Методика поверки «Дальномеры лазерные Leica DISTO A3, Leica DISTO A5, Leica DISTO A6, Leica DISTO A8 фирмы "Leica Geosystems AG"» (г.р.30855-07)
Руководитель ГЦИ СИ -заместит
«

А. С. Евдокимов
06г.
ьного директора КВА»
ФГУ
МЕТОДИКА (Раздел руководства по эксплуатации)Настоящая методика поверки распространяется на дальномеры лазерные Leica DISTO АЗ, выпускаемые первичной и
Leica DISTO А5, Leica DISTO А6 и Leica DISTO А8 (далее - дальномеры), фирмой «Leica Geosystems AG» (Швейцария) и устанавливает методику их периодической поверки.
Межповерочный интервал периодической поверки - I год.
Операции поверкиПри проведении поверки должны выполняться операции указанные в таблице 1.
Таблица 1
№ п/п |
Наименование операции |
№ пункта документа по поверке |
Проведение операций при | |
первичной поверке |
периодической поверке | |||
I |
Внешний осмотр |
7.1 |
Да |
Да |
2 |
Опробование |
7.2 |
Да |
Да |
3 3.1 |
Определение метрологических характеристик Определение длины волны лазерного излучения |
7.3 7.3.1 |
Да |
Нет |
3.2 |
Определение мощности лазерного излучения |
7.3.2 |
Да |
Нет |
3.3 |
Определение диаметра лазерного луча |
7.3.3 |
Да |
Нет |
3.4 |
Определение погрешности измерения расстояний |
7.3.4 |
Да |
Да |
3.5* |
Определение погрешности измерения углов наклона |
7.3.5 |
Да |
Да |
3.6* |
Определение места нуля датчика угла наклона |
7.3.6 |
Да |
Да |
3.7* |
Определение отклонения от параллельности оси датчика угла наклона и лазерного луча |
7.3.7 |
Да |
Да |
*- для модели Leica DISTO А8
2. Средства поверкиПри проведении поверки должны применяться эталоны и вспомогательные средства поверки, приведенные в таблице 2.
Таблица 2
№ пункта документа по поверке |
Наименование эталонов, вспомогательных средств поверки и их основные метрологические и технические характеристики |
7.3.1 |
Монохроматор с диапазоном измерения 200.. 1000 нм, ПГ± 1 нм |
7.3.2 |
Ваттметр для ЛТА с диапазоном измерений 0,001..1000 мВт , ПГ ± 5,5% |
7.3.3 |
Линейка измерительная 300 мм ГОСТ 427-75 |
7.3.4 |
Набор контрольных линий (базисов), не менее трех, действительные длины которых равномерно располагаются в диапазоне измерения дальномера и определены с погрешностью не более ± 0,5мм, например: светодальномером типа СП ГОСТ 19223-90 или рулеткой 3 разряда МИ 2060-90 |
7.3.5 |
Квадрант оптический КО-60 ГОСТ 14967-80 |
7.3.6 |
Плита поверочная 3 кл. ГОСТ 10905-86 |
7.3.7 |
Нивелир типа НЮ ГОСТ 10528-90 Линейка измерительная 300мм ГОСТ 427-75 |
применять
Допускается
метрологических характеристик с методических указаний.
другие средства поверки обеспечивающие определение точностью удовлетворяющей требованиям настоящих
К проведению поверки допускаются лица изучивщие эксплуатационные документы, имеющие достаточные знания и опыт работы и аттестованные в качестве поверителя органом Государственной метрологической службы.
4. Требования безопасностиПри проведении поверки , меры безопасности должны соответствовать требованиям по технике безопасности согласно эксплуатационной документации, правилам по технике безопасности действующие на месте проведения поверки и требованиям МЭК-825 « Радиационная безопасность лазерной продукции, классификация оборудования, требования и руководство для потребителей».
5. Условия поверки-
5.1 При проведении поверки должны соблюдаться в лаборатории следующие нормальные условия измерений:
•
температура окружающей среды ,°С.............................................. (20±10)
относительная влажность воздуха,%............................................ не более 80
атмосферное давление, кПа (мм рт.ст.)......................................84,0..106,7 (630..800)
изменение температуры окружающей среды во время поверки, °С/ч.... не более 2
5.2
Полевые измерения (измерения на открытом воздухе) должны проводиться при отсутствии осадков и порывов ветра.
6. Подготовка к поверкеПеред проведением поверки должны быть выполнены следующие подготовительные работы: Проверить наличие действующих свидетельств о поверке на средства поверки;
Дальномер и средства поверки привести в рабочее состояние в соответствии с их эксплуатационной документацией;
Дальномер и средства поверки должны быть выдержаны на рабочих местах не менее 1 ч.
1. Проведение поверки
При внещнем осмотре должно быть установлено соответствие дальномера следующим требованиям:
-
• отсутствие коррозии, механических повреждений и других дефектов, влияющих на эксплуатационные и метрологические характеристики;
-
• наличие маркировки и комплектности согласно требованиям
эксплуатационной
документации;
7.2. ОпробованиеПри опробовании должно быть установлено соответствие дальномера следующим требованиям: отсутствие качки и смещений неподвижно соединенных деталей и элементов; работоспособность дальномера с использованием всех функциональных режимов.
диапазон измерения расстояний и дискретность отсчетов измерения должны соответствовать эксплуатационной документации.
-
7.3. Определение метрологических характеристик
Длина волны лазерного излучения определяется с помощью монохроматора в соответствии с руководством по эксплуатации.
Длина волны лазерного излучения должна составлять 620 .. 690 нм.
7.3.2 Определение мощности лазерного излученияМощность лазерного излучения определяется с помощью ваттметра в соответствии с руководством по эксплуатации. Мощность лазерного излучения не должна превышать 1 мВт.
7.3.3 Определение диаметра лазерного лучаДиаметр лазерного луча определяется с помощью линейки измерительной путем измерения диаметра светового пятна оставляемого лазерным лучом на мишени.
Диаметр лазерного луча не должен превышать 6 мм при удалении мишени на расстояние Юм, 30мм при удалении мишени на расстояние 50м и 60мм при удалении мишени на расстояние 100м.
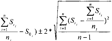
7.3.4 Определение погрешности измерения расстоянийПогрешность измерения расстояний определяется путем многократных (не менее 10) измерений не менее 3 контрольных (эталонных) линий, действительные длины которых равномерно расположены в диапазоне измерения дальномера. Погрешность измерения расстояний (каждой линии) вычисляется по формуле:
А,=(

, где
- погрешность измерения j-й линии;
5о,
-
- эталонное(действительное) значение j-й линии;
-
- измеренное значение j-й линии i-м приемом.;
-
- число приемов измерений j-й линии.
За окончательный результат следует принять наибольшее абсолютное значение. Погрешность измерения расстояний следует определять от каждой нулевой точки, которая, в зависимости от режима измерений может совпадать с передним краем корпуса дальномера, с задним краем корпуса дальномера, с краем откидного ограничителя или с центром штативной резьбовой втулки.
Погрешность измерения расстояний не должна превышать, ± 2мм для дальномера Leica DISTO А5, ± 1,5мм для дальномеров Leica DISTO АЗ, Leica DISTO А6, Leica DISTO А8 для расстояний до 30м и ± 10мм для расстояний более 30м.
7.3.5 Определение погрешности измерения углов наклонавычисляется
Погрешность измерения углов наклона определяется с помощью квадранта и по выражению:
Лугл
Вд
Вк
Аугл = Вд -Вк, где
- погрешность измерения углов наклона;
■ угол наклона предметного
измеренный дальномером;
угол наклона предметного измеренный квадрантом.
столика
столика
поворотного
поворотного
устройства
устройства
Следует выполнить определение погрешности измерения углов наклона с шагом 30° и наибольшее значение принять за окончательный результат.
Погрешность измерения углов наклона не должна превышать ±0,35°.
7.3.6 Определение места нуля датчика угла наклонаМесто нуля (МО) датчика угла наклона определяется на поверочной плите и вычисляется по выражению:
Ао - угол наклона поверочной плиты измеренный дальномером;
А180 - угол наклона поверочной плиты измеренный дальномером после поворота его на 180°.
( Перед измерениями необходимо установить в настройках дальномера диапазон угловых измерений ±90° или ±180°.)
Следует выполнить не менее трех определений места нуля и среднее арифметическое принять за окончательный результат.
Место нуля датчика угла наклона не должно превышать ±0,3°.
7.3.7 Определение отклонения от параллельности оси датчика угла наклона и лазерного луча.Отклонение от параллельности оси датчика угла наклона и лазерного луча определяется нивелиром. Следует привести дальномер в горизонтальное положение с учетом значения места нуля датчика угла наклона и отметить середину лазерного луча на двух марках, удаленных друг от друга на расстояние 10м. Совмещая нуль линейки измерительной с отметками, нивелиром определить между ними превышение.
Превышение не должно превышать ± 26 мм, что соответствует отклонению от параллельности оси датчика угла наклона и лазерного луча не более ±0,15°.
8. Оформление результатов поверки-
8.1 Результаты поверки оформляются протоколом, составленным в виде сводной таблицы результатов поверки по каждому пункту раздела 7 настоящей методики поверки с указанием предельных числовых значений результатов измерений и их оценки по сравнению с предъявленными требованиями.
-
8.2 При положительных результатах поверки, дальномер признается годным к применению и на него выдается свидетельство о поверке установленной формы с указанием фактических результатов определения метрологических характеристик.
-
8.3 При отрицательных результатах поверки, дальномер признается непригодным к применению и на него выдается извещение о непригодности установленной формы с указанием основных причин.
Нач. лаборатории № 445 ФГУ «РОСТЕСТ-МОСКВА»
Нач. сектора лаб. № 445 ФГУ «РОСТЕСТ-МОСКВА»

В.К.Перекрест
Инженер лаб. № 445
ФГУ «РОСТЕСТ-МОСКВА»

С.В.Вязовец
А.Н.Саковцсв