Методика поверки «ВЕСЫ ЭЛЕКТРОННЫЕ SCOUT PRO фирмы «OHAUS INSTRUMENTS (SHANGHAI) CO., LTD», KHP» (16315-08)
ФЕДЕРАЛЬНОЕ ГОСУДАРСТВЕННОЕ УНИТАРНОЕ ПРЕДПРИЯТИЕ ВСЕРОССИЙСКИЙ НАУЧНО-ИССЛЕДОВАТЕЛЬСКИЙ ИНСТИТУТ МЕТРОЛОГИЧЕСКОЙ СЛУЖБЫ
(ФГУП ВНИИМС)

ЮГЛАСОВАНО»
Ч<О5-а 1 ’ ---iSmiB
d , -Е = ■ <-г <>:
ViS-5“c.-

В.Н. Яншин
2008 г.
«
»
ВЕСЫ ЭЛЕКТРОННЫЕ SCOUT PRO фирмы «OHAUS INSTRUMENTS (SHANGHAI) СО., LTD», КНР
МЕТОДИКА ПОВЕРКИ
Москва 2008
Настоящая методика поверки распространяется на весы лабораторные электронные Scout Pro, модификации SPU123, SPU202, SPS202F, SPU402, SPS402F, SPU401, SPS401F, SPS602F, SPU601, SPS601F, SPU2001, SPS2001F, SPU4001, SPS4001F, SPS6001F, SPU6000, SPS6000F (в дальнейшем - весы), производства фирмы «Ohaus Instruments (Shanghai) Со., Ltd», КНР, и устанавливает методы и средства их первичной и периодических поверок.
Межповерочный интервал - 1 год.
1 ОПЕРАЦИИ И СРЕДСТВА ПОВЕРКИ
-
1.1 При проведении поверки должны быть выполнены следующие операции и применены средства измерений с характеристиками, указанными в таблице 1.
Таблица 1
Наименование операции |
Номер пункта методики |
Средства поверки и их метрологические характеристики |
1 Внешний осмотр |
5.1 | |
2 Опробование |
5.2 | |
3 Определение метрологических характеристик: |
5.3 |
Гири класса точности Ег - Mi по ГОСТ 7328-2001 |
3.1 Определение погрешности весов |
5.3.1 |
Номинальная масса нагрузок выбираются по таблице 3 |
3.2 Определение среднего квадратического отклонения (СКО) показаний весов |
5.3.2 | |
3.3 Определение погрешности весов после выборки массы тары |
5.3.3 |
Номинальная масса нагрузок выбираются по таблице 4 |
Примечание - Средства поверки могут быть заменены аналогичными, обеспечивающими требуемую точность и пределы измерений. |
-
1.2 Основные технические характеристики весов приведены в таблице 2.
Таблица 2
Наименования характе-ристик |
Модификация весов | |||||||||
SPU123 |
SPU202 SPS202F |
SPU402 SPS402F |
SPU401 SPS401F |
SPS602F |
SPU601 SPS601F |
SPU2001 SPS2001F |
SPU4001 SPS4001F |
SPS6001F |
SPU6000 SPS6000F | |
Наибольший предел взвешивания (НПВ), г |
120 |
200 |
400 |
400 |
600 |
600 |
2000 |
4000 |
6000 |
6000 |
Наименьший предел взвешивания (НмПВ), г |
0,2 |
0,2 |
0,2 |
2 |
0,2 |
5 |
2 |
2 |
5 |
50 |
Дискретность отсчета, г |
0,001 |
0,01 |
0,01 |
0,1 |
0,01 |
0,1 |
0,1 |
0,1 |
0,1 |
1 |
Цена поверочного деления (е), г |
0,01 |
0,01 |
0,01 |
0,1 |
0,01 |
0,1 |
0,1 |
0,1 |
0,1 |
1 |
Число поверочных делений (п=НПВ/е) |
12000 |
20000 |
40000 |
4000 |
60000 |
6000 |
20000 |
40000 |
60000 |
6000 |
Пределы допускаемой погрешности при первичной поверке, + г От НмПВ до 5000е вкл. |
0,003 |
0,005 |
0,005 |
0,3 |
0,005 |
0,05 |
0,3 |
0,3 |
0,05 |
0,5 |
От 5000е до 20000е вкл. |
0,003 |
0,01 |
0,010 |
0,3 |
0,010 |
0,10 |
0,3 |
0,3 |
0,10 |
1 |
Св. 20000е |
0,003 |
- |
0,015 |
0,3 |
0,015 |
- |
0,3 |
0,3 |
0,15 |
- |
Наименования характеристик |
Модификация весов | |||||||||
SPU123 |
SPU202 SPS202F |
SPU402 SPS402F |
SPU401 SPS401F |
SPS602F |
SPU601 SPS601F |
SPU2001 SPS2001F |
SPU4001 SPS4001F |
SPS6001F |
SPU6000 SPS6000F | |
Пределы допускаемой погрешности при периодической поверке и в эксплуатации, ±г От НмПВ до 5000е вкл. От 5000е до 20000е вкл. Св. 20000е |
0,003 0,003 0,003 |
0,01 0,02 |
.....0,01............ 0,02........ .........0,03...... |
.............0,3................ 0,3 0,3 |
0,1 0,2 |
1 2 | ||||
0,01 |
0,1 |
0,3 0,3 0,3 |
0,3 ................0,3 | |||||||
0,02 0,03 |
0,2........ | |||||||||
0,3 |
0,3 |
- | ||||||||
Класс точности по ГОСТ 24104-2001 |
высокий |
- |
ВЫСОКИЙ |
- |
ВЫСОКИЙ | |||||
Диапазон выборки массы тары, % от НПВ |
0...100 | |||||||||
Параметры электрического питания: -от сети переменного тока: напряжение, В частота, Гц -от батарей: напряжение, В потребляемая мощность, ВА |
187...242 50±1 9 4 | |||||||||
Диапазон рабочих температур, °C |
от плюс 10 до плюс 40 | |||||||||
Габаритные размеры весов, (ДхВхШ), мм |
210x192x54 | |||||||||
Масса, не более, кг |
1,6 |
-
1.3 Номинальные значения массы нагрузок, применяемых для определения погрешности весов, СКО показаний весов приведены в таблице 3.
Таблица 3
Модификация весов |
Номинальные значения массы гирь, для определения (г): | ||
погрешности весов при; |
СКО показаний весов | ||
центрально-симметричном положении груза |
нецентральном положении груза | ||
SPU123 |
0,2; 5; 10; 20; 50; 70; 80; 90; 100; 120 |
40 (20 г + 20 г) |
120 |
SPU202, SPS202F |
0,2; 5; 10; 20; 50; 70; 100; 120; 150; 200 |
70 (50 г + 20 г) |
200 |
SPU402, SPS402F, SPU401*, SPS401F* |
0,2 (2*); 20; 50; 100; 150; 200; 250; 300; 350; 400 |
150 (100 г+ 50 г) |
400 |
SPS602F, SPU601*, SPS601F* |
0,2 (5*); 20; 50; 100; 150; 200; 300; 400; 500; 600 |
200 |
600 |
SPU2001, SPS2001F |
2; 50; 100 г; 200; 500; 700; 1000; 1200; 1500; 2000 |
700 (500 г + 200 г) |
2000 |
SPU4001, SPS4001F |
2; 200; 500; 1000; 1500; 2000; 2500; 3000; 3500; 4000 |
1200(1 кг+ 200 г) |
4000 |
SPS6001F, SPU6000*, SPS6000F* |
5 (50*); 200; 500; 1000; 1500; 2000; 3000; 4000; 5000; 6000 |
2000 |
6000 |
Примечание; для модификаций, обозначенных символом «*», номинальное значение массы гири для определения погрешности в точке НмПВ указано в скобках и также обозначено символом «*».
-
1.4 Номинальные значения массы нагрузок, применяемых для определения погрешности весов после выборки массы тары, приведены в таблице 4.
J Таблица 4
Модификация весов |
Номинальное значение массы, г: | |
тары |
нагрузок | |
SPU123 |
50 |
1; 5; 20; 50; 70 |
100 |
1; 5; 10; 15; 20 | |
SPU202, SPS202F |
50 |
1; 5; 20; 70; 150 |
150 |
1;5; 10; 20; 50 | |
SPU402, SPS402F, SPU401, SPS401F |
100 |
2; 50; 100; 200; 300 |
200 |
2; 50; 100; 150;200 | |
SPS602F, SPU601, SPS601F |
200 |
2; 100; 200; 300; 400 |
500 |
2; 20; 50; 70; 100 , | |
SPU2001, SPS2001F |
500 |
5; 200;500;1000; 1500 |
1000 |
5; 200; 500;700;1000 | |
SPU4001, SPS4001F |
1500 |
5;500;1000; 2000; 2500 |
3000 |
5; 200; 500; 700; 1000 | |
SPS6001F, SPU6000, SPS6000F |
2000 |
5;1000;2000; 3000; 4000 |
5000 |
5; 200; 500;700;1000 |
2 ТРЕБОВАНИЯ БЕЗОПАСНОСТИ
-
2.1 Следует соблюдать требования безопасности, изложенные в «Руководстве по эксплуатации весов» (далее - Руководство).
-
3 УСЛОВИЯ ПОВЕРКИ
-
3.1 При проведении поверки должны быть соблюдены следующие условия:
-
-
- температура воздуха в помещении должна быть от плюс 10°С до плюс 40°С;
-
- изменение температуры воздуха в помещении в течение 1 часа не должно превышать 2°С;
-
- относительная влажность воздуха от 30 до 80 %
-
3.2 Весы не должны устанавливаться вблизи отопительных систем и окон, не защищенных теплоизоляцией.
-
4 ПОДГОТОВКА К ПОВЕРКЕ
-
4.1 При подготовке к проведению поверки весов должны быть выполнены следующие требования:
-
- время выдержки распакованных весов в помещении перед началом поверки должно быть не менее 2 часов;
-
- перед проведением поверки весы должны быть установлены по уровню;
-
- перед проведением поверки весы должны быть включены в сеть и выдержаны во включенном состоянии не менее 30 минут, у весов имеющих ветрозащитные витрины дверцы должны быть открыты.
-
5 ПРОВЕДЕНИЕ ПОВЕРКИ
-
5.1 Внешний осмотр
-
При внешнем осмотре должно быть установлено соответствие весов следующим требованиям:
-
- отсутствие видимых повреждений сборочных единиц;
-
- наличие и сохранность маркировки и комплектующих изделий согласно комплекту поставки.
-
5.2 Опробование
-
5.2.1 После прогрева в течение 30 мин весы приводятся в рабочее состояние. Изображение цифр на дисплее весов должно быть четким.
-
5.2.2 Выполнить калибровку/юстировку весов в соответствии с Руководством по эксплуатации.
-
5.3 Определение метрологических характеристик
ВНИМАНИЕ. Регистрация показаний весов, имеющих ветрозащитную витрину, производится при закрытых дверцах витрины.
-
5.3.1 Определение погрешности весов
Определение погрешности весов следует производить при центрально - симметричном и при нецентральном положении груза на чашке.
-
5.3.1.1 При определении погрешности весов при центрально-симметричном положении груза на чашке установить нулевые показания на дисплее весов, нажав клавишу TARE, а затем поочередно нагружать и разгружать весы нагрузками, указанными в таблице 3, каждый раз фиксируя показания нагруженных весов. Гирю (гири) устанавливать в центр чашки весов.
Операцию следует проводить при возрастающей и убывающей нагрузке.
Погрешность весов при каждом i -ом измерении (Д,) определяют по формуле:
А, (1)
где /, - i -ое показание весов;
//(-действительное значение массы гирь, установленных на чашку весов;
г - порядковый номер измерения (/ =1, 2, 3,........10).
-
5.3.1.2 Погрешность весов при нецентральном положении груза на чашке весов определяют при однократном нагружении центра каждой четверти чашки весов, как показано на рисунке 1, гирями массой, указанной в таблице 3.
1
2
4
3
Рисунок 1
При каждом положении гирь фиксировать показания весов.
Погрешность весов при нецентральном положении груза при каждом i -ом измерении следует определять как разность показаний весов и действительного значения массы гирь по формуле (1).
Погрешность весов при каждом z -ом измерении не должна превышать пределов допускаемой погрешности, указанных в таблице 2.
-
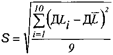
5.3.2 Определение СКО показаний весов
СКО показаний весов определяют гирями, указанными таблице 3, в следующей последовательности:
а) установить нулевые показания весов нажатием клавиши TARE снять первое показание не-нагруженных весов Lof,
б) поместить гирю в центр чашки весов, снять показания нагруженных весов Lpi после появления символа единицы измерения;
в) снять гирю с чашки, после появления символа единицы измерения снять второе показание ненагруженных весов Lof,
г) повторить операции по б) и в) до получения 10 показаний ненагруженных весов и 10 показаний нагруженных весов;
д) вычислить разности показаний нагруженных и ненагруженных весов по формуле
AL; Lpi Loj,
(2)
(3)
где i - порядковый номер измерения (/ = 1; 2; 3;......10).
е) вычислить среднее арифметическое значение разностей показаний по формуле
10
да =—— -
10
ж) вычислить CKO показаний весов по формуле

f
(4)
Полученное значение СКО показаний весов не должно превышать значений, указанных в таблице 2.
5.3.3 Определение погрешности весов после выборки массы тары
Определение погрешности весов после выборки массы тары следует проводить при центрально-симметричном нагружении и разгружении весов при двух значениях массы тары для пяти значений нагрузок, указанных в таблице 4, каждый раз фиксируя показания весов.
Суммарная масса тары и нагрузок не должна превышать НПВ весов.
Погрешность весов после выборки массы тары следует определять в следующей последовательности:
-
- установить нулевые показания на дисплее весов, нажав клавишу TARE;
-
- установить в центр чашки весов гирю (гири) массой, равной первому значению массы тары, указанному в таблице 4;
-
- произвести выборку массы тары, нажав клавишу TARE - на дисплее установятся нулевые показания;
-
- поочерёдно нагружать и разгружать платформу нагрузками, указанными в таблице 4, каждый раз фиксируя показания;
-
- выполнить аналогичные операции для второго значения массы тары.
Погрешность весов после выборки массы тары при каждом / -ом измерении следует определять как разность показаний весов и действительного значения массы гирь, помещенных на платформу после выборки массы тары, по формуле (1).
Погрешность весов после выборки массы тары при каждом z -ом измерении не должна превышать пределов допускаемой погрешности, указанных в таблице 2, в интервалах взвешивания для массы нетто.
-
6 ОФОРМЛЕНИЕ РЕЗУЛЬТАТОВ ПОВЕРКИ
-
6.1 Положительные результаты поверки весов должны оформляться в соответствии с правилами ПР 50.2.006-94 «геи. Порядок проведения поверки средств измерений».
-
6.2 В случае отрицательных результатов поверки весов к выпуску и применению не допускаются, выдаётся извещение о непригодности в соответствии с ПР 50.2.006-94.
-
Начальник лаборатории ФГУП «ВНИИМС»

А. Е. Рачковский
