Методика поверки «ГСИ. Приборы для отбора проб воздуха ПА-20М, ПА-40М, ПА-З00М» (МП 65-221-2010)
ФЕДЕРАЛЬНОЕ ГОСУДАРСТВЕННОЕ УНИТАРНОЕ ПРЕДПРИЯТИЕ УРАЛЬСКИЙ НАУЧНО-ИССЛЕДОВАТЕЛЬСКИЙ ИНСТИТУТ МЕТРОЛОГИИ (ФГУП «УНИИМ»)
Согласовано:


Государственная система обеспечения единства измерений
Приборы для отбора проб воздуха
ПА-20М, ПА-40М, ПА-300ММетодика поверки
МП 65-221-2010с изменением № 1
Екатеринбург 2016 '
Предисловие
-
1. Разработана: ФГУП «Уральский научно-исследовательский институт метрологии» (ФГУП “УНИИМ”)
-
2. Исполнитель: Тюрнина А.Е. ведущий инженер ФГУП «УНИИМ».
-
3. Утверждена ФГУП “УНИИМ” «12» октября 2010 г.
-
4. Издание с Изменением № 1, утвержденным 28 октября 2016 г.
Содержание
Приложение А Схемы подключения приборов при поверке
Т 88.5
|
Государственная система обеспечения единства измерений Приборы для отбора проб воздуха ПА-20М, ПА-40М, ПА-300М Методика поверки |
МП 65-221-2010 с изменением № 1 |
Введена с 12.10.2010 г.
1 Область примененияНастоящий документ распространяется па приборы для отбора проб воздуха ПА-20М, ПА-40М, ПА-300М (далее - приборы) по
ТУ 4215-008-39906142-2010, предназначенные для измерения заданного объема воздуха при отборе разовых и среднесменных проб воздуха атмосферы и рабочей зоны на загрязненность, и устанавливает методику их первичной и периодической поверок.
Интервал между поверками - один год.
2 Нормативные ссылки-
2.1 В настоящей методике использованы ссылки на следующие
нормативные документы:
ГОСТ Р 51945-2002 Аспираторы. Общие технические условия.
Приказ Минпромторга России № 1815 от 02 июля 2015 г. Об утверждении порядка проведения поверки средств измерений, требований к знаку поверки и содержанию свидетельства о поверке.
(Измененная редакция, Изм. № 1).
3 Операции поверки-
3.1 При проведении поверки выполняются операции, указанные в таблице 1.
Таблица 1 - Операции поверки
|
Наименование операции |
Номер пункта методики |
Проведение операции | |
|
при первичной поверке |
при периодической поверке | ||
|
Внешний осмотр |
8.1 |
+ |
+ |
|
Опробование |
8.2 |
+ |
+ |
|
Проверка электрического сопротивления изоляции цепей сетевого питания |
8.3 |
+ |
+ |
|
Проверка герметичности газовых каналов |
8.4 |
+ |
+ |
|
Определение относительной погрешности таймера и дискретности задания времени отбора пробы |
8.5 |
+ |
+ |
|
Определение основной приведенной погрешности приборов с ротаметрами |
8.6 |
+ |
+ |
|
Определение основной относительной погрешности приборов с датчиками расхода |
8.6 |
+ |
+ |
-
3.2 Если при выполнении хотя бы одной из операций по 3.1 будет установлено несоответствие прибора установленным требованиям, прибор бракуют.
-
4.1 При проведении поверки должны быть применены средства поверки и вспомогательное оборудование, указанные в таблице 2.
Таблица 2 - Средства поверки и вспомогательное оборудование приборов
|
Номер пункта методики |
Наименование и тип основного или вспомогательного средства поверки; обозначение нормативного документа, регламентирующего технические требования и (или) метрологические и основные технические характеристики средства поверки |
|
1 |
2 |
|
8.6 |
Эталон единицы расхода газа в диапазоне значений от 0,02 до 0,6 м3/ч (Счетчик газовый ГСБ-400). Класс точности 1. |
|
8.6 |
Эталон единицы расхода газа в диапазоне значений от 0,06 до 10,0 м3/ч (Счетчик газа BK-G6). Относительная погрешность ±1,5 %. |
Продолжение таблицы 2
|
1 |
2 |
|
7.1, 8.6 |
Барометр-анероид М-67. Диапазон измерения (610-790) мм рт. ст. Абсолютная погрешность ±0,8 мм рт. ст. |
|
8.4, 8,6 |
Мановакуумметр МВП-2,5. Диапазон измерения от минус 1 до плюс 2,5 кгс/см2, класс точности 0,05. |
|
8.3 |
Мегаомметр Ml 102/1. Выходное напряжение 500 В. Диапазон измерения (0-200) МОм, к.т. 1. |
|
8.4, 8.5, 8.6 |
Электросекундомер СЭЦ-10000 Щ. Диапазон измерения (0,01-10000) с, погрешность измерения ± (0,03-0,05) с. |
|
7.1, 8.6 |
Прибор ТКА-ПКМ, диапазон измерений относительной влажности (10-98)%, погрешность ± 5 %, диапазон измерений температуры (0-50) °C, погрешность ± 0,5°С. |
(Измененная редакция, Изм. № 1).
-
4.2 Средства поверки должны иметь действующие свидетельства о поверке или сертификаты о калибровке.
4.3Допускается применять другие средства поверки, которые по своим характеристикам удовлетворяют требованиям настоящей методики.
5 Требования безопасности-
5.1 При проведении поверки должны быть соблюдены требования безопасности, установленные в руководстве по эксплуатации на прибор и эксплуатационной документации на средства поверки, а также в «Правилах техники безопасности при эксплуатации электроустановок потребителей» и «Правилах технической эксплуатации электроустановок потребителей», утвержденных Госэнергонадзором и Госгортехнадзором.
-
6.1 К проведению поверки допускают лиц, изучивших руководство по эксплуатации на поверяемый прибор, эксплуатационную документацию на средства поверки, настоящую методику и прошедших обучение в качестве поверителей средств измерений теплотехнических величин.
-
7.1 При проведении поверки должны быть соблюдены следующие нормальные условия:
-температура окружающего воздуха, °C
20±5
80
84 - 106,7
220
-
- относительная влажность окружающего воздуха при температуре 25 °C, %, не более
-
- атмосферное давление, кПа
-напряжение питания сети переменного тока с частотой (50 ±1) Гц, В
-
7.2 Приборы перед поверкой должны находиться в условиях по 7.1 не менее 30 мин.
-
7.3 Перед проведением поверки должны быть выполнены подготовительные работы, указанные в руководстве по эксплуатации приборов и в эксплуатационной документации на средства поверки.
-
8.1 Внешний осмотр
-
8.1.1 При внешнем осмотре проверяют:
-
-
- комплектность прибора в соответствии с руководством по эксплуатации,
-
- отсутствие повреждений и дефектов, препятствующих применению прибора,
-
- наличие маркировки и четких обозначений.
-
8.1.2 Разукомплектованный, имеющий дефекты и отсутствие маркировки прибор к дальнейшей поверке не допускается.
-
8.2 Опробование
-
8.2.1 При опробовании проверяют:
-
-
- четкость работы органов управления;
-
- функционирование прибора в режимах, указанных в руководстве.
-
8.3 Проверка электрического сопротивления изоляции цепей сетевого питания
-
8.3.1 Электрическое сопротивление изоляции проверяют с помощью мегаомметра с напряжением 1000 В между любым крепежным винтом корпуса прибора и соединенными между собой контактами вилки сетевого шнура (сетевого адаптера).
-
8.3.2 Сопротивление изоляции должно быть не менее 40 МОм.
-
-
8.4 Проверка герметичности газовых каналов
-
8.4.1 Проверка герметичности газовых каналов приборов ПА-300М-1, ПА-300М-2 , ПА-300М-3
-
8.4.1.1 Проверку герметичности каналов 1(2) проводить в следующем порядке:
-
-
-
- включить прибор в режим отбора проб;
-
- установить заглушки на 1 и 2 каналы;
-
- включить электросекундомер.
-
8.4.1.2 Каналы герметичны, если отсутствует счет объема на цифровом индикаторе объема по истечении 1 мин.
-
8.4.1.3 Проверку герметичности каналов с расходом (0,2-1) л/мин , (1-3) л/мин, (1-20) л/мин проводить в следующем порядке:
-
- на каналы 1,2 испытуемого прибора установить заглушки;
-
- включить прибор, к испытываемому каналу подключить мановакуумметр;
полностью открыть регулировочный вентиль расхода канала, зафиксировать на мановакуумметре значение создаваемого разрежения, которое должно составлять не менее 2,5 кПа;
-
- регулятор расхода закрыть, включить электросекундомер и выключить прибор, по изменению давления на мановакуумметре определить негерметичность (натекание). Натекание не должно превышать 0,5 кПа за 2 мин.
8 .4.2 Проверка герметичности канала прибора ПА-20М-1 .
-
8.4.2.1 Проверку герметичности канала проводить в следующем порядке:
-
- отвинтить переднюю панель прибора;
-
- отключить трубку от насоса проверяемого канала и подключить двух ходовой кран к насосу и проверяемому каналу;
-
- к входному штуцеру канала подключить мановакууметр.
-
8.4.2.2 Открыть кран и включить прибор, зафиксировать разрежение, которое должно быть не менее 2,5 кПа. Закрыть кран, выключить прибор, включить электросекундомер и по изменению разряжения на мановакуумметре определить негерметичность (натекание). Натекание не должно превышать 0,5кПа за 2 мин.
-
8.4.3 Проверка герметичности канала прибора ПА-20М-3
-
8.4.3.1 Проверку герметичности канала проводить в следующем порядке:
-
- включить прибор в режим отбора проб;
-
- установить заглушку на канал;
-
- включить электросекундомер.
-
8.4.3.2 Канал герметичен, если отсутствует счет объема на цифровом индикаторе объема.
-
8.4.4 Проверка герметичности газового канала прибора ПА-20М-4.
-
8.4.4.1 Проверку герметичности канала проводить в следующем порядке:
-
- к входному штуцеру прибора подключить мановакуумметр, полностью открыть регулировочный винт расхода канала, зафиксировать на мановакуумметре значение создаваемого разрежения, которое должно составлять не менее 2,5 кПа;
-
- закрыть винт расхода канала, выключить прибор и включить электросекундомер;
-
8.4.4.2 По изменению давления на мановакуумметре определить негерметичность (натекание). Натекание не должно превышать 0,5 кПа за 2 мин.
-
8.4.5 Проверка герметичности каналов приборов ПА-40М-2 .
-
8.4.5.1 Проверку герметичности каналов проводить в следующем порядке:
-
- включить прибор в режим отбора проб;
-
- установить заглушки на 1 и 2 каналы;
-
- включить электросекундомер.
-
8.4.5.2 Каналы герметичны, если отсутствует счет объема на цифровом индикаторе объема по истечении 1 мин.
-
8.4.6 Проверка герметичности каналов ПА-40М-1, ПА-40М-3.
-
8.4.6.1 Проверку герметичности каналов с расходом (1-20) л/мин проводить
в следующем порядке:
-
- к каналу 1(2) подключить мановакуумметр, а канал 2(1) заглушить;
-
- полностью открыть регулировочный вентиль канала 1(2);
-
- включить 1(2) каналы;
полностью закрыть регулировочный вентиль расхода канала, зафиксировать на мановакуумметре значение создаваемого разряжения, которое должно составлять не менее 2,5 кПа;
-
- регулятор расхода закрыть, включить электросекундомер и выключить прибор, по изменению давления на мановакуумметре определить негерметичность (натекание). Натекание не должно превышать 0,5 кПа за 2 мин.
-
8.4.6.2 Проверку герметичности каналов с расходом (0,2-1) л/мин , (1-3) л/мин проводить в следующем порядке:
-
- к штуцеру проверяемого канала подключить мановакуумметр;
-
- полностью закрыть вентиль расхода канала;
-
- включить канал, и осторожно открывая регулировочный вентиль, установить разрежение на мановакуумметре не менее 2,5 кПа;
-
- закрыть вентиль и включить электросекундомер.
-
8.4.6.3 По изменению давления на мановакуумметре определить негерметичность (натекание). Натекание не должно превышать 0,5 кПа за 2мин.
8.5 Определение относительной погрешности таймера и дискретности задания времени отбора пробы
-
8.5.1 Определение относительной погрешности таймера производят с помощью электросекундомера при интервалах времени 2, 6, 30 мин.
-
8.5.2 Задают время отбора, включают любой канал прибора и одновременно включают электросекундомер. После автоматического отключения прибора выключают электросекундомер. Каждое измерение выполняют не менее 3 раз.
-
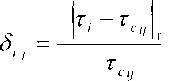
8.5.3 Относительную погрешность таймера рассчитывают по формуле

— xlOO%,
(8-1)
где Tj - i-интервал времени, заданный таймером, мин;
тс ij - i-интервал, зарегистрированный электросекундомером при j-измерении, мин.
-
8.5.4 Результаты считают положительными, если относительная погрешность таймера находится в интервале ±1% при задании времени до 2 мин включительно и в интервале ± 0,5 % - при времени свыше 2 мин.
-
8.6 Определение основной погрешности при измерении объема
-
8.6.1 Определение основной погрешности при измерении объема проводится с помощью газового счетчика и электросекундомера.
-
8.6.2 Определение основной погрешности проводится при расходах и времени, указанных в таблицах 3,4.
Таблица 3 - Значения расхода, времени и сопротивления ПА-20М, ПАЛОМ
|
Диапазоны расхода, л/мин |
Значения расхода, при которых определяется основная погрешность, л/мин |
Время, мин, не менее |
Сопротивление на входе канала, кПа, не менее | |||||||||
|
ПА-20М |
ПАЛОМ | |||||||||||
|
1 |
3 |
3-1 |
3-2 |
4 |
1 |
2 |
3 |
3-1 |
3-2 | |||
|
0,2-1,0 |
- |
- |
- |
- |
0,3 |
- |
0,3 |
0,3 |
0,3 |
5 |
2,5 | |
|
0,4 |
0,4 |
0,4 |
0,4 | |||||||||
|
0,6 |
0,6 |
0,6 |
0,6 | |||||||||
|
0,8 |
0,8 |
0,8 |
0,8 | |||||||||
|
1,0 |
1,0 |
1,0 |
1,0 | |||||||||
|
0,5-2,0 |
- |
- |
- |
0,5 |
- |
- |
- |
- |
- | |||
|
1,0 |
60 |
2,5 | ||||||||||
|
2,0 | ||||||||||||
|
1-3 |
- |
- |
- |
- |
- |
- |
- |
1 |
1 |
1 | ||
|
2 |
2 |
2 |
5 |
2,5 | ||||||||
|
3 |
3 |
3 | ||||||||||
|
1-20 |
- |
- |
- |
- |
- |
1 |
1 |
- |
- |
5 |
Фильтр | |
|
5 |
5 |
АФА-ВП-20 | ||||||||||
|
10 |
10 | |||||||||||
|
15 |
15 | |||||||||||
|
20 |
20 | |||||||||||
|
5-100 |
10 |
20 |
15 |
20 |
- |
- |
20 |
- |
20 |
- |
5 |
Фильтр |
|
15 |
25 |
20 |
40 |
25 |
25 |
АФА-ВП-20 | ||||||
|
20 |
30 |
60 |
30 |
30 | ||||||||
|
80 | ||||||||||||
|
100 | ||||||||||||
(Измененная редакция, Изм. № 1).
Таблица 4 - Значения расхода, времени и сопротивления ПА-300М
|
Диапазоны расхода, л/мин |
Значения расхода, при которых определяется основная погрешность, л/мин |
Время, мин, не менее |
Сопротивление на входе канала, кПа, не менее | ||||
|
ПА-300М | |||||||
|
1 |
1-1 |
1-2 |
2 |
3 | |||
|
0,2-1,0 |
- |
- |
- |
0,3; 0,4; 0,6; 0,8; 1,0 |
5 |
2,5 | |
|
1-20 |
- |
- |
- |
1, 5, 10, 15, 20 |
- |
5 |
фильтр АФА-ВП-20 |
|
60-100 |
60,80, 100 |
60,80, 100 |
60,80, 100 |
60,80,100 |
- |
10 |
фильтр АФА-ВП-20 |
|
100-200 |
- |
- |
- |
- |
100, 130, 160 |
10 |
фильтр АФА-ВП-20 |
(Измененная редакция, Изм. № 1).
-
8.6.3 Для определения основной приведенной погрешности приборов с ротаметрами (у) собирают схему согласно рисунку А. 1.
-
8.6.3.1 Включают и настраивают прибор на требуемый расход в соответствии с руководством по эксплуатации. На таймере устанавливают время отбора 5(60) мин. Выполняют измерения с помощью прибора и газового счетчика 3 раза.
-
8.6.3.2 Вращением вентиля ВН установить разрежение 2,5 кПа по вакуумметру ВО1. При необходимости произвести подстройку расхода. При помощи газового счетчика измерить объем газа.
-
8.6.3.3 Основную приведенную погрешность (уу) j-измерения прибора при i-расходе рассчитывают по формуле

где Уш - объем газа прошедшего через прибор, рассчитываемый по формуле
Vni = Qi
Р-293
101325 • (273 +1)

где Qi - расход воздуха, заданный по ротаметру на проверяемом канале в i-й точке диапазона расхода, л/мин;
т - время, установленное таймером, мин;
Р - атмосферное давление, Па;
t - температура окружающей среды, °C;
Кг - объем воздуха, зарегистрированный газовым счетчиком, приведенный к нормальным условиям, л;
Qb - верхний предел диапазона расхода канала прибора, л/мин.
-
8.6.4 Результаты считают положительными, если основная приведенная погрешность j-измерения прибора при i-расходе находится в интервале ± 5%.
-
8.6.5 Для определения основной относительной погрешности приборов с датчиками расхода (15 -200) л/мин собирают схему согласно рисунку А.2.
-
8.6.5.1 Включают прибор и устанавливают необходимое время отбора в соответствии с руководством по эксплуатации прибора.
-
8.6.5.2 Включают прибор в соответствии с руководством по эксплуатации. Выполняют измерения с помощью прибора и газового счетчика при расходах и времени, установленных в таблицах 3,4.
Измерения при каждом расходе выполняют не менее 3 раз.
-
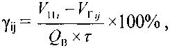
8.6.5.3 Рассчитывают основную относительную погрешность j-измерения прибора при i-расходе (5Д по формуле
Vni - Vrij
= ----------------- х100%. (8.4)
Vrij
-
8.6.6 Результат считают положительным, если основная относительная погрешность j-измерения прибора при i-расходе находится в интервале ± 5 %.
-
9.1 Результаты поверки заносят в протокол произвольной формы, который хранят в организации, проводившей поверку.
-
9.2 Прибор, удовлетворяющий требованиям настоящей методики, признают пригодным к применению.
-
9.3 При положительных результатах первичной поверки в руководстве по эксплуатации на прибор производится отметка о поверке с указанием даты поверки и подписи поверителя. При положительных результатах периодической поверки выдается свидетельство о поверке по форме приказа Минпромторга России № 1815 от 02.07.2015 г. Знак поверки наносится на свидетельство о поверке или в руководство по эксплуатации.
-
9.4 При отрицательных результатах поверки прибор в обращение не
допускают, свидетельство о поверке аннулируют, выдают извещение о непригодности по форме приказа Минпромторга России № 1815 от
02.07.2015 г. с указанием причин, в руководстве по эксплуатации указывают: «К применению не пригоден, подлежит ремонту».
(Измененная редакция, Изм. № 1).
Ведущий инженер ФГУП «УНИИМ»
А.Е. Тюрнина
Приложение А
Схемы подключения приборов при поверке
|
V |
V V V J LfJ l_iJ LyJ 1 1 1 ■ i ■ |
|
1 1 1 1 1 1 1 1 1 |
Вентиль
Рисунок А.1 - Схема определения основной погрешности приборов с ротаметрами
АФА-ВП-20
Рисунок А.2 - Схема определения основной погрешности приборов с датчиками расхода
12
