Методика поверки «Система измерительно-управляющая установки №18 ООО «ЛУКОЙЛ-Волгограднефтепереработка»» (МП 0804/1-311229-2021)
-
< гциси
сТп
-
< МП J
Уникальный номер записи об аккредитации в реестре аккредитованных лиц RA.RU.311229
АСОВАНО»
^т^тор по испытаниям Логии «СТП»
•В. Фефелов
2021 г.

Государственная система обеспечения единства измерений
Система измерительно-управляющая установки №18
ООО «ЛУКОЙЛ-Волгограднефтепереработка»
МЕТОДИКА ПОВЕРКИ
МП 0804/1-311229-2021
г. Казань
2021
1 Общие положения-
1.1 Настоящая методика поверки распространяется на систему измерительно-управляющую установки №18 ООО «ЛУКОЙЛ-Волгограднефтепереработка» (далее-ИС), заводской № 05, и устанавливает методику первичной поверки до ввода в эксплуатацию и после ремонта, а также методику периодической поверки в процессе эксплуатации.
-
1.2 Поверка ИС проводится поэлементно:
-
- поверка первичных измерительных преобразователей (далее - ИП), входящих в состав ИС, осуществляется в соответствии с их методиками поверки;
-вторичную («электрическую») часть ИС поверяют на месте эксплуатации ИС в соответствии с настоящей методикой поверки;
-
- метрологические характеристики измерительных каналов (далее - ИК) ИС определяют в соответствии с настоящей методикой поверки.
ИС прослеживается:
-
- к Государственному первичному эталону единицы силы постоянного электрического тока в соответствии с государственной поверочной схемой для средств измерений силы постоянного электрического тока в диапазоне от Г10'’^ до 100 А, утвержденной приказом Росстандарта № 2091 от 1.10.2018 г.;
-
- к Государственному первичному эталону единицы электрического сопротивления в соответствии с государственной поверочной схемой для средств измерений электрического сопротивления постоянного и переменного тока, утвержденной приказом Росстандарта №3456 от 30.12.2019 г.;
-к Государственному первичному эталону единицы электрического напряжения в соответствии с государственной поверочной схемой для средств измерений постоянного электрического напряжения и электродвижущей силы, утвержденной приказом Росстандарта №3457 от 30.12.2019 г.;
-
- к Государственным первичным эталонам государственных поверочных схем средств измерений, применяемых в качестве первичных ИП, входящих в состав ИК ИС.
-
1.3 Допускается проведение поверки ИС в части отдельных ИК в соответствии с заявлением владельца ИС с обязательным указанием в Федеральном информационном фонде по обеспечению единства измерений информации об объеме проведенной поверки.
При проведении поверки должны быть вьшолнены операции, представленные в таблице 1.
Таблица 1 - Перечень операций поверки
Наименование операции |
Номер пункта методики поверки |
Проведение операции | |||
При первичной поверке |
При периодической поверке | ||||
Перед вводом в эксплуатацию |
После ремонта (замены) ИП ИК |
После ремонта (замены) связующих компонентов ИК | |||
Внещний осмотр средства измерений |
7 |
Да |
Да |
Да |
Да |
Подготовка к поверке и опробование средства измерений |
8 |
Да |
Да |
Да |
Да |
Проверка программного обеспечения средства измерений |
9 |
Да |
Да |
Да |
Да |
Определение метрологических характеристик средства измерений |
10 |
Да |
Да |
Да |
Да |
При проведении поверки должны соблюдаться следующие условия:
-температура окружающей среды в месте установки средств измерений, °C
(25±15)
от 30 до 80 от 84,0 до 106,7
-
- относительная влажность воздуха, %
-
- атмосферное давление, кПа
К работе по поверке должны допускаться лица:
-достигшие 18-летнего возраста;
-
- прошедшие инструктаж по технике безопасности в установленном порядке;
-
- изучившие эксплу’атационную документацию на ИС, средства измерений, входящие в состав ИС, и средства поверки;
-
- изучившие требования безопасности, действующие на территории объектов ООО «ЛУКОЙЛ-Волгограднефтепереработка», а также предусмотренные «Правилами технической эксплуатации электроустановок потребителей».
-
5.1 При проведении поверки ИС применяют средства поверки, указанные в таблице 2.
Таблица 2 -
Перечень средств поверки
Номер пункта методики поверки
Наименование и тип (условное обозначение) основного или вспомогательного средства поверки; обозначение нормативного документа, регламентирующего технические требования, и (или) метрологические и основные технические характеристики средства поверки
Пример возможного средства поверки с указанием наименования, заводского обозначения, а при наличии - обозначения типа, модификации
7-10
Средство измерений температуры окружающей среды: диапазон измерений от 10 до 40 °C, пределы допускаемой основной абсолютной погрешности измерений ±0,5 °C
Термогигрометр ИВА-6
(регистрационный номер 46434-11 в Федеральном информационном фонде по обеспечению единства
измерений)
Средство измерений относительной влажности окружающей среды: диапазон измерений от 30 до 80 %, пределы допускаемой основной абсолютной погрешности измерений ±5 %
Средство измерений атмосферного давления: диапазон измерений от 84 до 107 кПа, пределы допускаемой абсолютной погрешности
измерений атмосферного давления ±0,5 кПа
10.2
Средство воспроизведения силы постоянного тока от 4 до 20 мА, пределы допускаемой абсолютной погрешности ±5 мкА
Калибратор многофункциональный MCx-R модификации
MC5-R-IS
(регистрационный номер 22237-08 в Федеральном информационном фонде по обеспечению единства
измерений) (далее -
калибратор)
10.3
Средство воспроизведения сигналов
термопреобразователей сопротивления типа Pt 100 по ГОСТ 6651-2009 в диапазоне измеряемых температур от -50 до 450 °C, пределы допускаемой основной погрешности воспроизведения ±0,10 °C в диапазоне
Калибратор
Номер пункта методики поверки
Наименование и тип (условное обозначение) основного или вспомогательного средства поверки; обозначение нормативного документа, регламентирующего технические требования, и (или) метрологические и основные технические характеристики средства поверки
Пример возможного средства поверки с указанием наименования, заводского обозначения, а при наличии - обозначения типа, модификации
температур от минус 50 до 0 °C, пределы допускаемой основной погрешности
воспроизведения ±(0,1 °C ± 0,025 % показания) в диапазоне температур от 0 до 450 °C
10.3
Средство воспроизведения сигналов термопар типа «К» по ГОСТ Р 8.585-2001 в диапазоне измеряемых температур от -40 до 1000 °C, пределы допускаемой основной погрешности ±(0,1 °C ± 0,1 % показания °C) в диапазоне температур от -40 до 0 °C, пределы допускаемой основной погрешности ±(0,1 °C ± 0,02 % показания) в диапазоне температур от 0 до 1000 °C
Калибратор
10.4
Средство воспроизведения электрического сопротивления от 80,31 до 197,71 Ом, пределы допускаемой основной погрешности ±0,08 Ом
Калибратор
10.5
Средство измерения силы постоянного тока от 4 до 20 мА, пределы допускаемой абсолютной погрешности ±10 мкА
Калибратор
-
5.2 Допускается применение аналогичных средств поверки, обеспечивающих определение метрологических характеристик ИС с требуемой точностью.
-
5.3 Применяемые эталоны и средства измерений должны соответствовать требованиям нормативных правовых документов Российской Федерации в области обеспечения единства измерений.
-
6.1 При проведении поверки должны соблюдаться требования:
-
- корпуса применяемых средств измерений (далее - СИ), компонентов ИС, работающих под напряжением, должны быть заземлены в соответствии с их эксплуатационной документацией;
-
- ко всем используемым СИ, компонентам ИС должен быть обеспечен свободный доступ для заземления, настройки и измерений;
-
- работы по соединению вспомогательных устройств должны выполняться до подключения к сети питания;
-
- обеспечивающие безопасность труда, производственную санитарию и охрану окружающей среды;
-
- предусмотренные «Правилами технической эксплуатации электроустановок потребителей», правилами промьппленной безопасности и охраны труда, действующими на территории объектов ООО «ЛУКОЙЛ-Волгограднефтепереработка», Федеральными нормами и правилами в области промьппленной безопасности «Правила безопасности в нефтяной и газовой промышленности», эксплуатационной документацией ИС, ее компонентов и применяемых средств поверки;
-
- предусмотренные другими документами, действующими на территории объектов ООО «ЛУКОЙЛ-Волгограднефтепереработка» в сфере безопасности, охраны труда и окружающей среды.
-
6.2 При появлении утечек газа, загазованности и других ситуаций, нарушающих нормальный ход работ, поверку прекращают.
-
7.1 При внешнем осмотре проверяют:
-
- соответствие СИ, входящих в состав ИС, монтажа, маркировки и пломбировки компонентов ИС требованиям технической и эксплуатационной документации ИС;
-
- заземление компонентов ИС, работающих под напряжением;
-
- отсутствие повреждений и дефектов, препятствующих проведению поверки ИС.
-
7.2 Результаты внешнего осмотра считают положительными, если состав и комплектность ИС, монтаж, маркировка и пломбировка составных частей и компонентов ИС соответствуют требованиям технической и эксплуатационной документации ИС, компоненты ИС, работающие под напряжением, заземлены, а также отсутствуют повреждения и дефекты, препятствующие проведению поверки ИС.
-
8.1 Проверяют отсутствие сообщений об ошибках и соответствие текущих измеренньк значений параметров технологического процесса данным, отраженным в описании типа ИС.
-
8.2 Результаты опробования считают положительными, если отсутствуют сообщения об ошибках и текущие измеренные ИС значения измеряемых значений параметров технологического процесса находятся внутри диапазонов, отраженных в описании типа ИС.
-
9.1 Проверку программного обеспечения (далее- ПО) проводят сравнением идентификационных данных ПО ИС с идентификационными данными ПО, зафиксированными при испытаниях в целях утверждения типа ИС и отраженными в описании типа ИС.
-
9.2 Результаты проверки ПО ИС считают положительными, если идентификационные данные ПО ИС совпадают с указанными в описании типа ИС.
1 о Определение метрологических характеристик средства измерений
10.1 Проверка результатов поверки СИ, входящих в состав первичных измерительных преобразователей ИСПроверяют наличие сведений о поверке СИ, входящих в состав первичных ИП ИС.
10.2 Определение основной приведенной к диапазону измерений погрешности преобразования входного аналогового сигнала силы постоянного тока от 4 до 20 мА-
10.2.1 Отключают первичный ИП от ИК (при наличии). Ко вторичной части ИК, включая барьер искрозащиты (при наличии), подключают калибратор и задают электрический сигнал силы постоянного тока. В качестве контрольных точек принимают точки 4; 8; 12; 16; 20 мА.
-
10.2.2 В каждой контрольной точке вычисляют приведенную к диапазону измерений погрешность Yj, %, по формуле
= 1»ам---Ьт . 100 ,
(1)
' 16
где - значение силы постоянного тока, измеренное ИС, мА;
изм
- значение силы постоянного тока, заданное калибратором, мА.
-
10.2.3 Если показания ИС можно просмотреть только в единицах измеряемой величины, то:
а) при линейной функции преобразования значение силы тока , мА, рассчитывают по формуле
^изм -у -у (^изм ^min) "^ ^ ,
‘^тах '^min
настроенный верхний предел измерений ИК, соответствующий значению силы тока 20 мА, в абсолютных единицах измерений;
настроенный нижний предел измерений ИК, соответствующий значению силы тока 4 мА, в абсолютных единицах измерений;
значение измеряемого параметра, соответствующее задаваемому аналоговому сигналу силы постоянного тока от 4 до 20 мА, в абсолютных единицах измерений. Считывают с монитора операторской станции управления;
б) при функции преобразования с корнеизвлечением значение силы тока , мА, рассчитывают по формуле
где X
max
\.п
изм
(3)
X — X
\ ^тах min J
10.3 Определение основной абсолютной погрешности измерений сигналов термопреобразователей сопротивления и термопар-
10.3.1 Отключают первичный ИП от ИК (при наличии). Ко вторичной части ИК, включая барьер искрозащиты (при наличии), подключают калибратор и задают электрический сигнал термопреобразователя сопротивления или термопары в соответствии с эксплуатационной документацией. В качестве контрольных точек принимают точки, соответствующие 0; 25; 50; 75; 100 % диапазона измерений ИК.
-
10.3.2 В каждой контрольной точке вычисляют основную абсолютную погрешность Aj, %, по формуле
^изм ^эт ’
значение температуры, соответствующее показанию ИС, °C; показание калибратора, °C.
(4)
где
10.4 Определение основной приведенной к диапазону измерений погрешности измерений сигналов электрического сопротивления-
10.4.1 Отключают первичный ИП от ИК (при наличии). Ко вторичной части ИК, включая барьер искрозащиты (при наличии), подключают калибратор и задают сигнал электрического сопротивления. В качестве контрольных точек принимают точки, соответствующие 0; 25; 50; 75; 100 % диапазона измерений ИК.
-
10.4.2 В каждой контрольной точке вычисляют основную приведенную погрешность 7^, %, по формуле:
где R
изм
R»
п
^тах
Rmin
. ;оо
R _ Р
^тах ■*^min
значение электрического сопротивления, соответствующее показанию ИС, Ом;
показание калибратора. Ом; настроенный верхний
сопротивления. Ом; настроенный нижний
сопротивления. Ом.
предел
предел
(5)
измерений
измерений
электрического
электрического
-
10.5.1 Отключают управляемое устройство ИК и к соответствующему каналу, включая барьер искрозащиты (при наличии), подключают калибратор, установленный в режим измерения сигналов силы постоянного тока от 4 до 20 мА, в соответствии с инструкцией по эксплуатации.
-
10.5.2 С операторской станции управления задают не менее пяти значений управляемого параметра. В качестве контрольных точек принимают точки, соответствующие 0; 25; 50; 75; 100 % диапазона выходного аналогового сигнала силы постоянного тока от 4 до 20 мА.
-
10.5.3 Считывают значения воспроизводимого аналогового сигнала с калибратора и в каждой контрольной точке рассчитывают основную приведенную погрешность ИК воспроизведения силы тока , %, по формуле
_ ^восир ^ЭТ_ИЗМ 1 ЛА у 1вых J ’
(6)
где 1воспр - значение тока, соответствующее воспроизводимому параметру ИС, мА;
^эт_изм - значение силы постоянного тока, измеренное калибратором, мА.
-
10.5.4 Результаты поверки по 10.5 считают положительными, если рассчитанная по формуле (6) основная приведенная погрешность ИК воспроизведения силы тока не выходит за пределы, установленные в приложении А настоящей методики.
При положительных результатах поверки по 10.1 - 10.3 основная погрешность ИК ИС и погрешность ИК ИС в рабочих условиях не выходит за пределы, установленные в приложении А настоящей методики.
11 Подтверждение соответствия средства измерений метрологическим требованиям-
11.1 ИС соответствует метрологическим требованиям, установленным при утверждении типа, результаты поверки ИС считают положительными, если:
-по результатам поверки по 10.1 первичные ИП из состава ИС поверены в соответствии с порядком, утвержденным законодательством Российской Федерации в области обеспечения единства измерений, и допущены к применению;
-
- по результатам поверки по 10.2 рассчитанная по формуле (1) основная приведенная к диапазону измерений погрешность преобразования входного аналогового сигнала силы постоянного тока от 4 до 20 мА в каждой контрольной точке не выходит за пределы, указанные в приложении А настоящей методики поверки;
-
- по результатам поверки по 10.3 рассчитанная по формуле (4) основная абсолютная погрешность измерений сигналов термопреобразователей сопротивления или термопар в каждой контрольной точке не выходит за пределы, указанные в приложении А настоящей методики поверки;
-
- по результатам поверки по 10.4 рассчитанная по формуле (5) основная приведенная погрешность измерений сигналов электрического сопротивления не выходит за пределы, указанные в приложении А настоящей методики поверки;
-
- по результатам поверки по 10.5 рассчитанная по формуле (6) основная приведенная погрешность ИК воспроизведения силы тока не выходит за пределы, установленные в приложении А настоящей методики.
Результаты поверки оформляют протоколом поверки произвольной формы с указанием даты проведения поверки, условий проведения поверки, применяемых средств поверки, результатов поверки, заключения по результатам поверки.
Результаты поверки оформляются в соответствии с порядком, утвержденным законодательством Российской Федерации в области обеспечения единства измерений.
По заявлению владельца средства измерений или лица, представившего его на поверку, при положительных результатах поверки выдается свидетельство о поверке ИС, при отрицательных результатах поверки - извещение о непригодности к применению ИС.
ПРИЛОЖЕНИЕ А(обязательное)
Таблица А.1 -
и технические
си ИС
Метрологические и технические характеристики ИК ИС |
Метрологические и технические характеристики измерительных компонентов ИК ИС | ||||||||||||
Первичный измерительный преобразователь |
Промежуточный измерительный преобразователь |
Измерительные модули ExperionPKS | |||||||||||
Наименование ИК ИС |
Диапазоны изме-рений |
Пределы допускаемой погрешности |
Тип |
Диапазон выходного сигнала |
Пределы допускаемой погрешности |
Тип |
Диапазон выходного сигнала |
Тип |
Диапазон выход-ного сигнала |
Пределы допускаемой погрешности | |||
основной |
в рабочих условиях |
основной |
дополнительной |
основной |
в рабочих условиях | ||||||||
1 |
2 |
3 |
4 |
5 |
6 |
7 |
8 |
9 |
10 |
11 |
12 |
13 |
14 |
ИК температуры |
от 0 до 100 °C |
А: ±1,0 °C |
А: ±1,25 °C |
ТС-1288Э |
PtlOO |
А: ±(0,3+ +0,005 ^ф °C |
- |
MTL 4575 |
от 4 до 20 мА |
СС-PAIH01 |
от 4 до 20 мА |
А: ±0,4 °C |
А: ±0,75 °C |
от 0 до 200 °C |
у: ±0,55 % |
у: ±0,95 % |
TR04 |
от 4 до 20 мА |
у: ±0,2 % |
у: ±0,1 % на 10 °C |
SAI-1620т |
от 0 до 4В |
Г- ±0,45 % |
у: ±0,55 % | |||
от -40 до 1000 °C |
А: ±7,1 °C |
А: ±7,5 °C |
КТХА01 |
Тип «К» |
Д: ±0,004-■И, °C |
- |
А: ±5,05 °C |
А: ±5,5 °C | |||||
от -40 до 400 °C |
А: ±3,65 °C |
А: ±3,8 °C |
Д: ±0,004-•Id, °C |
А: ±2,9 °C |
А: ±3,05 °C | ||||||||
от -40 до 250 °C |
А: ±2,65 °C |
А: ±3,2 °C |
А: ±1,5 °C |
СС-GAIX11 |
от 4 до 20 мА |
А: ±1,85 °C |
А: ±2,45 °C | ||||||
от -40 до 300 °C |
А: ±2,75 °C |
А: ±3,35 °C |
А: ±1,5 °C |
А: ±1,95 °C |
А: ±2,65 °C | ||||||||
от -40 до 350 °C |
А: ±2,75 °C |
А: ±3,5 °C |
А: ±1,5 °C |
А: ±2,0 °C |
А: ±2,8 °C | ||||||||
от -40 до 400 °C |
А: ±2,9 °C |
А: ±3,75 °C |
КТХА01 |
Тип «К» |
Д: ±0,004--ld,°c |
- |
MTL 4575 |
от 4 до 20 мА |
СС-GAIX11 |
от 4 до 20 мА |
А: ±2,05 °C |
А: ±3,0 °C |
A.l

А. I
1 |
2 |
3 |
4 |
5 |
6 |
7 |
8 |
9 |
10 |
11 |
12 |
13 |
14 |
ик температуры |
от -50 до 200 °C |
А: ±0,88 °C |
А: ±1,49 °C |
Rosemount 0065 |
PtlOO |
A: ±(0,15+ +0,002-Irl) °C |
- |
MTL 4575 |
от 4 до 20 мА |
СС-PAIH01 |
от 4 до 20 мА |
А: ±0,58 °C |
А: ±1,23 °C |
А: ±0,66 °C |
А: ±1,41 °C | ||||||||||||
от -50 до 250 °C |
А: ±1,02 °C |
А: ±1,71 °C | |||||||||||
от -50 до 200 °C |
А: ±0,88 °C |
А: ±1,49 °C |
ТСПТ Ех |
PtlOO |
A; ±(0,15+ +0,002-|ф °C |
- |
MTL 4575 |
от 4 до 20 мА |
СС-PAIH01 |
от 4 до 20 мА |
А: ±0,58 °C |
А: ±1,23 °C | |
А: ±0,96 °C |
А: ±2,12 °C | ||||||||||||
от -50 до 450 °C |
А: ±1,57 °C |
А: ±2,61 °C | |||||||||||
от -50 до 200 °C |
А: ±1,57 °C |
А: ±1,97 °C |
A: ±(0,3+ +0,005 -M) °C |
А: ±0,58 °C |
А: ±1,23 °C | ||||||||
от -60 до 200 °C |
А: ±0,89 °C |
А: ±1,52 °C |
ТСП012 |
PtlOO |
A: ±(0,15+ +0,002-Irl) °C |
- |
MTL 4575 |
от 4 до 20 мА |
сс-PAIH01 |
от 4 до 20 мА |
А: ±0,59 °C |
А: ±1,26 °C | |
от -50 до 200 °C |
А: ±1,57 °C |
А: ±1,97 °C |
Метран- 2000 |
PtlOO |
A: ±(0,3+ +0,005-Izl) °C |
- |
MTL 4575 |
от 4 до 20 мА |
СС-PAIH01 |
от 4 до 20 мА |
А: ±0,58 °C |
А: ±1,23 °C | |
ИК электрического сопротивления |
от 100 до 157,33 Ом (от 0 до 150 °C) |
у: ±0,3 % |
у: ±0,6 % |
- |
- |
- |
- |
MTL 4575 |
от 4 до 20 мА |
сс-PAIH01 |
от 4 до 20 мА |
у: ±0,3 % |
у: ±0,6 % |
от 80,31 до 175,86 Ом (от -50 до 200 °C) |
у: ±0,25 % |
у: ±0,5 % |
- |
- |
- |
- |
у: ±0,25 % |
у: ±0,5 % | |||||
от 80,31 до 197,71 Ом (от -50 до 260 °C) |
у: ±0,25 % |
у: ±0,5 % |
- |
- |
- |
- |
MTL 4575 |
от 4 до 20 мА |
СС-PAIH01 |
от 4 до 20 мА |
у: ±0,25 % |
у: ±0,5 % |

ИК давления, разности давлений
2 |
3 |
4 |
5 |
6 |
1 |
8 |
9 |
10 |
11 |
12 |
13 |
14 |
от 0 до 600 кПа |
у; ±0,75 % |
у: ±1,5% |
Cerabar Т РМР131 |
от 4 до 20 мА |
Г. ±0,5 % |
Y- ±0,02 % на10°С |
MTL 4575 |
от 4 до 20 мА |
SAI-1620т |
от 0 до 4В |
у: ±0,4 % |
у: ±0,4 % |
от -0,4 до 0,4 кПа |
у: ±0,45 % |
у: ±0,55 % |
EJX110 |
от 4 до 20 мА |
у: ±0,04 % |
Г- ±0,04 % на10°С |
MTL 4544 | |||||
от 0 до 4 кПа; от -0,4 до 0,4 кПа |
у: ±0,6 % |
у: ±0,8 % |
EJX110 |
от 4 до 20 мА |
у: ±0,5 % |
у: ±0,04 % на10°С |
MTL 4549С |
от 4 до 20 мА |
СС-GAIX11 |
от 4 до 20 мА |
у: ±0,2 % |
Г. ±0,45 % |
от 0 до 1 кПа; от 0 до 160 кПа; от 0 до 25 кПа; от 0 до 25 Па; от 0 до 250 кПа; от 0 до 4кПа; от 0 до 40 кПа |
у: ±0,6 % |
у: ±0,8 % |
EJX110 |
от 4 до 20 мА |
у: ±0,5 % |
Г- ±0,04 % на 10°С |
MTL 4544 |
от 4 до 20 мА |
СС-GAIX21 |
от 4 до 20 мА |
Г ±0,2 % |
у: ±0,4 % |
Продолжение таблицы А. I
1 от о до 400 кПа; от о до 60 кПа; от о до 63 кПа от -0,4 до 0,4 кПа; от -1 до
1 кПа
ПК давления, разности давлений |
от 0 до 0,6 МПа; от 0 до 1 МПа; от 0 до 1,6 МПа; от 0 до 10 МПа; от 0 до 40 кПа; от 0 до 60 кПа |
от о до 0,16 МПа;
от о до 0,6 МПа;
от о до
1 МПа

GAIX21
EJX53O
EJX53O
MTL 4544
MTL 4544
MTL 4544
SAI-1620т
±0,04 % на 10°С
±0,04 % на 10°С
±0,04 % на 10°С
от 4 до
20 мА
от 4 до
20 мА
от 4 до
20 мА
от 4 до
20 мА
от 4 до
20 мА
от 4 до
20 мА
от 4 до
20 мА
СС-GAIX11


от 4 до
20 мА
от о до
1 |
2 |
3 |
4 |
5 |
6 |
7 |
8 |
0 |
10 |
11 |
12 |
13 |
14 |
ик давления, разности давлений |
от 0 до 1,6 МПа; от 0 до 10 МПа; от 0 до 60 кПа |
у: ±0,6 % |
у: ±0,8 % |
EJX530 |
от 4 до 20 мА |
у: ±0,5 % |
у: ±0,04 % на 10°С |
MTL 4544 |
от 4 до 20 мА |
СС-GAIX11 |
от 4 до 20 мА |
у: ±0,2 % |
у: ±0,4 % |
от 0 до 60 кПа |
у: ±0,6 % |
у: ±0,8 % |
EJX53O |
от 4 до 20 мА |
у: ±0,5 % |
у: ±0,04 % на 10°С |
MTL 4549С |
от 4 до 20 мА |
СС-GAIX11 |
от 4 до 20 мА |
у: ±0,2 % |
у: ±0,45 % | |
от 0 до 0,4 МПа; от 0 до 0,6 МПа; от 0 до 1 МПа; от 0 до 1,6 МПа; от 0 до 2,5 МПа; от 0 до 10 МПа; от 0 до 16 МПа |
MTL 4544 |
от 4 до 20 мА |
СС-GAIX21 |
от 4 до 20 мА |
у: ±0,2 % |
у: ±0,4 % | |||||||
от 0,04 до 2 МПа |
у: ±0,21 % |
у: ±1,91 % |
Метран- 150TGR42 |
от 4 до 20 мА |
Г- |
у: ±1,69 % |
MTL 4544 |
от 4 до 20 мА |
СС-PAIH01 |
от 4 до 20 мА |
у: ±0,17% |
у. ±0,3S % | |
от 0,2 до 10 МПа |
у: ±0,21 % |
у: ±0,88 % |
Метран- 150TGR42 |
от 4 до 20 мА |
Г- ±0,075 % |
у: ±0,7 % |
MTL 4544 |
от 4 до 20 мА |
сс-PAIH01 |
от 4 до 20 мА |
у: ±0,17% |
у. ±0,38 % | |
от -0,1 до 0,32 МПа |
у: ±0,21 % |
у: ±0,92 % |
Метран- 150TGR22 |
от 4 до 20 мА |
Г- ±0,015 % |
у: ±0,74 % |
MTL 4544 |
от 4 до 20 мА |
СС-PAIH01 |
от 4 до 20 мА |
у: ±0,17% |
у: ±0,38 % | |
от -100 до 320 кПа |
у: ±0,4 % |
у: ±0,92 % |
Метран- 150TGR22 |
от 4 до 20 мА |
Г-±0,015 % |
у: ±0,74 % |
MTL 4544 |
от 4 до 20 мА |
SAI-1620т |
от 4 до 20 мА |
у: ±0,35 % |
у: ±0,38 % |
1 |
2 |
3 |
4 |
5 |
6 |
7 |
8 |
9 |
10 |
11 |
12 |
13 |
14 |
ик давления, разности давлений |
от -100 до 200 кПа; от 8 до 200 кПа |
у: ±0,21 % |
у: ±0,73 % |
Метран-150TGR12 |
от 4 до 20 мА |
у: ±0,075 % |
у: ±0,54 % |
MTL 4544 |
от 4 до 20 мА |
СС-PAIH01 |
от 4 до 20 мА |
у: ±0,17% |
у: ±0,38 % |
от -100 до 200 кПа |
у: ±0,21 % |
у: ±0,52 % |
3051TG1 |
от 4 до 20 мА |
у: ±0,075 % |
Г-±0,27 % |
MTL 4544 |
от 4 до 20 мА |
СС-PAIH01 |
от 4 до 20 мА |
у: ±0,17% |
у: ±0,38 % | |
от -0,1 до 0,6 МПа |
у: ±0,21 % |
у: ±0,54 % |
3051TG2 |
от 4 до 20 мА |
у: ±0,075 % |
у: ±0,3 % |
MTL 4544 |
от 4 до 20 мА |
СС-PAIH01 |
от 4 до 20 мА |
у: ±0,17% |
у: ±0,38 % | |
от 0 до 2,5 МПа |
у: ±0,2 % |
у: ±0,7 % |
JUMO dTrans р20 |
от 4 до 20 мА |
у: ±0,05 % |
у. ±0,5 % |
MTL 4544 |
от 4 до 20 мА |
СС-PAIH01 |
от 4 до 20 мА |
у: ±0,17% |
у: ±0,38 % | |
ИК разно-сти давлений на сужающем устройстве |
от 0 до 16 кПа (шкала от 0 до 120 mVh) |
5: ±4 % |
Сужающее устройство-диафрагма с фланцевым способом отбора давления по ГОСТ 8.586.2-2005, преобразователь разности давлений модели EJX110, у: ±0,5% |
MTL 4544 |
от 4 до 20 мА |
SAI- 1620т |
от 0 до 4В |
у: ±0,2 % |
у: ±0,4 % | ||||
от 0 до 250 кПа (шкала от Одо 100%) |
5: ±3 % |
Сужающее устройство-диафрагма с фланцевым способом отбора давления по ГОСТ 8.586.2-2005, преобразователь разности давлений модели EJX110, у: ±0,5 % |
MTL 4544 |
от 4 до 20 мА |
СС-GAIX11 |
от 4 до 20 мА |
у: ±0,2 % |
у: ±0,4 % | |||||
от 0 до 40 кПа (шкала от Одо 100 м^/ч) |
§: ±5 % |
Сужающее устройство-диафрагма с фланцевым способом отбора давления по ГОСТ 8.586.2-2005, преобразователь разности давлений модели EJX110, у: ±0,5 % |
MTL 4544 |
от 4 до 20 мА |
СС-GAIX11 |
от 4 до 20 мА |
у: ±0,2 % |
у: ±0,4 % |
A.l
ИК разности давлений на сужающем устройстве
2 |
3 |
4 |
от 0 до 40 кПа (шкала от Одо 160 м^/ч) |
5: ±5 % | |
от 0 до 40 кПа (шкала от 0 до 40 м^/ч) | ||
от 0 до 40 кПа (шкала от Одо 630 м^/ч) |
8: ±5 % | |
от 0 до 40 кПа (шкала от 0 до 16000 м’/ч) |
8: ±4 % | |
от 0 до 16 кПа (шкала от Одо 2000 м^/ч) |
8: ±3 % |

от 4 до
20 мА
от 4 до
20 мА
от 4 до
20 мА
от 4 до
20 мА
СС-
GAIX11
СС-GAIX11
СС-GAIX21
Сужающее устройство-диафрагма фланцевым способом отбора давления по ГОСТ 8.586.2-2005, преобразователь разности давлений модели EJX110, у: ±0,5 %
Сужающее устройство-диафрагма с фланцевым способом отбора давления по ГОСТ 8.586.2-2005, преобразователь разности давлений модели EJX110, у: ±0,5 %


А.1
ИК разности давлений на сужающем устройстве
2 |
3 |
4 |
от 0 до 25 кПа (шкала от 0 до 3200 м^/ч) |
5: ±4 % | |
от 0 до 40 кПа (шкала от 0 до 40 м^/ч) |
5: ±5 % | |
от 0 до 40 кПа (шкала от 0 до 50 м^/ч) | ||
от 0 до 40 кПа (шкала от 0 до 63 м^/ч) |
5: ±5 % | |
от 0 до 25 кПа (шкала от Одо 16000 кг/ч) |
5: ±3 % |

GAIX21
MTL 4544
MTL 4544
MTL 4544
от 4 до
20 мА
от 4 до
20 мА
от 4 до
20 мА
от 4 до
20 мА
от 4 до
20 мА
от 4 до
20 мА
СС-GAIX21
сс-GAIX11
Сужающее устройство-диафрагма с фланцевым способом отбора давления по ГОСТ 8.586.2-2005, преобразователь разности давлений модели EJX110, у: ±0,5 %
Сужающее устройство-диафрагма с фланцевым способом отбора давления по ГОСТ 8.586.2-2005, преобразователь разности давлений модели EJX110, у: ±0,5 %
1 |
2 |
3 |
4 |
5 |
6 |
7 |
8 |
9 |
10 |
11 |
12 |
13 |
14 |
ИК разности дав-лений на сужающем устройстве |
от 0 до 25 кПа (шкала от 0 до 8000 кг/ч) |
5: ±3 % |
Сужающее устройство-диафрагма с фланцевым способом отбора давления по ГОСТ 8.586.2-2005, преобразователь разности давлений модели EJX110, у: ±0,5 % |
MTL 4544 |
от 4 до 20 мА |
СС-GAIX21 |
от 4 до 20 мА |
у: ±0,2 % |
у: ±0,4 % | ||||
от 0 до 40,298 мм вод.ст. (шкала от 0 до 26338,68 м^/ч) |
5: ±4 % |
Трубка Пито по ГОСТ 8.361-79, преобразователь разности давлений модели EJX 910А, у: ±0,5 % |
MTL 4544 |
от 4 до 20 мА |
сс-GAIX11 |
от 4 до 20 мА |
у: ±0,2 % |
у: ±0,4 % | |||||
ИК объема (объемного расхода) |
от 28,9 до 250 м^/ч |
5: ±4 % |
5: ±4 % |
Prowirl 72F |
от 4 до 20 мА |
5:±1 % |
Г- ±0,05% на 10°С |
MTL 4544 |
от 4 до 20 мА |
SAI-1620т |
от 0 до 4В |
у: ±0,4 % |
у: ±0,4 % |
от 9200 до 80000 м’/ч | |||||||||||||
СС-GAIX11 |
от 4 до 20 мА |
у: ±0,2 % |
у: ±0,4 % | ||||||||||
ОТ 2880 до 25000 м’/ч |
5: ±2,25 % | ||||||||||||
ОТ 3700 до 32000 м^/ч |
5: ±2,2 % |
5: ±4 % |
Prowirl 72F |
от 4 до 20 мА |
5: ±1 % |
у: ±0,05% на 10°С |
MTL 4544 |
от 4 до 20 мА |
сс-GAIX11 |
от 4 до 20 мА |
у: ±0,2 % |
у: ±0,4 % | |
от 9200 до 80000 м’/ч |
5: ±2,25 % | ||||||||||||
ОТ 32,5 до 250,0 м^/ч |
5: ±2,05 % |
6: ±4 % |
Prowirl 72F |
от 4 до 20 мА |
6: ±1 % |
у: ±0,05% на 10°С |
MTL 4549С |
от 4 до 20 мА |
СС-GAIX11 |
от 4 до 20 мА |
у: ±0,2 % |
у: ±0,45 % | |
от 10400 до 80000 м^/ч |
5: ±2,05 % |
5: ±4 % |
Prowirl 72F |
от 4 до 20 мА |
5: ±1 % |
у: ±0,05% на 10°С |
MTL 4549С |
от 4 до 20 мА |
СС-GAIX11 |
от 4 до 20 мА |
у: ±0,2 % |
у: ±0,45 % | |
от 30,2 до 300,0 м^/ч |
5: ±2,35 % |
6: ±5 % |
5: ±0,75 % |
1 |
2 |
3 |
4 |
5 |
6 |
7 |
8 |
9 |
10 |
11 |
12 |
13 |
14 |
ИК объема (объемного расхода) |
от 0,225 до 2,500 м^/ч |
6: ±2,6 % |
5: ±5 % |
Prowirl 72F |
от 4 до 20 мА |
8: ±0,75 % |
у: ±0,05% на 10°С |
MTL 4544 |
от 4 до 20 мА |
СС-GAIX21 |
от 4 до 20 мА |
у; ±0,2 % |
у: ±0,4 % |
от 0,72 до 8,00 м^/ч | |||||||||||||
от 0,5 до 5,0 м^ч |
8: ±4,95 % |
UFM 3030 |
8: ±2 % |
у: ±0,1 % на 10°С |
SAI-1620т |
от 0 до 4В |
у: ±0,4 % |
у: ±0,4 % | |||||
от 5 до 50 м’/ч | |||||||||||||
ОТ 31,5 до 320,0 м^/ч |
5: ±3,15% |
5% |
UFM 3030 |
от 4 до 20 мА |
8: ±2 % |
у: ±0,1 % на 10°С |
MTL 4544 |
от 4 до 20 мА |
СС-GAIX11 |
от 4 до 20 мА |
у. ±0,2 % |
у: ±0,4 % | |
от 0,49 до 5,00 м^/ч | |||||||||||||
от 4,9 до 50,0 м^/ч | |||||||||||||
от 49,62 до 250,00 м^/ч |
5: ±4,55 % |
UFM 500 |
8: ±4 % | ||||||||||
СС-GAIX21 | |||||||||||||
от 30,92 до 160,00 м^ч |
5: ±5 % | ||||||||||||
от 3510 до 20000 м^/ч |
5: ±3,3 % |
5: ±4 % |
Расходомер-счетчик 8800 |
от 4 до 20 мА |
8: ±1,35 %; у: ±0,025 % |
у: ±0,1 % |
MTL 4544 |
от 4 до 20 мА |
сс-GAIX11 |
от 4 до 20 мА |
у. ±0,2 % |
у: ±0,4 % | |
от 2200 до 12500 м^/ч |
5: ±3,3 % |
8: ±4 % |
Расходомер-счетчик 8800 |
от 4 до 20 мА |
8: ±1,35 %; Г- ±0,025 % |
У- ±0,1 % |
MTL 4544 |
от 4 до 20 мА |
СС-GAIX21 |
от 4 до 20 мА |
у: ±0,2 % |
у: ±0,4 % | |
от 2810 до 16000 м^ч | |||||||||||||
от 440 до 2500 м^/ч |
A.l


А. I

А.1

А.1
1 |
2 |
3 |
4 |
5 |
6 |
7 |
8 |
9 |
10 |
11 |
12 |
13 |
14 |
ик массы (массового расхода) |
от 1090 до 4000 кг/ч |
5: ±2 % |
5: ±3 % |
Расходомер-счетчик 8800 |
от 4 до 20 мА |
5: ±1,35% у: ±0,025 % |
у: ±0,1 % |
MTL 4544 |
от 4 до 20 мА |
СС-GAIX21 |
от 4 до 20 мА |
у: ±0,2 % |
у: ±0,4 % |
ИК уровня |
эт 3430 до 1330 мм (шкала от Одо 100%) |
у: ±0,5 % |
Г ±0,55 % |
VEGAFLEX 61 |
от 4 до 20 мА |
±3 мм |
Г- ±0,03 % на 10°С |
MTL 4544 |
от 4 до 20 мА |
SAI-1620т |
от 0 до 4В |
у; ±0,4 % |
у: ±0,4 % |
эт 7365 до 365 мм (шкала от 0 до 100 %) |
у: ±0,45 % |
Г ±0,5 % | |||||||||||
эт 7355 до 355 мм (шкала от Одо 100 %) |
у: ±0,45 % |
у; ±0,5 % |
VEGAFLEX 61 |
от 4 до 20 мА |
А: ±3 мм |
у: ±0,03 % на10°С |
MTL 4544 |
от 4 до 20 мА |
SAI-1620т |
от 0 до 4В |
у: ±0,4 % |
у; ±0,4 % | |
от 3350 до 1250 мм |
у: ±0,45 % |
у: ±0,5 % |
VEGAFLEX 61 |
от 4 до 20 мА |
±3 мм |
Г ±0,03 % на10°С |
MTL 4544 |
от 4 до 20 мА |
SAI-1620т |
от 0 до 4В |
У'. ±0,4 % |
у: ±0,4 % | |
от 10340 до 1340 мм |
А. I


А. I
1 |
2 |
3 |
4 |
5 |
6 |
2 |
8 |
9 |
10 |
11 |
12 |
13 |
14 |
ик уровня |
DT 3450 до 450 мм |
у: ±0,5 % |
у: ±0,5 % |
VEGAFLEX 66 |
от 4 до 20 мА |
А: ±3 мм |
у: ±0,03 % на 10°С |
MTL 4544 |
от 4 до 20 мА |
SAI-1620т |
от 0 до 4В |
у; ±0,4 % |
у: ±0,4 % |
эт 5510 до 510 мм (шкала от Одо 100%) |
у: ±0,45 % | ||||||||||||
эт 5515 до 515 мм (шкала от Одо 100 %) | |||||||||||||
от 3400 до 400 мм (шкала от 0 до 100 %) |
у: ±0,25 % |
у: ±0,5 % |
VEGAFLEX 66 |
от 4 до 20 мА |
А: ±3 мм |
у: ±0,03 % на 10°С |
MTL 4544 |
от 4 до 20 мА |
СС-GAIX11 |
от 4 до 20 мА |
у: ±0,2 % |
у: ±0,4 % | |
эт 5500 до 500 мм (шкала от Одо 100 %) |
±0,25 % |
у: ±0,5 % |
VEGAFLEX 66 |
от 4 до 20 мА |
А: ±3 мм |
Г-±0,03 % на 10°С |
MTL 4544 |
от 4 до 20 мА |
сс-GAIX11 |
от 4 до 20 мА |
у: ±0,2 % |
у: ±0,4 % | |
от 1835 до 485 мм (шкала от 0 до 100 %) |
у: ±0,55 % |
у: ±0,55 % |
VEGAFLEX 67 |
SAI-1620т |
от 0 до 4В |
у: ±0,4 % |
у: ±0,4 % |
A.l


A.l
1 |
2 |
3 |
4 |
5 |
6 |
7 |
8 |
9 |
10 |
11 |
12 |
13 |
14 |
ик уровня |
от 0 до 200 мм |
у: ±0,63 % |
у: ±0,73 % |
плп |
от 4 до 20 мА |
А: ±1 мм; Г. ±0,2 % |
Г ±0,005 % на10°С |
MTL 4544 |
от 4 до 20 мА |
СС-PAIH01 |
от 4 до 20 мА |
у: ±0,17% |
у: ±0,38 % |
ИК до-взрыво-опасных концентраций горючих газов и паров |
от 0 до 50% НКПР |
А: ±5,55 % НКПР |
А: ±8,6 % НКПР |
ГСМ-05 |
от 4 до 20 мА |
А: ±5 % НКПР |
А: ±0,2 % НКПР на 10°С |
MTL 4544 |
от 4 до 20 мА |
СС- PAIH01 |
от 4 до 20 мА |
у: ±0,2 % |
у: ±0,4 % |
ИК объемной доли кислорода в воздухе рабочей зоны |
от 0 до 5% |
у: ±5,55 % |
у: ±12,85% |
Sensepoint XCD |
от 4 до 20 мА |
у: ±5 % |
±0,3 (в долях от основной погрешности) на 10 °C; ±0,5^ на 3,3 кПа |
MTL 4544 |
от 4 до 20 мА |
SAI-1620т |
от 0 до 4В |
у: ±0,4 % |
у: ±0,4 % |
от 5 до 25% |
6: ±5,75 % |
5: ±12,95 % |
§: ±5 % | ||||||||||
ИК объемной доли кислорода и оксида углерода в дымовых газах печей |
от 0 до 5% (объемная доля кислорода) |
6: ±2,25 % |
5: ±4,4 % |
THERMOX WDG-IVC/IQ |
от 4 до 20 мА |
5: ±2 % |
±0,2 (в долях от основной погрешности) на 10 °C; ±0,5’> на 5 кПа |
MTL 4544 |
от 4 до 20 мА |
SAI-1620т |
от 0 до 4В |
у: ±0,4 % |
у: ±0,4 % |

1 |
2 |
3 |
4 |
5 |
6 |
7 |
8 |
9 |
10 |
11 |
12 |
13 |
14 |
ИК объемной доли кислорода и оксида углерода в дымовых газах печей |
от 0 до 0,05 % об. доли со |
у: ±5,55 % |
Г ±10,9% |
THERMOX WDG-IVC/IQ |
от 4 до 20 мА |
у: ±5 % |
±0,2 (в долях от основной погрешности) на 10 °C; ±0,5^* на 5 кПа |
MTL 4544 |
от 4 до 20 мА |
SAI-1620т |
от 0 до 4В |
у: ±0,4 % |
у: ±0,4 % |
ИК общей серы в нефтепродуктах |
от 0,0005 до 0,0015% (массовая доля) (от 0 до 15 ppm) |
5: ±33,05 % |
5: ±33,05 % |
C6200S |
от 4 до 20 мА |
5: ±30 % |
- |
MTL 4544 |
от 4 до 20 мА |
СС-GAIX21 |
от 4 до 20 мА |
у: ±0,2 % |
у: ±0,4 % |
ИК водорода и сероводорода |
от 0 до 100% об. |
5: ±4,5 % |
6: ±4,85 % |
GC1000S |
от 4 до 20 мА |
5: ±2 % |
5: ±0,2 % на 10°С |
MTL 4544 |
от 4 до 20 мА |
сс-GAIX21 |
от 4 до 20 мА |
у: ±0,2 % |
у: ±0,4 % |
ИК сероводорода в воздухе рабочей зоны |
от 0 до 10 мг/м^ H2S |
А: t2,25 мг/м^ |
А: ±9,3 мг/м^ |
ДАХ-М-03 |
от 4 до 20 мА |
А: ±2 мг/м^ |
±0,5’> на 3,3 кПа; ±0,6’’ |
MTL 4544 |
от 4 до 20 мА |
СС-GAIX21 |
от 4 до 20 мА |
у: ±0,2 % |
у: ±0,4 % |
от 10 до 40 мг/м^ H2S |
А: ±10,5 мг/м' |
А: ±34,0мг/м^ |
А: ±(2 ± ±0,25* *[Свх--10]) мг/м^ |
A.l
1 |
2 |
3 |
4 |
5 |
6 |
1 |
8 |
9 |
10 |
11 |
12 |
13 |
14 |
ИК воспроизведения аналоговых сигналов |
от 4 до 20 мА |
у: ±0,5 % |
у: ±0,55 % |
- |
- |
- |
- |
MTL 4549С |
от 4 до 20 мА |
СС-РАОН01 |
от 4 до 20 мА |
у: ±0,5 % |
у: ±0,55 % |
ИК концентрации (содержание кислорода) |
от 0 до 10% (объемные доли) |
у: ±3,33 % |
у: ±3,33 % |
SERVOTOUGH Оху |
от 4 до 20 мА |
у: ±3 % |
- |
MTL 4544 |
от 4 до 20 мА |
SAI-1620т |
от 4 до 20 мА |
у; ±0,35 % |
Г-±0,38 % |
ИК до-взрывных концентраций горючих газов |
от 0 до 50% НКПР |
А: ±5,55 % НКПР |
А: ±1,19 % НКПР |
дгс ЭРИС- 230-3 |
от 4 до 20 мА |
±5 % НКПР |
А: ±0,2 (в долях от основной погрешности) на 10°С |
MTL 4544 |
от 4 до 20 мА |
SAI-1620т |
от 4 до 20 мА |
Г ±0,35 % |
у: ±0,38 % |
ИК виброскорости |
от 0 до 1 мм/с |
А: ±0,12 мм/с |
А: ±0,12 мм/с |
ВИНЕМ-3211 |
от 4 до 20 мА |
А: ±0,1 мм/с |
А: ±0,03 мм/с |
MTL 4544 |
от 4 до 20 мА |
сс-PAIH01 |
от 4 до 20 мА |
Г- |
Г-±0,38 % |
от 1 до 25,4 мм/с |
5: ±7,27 % |
5: ±12,41 % |
5: ±5 % |
5: ±3 % |
У‘ ±0,17% |
у: ±0,38 % | |||||||
ИК виброскорости |
от 0,5 до 10 мм/с |
5: ±6,66 % |
5: ±11,42% |
ДВСТ-4 |
от 4 до 20 мА |
S: ±5 % |
5; ±5 % |
MTL 4544 |
от 4 до 20 мА |
СС-PAIH01 |
от 4 до 20 мА |
Г- |
у: ±0,38 % |
от 1 до 20 мм/с | |||||||||||||
ИК силы тока |
от 4 до 20 мА |
у: ±0,17% |
у: ±0,38 % |
- |
- |
- |
- |
MTL 4544 |
от 4 до 20 мА |
СС-PAIH01 |
от 4 до 20 мА |
г- |
Г- ±0,38 % |
Продолэ1сение таблицы А. 1
6 |
7 |
8 |
9 |
10 |
11 |
12 |
13 |
14
Нормированы с учетом погрешностей промежуточных ИП (барьеров искрозашиты) и модулей ввода/вывода сигналов.
Пределы допускаемой дополнительной погрешности газоанализатора от изменения давления анализируемой среды в долях от пределов допускаемой основной погрешности.
Пределы допускаемой дополнительной погрешности газоанализаторов от изменения температуры окружающей среды, в долях от пределов допускаемой основной погрешности.
Примечания
-
1. Приняты следующие обозначения;
А-абсолютная погрешность, в единицах измеряемой величины;
5 - относительная погрешность, %;
у - приведенная погрешность, % от диапазона измерения (воспроизведения);
t - измеренная температура, °C;
ZS- значение стабильности нуля, кг/ч;
G - текущее значение массового расхода, кг/ч;
Смаке - максимальное значение массового расхода, кг/ч;
НКПР - нижний концентрационный предел распространения пламени;
Свх - содержание определяемого компонента на входе газоанализатора, мг/м^.
-
2. Пределы допускаемой основной погрешности ИК рассчитывают по формулам:
- абсолютная д , в единицах измерений измеряемой величины:
где
пределы допускаемой основной абсолютной погрешности первичного ИП ИК, в единицах измерений измеряемой величины;
пределы допускаемой основной приведенной погрешности вторичной части ИК, %;
значение измеряемого параметра, соответствующее максимальному значению диапазона аналогового сигнала, в единицах измерений параметра; значение измеряемого параметра, соответствующее минимальному значению диапазона аналогового сигнала, в единицах измерений параметра;
-
V
•''"max
-
V
•'‘■mm
-относительная §

9
где §пп
X
JCtM
пределы допускаемой основной относительной погрешности первичного ИП ИК, %;
измеренное значение, в единицах измерений измеряемой величины;
Продолэ1сение таблицы А. 1
6 |
7 |
8 |
9 |
10 |
11 |
12 |
13 |
14
- приведенная ,%:
Уик ~ ±J ■ 4^пп "^Убп >
или

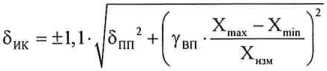
где Упп - пределы допускаемой основной приведенной погрешности первичного ИИ ИК, %.
3 Для расчета погрешности ИК в условиях эксплуатации:
- приводят форму представления основных и дополнительных погрешностей измерительных компонентов ИК к единому виду (приведенная, относительная, абсолютная);
-для каждого измерительного компонента ИК рассчитывают пределы допускаемых значений погрешности в условиях эксплуатации путем учета основной и дополнительных погрешностей от влияюших факторов.
Пределы допускаемых значений погрешности А^,^, измерительного компонента ИК в условиях эксплуатации вычисляют по формуле
Аси = -^)ао + ^А; ,
где
Ао
-
- пределы допускаемых значений основной погрешности измерительного компонента;
-
- пределы допускаемой дополнительной погрешности измерительного компонента от i-ro влияющего фактора в условиях эксплуатации при общем числе п учитываемых влияющих факторов.
Для каждого ИК рассчитывают границы, в которых с вероятностью равной 0,95, должна находиться его погрешность Aj^ , в условиях эксплуатации по формуле
Дик=±1.1-,Е(ДсиУ ■
V j=0
где
Дси]
пределы допускаемых значений погрешности A^^j^ j-ro измерительного компонента ИК в условиях эксплуатации при общем числе к измерительных
компонентов.
30 из 30