Методика поверки «ГСИ. Система измерительная массового расхода (массы) углеродистой фракции поз. 04FT314/04FT315 цеха № 01 НПЗ АО "ТАИФ-НК"» (МП 0710/2-311229-2019)

Регистрационный № RA.R.U.311229 выдан 30.07.2015 г.
«УТВЕРЖДАЮ»
Технический директор
по испытаниям

ООО Центр М^Грблогии «СТП» В.В. Фефелов

Государственная система обеспечения единства измерений
Система измерительная массового расхода (массы) высокоуглеродистой фракции поз. 04FT314/04FT315 цеха № 01 НПЗ АО «ТАИФ-НК»
МЕТОДИКА ПОВЕРКИ
МП 0710/2-311229-2019
г. Казань
2019
Настоящая инструкция распространяется на систему измерительную массового расхода (массы) высокоуглеродистой фракции поз. 04FT314/04FT315 цеха № 01 НПЗ АО «ТАИФ-НК» (далее - ИС), заводской № 04FT314/04FT315, и устанавливает методику первичной поверки до ввода в эксплуатацию и после ремонта, а также методику периодической поверки в процессе эксплуатации.
Результаты поверки средств измерений (далее - СИ), входящих в состав ИС, в течение их межповерочного интервала, установленного при их утверждении типа, удостоверяются действующим знаком поверки и (или) свидетельством о поверке, и (или) записью в паспорте (формуляре) СИ, заверяемой подписью работника аккредитованного юридического лица или индивидуального предпринимателя, проводившего поверку СИ, и знаком поверки.
Интервал между поверками ИС - 2 года.
1 ОПЕРАЦИИ ПОВЕРКИПри проведении поверки должны быть выполнены следующие операции:
-
- внешний осмотр (пункт 6.1);
-
- опробование (пункт 6.2);
-
- определение метрологических характеристик (пункт 6.3);
-
- оформление результатов поверки (раздел 7).
-
2.1 При проведении поверки ИС применяют следующие средства поверки:
-
- термогигрометр ИВА-6А-П-Д (регистрационный номер 46434-11): диапазон измерений атмосферного давления от 700 до 1100 гПа, пределы допускаемой абсолютной погрешности измерения атмосферного давления ±2,5 гПа; диапазон измерений относительной влажности от 0 до 98 %, пределы допускаемой основной абсолютной погрешности измерения относительной влажности ±2 % в диапазоне от 0 до 90 %, ±3 % в диапазоне от 90 до 98 %; диапазон измерений температуры от минус 40 до плюс 60 °C, пределы допускаемой основной абсолютной погрешности температуры ±1 °C в диапазоне от минус 40 до минус 20 °C, ±0,3 °C в диапазоне от минус 20 до плюс 60 °C;
-
- калибратор многофункциональный MCx-R модификации MC5-R-IS (регистрационный номер 22237-08): диапазон воспроизведения силы постоянного тока от 0 до 25 мА, пределы допускаемой основной погрешности воспроизведения ±(0,02 % показания + 1 мкА).
-
2.2 Допускается применение аналогичных средств поверки, обеспечивающих определение метрологических характеристик ИС с требуемой точностью.
-
2.3 Применяемые эталоны должны быть аттестованы, СИ должны иметь действующий знак поверки и (или) свидетельство о поверке, и (или) запись в паспорте (формуляре), заверенную подписью работника аккредитованного юридического лица или индивидуального предпринимателя, проводившего поверку СИ, и знаком поверки.
-
3.1 При проведении поверки должны соблюдаться требования:
-
- правил технической эксплуатации электроустановок потребителей;
-
- правил безопасности при эксплуатации средств поверки и ИС, приведенных в их эксплуатационных документах;
-
- инструкций по охране труда, действующих на объекте.
-
3.2 К проведению поверки допускаются лица, изучившие настоящую методику поверки, руководства по эксплуатации ИС и средств поверки и прошедшие инструктаж по охране труда.
При проведении поверки должны соблюдаться следующие условия:
-
- температура окружающего воздуха в месте установки
измерительно-вычислительного комплекса (далее - ИВК), °C от плюс 15 до плюс 25
-
- относительная влажность, % от 30 до 80
-
- атмосферное давление, кПа от 84,0 до 106,7
-
5.1 Средства поверки и ИВК ИС выдерживают при условиях, указанных в разделе 4, не менее трех часов.
-
5.2 Средства поверки и ИС подготавливают к работе в соответствии с их эксплуатационными документами.
-
6.1.1 Проверяют:
-
- состав СИ и комплектность ИС;
-
- наличие свидетельства о последней поверке ИС (при периодической поверке);
-
- отсутствие механических повреждений ИС, препятствующих ее применению;
-
- четкость надписей и обозначений.
-
6.1.2 Результаты проверки считают положительными, если:
-
- состав СИ и комплектность ИС соответствуют описанию типа ИС;
-
- представлено свидетельство о последней поверке ИС (при периодической поверке);
-
- отсутствуют механические повреждения ИС, препятствующие ее применению;
-
- надписи и обозначения четкие.
-
6.2 Опробование
-
6.2.1.1 Проверку идентификационных данных (далее - ИД) программного обеспечения (далее - ПО) ИС (наименования и цифрового идентификатора (контрольной суммы)) проводят сравнением с соответствующими ИД, зафиксированными при испытаниях в целях утверждения типа ИС и отраженными в описании типа ИС.
-
6.2.1.2 Результаты проверки ИД ПО считают положительными, если ИД ПО ИС совпадают с соответствующими ИД, зафиксированными при испытаниях в целях утверждения типа и отраженными в описании типа ИС, а также исключается возможность несанкционированного доступа к ПО ИС и обеспечивается аутентификация.
-
6.2.2.1 Проверяют:
-
- отсутствие сообщений об ошибках;
-
- соответствие текущих измеренных ИС значений температуры, давления, расхода данным, отраженным в описании типа ИС.
-
6.2.2.2 Результаты проверки работоспособности считают положительными, если:
-
- отсутствуют сообщения об ошибках;
-
- текущие измеренные ИС значения температуры, давления, расхода соответствуют данным, отраженным в описании типа ИС.
-
6.3 Определение метрологических характеристик
-
6.3.1.1 Проверяют наличие действующего знака поверки и (или) свидетельства о поверке, и (или) записи в паспорте (формуляре) СИ, заверенной подписью работника аккредитованного юридического лица или индивидуального предпринимателя, проводившего поверку СИ, и знаком поверки, счетчиков-расходомеров массовых, преобразователей давления, датчика температуры и ИВК, входящих в состав ИС.
-
6.3.1.2 Результаты поверки по 6.3.1 считают положительными, если СИ, указанные в 6.3.1.1, имеют действующий знак поверки и (или) свидетельство о поверке, и (или) запись в паспорте (формуляре) СИ, заверенную подписью работника аккредитованного юридического лица или индивидуального предпринимателя, проводившего поверку СИ, и знаком поверки.
-
6.3.2.1 Отключают первичный измерительный преобразователь измерительного канала (далее - ИК), ко вторичной части ИК подключают калибратор и задают сигнал силы постоянного тока. В качестве контрольных точек принимают точки 4; 8; 12; 16; 20 мА.
-
6.3.2.2 В каждой контрольной точке вычисляют абсолютную погрешность Д,, мА, по формуле

(1)
где “ значение силы постоянного тока, измеренное ИС, мА;
1ЗТ “ значение силы постоянного тока, заданное калибратором, мА.
-
6.3.2.3 Результаты поверки по 6.3.2 считают положительными, если рассчитанная по формуле (1) абсолютная погрешность в каждой контрольной точке не выходит за пределы ±36 мкА.
-
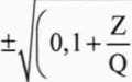
6.3.3.1 Относительную погрешность измерений массового расхода и массы высокоуглеродистой фракции 5т, %, определяют по формуле
у
100 +6
(1)
где Z - стабильность нуля, кг/ч, (в диапазоне измерений от 3500 до 50000 кг/ч принимается равной нулю);
Q - измеряемый массовый расход, кг/ч;
я - относительная погрешность ИВК при измерении времени, %.
-
6.3.3.2 Результаты поверки по пункту 6.3.3 считают положительными, если рассчитанная относительная погрешность измерений массового расхода и массы высокоуглеродистой фракции не выходит за переделы ±0,25 %.
-
7.1 Результаты поверки оформляют протоколом произвольной формы.
-
7.2 В соответствии с порядком, установленным законодательством Российской Федерации об обеспечении единства измерений, при положительных результатах поверки ИС оформляют свидетельство о поверке ИС (знак поверки наносится на свидетельство о поверке ИС), при отрицательных результатах поверки ИС — извещение о непригодности к применению.
-
7.3 На оборотной стороне свидетельства о поверке указывают фразу: «Средства измерений, входящие в состав ИС, во время эксплуатации ИС должны поверяться в соответствии с интервалами между поверками, установленными при утверждении типа данных средств измерений».
4 из 4
