.28- |
6,88- |
8,48- |
10,08- |
11,68- |
13,28- |
14,88- |
16,48- |
18,08- |
19,68- |
|
зона, мА |
4,32 |
5,92 |
7,52 |
9,12 |
10,72 |
12,32 |
13.92 |
15,52 |
17,12 |
18,72 |
20.32 |
|
А, мм |
— |
| | |||||||||
|
Допуск А, мм |
± 0,05 | ||||||||||
1„м, мА - постоянный ток на выходе канала виброизмерительного;
Sn, мм - соответствующее значение зазора, установленное на юстировочном приспособлении;
/(и -4
А, мм - основная абсолютная погрешность: А = S----0,25
где: S - действительное значение зазора на юстировочном приспособлении, мм:
__Кцп» - номинальное значение коэффициента преобразования (для DS-I -К-6,4 мА/мм)
По результатам выполненной поверки канал осевого сдвига №_________соответствует
/не соответствует требованиям технических условий.
Стр. 25
Лист__
Протокол №_______
поверки канала осевого сдвига
в составе: УСО ПИК-MS-1 №__и датчика смещения DS-2 №__
Дата поверки: «____»____20__г.
Условия поверки:
температура окружающ. воздуха: °C, относит.влажность:____%, атм.давление:__кПа
Средства поверки:
|
Наименование |
Тип |
Заводской номер |
Дата последней поверки |
Дата очередной поверки |
|
Вольтметр |
GDM-8245 | |||
|
Катушка эл. сопротивления |
Р331 100 Ом | |||
|
Приспособление для юстировки |
ИМБР.401129.001 | |||
|
Установка для проверки параметров эл. безопасности |
GPI-825 |
-
1. Внешний осмотр:______________________________________________________
(годен, негоден)
-
2. Проверка прочности и измерение электрического сопротивления изоляции:
Испытание изоляции на электрическую прочность:________________(500В).
(годен, негоден)
Измерение электрического сопротивления изоляции: ________________________(не менее 40 МОм).
3. Определение коэффициента преобразования, основной абсолютной погрешности:
|
У,, мм |
0,5 |
1,0 |
1,5 |
2,0 |
2,5 |
3,0 |
3,5 |
4,0 |
4,5 |
5,0 |
5,5 |
|
Ном.значение 1Й0М, мА |
4,00 |
5,6 |
7,2 |
8,8 |
10,4 |
12,0 |
13,6 |
15,2 |
16,8 |
18,4 |
20,0 |
|
Изм.значение > МА | |||||||||||
|
Допусковая зона, мА |
3,6-4,4 |
5,2-6,0 |
6,8-7,6 |
8,4-9,2 |
10,0- 10,8 |
11,6- 12,4 |
13,2- 14,0 |
14,8- 15,6 |
16,4- 17,2 |
18,0- 18.8 |
19,6- 20,4 |
|
Абсолютная погрешность, А, мм. | |||||||||||
|
Допуск А, мм |
±0,125 | ||||||||||
1тм, мА - постоянный ток на выходе канала виброизмерительного;
S„, мм - соответствующее значение зазора, установленное на юстировочном приспособлении;
А, мм - основная абсолютная погрешность: Б = S------0.5
К
л v МОМ.
где: S - действительное значение зазора на юстировочном приспособлении, мм
К - номинальное значение коэффициента преобразования (для DS-2-K= 3,2 мА/мм)
По результатам выполненной поверки измерительный канал ИКВ-1-4-1 № _____ соответствует /не соответствует требованиям технических условий.
Стр. 26
Лист______
Определение основной приведенной погрешности каналов" измерения температуры (совместно с УСО ПИК-Т (УТ) №) без подключения термодатчиков (ТСМ, ТСП) :
|
№ |
Вид |
Действительные значения температуры: |
Ед. измер. |
Наиб. откло- | |||||
|
канала прибора |
ВЫ ходнем о сигнала |
-40 |
0 |
50 |
100 |
150 |
200 |
° С |
нение |
|
Ом | |||||||||
|
индикация |
° Г' | ||||||||
|
ЭВМ |
V | ||||||||
|
ивых.1<ых |
В. мА | ||||||||
|
индикация |
° С | ||||||||
|
ЭВМ | |||||||||
|
и8ия, I»MS |
В, мА | ||||||||
|
индикация |
е с | ||||||||
|
ЭВМ |
х_ | ||||||||
|
Иных , 1вы\ |
В, мА | ||||||||
|
индикация |
° р | ||||||||
|
ЭВМ |
l | ||||||||
|
и.ькД.» |
В, мА | ||||||||
|
индикация |
С | ||||||||
|
ЭВМ | |||||||||
|
Пик . 1„« |
В, мА | ||||||||
|
Номинальные значения контролируемого параметра: |
Доп. откл-е | ||||||||
|
индикация, ЭВМ |
-40 |
0 |
50 |
100 |
150 |
200 |
°C |
±3,0 | |
|
UbmX |
0,20 |
1,00 |
2,00 |
3,00 |
4,00 |
5,00 |
в |
±0,05 | |
|
1вых (4-20мА) |
4,640 |
7,200 |
10,400 |
13,600 |
16,800 |
20,000 |
мА |
±0,16 | |
- Каналы измерения температуры настроены на градуировку термопреобразователя:
Стр. 27
Лист регистрации изменений
|
Номера листов (страниц) |
Всего листов (страниц) в докум. |
№ документа |
Входящий № сопроводительного документа и дата |
Подп |
Дата | ||||
|
Изм. |
Изменен ных |
Замененных |
Новых |
Аннулированных | |||||
