Методика поверки «ГСИ. СИСТЕМА ИЗМЕРЕНИЙ КОЛИЧЕСТВА И ПОКАЗАТЕЛЕЙ КАЧЕСТВА НЕФТИ № 625» (МП 0467-14-2016)
Федеральное государственное унитарное предприятие «Всероссийский научно - исследовательский институт расходометрии» (ФГУП «ВНИИР»)
ИНСТРУКЦИЯ
Государственная система обеспечения единства измерений
СИСТЕМА ИЗМЕРЕНИЙ КОЛИЧЕСТВА И ПОКАЗАТЕЛЕЙ КАЧЕСТВА НЕФТИ № 625
Методика поверки
МП 0467-14-2016
Начальник ЙИО-14
______Р.Н. Груздев
Тел. отдела: +7 (843) 299-70-52
Казань
2016
РАЗРАБОТАНА
ФГУП «ВНИИР»
ИСПОЛНИТЕЛИ
УТВЕРЖДЕНА
Загидуллин Р.И.
ФГУП «ВНИИР»
Настоящая инструкция распространяется на систему измерений количества и показателей качества нефти № 625 (далее - СИКН) и устанавливает методику периодической (первичной) поверки при эксплуатации, а так же после ремонта.
Интервал между поверками СИКН -12 месяцев.
1. Операции поверкиПри проведении поверки выполняют операции, приведенные в таблице 1. Таблица! - Операции поверки
|
Наименование операции Проверка комплектности технической документации |
Номер пункта инструкции 6.1 |
Проведение операции при | |
|
первичной поверке Да |
периодической поверке | ||
|
Нет | |||
|
Подтверждение соответствия программного обеспечения |
6.2 |
Да |
Да |
|
Внешний осмотр |
6.3 |
Да |
Да |
|
Опробование |
6.4 |
Да |
Да |
|
Определение метрологических характеристик |
6.5 |
Да |
Да |
2. Средства поверки
-
2.1 Установка поверочная трубопоршневая двунаправленная (далее - ТПУ), с верхним диапазоном измерений 650 м3/ч, пределы допускаемой относительной погрешности ± 0,1 %.
-
2.2 Средства поверки, указанные в нормативных документах (НД) на методики поверки СИ, входящих в состав СИКН, приведенных в таблице 3 настоящей инструкции.
-
2.3 Допускается применять другие аналогичные по назначению средства поверки утвержденных типов, если их метрологические характеристики аналогичны или лучше указанных в НД, приведенных в таблице 3 настоящей инструкции.
-
3.1 При проведении поверки соблюдают требования, определяемые:
-
- в области охраны труда - Трудовым кодексом Российской Федерации;
-
- в области промышленной безопасности - Федеральными нормами и правилами в области промышленной безопасности «Правила безопасности в нефтяной и газовой промышленности» (приказ Ростехнадзора от 12 марта 2013 г. № 101 «Об утверждении Федеральных норм и правил в области промышленной безопасности «Правила безопасности в нефтяной и газовой промышленности»), Руководством по безопасности «Рекомендации по устройству и безопасной эксплуатации технологических трубопроводов» (приказ № 784 от 27 декабря 2012 г. «Об утверждении Руководства по безопасности «Рекомендации по устройству и безопасной эксплуатации технологических трубопроводов»), а также другими действующими отраслевыми НД;
-
- в области пожарной безопасности - Федеральным законом Российской Федерации от 22 июля 2008 г. № 123-ФЗ «Технический регламент о требованиях пожарной безопасности», Постановлением Правительства Российской Федерации от 25 апреля 2012 г. № 390 «О противопожарном режиме» (вместе с «Правилами противопожарного режима в Российской Федерации»), СНиП 21.01-97 (с изм. № 1,2) «Пожарная безопасность зданий и сооружений»;
-
- в области соблюдения правильной и безопасной эксплуатации электроустановок -Правилами технической эксплуатации электроустановок потребителей;
-
- в области охраны окружающей среды - Федеральным законом Российской Федерации от 10 января 2002 г. № 7-ФЗ (ред. 12 марта 2014 г.) «Об охране окружающей среды» и другими действующими законодательными актами на территории РФ.
-
3.2 В соответствии с классификацией помещений и наружных установок по взрывопожарной и пожарной опасности помещение СИКН относится к категории А Свода правил СП 12.13130.2009 «Определение категории помещений, зданий и наружных установок по взрывопожарной и пожарной опасности», а по классу взрывопожарных зон - В-1а по Правилам устройства электроустановок, по категории и группе взрыво-пожароопасной смеси - ПА - ТЗ по ГОСТ 30852.13-2002 «Электрооборудование взрывозащищённое. Часть 14. Электроустановки во взрывоопасных зонах (кроме подземных выработок)».
-
3.3 Площадка СИКН должна содержаться в чистоте без следов нефти и должна быть оборудовано первичными средствами пожаротушения согласно Правил противопожарного режима в Российской Федерации.
-
3.4 СИ и вспомогательные устройства, применяемые при выполнении измерений, должны иметь взрывозащищенное исполнение в соответствии с требованиями ГОСТ 30852.0-2002 «Электрооборудование взрывозащищённое. Часть 0. Общие требования».
-
3.5 Вторичную аппаратуру и щиты управления относят к действующим электроустановкам с напряжением до 1000 В, на которые распространяются Правила технической эксплуатации электроустановок потребителей, Правила устройства электроустановок.
-
3.6 В целях безопасной эксплуатации и технического обслуживания СИКН разрабатываются инструкция по эксплуатации СИКН, инструкции по видам работ, регламент взаимоотношений между диспетчерскими службами принимающей и сдающей сторон.
При проведении поверки соблюдают условия в соответствии с требованиями НД на методики поверки СИ, входящих в состав СИКН.
Характеристики измеряемой среды при проведении поверки должны соответствовать требованиям, приведенным в таблице 2.
Соответствие характеристик измеряемой среды указанным в таблице 2 проверяют по данным актов приема-сдачи нефти.
Таблица2 - Характеристики СИКН и измеряемой среды
|
Наименование характеристики |
Значение характеристики |
|
Измеряемая среда |
Нефть по ГОСТ Р 51858-2002 «Нефть. Общие технические условия» |
|
Расход измеряемой среды через СИКН:
|
50 (57) 500 (591) |
|
Давление измеряемой среды, МПа: - рабочее |
От 0,5 до 2,5 |
Окончание таблицы 2 - Характеристики СИКНи измеряемой среды
|
Наименование характеристики |
Значение характеристики |
|
Суммарные потери давления на СИКН при максимальном расходе и максимальной вязкости, МПа, не более - в рабочем режиме -в режиме поверки и контроля метрологических характеристик (КМХ) |
0,2 0,4 |
|
Режим работы СИКН |
Постоянный, автоматизированный |
|
Физико-химические показатели измеряемой среды | |
|
Вязкость кинематическая измеряемой среды при 10 °C, сСт, не более |
54,18 |
|
Плотность измеряемой среды в рабочем диапазоне температуры, кг/м3 |
От 845,9 до 870,8 |
|
Диапазон температуры измеряемой среды, °C |
От 10 до 45 |
|
Массовая доля воды, %, не более |
0,5 |
|
Массовая концентрация хлористых солей, мг/дм3, не более |
100 |
|
Массовая доля механических примесей, %, не более |
0,05 |
|
Содержание свободного газа |
Не допускается |
5. Подготовка к поверке
Подготовку средств поверки и СИКН осуществляют в соответствии с их эксплуатационной документацией.
6. Проведение поверки-
6.1 Проверка комплектности технической документации
Проверяют наличие:
-
- действующих свидетельств о поверке и (или) знаков поверки на СИ, приведенные в таблице 2 настоящей инструкции;
-
- действующих сертификатов о калибровке и (или) оттисков калибровочных клейм на СИ, приведенные в таблице 3 настоящей инструкции;
-
- эксплуатационно-технической документации на СИКН и СИ, входящие в ее состав.
-
6.2 Подтверждение соответствия программного обеспечения (ПО)
-
6.2.1 Определение идентификационных данных ПО контроллера измерительновычислительного OMNI 6000 (далее - ИВК) проводят в следующей последовательности:
-
-
- включить питание ИВК;
-
- на передней панели ИВК в режиме индикации нажать клавиши «Статус», «Дисплей»;
-
- нажатием клавиши «|» (стрелка вниз) перемещаемся до конца списка;
-
- на экран ИВК выводятся идентификационный номер ПО и контрольная сумма ПО.
-
6.2.2 Определение идентификационных данных ПО автоматизированного рабочего места (АРМ) оператора «RATE АРМ оператора УУН» (далее - «RATE АРМ оператора УУН») проводят в соответствии с его руководством пользователя в следующей последовательности:
-
- включить программу «RATE АРМ оператора УУН»
-
- зайти в меню «Справка» —> «О Программе»
-
- в появившимся диалоговом окне будут указаны идентификационные «RATE АРМ оператора УУН».
Полученные результаты идентификации ПО СИКН должны соответствовать данным указанным в описании типа на СИКН.
В случае, если идентификационные данные ПО СИКН не соответствуют данным указанным в описании типа на СИКН, поверку прекращают. Выясняют и устраняют причины вызвавшие несоответствие. После чего повторно проверяют идентификацию данные ПО СИКН.
-
6.3 Внешний осмотр
При внешнем осмотре должно быть установлено соответствие СИКН следующим требованиям:
-
- комплектность СИКН должна соответствовать технической документации;
-
- на компонентах СИКН не должно быть механических повреждений и дефектов покрытия препятствующих применению;
-
- надписи и обозначения на компонентах СИКН должны быть четкими и соответствовать технической документации.
-
6.4 Опробование
-
6.4.1 Опробование проводят в соответствии с НД на поверку средств измерений, входящих в состав СИКН.
-
6.4.2 Проверяют действие и взаимодействие компонентов в соответствии с инструкцией по эксплуатации СИКН, возможность получения отчета.
-
6.4.3 Проверяют герметичность СИКН.
-
На элементах и компонентах СИКН не должно быть следов протечек нефти.
-
6.5 Определение метрологических характеристик
-
6.5.1 Определение метрологических характеристик СИ, входящих в состав СИКН.
-
Определение метрологических характеристик СИ, входящих в состав СИКН, проводят в
соответствии с НД, приведенными в таблице 3.
ТаблицаЗ - СИ и методики их поверки
|
Наименование СИ |
НД |
Межповерочный интервал, месяцы |
|
Счетчики-расходомеры массовые Micro Motion (модели CMF 400) в комплекте с измерительными преобразователями серии 2700 (далее - СРМ) |
МИ 3151-2008 Рекомендация. ГСИ. Преобразователи массового расхода. Методика поверки на месте эксплуатации трубопоршневой поверочной установкой в комплекте с поточным преобразователем плотности |
12 |
|
Преобразователи плотности жидкости измерительные (мод. 7835) |
МИ 2403-97 Рекомендация. ГСИ. Преобразователи плотности поточные вибрационные «Солартрон» типов 7830, 7835 и 7840. Методика поверки на месте эксплуатации. МИ 2816-2012 ГСИ. Преобразователи плотности поточные. Методика поверки на месте эксплуатации |
12 |
|
Датчики температуры 644 |
Инструкция. Датчики температуры 644, 3144Р. Методика поверки, согласованной с ГЦИ СИ ФГУП «ВНИИМС», август 2008 г. |
12 |
Окончание таблицы 3 - СИ и методики их поверки
|
Наименование СИ |
нд |
Межповерочный интервал, месяцы |
|
Преобразователи давления измерительные 3051 |
МП 14061-10 Преобразователи давления измерительные 3051. Методика поверки МИ 1997-98 ГСИ. Преобразователи давления измерительные. Методика поверки |
12 |
|
Манометры для точных измерений типа МТИ |
МИ 2124-90 Рекомендация. ГСИ. Манометры, вакуумметры, мановакуумметры, напоромеры, тягомеры и тягонапоромеры показывающие и самопишущие. Методика поверки |
12 |
|
Преобразователи плотности и вязкости жидкости измерительные (мод. 7829) |
МИ 3302-2010 Рекомендация. ГСИ. Преобразователи плотности и вязкости жидкости измерительные модели 7827 и 7829. Методика поверки |
12 |
|
Влагомеры нефти поточные модели LC (далее - ВП) |
МИ 2643-2004 ГСИ. Влагомеры Методика поверки «Влагомеры поточные моделей L,M,F фирмы «Phase Dynamics, Inc.» (США). Методика поверки МИ 2861-2004 ГСИ. Влагомеры поточные подули L фирмы Phase Dynamics, Inc. (США). Методика поверки на месте эксплуатации |
12 |
|
Термометры ртутные стеклянные лабораторные ТЛ-4 |
ГОСТ 8.279-78 ГСИ. Термометры жидкостные стеклянные рабочие. Методика поверки |
36 |
|
Контроллеры измерительновычислительные OMNI 6000 (далее - ИВК) |
МИ 3156-2008 ГСИ. Измерительновычислительные контроллеры OMNI-6000, OMNI-3000, входящие в состав систем измерений количества и показателей качества нефти и нефтепродуктов. Методика поверки |
12 |
СИ, не участвующие в определении массы нефти или результаты измерений которых не влияют на погрешность измерений массы нефти, подлежат калибровке в соответствии с действующими НД, приведенными в таблице 4.
Таблица4
|
Наименование СИ |
нд |
Интервал между калибровками, месяцы |
|
Счетчик жидкости турбинный CRA/MRT 97 |
Документ «Счетчики жидкости турбинные CRA/MRT97. Методика поверки», утвержденным ГЦИ СИ ФГУП «ВНИИМ им. Д.И. Менделеева» 02.10.2001 г. |
12 |
|
Преобразователи давления измерительные 3051 CD |
МП 14061-10 Преобразователи давления измерительные 3051. Методика поверки |
12 |
-
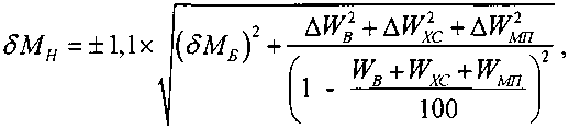
6.5.2 Определение относительной погрешности измерений массы (брутто, нетто) нефти СИКН.
При прямом методе динамических измерений относительную погрешность измерений массы брутто нефти СИКН принимают равной относительной погрешности измерений массы нефти СРМ. Относительная погрешность измерений массы брутто нефти не должна превышать ± 0,25 %.
Относительную погрешность СИКН при измерении массы нетто нефти %,
определяют по формуле

(1)
где дрГд - абсолютная погрешность измерений массовой доли воды в лаборатории, %, вычисляется по формуле (6); при измерении объемной доли воды ВП вычисляется по формуле
Ы?в
&Рв*Рв
Рн
(2)
где \(рв- абсолютная погрешность измерений объемной доли воды ВП, %;
рв - плотность воды при условиях измерений <рв, кг/м3;
Рн - плотность нефти при условиях измерений <рв, кг/м3;
ДРГМЛ - абсолютная погрешность измерений массовой доли механических примесей в нефти, %;
- абсолютная погрешность измерений массовой доли хлористых солей в нефти, %, вычисляемые по формуле
ди;с=о,1х^, О)Рн
где ^Рхс ~ абсолютная погрешность измерений массовой концентрации хлористых солей в нефти, мг/дм3, по формуле (6);
р^' - плотность нефти при условиях измерений <Рхс> кг/м3;
WB - массовая доля воды в нефти, %, определенная в лаборатории;
При измерении объемной доли воды ВП массовая доля воды вычисляется ИВК по формуле
<4)
Рн
где <рв - объемная доля воды в нефти, %, измеренная ВП;
WMn - массовая доля механических примесей в нефти, %, определенная в лаборатории;
Wxc - массовая доля хлористых солей в нефти, %, определенная в лаборатории и вычисляемая по формуле
(5)
Рн
где (рхс - массовая концентрация хлористых солей в нефти, мг/дм3, определенная в лаборатории.
Абсолютную погрешность измерений массовой доли воды, массовой концентрации хлористых солей и массовой доли механических примесей в нефти определяют в соответствии с ГОСТ Р 8.580-2001 «ГСИ. Определение и применение показателей точности методов испытаний нефтепродуктов ».
Для доверительной вероятности Р = 0,95 и двух измерений соответствующего показателей качества нефти абсолютную погрешность его измерений вычисляют по формуле
V2
(6)
где R и г - пределы воспроизводимости и повторяемости (сходимости) метода определения соответствующего показателя качества нефти, значения которых приведены в ГОСТ 2477-65 «Нефть и нефтепродукты. Метод определения содержания воды»,
ГОСТ 21534-76 «Нефть. Методы определения содержания хлористых солей»,
ГОСТ 6370-83 «Нефть, нефтепродукты и присадки. Метод определения механических примесей».
Относительная погрешность измерений массы нетто нефти не должна превышать ± 0,35 %.
7. Оформление результатов поверки-
7.1 При положительных результатах поверки оформляют свидетельство о поверке СИКН в соответствии с документом «Порядок проведения поверки средств измерений, требования к знаку поверки и содержанию свидетельства о поверке», утвержденным Приказом Минпромторга России от 02 июля 2015 г. № 1815 (далее - Порядок проведения поверки СИ). Знак поверки наносится на свидетельство о поверке СИКН.
На оборотной стороне свидетельства о поверке СИКН указывают диапазон измерений массового расхода и пределы допускаемой относительной погрешности измерений массы брутто и массы нетто нефти.
Знак поверки наносится на свидетельство о поверке СИКН.
-
7.2 При отрицательных результатах поверки СИКН к эксплуатации не допускают, свидетельство о поверке аннулируют и выдают извещение о непригодности в соответствии с Порядком проведения поверки СИ.
9
