Методика поверки «Устройства спектрометрические для обнаружения и идентификации радиоактивных источников REDEAGLE и RADEAGLET» (МП 2102-005-2020)
Федеральное государственное унитарное предприятие «Всероссийский научно-исследовательский институт метрологии им. Д.И. Менделеева» ФГУП «ВНИИМ им. Д.И. Менделеева»
УТВЕРЖДАЮ
И. о. директора ФГУП «ВНИИМ .П. Менделеева»

^ЧЕСКО/5
.Н. Пронин
1:^11 ноября 2020 г.
Государственная система обеспечения единства измерений
Устройства спектрометрические для обнаружения и идентификации радиоактивных источников RADEAGLE и RADEAGLET
Методика поверки
МП 2102-005-2020
Руководитель отдела измерений излучений ФГУП . Д.И. Менделеева»
^2_С.Г. Трофимчук

« »
2020 г.
Руководитель сектора

С.М. Аршанский
г. Санкт-Петербург 2020 г.
Содержание
Вводная часть.....................................................................................................................
-
1 Операции поверки..........................................................................................................
-
2 Средства поверки............................................................................................................
-
3 Требования к квалификации поверителей...................................................................
-
4 Требования безопасности..............................................................................................
-
5 Условия поверки.............................................................................................................
-
6 Подготовка к поверке.....................................................................................................
-
7 Проведение поверки.......................................................................................................
-
7.1 Внешний осмотр.................................................................................................
-
7.2 Опробование.......................................................................................................
-
7.2.1 Проверка работоспособности...............................................................
-
7.2.2 Подтверждение соответствия программного обеспечения...............
-
-
7.3 Определение метрологических характеристик...............................................
-
7.3.1 Проверка диапазона энергии регистрируемого гамма-излучения и
определение основной погрешности характеристики преобразования, приведенной к верхней 6
-
-
границе диапазона энергий..............................................................................................................
-
7.3.2 Определение относительного энергетического разрешения по линии гамма-
излучения радионуклида *^Cs с энергией 661,7 кэВ.......................................................................
-
7.3.3 Определение эффективности регистрации в пике полного поглощения гамма-
квантов с энергией 661,7 кэВ (радионуклида ’^^Cs), испускаемых точечным источником типа ОСГИ, расположенным на поверхности входного окна детектора.................................................
8 Оформление результатов поверки..............................................................................................
Приложение А..................................................................................................................................
(рекомендуемое)..............................................................................................................................
,3 ,3
,4
,4
.4
.5
.5
,5
5
5
5
-
5
-
6
7 .8 .9 .9
Вводная часть
Настоящая методика поверки (далее МП) распространяется на устройства спектрометрические для обнаружения и идентификации радиоактивных источников radEAGLE и radEAGLET (далее по тексту - спектрометры), предназначенные для измерений спектров энергетического распределения фотонного излучения и индикации мощности амбиентного эквивалента дозы гамма-излучения с целью обнаружения и идентификации радиоактивных источников.
Настоящая МП устанавливает методы и средства первичной и периодической поверки.
Первичной поверке подлежат спектрометры до ввода в эксплуатацию и выпускаемые в обращение после ремонта.
Периодической поверке подлежат спектрометры, находящиеся в эксплуатации.
Примечание. При пользовании настоящей МП целесообразно проверить действие ссылочных документов по соответствующему указателю стандартов, составленному по состоянию на 1 января текущего года и по соответствующим информационным указателям, опубликованным в текущем году. Если ссылочный документ заменен (изменен), то при пользовании настоящей методикой следует руководствоваться заменяющим (измененным) документом. Если ссылочный документ отменен без замены, то положение, в котором дана ссылка на него, применяется в части, не затрагивающей эту ссылку.
Примечание. Настоящей МП не предусмотрена возможность проведения поверки для меньшего числа измеряемых величин. Настоящей МП не предусмотрена возможность проведения поверки отдельных измерительных каналов и (или) отдельных измерительных блоков из состава СИ и на меньшем числе диапазонов измерений.
1. Операции поверки
При проведении поверки должны быть вьшолнены операции, указанные в таблице 1
Таблица 1 - Операции при проведении поверки | |||
Наименование операции |
Номер пункта методики поверки |
Проведение операции при | |
первичной поверке |
периодической поверке | ||
1 Внешний осмотр |
7.1 |
да |
да |
2 Опробование |
7.2 |
да |
да |
2.1 Проверка работоспособности |
7.2.1 |
да |
да |
2.2 Подтверждение соответствия ПО |
7.2.2 |
да |
да |
3 Определение метрологических характеристик: 3.1 Проверка диапазона энергии регистрируемого гамма-излучения и определение ос- |
7.3 |
да |
да |
новной погрешности характеристики преобразования, приведенной к верхней границе диапазона энергий 3.2 Определение относительного энергетиче- |
7.3.1 |
да |
да |
ского разрешения по линии гамма-излучения радионуклида с энергией 661,7 кэВ 3.3 Определение эффективности регистрации в пике полного поглощения гамма-квантов с |
7.3.2 |
да |
да |
энергией 661,7 кэВ (радионуклида ’^^Cs), испускаемых точечным источником типа ОСГИ, расположенным на поверхности входного окна детектора |
7.3.3 |
да |
да |
4 Оформление результатов поверки |
8 |
да |
да |
-
2.1 При проведении поверки должны применяться эталоны и вспомогательные средства поверки, указанные в таблице 2.
-
2.2 Все эталоны и средства измерений (СИ) должны быть исправны и иметь действующие свидетельства о поверке.
-
2.3 Допускается применение аналогичных средств поверки, обеспечивающих определение метрологических характеристик поверяемых средств измерений с требуемой точностью.
Таблица 2 -
л
л
Номер пункта методики |
Наименование средств поверки и вспомогательного оборудования |
Технические характеристики |
7.3.3 |
Рабочий эталон 2-го разряда по Государственной поверочной схеме для средств измерений активности, удельной активности радионуклидов, потока и плотности потока альфа-, бета-частиц и фотонов радионуклидных источников, утвержденной приказом Росстандарта от 29.12.2018 № 2841 - источник радионуклидный закрытый фотонного излучения эталонный ОСГИ-РТ на основе радионуклида |
Активность от 10 до 50 кБк, погрепшость не более ±6 %. |
|
Источники радионуклидные закрытые фотонного излучения эталонные ОСГИ-РТ (per. № 74005-19) на основе радионуклидов Am, и 228Th |
Активность от 1 до 100 кБк |
|
Устройство позиционирования для размещения радионуклидных источников в определенных (фиксированных) положениях относительно входного окна детектора |
Конструкция произвольная. Диапазон расстояний от входного окна детектора от 0 до 250 мм |
5 |
Термометр |
Диапазон измерений от 0 до +40 °C Цена деления 1 °C |
5 |
Барометр-анероид |
Диапазон измерений от 80 до 106 кПа Погрепшость не более 3 % |
5 |
Психрометр аспирационный |
Диапазон измерений относительной влажности воздуха от 10 до 100 %, Абсолютная погрешность не более 5 % |
К проведению измерений и обработке результатов измерений допускаются лица, имеющие профессиональные знания в области спектрометрии ионизирующих излучений, изучивщие руководство по эксплуатации и аттестованные в качестве поверителей в установленном порядке.
4 Требования безопасности4.1 При проведении поверки должны соблюдаться требования Основных санитарных правил обеспечения радиационной безопасности ОСПОРБ-99/2010 СП 2.6.1.2612-10, Норм радиационной безопасности НРБ-99/2009 СанПиН 2.6.1.2523-09, Правил техники безопасности при эксплуатации электроустановок потребителей, действующих инструкций по мерам безопасности в поверочной лаборатории, а также требования безопасности.
изложенные в соответствующих разделах технической документации на средства поверки и правила техники безопасности, действующие на данном предприятии.
-
4.2 К работе должны привлекаться только сотрудники, имеющие допуск к работе с источниками ионизирующих излучений.
При проведении поверки должны быть соблюдены следующие условия:
от 15 до 25
от 86 до 106
от 30 до 70
-
- температура окружающего воздуха, °C
-
- атмосферное давление, кПа
-
- относительная влажность воздуха, %
ознакомиться с эксплуатационной
-
6.1 Перед проведением поверки необходимо документацией (далее - ЭД) на спектрометр.
-
6.2 Спектрометр и средства поверки должны быть подготовлены к работе в соответствии с ЭД на них.
-
7 Проведение поверки
При проведении внешнего осмотра должно быть установлено:
-
- соответствие комплектности поверяемого спектрометра требованиям ЭД в объеме, необходимом для проведения поверки;
-
- наличие ЭД, описания типа и свидетельства о предыдущей поверке (при периодической поверке);
-
- отсутствие на спектрометре загрязнений, механических повреждений, влияющих на его работоспособность.
-
7.2.1 Проверка работоспособности.
Выполнить в соответствии с руководством по эксплуатации включение спектрометра (см. раздел 2.3 РЭ). При включении спектрометр проводит первичную стабилизацию, после завершения которой переходит в режим индикации мощности дозы. По наличию показаний убедиться в работоспособности спектрометра.
-
7.2.2 Подтверждение соответствия программного обеспечения.
Подтверждение соответствия программного обеспечения (ПО) спектрометра включает проверку соответствия номеров версий встроенного ПО.
Идентификационные данные программного обеспечения должны соответствовать данным, приведенным в Описании типа (таблица 3).
в описании типа.
Идентификационные данные (признаки) |
Значения | |
radEAGLE |
radEAGLET | |
Номер версии (идентификационный номер) встроенного ПО |
3.2.11'' |
3.2.8'' |
Цифровой идентификатор ПО |
недоступен |
недоступен |
Номер версии не ниже указанного в таблице
Таблица 3 - Идентификационные данные ПО,
Номер версии встроенного ПО отображается в расширенном меню прибора (Advanced) в опции About (см. РЭ, раздел 5.28 «О приборе»). Отображения версий встроенного ПО для модификаций спектрометра radEAGLE и radEAGLET показаны на рисунке 1.
Определенный при первичной поверке номер версии встроенного ПО указывают на оборотной стороне свидетельства.
В |
© 9 ^100% I 11 :i 1 PM |
о About | |
Model |
RE3SG-H-GPS |
Serial Number |
18181 |
Software Version C 3.2.12 3 | |
Support |
EXIT
И Ф 9 |
100% 1 11:11 PM |
О About | |
Model |
RT2SG-H-GPS |
Serial Number |
18267 |
— |
<—. |
Software Version |
3.2.0 |
Support |
ortec.tsgtsjamelek com |
EXIT |
Рисунок 1 - Отображение версии встроенного программного обеспечения.
7.3 Определение метрологических характеристик-
7.3.1 Проверка диапазона энергии регистрируемого гамма-излучения и определение основной погрешности характеристики преобразования, приведенной к верхней границе диапазона энергий.
-
7.3.1.1 Проверку проводить с использованием закрытых радионуклидных источников
-
фотонного излучения типа ОСЕЙ с радионуклидами ssy, 241 228-pj^ Дд^
определения приведенной погрешности характеристики преобразования использовать энергетический линии 26,35(2'^*Ат), 30,97(’^^Cs), 59,6(2^*Am), 121,8(’^^Eu), 344,2(^52Eu), 661,7(’3^Cs), 898,O(88Y), 1408,0(‘^2ец), 1836,O(88Y) и 2614,5(228тЬ).
-
7.3.1.2 Активность радионуклидных источников и время измерения выбираются такими, чтобы статистическая загрузка спектрометра была в пределах до 2000 имп/с, а число импульсов в каждом пике полного поглошения (ППП) не менее Ю'^. Источники излучения помешаются в (на) устройство позиционирования на оси детектора.
калибровку спектрометра в соответствии
5.14 «Easy Calibration», п. 5.18 «Calibration»
-
7.3.1.3 Выполнить энергетическую Руководством по эксплуатации (см. п. приложение С2 «Calibration»).
измерения спектров источников, указанных в
п.
-
7.3.1.4 Вьшолнить последовательно
-
7.3.1.1 Спектры сохранить для последуюшей обработки.
-
7.3.1.5 Провести обработку спектров в соответствии с Руководством по эксплуатации (см. п. 5.1 «Spectrum» или п. 7.4 «Spectrum Browser»).
-
7.3.1.6 В каждом измеренном спектре определить положение пиков Ei, соответствующих i-тым энергиям гамма-квантов Eoi, указанным в п. 4.1.1, и определить отклонения по формуле:
AEi = Ei-Eoi (1)
-
7.3.1.7 Определить основную погрешность характеристики преобразования (ПХП) по максимальному значению полученных отклонений (2\Eimax) по формуле:
ПХП = (AEiniax/Emax)400% (2)
где Етах - верхняя граница диапазона энергии регистрируемого гамма-излучения, кэВ
-
7.3.1.8 Результаты проверки по п. 7.3.1 считаются положительными, если в диапазоне энергий регистрируемого гамма-излучения от 0,025 до 3 МэВ полученное значение ПХП не превьппает ±1 %.
7.3.2 Определение относительного энергетического разрешения по линии гамма-излучения радионуклида с энергией 661,7 кэВ
7.3.2.1 Определение относительного энергетического разрешения
проводить в соответствии с ГОСТ 26874-86 пп.3.3.7, 3.3.8 с использованием закрытого радионуклидного источника фотонного излучения типа ОСГИ с радионуклидом
-
7.3.2.2 Активность радионуклидного источника и время измерения выбираются такими, чтобы статистическая загрузка спектрометра была в пределах до 1000 имп/с, а число импульсов в ППП с энергией 661,7 кэВ не менее Ю'*. Источник излучения помещается в (на) устройство позиционирования на оси детектора.
-
7.3.2.3 Обработку спектров проводить в соответствии с Руководством по эксплуатации (см. п. 5.1 «Spectrum» или п. 7.4 «Spectrum Browser»).
п.
если
гамма-излучения 661,7 кэВ
7.3.2 считаются положительными, по линии
-
7.3.2.4 Результаты проверки по относительное энергетическое разрешение радионуклида *^^Cs не превьппает 7,2 %.
7.3.3 Определение эффективности регистрации в пике полного поглощения гамма-квантов с энергией 661,7 кэВ (радионуклида ’^^Cs), испускаемых точечным источником типа ОСГИ, расположенным на поверхности входного окна детектора
-
7.3.3.1 Определение эффективности регистрации проводить в соответствии с ГОСТ 26874-86 п. 4а с использованием закрытого радионуклидного источника фотонного излучения типа ОСГИ с радионуклидом ’^^Cs.
-
7.3.3.2 Установить на поверхность входного окна (по центру) блока детектирования эталонный источник ОСГИ с радионуклидом ’^Cs. Активность источника должна быть такой, чтобы загрузка входа спектрометрического тракта не превышала 2000 импУс.
-
7.3.3.3 Выполнить измерения спектров эталонного источника фотонного излучения ’^^Cs. Время экспозиции выбрать таким образом, чтобы число отсчетов в максимуме ПИИ составляло не менее 10000. Провести 10 измерений.
-
7.3.3.4 В каждом спектре определить скорость счета в 111111 с энергией 661,7 кэВ.
-
7.3.3.5 Определить эффективность регистрации гамма-квантов с энергией 661,7 кэВ в ППП по формуле:
п
А Г! п - скорость счета в ППП, имп./с; А=Д) • е~^ - активность источника на момент измерения, Бк;
4) - активность источника на момент аттестации, Бк; Я - постоянная распада источника, сут"’; t - время с момента аттестации, сут;
ц - вероятность эмиссии гамма- квантов на распад, отн.ед. 7.3.3.6 Вычислить среднее значение эффективности регистрации с измерениям:
где:
(3)
ПО вьшолненным
(4)
т
где е/ - результат /-го наблюдения; m - число наблюдений.
7.3.3.7 Погрешность определения £ вычислить следующим относительную величину среднего
образом. Оценить квадратического 51 отклонения по формуле:
ё (т—l)-w
(5)
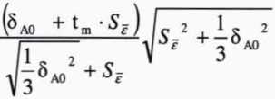
Границы абсолютной погрешности определения эффективности для 95% доверительного интервала при т наблюдениях:

, имп ./квант (6)
А = —
100
где §А0 - относительная погрешность аттестации активности эталонного источника (из свидетельства на источник), %;
tm - коэффициент Стьюдента для m наблюдений и Р=0,95 (для 10 наблюдений tio=2,3).
-
7.3.3.8 Результаты испытаний по п. 7.3.3 считаются удовлетворительными, если значение эффективности регистрации в пике полного £ поглощения с учетом погрешности определения не менее 0,060 для RADEAGLE и 0,035 для RADEAGLET.
-
8.1 Результат поверки признают положительным, если операции по п.п. 7.1 - 7.3 вьшолнены с положительными результатами. Все результаты заносятся в протокол поверки. Рекомендуемая форма протокола поверки приведена в Приложении А.
-
8.2 Положительные результаты поверки установки оформляются свидетельством о поверке по установленной форме.
Знак поверки наносится на свидетельство о поверке.
-
8.3 На оборотной стороне свидетельства о поверке указывают:
-
- метрологические характеристики прибора, определенные при поверке: диапазон
энергий регистрируемого гамма-излучения, приведенную к верхней границе диапазона энергий погрешность характеристики преобразования, относительное энергетическое разрешение по линии гамма-излучения радионуклида с энергией 661,7 кэВ и
эффективность регистрации в пике полного поглощения гамма-квантов с энергией 661,7 кэВ (радионуклида ’^^Cs), испускаемых точечным источником типа ОСГИ, расположенным на поверхности входного окна детектора;
-
- номер версии программного обеспечения.
-
8.4 Прибор, не прошедший поверку, к обращению не допускается. На прибор выдают извещение о непригодности по установленной форме. Свидетельство о предыдущей поверке на прибор, не прошедший периодическую поверку, аннулируют.
(рекомендуемое)
ПРОТОКОЛ ПОВЕРКИ
от
г. к свидетельству о поверке (извещению о непригодности) №________от_______г.
Наименование средства измерения (эталона), тип | |
Регистрационный номер в Федеральном информационном фонде | |
Заводской номер | |
Изготовитель | |
Год вьшуска | |
Заказчик (наименование и юридический адрес) | |
Серия и номер знака предыдущей поверки (если имеются) | |
Дата предыдушей поверки |
Вид поверки: Методика поверки:
Наименование и регистрационные номера эталона, СИ, СО в Федеральном информационном фонде |
Метрологические характеристики |
Примечание |
Условия
Параметры |
Требования НД |
Измеренные значения |
Температура окружающего воздуха, °C |
от 15 до 25 | |
Атмосферное давление, кПа |
от 86 до 106 | |
Относительная влажность воздуха, % |
от 30 до 70 |
Результаты поверки
1 Внешний вид:Внешний вид, комплектность, маркировка соответствует (не соответствует) требованиям технической документации.
Внешние повреждения прибора отсутствуют (присутствуют).
Вывод: результаты проверки: положительные (отрицательные).
2 ОпробованиеПрибор работоспособен (не работоспособен).
Сообшения об ошибках отсутствуют (имеются; указать содержание).
Результаты опробования положительные (отрицательные).
3 Подтверждение соответствия программного обеспечения (ПО)Номер версии программного обеспечения_____.
Результаты подтверждения соответствия ПО положительные (отрицательные).
-
4 Проверка диапазона энергии регистрируемого гамма-излучения и определение приведенной к верхней границе диапазона энергий погрешности характеристики преобразования.
Требования НД
Измеренное значение
Не более 1 %
Результаты проверки ПХП положительные (отрицательные).
5 Определение относительного энергетического разрешения по линии гамма-излучения радионуклида ^Cs с энергией 661,7 кэВ.
Требования НД |
Измеренное значение |
Не более 7,2 % |
Относительное энергетическое разрешение по линии 661,7 кэВ радио-нуклида %
Результаты определения энергетического разрешения положительные (отрицательные).
6 Определение эффективности регистрации в пике полного поглощения гамма-квантов с энергией 661,7 кэВ (радионуклида испускаемых точечным источником типа
ОСГИ, расположенным на поверхности входного окна детектора.
Требования НД |
Измеренное значение |
radEAGLE - не менее 0,060 radEAGLET - не менее 0,035 |
Эффективность регистрации гамма-квантов с энергией 661,7 кэВ (*^^Cs) в пике полного поглощения, %
Результаты определения эффективности регистрации положительные (отрицательные).
Заключение: Устройство спектрометрическое для обнаружения и идентификации радиоактивных источников модификации______зав. №________соответствует (не соответствует) предъявляемым требованиям и признан годным (не годным) к применению.
На основании результатов поверки выдано:Свидетельство о поверке №________от
г.
(Извещение о непригодности № Причина непригодности:_____
от
г.
.)
Поверку произвел
ФИО
подпись
Дата
Устройства спектрометрические для обнаружения и идентификации
радиоактивных источников RADEAGLE и RADEAGLET
Методика поверки
Лист 10
Всего листов 10