Методика поверки «ГСИ. Анализаторы хроматографические Baseline модификаций 8900 GC и 9100 GC» (МП-242-1683-2013)
УТВЕРЖДАЮ
Менделеева»
Н.И. Ханов
2013 г.
Руководитель ГЦИ СИ
ФГУП

Государственная система обеспечения единства измерений Анализаторы хроматографические Baseline модификаций 8900 GC и 9100 GC Методика поверки МП-242-1683-2013
л
Руководитель научно-исследовательского отдела государственных эталонов в области физико-химических измерений ГЦИ СИ ФГУП «ВППИМ'им: .И. Менделеева»

ЛА. Конопелько
«23» декабря 2013 г. азработал Инженер А.Л. Матвеев

Санкт-Петербург 2013 г.
Настоящая методика поверки распространяется на анализаторы хроматографические Baseline модификаций 8900 GC и 9100 GC, выпускаемые фирмой "MOCON, Inc ", США и устанавливает методы их первичной поверки при вводе в эксплуатацию, после ремонта и периодической поверки в процессе эксплуатации.
Интервал между поверками - один год.
1 Операции поверки-
1.1 При проведении поверки выполняют операции, указанные в таблице 1.
Таблица 1 - Операции поверки
Наименование операции |
Номер пункта методики поверки |
Проведение операции при поверке | |
первичной |
периодической | ||
1 Внешний осмотр |
6.1 |
Да |
Да |
2 Опробование |
6.2 |
Да |
Да |
3 Подтверждение соответствия программного обеспечения |
6.3 |
Да |
Да |
4 Определение метрологических характеристик |
6.4 | ||
- определение погрешности |
6.4.1 |
Да |
Да |
- определение вариации показаний |
6.4.2 |
Да |
Нет |
-
1.2 Если при проведении той или иной операции получен отрицательный результат, дальнейшая поверка прекращается.
-
2.1 При проведении поверки применяют средства, указанные в таблице 2.
Таблица 2 - Средства поверки
Номер пункта методики поверки |
Наименование эталонного средства измерений или вспомогательного средства поверки, номер документа, регламентирующего технические требования к средству, метрологические и технические характеристики |
6 |
Барометр-анероид контрольный М-67, ТУ 2504-1797-75, диапазон измерения атмосферного давления от 610 до 790 мм рт. ст, погрешность ±0,8 мм рт. ст. |
Психрометр аспирационный М-34-М, ГРПИ 405132.001 -92 ТУ, диапазон измерения относительной влажности от 10 до 100 % | |
Термометр лабораторный ТЛ4, ГОСТ 28498-90, диапазон измерений от 0 до 50 °C, цена деления 0,1 °C | |
Секундомер механический типа СОПпр, ТУ 25-1894.003-90, класс точности 2 | |
6.2, 6.4 |
Трубка медицинская поливинилхлоридная (ПВХ) по ТУ6-01-2-120-73, 6><1,5 мм |
Трубка из нержавеющей стали внутренним диаметром 3 мм по ГОСТ 14162-79 | |
Вентиль точной регулировки ВТР-1 (или ВТР-1-М160), диапазон рабочего давления (0-150) кгс/см2, диаметр условного прохода 3 мм | |
Редуктор баллонный кислородный одноступенчатый БКО-50-4 | |
Поверочный нулевой газ (ПНГ) - воздух марки А по ТУ 6-21-5-82 в баллонах под давлением; | |
Азот газообразный особой чистоты сорт 1 по ГОСТ 9293-74 в баллоне под давлением | |
Водород газообразный высокой чистоты по ТУ 301-07-27-91 | |
Ротаметр РМ-А-0,063Г УЗ, ГОСТ 13045-81, верхняя граница диапазона измерений объемного расхода 0,063 м3/ч, кл. точности 4 |
Номер пункта методики поверки |
Наименование эталонного средства измерений или вспомогательного средства поверки, номер документа, регламентирующего технические требования к средству, метрологические и технические характеристики |
6.2, 6.4 |
Стандартные образцы газовых смесей в баллонах под давлением по ТУ 6-16-2956-92 (характеристики приведены в Приложении А) |
Парофазные источники газовых смесей (ПИГС) по ТУ 4215-001-20810646-99 (характеристики приведены в Приложении А) | |
Рабочий эталон 1-го разряда - генератор газовых смесей ГГС (исп. ГГС-Т, ГГС-К) по ШДЕК.418313.900 ТУ в комплекте с источниками микропотоков (характеристики приведены в Приложении А) | |
Примечания:
|
3 Требования безопасности
-
3.1 Помещение, в котором проводят поверку, должно быть оборудовано приточновытяжной вентиляцией.
-
3.2 Концентрации вредных компонентов в воздухе рабочей зоны должны соответствовать требованиям ГОСТ 12.1.005-88.
-
3.3 Должны выполняться требования техники безопасности для защиты персонала от поражения электрическим током согласно классу I ГОСТ 12.2.007.0-75.
-
3.4 Требования техники безопасности при эксплуатации ГС в баллонах под давлением должны соответствовать “Правилам устройства и безопасной эксплуатации сосудов, работающих под давлением” (ПБ 03-576-03), утвержденным постановлением № 91 Госгортехнадзора России от 11.06.2003 г.
-
3.5 К поверке допускаются лица, изучившие руководство по эксплуатации анализатора, руководство по эксплуатации генератора газовых смесей ГГС ШДЕК.418313.900 РЭ и прошедшие необходимый инструктаж.
-
3.6 Не допускается сбрасывать ГС в атмосферу рабочих помещений.
-
- температура окружающей среды, °C 20 ± 5
-
- диапазон относительной влажности окружающей среды, % от 30 до 80
-
- диапазон атмосферного давления, кПа от 98,0 до 101
-
- диапазон расхода ГС, дм3/мин от 0,25 до 0,5
-
5.1 Выполнить мероприятия по обеспечению условий безопасности.
-
5.2 Проверить наличие паспортов и сроки годности ГС в баллонах под давлением.
-
5.3 Баллоны с ГС выдержать при температуре поверки не менее 24 ч.
-
5.4 Выдержать анализатор и эталонные средства при температуре поверки в течение не менее 4 ч.
-
5.5 Подготовить анализатор к работе в соответствии эксплуатационной документацией.
-
5.6 Подготовить генератор газовых смесей ГГС к работе в соответствии с его руководством по эксплуатации.
-
6.1 Внешний осмотр
-
6.1.1 При внешнем осмотре устанавливают соответствие анализатора следующим требованиям:
-
-
- соответствие комплектности (при первичной поверке) требованиям эксплуатационной документации;
-
- соответствие маркировки требованиям эксплуатационной документации.
-
6.1.2 Анализатор считают выдержавшим внешний осмотр, если он соответствует указанным выше требованиям.
-
6.2 Опробование
-
6.2.1 При опробовании проводится проверка функционирования анализатора в следующем порядке:
-
-
- подсоединить к анализатору баллоны с вспомогательными газами;
-
- установить давление вспомогательных газов на входе в анализатор в соответствии с рекомендациями, приведенными в технической документации на анализатор;
-
- подключить анализатор к сети питания, переключить тумблер на задней панели анализатора в положение «I»;
-
- после прогрева анализатор переходит в режим измерения и на дисплее отображается измерительная информация.
-
6.2.2 Результаты опробования считают положительными если:
-
- во время прогрева анализатора отсутствуют сообщения об ошибках;
-
- после прогрева анализатор переходит в режим измерения;
-
- на аналоговом выходе анализатора имеется унифицированный токовый сигнал.
-
- органы управления анализатором функционируют.
6.3 Подтверждение соответствия программного обеспечения
-
6.3.1 Подтверждение соответствия программного обеспечения проводят путем проверки соответствия ПО анализатора тому ПО, которое было зафиксировано (внесено в банк данных) при испытаниях в целях утверждения типа.
-
6.3.2 Для проверки соответствия ПО выполняют следующие операции:
-
- проводят визуализацию идентификационных данных ПО анализатора (номер версии программного обеспечения выводится на дисплей анализатора при нажатии пиктограммы «About»);
-
- сравнивают полученные данные с идентификационными данными, установленными при проведении испытаний в целях утверждения типа и указанными в Описании типа анализатора (приложение к Свидетельству об утверждении типа).
-
6.3.3 Результат проверки соответствия программного обеспечения считают положительным, если номер версии не ниже указанного в Описании типа.
6.4 Определение метрологических характеристик
-
6.4.1 Определение погрешности
Определение погрешности анализатора проводить по схеме, приведенной на рисунках Б.1 или Б.2 Приложения Б (в зависимости от установленного детектора), при подаче ГС (таблица А. 1 -Приложения А в зависимости от определяемого компонента и диапазона измерений) в последовательности:
а) при первичной поверке
-
- №№ 1-2-3-4-3-2-1-4 (при поверке анализаторов, для которых в Приложении А указаны 4 точки поверки),
-
- №№ 1-2-3-2-1-3 (при поверке анализаторов, для которых в Приложении А указаны 3 точки поверки);
б) при периодической поверке
-
- №№ 1-2-3-4 (при поверке анализаторов, для которых в Приложении А указаны 4 точки поверки),
- №№ 1-2-3 (при поверке анализаторов, для которых в Приложении А указаны 3 точки поверки);
в следующем порядке:
-
1) собрать газовую схему, представленную на рисунках Б.1 или Б.2 Приложения Б;
-
2) подать на анализатор ГС № 1;
-
3) по дисплею анализатора произвести отсчёт установившихся показаний;
-
4) повторить операции по пп. 2) - 3) для всех ГС (таблица А.1 Приложения А).
Значение приведенной погрешности анализатора в z-ой точке поверки у,, %, для диапазонов измерений в которых нормированы пределы допускаемой приведенной погрешности, находят по формуле
С -С'
Y. =FZ#-100’ U)
где С, - результат измерений объемной доли определяемого компонента, %, млн’1 или млрд’1,
С/ - действительное значение объемной доли определяемого компонента, указанное в паспорте i-й ГС, %, млн’1 или млрд’1.
Св, Сн - значения объемной доли определяемого компонента, соответствующие верхней и нижней границам диапазона измерений в котором нормирована приведенная погрешность, %, млн’1 или млрд’1.
Значение относительной погрешности анализатора в z-ой точке поверки <5;, % для диапазонов измерений в которых нормированы пределы допускаемой относительной погрешности, находят по формуле
С -С,)
(2)
Результат считают положительным, если погрешность анализатора во всех точках поверки не превышает значений, указанных в таблицах В.1 - В. 13 Приложения В.
-
6.4.2 Определение вариации показаний
Определение вариации показаний анализатора допускается проводить одновременно с определением погрешности по п. 6.4.1 при подаче ГС №2 (при поверке анализаторов, для которых в Приложении А указаны 3 точки поверки) или ГС №3 (при поверке анализаторов, для которых в Приложении А указаны 4 точки поверки).
Значение вариации показаний анализатора vr, в долях от пределов допускаемой приведенной погрешности, находят по формуле

(3)
где С2 , С2 - результаты измерений объемной доли определяемого компонента при подаче ГС №2, при подходе к точке поверки со стороны больших и меньших значений, %, млн’1 или млрд’1;
у0 - пределы допускаемой приведенной погрешности анализатора, %.
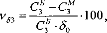
Значение вариации показаний анализатора , в долях от пределов допускаемой относительной погрешности, находят по формуле

(4) где С3Л, C3W - результаты измерений объемной доли определяемого компонента при подаче ГС №3, при подходе к точке поверки со стороны больших и меньших значений, %, млн’1 или млрд’1;
<50 - пределы допускаемой относительной погрешности анализатора, %.
Результат считают положительным, если вариация не превышает 0,5 в долях от пределов допускаемой погрешности.
7 Оформление результатов поверки-
7.1 При проведении поверки оформляют протокол результатов поверки (форма протокола поверки приведена в Приложении Г).
-
7.2 Анализаторы, удовлетворяющие требованиям настоящей методики поверки, признают годными к применению, делают соответствующую отметку в технической документации (при первичной поверке) и/или выдают свидетельство о поверке (при периодической поверке) согласно ПР 50.2.006-94. На оборотной стороне свидетельства о поверке указывают:
-
- перечень эталонов, с помощью которых произведена поверка анализатора;
-
- перечень влияющих факторов с указанием их значений;
-
- метрологические характеристики анализатора;
-
- указание на наличие Приложения — протокола поверки (при его наличии);
-
- дату поверки;
-
- наименование подразделения, выполнявшего поверку.
Свидетельство о поверке должно быть подписано:
На лицевой стороне:
-
- руководителем подразделения, производившего поверку,
-
- поверителем, производившим поверку;
На оборотной стороне:
-
- руководителем подразделения, производившего проверку (не обязательно),
-
- поверителем, производившим поверку.
-
7.3 При отрицательных результатах анализаторы не допускают к применению. В технической документации анализатора делают отметку о непригодности, выдают извещение установленной формы согласно ПР 50.2.006-94 и аннулируют свидетельство о поверке.
Приложение А
(обязательное)
Перечень газовых смесей, используемых при поверке
Таблица А.1 - Технические характеристики ГС для поверки анализаторов хроматографических Baseline модификаций 8900 GC и 9100 GC
Определяемый компонент |
Диапазон измерений объемной доли определяемого компонента |
Номинальное значение объемной доли определяемого компонента в ГС, пределы допускаемого отклонения |
Погрешность аттестации |
Номер ГС по реестру ГСО или источник ГС | |||
ГС № 1 |
ГС №2 |
ГС №3 |
ГС №4 | ||||
Винилхлорид (СН2СНС1) |
От 0 до 2000 млрд’1 |
ПНГ - воз дух |
- |
Марка А по ТУ 6- 21-5-82 | |||
170 млрд’’± 15 % отн. |
1000 млрд’1 ± 15 % отн. |
1700 млрд'1 ± 15 % отн. |
± 7 % отн. |
ГГС-Т или ГГС-К в комплекте с ИМ СН2СНС1-ИМ21 -М-Б | |||
От 1 до 1000 млрд’1 |
40 млрд’*± 15 % отн. |
500 млрд’1 ± 15 % отн. |
870 млрд’1 ± 15 % отн. |
± 7 % отн. |
ГГС-Т или ГГС-К в комплекте с СН2СНС1-ИМ21 - М-Б | ||
От 0 до 5000 млрд’1 |
ПНГ - воз дух |
- |
Марка А по ТУ 6- 21-5-82 | ||||
170 млрд’’± 15 % отн. |
2500 млрд’1 ± 15 % отн. |
4300 млрд’1 ± 15 % отн. |
± 7 % отн. |
ГГС-Т или ГГС-К в комплекте с ИМ СН2СНС1-ИМ21 -М-Б |
Определяемый компонент |
Диапазон измерений объемной доли определяемого компонента |
Номинальное значение объемной доли определяемого компонента в ГС, пределы допускаемого отклонения |
Погрешность аттестации |
Номер ГС по реестру ГСО или источник ГС | |||
ГС № 1 |
ГС №2 |
ГС №3 |
ГС №4 | ||||
Ацетальдегид (СНзСНО) |
От 0 до 50000 млрд'1 |
ПНГ - воз дух |
Марка А по ТУ 6- 21-5-82 | ||||
4300 млрд'1 ± 15 % отн. |
25000 млрд'1 ± 15 % отн. |
43000 млрд'1 ± 15 % отн. |
± 5 % отн. |
ГГС-Т или ГГС-К в комплекте с ИМ СНзСНО-ИМ138-М-А2 | |||
От 1 до 500 млрд'1 |
20 млрд'1 ± 15 % отн. |
250 млрд'1 ± 15 % отн. |
435 млрд'1 ± 15 % отн. |
± 7 % отн. |
ГГС-Т или ГГС-К в комплекте с ИМ СНзСНО-ИМ138-М-А2 | ||
Метанол (СНзОН) |
От 0 до 2000000 млрд'1 |
ПНГ - воздух |
- |
Марка Б по ТУ 6- 21-5-82 | |||
12500 млрд'1 ± 20 % отн. |
1000000 млрд'1 ± 20 % отн. |
± (-15,15-Х+4,015) % отн. |
ГСО 10337-2013 | ||||
(1800000± 200000) млрд'1 |
± (-1,11 ГХ+2,611) % отн. |
ГСО 10337-2013 | |||||
От Одо 150000 млрд'1 |
ПНГ - воз дух |
- |
Марка А по ТУ 6- 21-5-82 | ||||
10000 млрд_1± 30 % отн. |
75000 млрд’1 ± 30 % отн. |
± (-1111,ТХ+5,11) % отн. |
ГСО 10337-2013 | ||||
125000 млрд'1 ± 20 % отн. |
± (-15,15 X4-4,015) % отн. |
ГСО 10337-2013 |
Определяемый компонент |
Диапазон измерений объемной доли определяемого компонента |
Номинальное значение объемной доли определяемого компонента в ГС, пределы допускаемого отклонения |
Погрешность аттестации |
Номер ГС по реестру ГСО или источник ГС | |||
ГС № 1 |
ГС №2 |
ГС №3 |
ГС №4 | ||||
Метанол (СНзОН) |
От 0 до 7000 млрд-1 |
ПНГ - воз дух |
- |
Марка А по ТУ 6- 21-5-82 | |||
333 млрд'1 ± 5 % отн. |
± 7 % отн. |
ГГС-Р или ГГС-К в комплекте с ГСО СНзОН - воздух 10337-2013 | |||||
3500 млрд’1 ± 30 % отн. |
5380 млрд’1 ± 30 % отн. |
± (-1111,1 -Х+5,11) % отн. |
ГСО 10337-2013 | ||||
Бензол (СбНб) |
От 0 до 2000 млрд’1 |
ПНГ - воз дух |
- |
Марка А по ТУ 6- 21-5-82 | |||
170 млрд’‘± 15 % отн. |
1000 млрд’1 ± 15 % отн. |
1740 млрд’1 ± 15 % отн. |
± 7 % отн. |
ГГС-Т или ГГС-К в комплекте с ИМ СбН6-ИМ14-М-А2 | |||
От 0 до 8000 млрд’1 |
ПНГ - воз дух |
- |
Марка А по ТУ 6- 21-5-82 | ||||
170 млрд_1± 15 % отн. |
4000 млрд’1 ± 15 % отн. |
1700 млрд’1 ± 15 % отн. |
± 7 % отн. |
ГГС-Т или ГГС-К в комплекте с ИМ С6Нб-ИМ14-М-А2 | |||
От 0 до 3000 млрд’1 |
ПНГ - воз дух |
- |
Марка А по ТУ 6- 21-5-82 | ||||
25 млрд’*± 15 % отн. |
ГГС-Т или ГГС-К в комплекте с ИМ С6Нб-ИМ14-М-А2 | ||||||
1500 млрд’*± 20 % отн. |
2500 млрд’'± 20 % отн. |
±(-15,15-Х+4,015)% отн. |
ГСО 10366-2013 |
Определяемый компонент |
Диапазон измерений объемной доли определяемого компонента |
Номинальное значение объемной доли определяемого компонента в ГС, пределы допускаемого отклонения |
Погрешность аттестации |
Номер ГС по реестру ГСО или источник ГС | |||
ГС № 1 |
ГС №2 |
ГС №3 |
ГС №4 | ||||
Толуол (С6Н5СН3) |
От 0 до 5000 млрд-1 |
ПНГ - воз дух |
- |
Марка А по ТУ 6- 21-5-82 | |||
430 млрд-1± 15 % отн. |
2500 млрд-1± 15 % отн. |
4300 млрд-1± 15 % отн. |
± 7 % отн. |
ГГС-Т или ГГС-К в комплекте с ИМ СбН5СНз - ИМ45 -М-А2 | |||
От 0 до 75000 млрд-1 |
ПНГ - воз дух |
- |
Марка А по ТУ 6- 21-5-82 | ||||
430 млрд-1± 15 % отн. |
± 7 % отн. |
ГГС-Т или ГГС-К в комплекте с ИМ С6Н5СНз - ИМ46 -М-А2 | |||||
0,0037 % об.д.± 30 % отн. |
0,0058 % об.д.± 30 % отн. |
± (-1111,1Х+5,11) % отн. |
ГСО 10368-2013 | ||||
От 0 до 2000 млрд-1 |
ПНГ - воз дух |
- |
Марка А по ТУ 6- 21-5-82 | ||||
130 млрд-1± 15 % отн. |
1000 млрд-1± 15 % отн. |
1730 млрд-1± 15 % отн. |
± 7 % отн. |
ГГС-Т или ГГС-К в комплекте с ИМ СбН5СНз - ИМ45 - М-А2 | |||
От 0 до 300 млрд-1 |
ПНГ - воз дух |
- |
Марка А по ТУ 6- 21-5-82 | ||||
150 млрд-1 ± 15 % отн. |
260 млрд-1 ± 15 % отн. |
± 7 % отн. |
ГГС-Т или ГГС-К в комплекте с ИМ СбН5СНз - ИМ46 -М-Б |
Определяемый компонент |
Диапазон измерений объемной доли определяемого компонента |
Номинальное значение объемной доли определяемого компонента в ГС, пределы допускаемого отклонения |
Погрешность аттестации |
Номер ГС по реестру ГСО или источник ГС | |||
ГС № 1 |
ГС №2 |
ГС №3 |
ГС №4 | ||||
Этилбензол (СбН5С2Н5) |
От 1 до 5000 млрд'1 |
25 млрд 1± 15 % отн. |
2500 млрд_1± 15 % отн. |
4300 млрд_1± 15 % отн. |
± 7 % отн. |
ГГС-Т или ГГС-К в комплекте с ИМ С6Н5С2Н5 - ИМ66 -М-А2 | |
От 0 до 100 млрд'1 |
ПНГ - воз дух |
- |
Марка А по ТУ 6- 21-5-82 | ||||
50 млрд'*± 15 % отн. |
85 млрд'*± 15 % отн. |
± 7 % отн. |
ГГС-Т или ГГС-К в комплекте с ИМ СбН5С2Н5 - ИМ66 - М-А2 | ||||
От 0 до 50 млрд'1 |
ПНГ - воз дух |
- |
Марка А по ТУ 6- 21-5-82 | ||||
25 млрд'’± 15 % отн. |
43 млрд’’± 15 % отн. |
± 7 % отн. |
ГГС-Т или ГГС-К в комплекте с ИМ С6Н5С2Н5 - ИМ66 - М-А2 | ||||
От 10 до 2000 млрд'1 |
20 млрд'1 ± 15 % отн. |
170 млрд'1 ± 15 % отн. |
1000 млрд'1 ± 15 % отн. |
1700 млрд'1 ± 15 % отн. |
± 7 % отн. |
ГГС-Т или ГГС-К в комплекте с ИМ С8Н10ИМ66-М-А2 | |
От 10 до 10000 млрд'1 |
20 млрд'1 ± 15 % отн. |
170 млрд'1 ± 15 % отн. |
5000 млрд'1 ± 15 % отн. |
8700 млрд’1 ± 15 % отн. |
± 7 % отн. |
ГГС-Т или ГГС-К в комплекте с ИМ С8НюИМ66-М-А2 | |
От 0 до 300 млрд'1 |
ПНГ - воз дух |
- |
Марка А по ТУ 6- 21-5-82 | ||||
150 млрд'1 ± 15 % отн. |
260 млрд'1 ± 15 % отн. |
± 7 % отн. |
ГГС-Т или ГГС-К в комплекте с ИМ С8Ню-ИМ66-М-А2 |
Определяемый компонент |
Диапазон измерений объемной доли определяемого компонента |
Номинальное значение объемной доли определяемого компонента в ГС, пределы допускаемого отклонения |
Погрешность аттестации |
Номер ГС по реестру ГСО или источник ГС | |||
ГС № 1 |
ГС №2 |
ГС №3 |
ГС №4 | ||||
О- КСИЛОЛ СбН4(СНз)2 |
От 0 до 5000 млрд'1 |
ПНГ - воз дух |
- |
Марка А по ТУ 6- 21-5-82 | |||
430 млрд’’± 15 % отн. |
2500 млрд'’± 15 % отн. |
4300 млрд''± 15 % отн. |
± 7 % отн. |
ГГС-Т или ГГС-К в комплекте с ИМ С6Н4(СНз)2 - имзо -М-А2 | |||
От 0 до 1 000 млрд-1 |
ПНГ - воз дух |
- |
Марка А по ТУ 6- 21-5-82 | ||||
34 млрд'*± 15 % отн. |
500 млрд|± 15 % отн. |
860 млрд'*± 15 % отн. |
± 7 % отн. |
ГГС-Т или ГГС-К в комплекте с ИМ С6Н4(СНз)2 - имзо -М-А2 | |||
От 0 до 30000 млрд'1 |
ПНГ - воз дух |
- |
Марка А по ТУ 6- 21-5-82 | ||||
430 млрд'*± 15 % отн. |
15000 млрд' !± 15 % отн. |
26000 млрд|± 15 % отн. |
± 7 % отн. |
ГГС-Т или ГГС-К в комплекте с ИМ С6Н4(СН3)2 - имзо -М-А2 |
Определяемый компонент |
Диапазон измерений объемной доли определяемого компонента |
Номинальное значение объемной доли определяемого компонента в ГС, пределы допускаемого отклонения |
Погрешность аттестации |
Номер ГС по реестру ГСО или источник ГС | |||
ГС № 1 |
ГС №2 |
ГС №3 |
ГС №4 | ||||
м- ксилол С6Н4(СНз)2 |
От 0 до 5000 млрд'1 |
ПНГ - воздух |
- |
Марка А по ТУ 6- 21-5-82 | |||
430 млрд'*± 15 % отн. |
2500 млрд'*± 15 % отн. |
4300 млрд'*± 15 % отн. |
± 7 % отн. |
ГГС-Т или ГГС-К в комплекте с ИМ С6Н4(СНз)2 - ИМ32 -М-А2 | |||
От 0 до 1 000 млрд'1 |
ПНГ - воз дух |
- |
Марка А по ТУ 6- 21-5-82 | ||||
34 млрд'*± 15 % отн. |
500 млрд'*± 15 % отн. |
860 млрд'*± 15 % отн. |
± 7 % отн. |
ГГС-Т или ГГС-К в комплекте с ИМ С6Н4(СНз)2 - ИМ32 -М-А2 | |||
От 0 до 30000 млрд'1 |
ПНГ - воз дух |
- |
Марка А по ТУ 6- 21-5-82 | ||||
430 млрд_1± 15 % отн. |
15000 млрд' '±15% отн. |
26000 млрд’’± 15 % отн. |
± 7 % отн. |
ГГС-Т или ГГС-К в комплекте с ИМ С6Н4(СНз)2 - ИМ32 -М-А2 | |||
П- КСИЛОЛ СбН4(СНз)2 |
От 0 до 5000 млрд'1 |
ПНГ - воз дух |
- |
Марка А по ТУ 6- 21-5-82 | |||
430 млрд_1± 15 % отн. |
2500 млрд'*± 15 % отн. |
4300 млрд'1± 15 % отн. |
± 7 % отн. |
ГГС-Т или ГГС-К в комплекте с ИМ С6Н4(СНз)2 - ИМ34 -М-А2 |
Определяемый компонент |
Диапазон измерений объемной доли определяемого компонента |
Номинальное значение объемной доли определяемого компонента в ГС, пределы допускаемого отклонения |
Погрешность аттестации |
Номер ГС по реестру ГСО или источник ГС | |||
ГС № 1 |
ГС №2 |
ГС №3 |
ГС №4 | ||||
п- КСИЛОЛ СбН4(СН3)2 |
От 0 до 1 000 млрд'1 |
ПНГ - воз дух |
- |
Марка А по ТУ 6- 21-5-82 | |||
34 млрд'’± 15 % отн. |
500 млрд’’± 15 % отн. |
860 млрд'’± 15 % отн. |
± 7 % отн. |
ГГС-Т или ГГС-К в комплекте с ИМ С6Н4(СНз)2 - ИМ34 -М-А2 | |||
От 0 до 30000 млрд'1 |
ПНГ - воз дух |
- |
Марка А по ТУ 6- 21-5-82 | ||||
430 млрд'*± 15 % отн. |
15000 млрд' ’± 15 % отн. |
26000 млрд'’± 15 % отн. |
± 7 % отн. |
ГГС-Т или ГГС-К в комплекте с ИМ СбН4(СН3)2 - ИМ34 -М-А2 | |||
Акрилонитрил (CH3CHCN) |
От 0 до 27200 млрд'1 |
ПНГ - воз дух |
- |
Марка А по ТУ 6- 21-5-82 | |||
1700 млрд_1± 15 % отн. |
13600 млрд' *± 15 % отн. |
23500 млрд'!± 15 % отн. |
± 7 % отн. |
ГГС-Т или ГГС-К в комплекте с ИМ СНзСНСИ-ИМЮ -М-Б | |||
От 1 до 3000 млрд'1 |
43 млрд’’± 15 % отн. |
1500 млрд'*± 15 % отн. |
2600 млрд’’± 15 % отн. |
± 7 % отн. |
ГГС-Т или ГГС-К в комплекте с ИМ CH3CHCN-HM10 -М-Б |
Определяемый компонент |
Диапазон измерений объемной доли определяемого компонента |
Номинальное значение объемной доли определяемого компонента в ГС, пределы допускаемого отклонения |
Погрешность аттестации |
Номер ГС по реестру ГСО или источник ГС | |||
ГС № 1 |
ГС №2 |
ГС №3 |
ГС №4 | ||||
Оксид этилена (С2Н4О) |
От 0 до 10000 млрд'1 |
азот |
- |
Сорт 1-й по ГОСТ 9293-74 | |||
1000 млрд'*± 30 % отн. |
± (-1111,1 Х+5,11) % отн. |
ГСО 10383-2013 | |||||
5000 млрд4± 20 % отн. |
8300 млрд''± 20 % отн. |
±(-15,15Х+4,015)% отн. |
ГСО 10383-2013 | ||||
От 0 до 2000 млрд'1 |
азот |
- |
Сорт 1-й по ГОСТ 9293-74 | ||||
14,2 млрд'’± 5 % отн. |
± 7 % отн. |
ГГС-Р или ГГС-К в комплекте с ГСО CH3CHCN - N2 -10383-2013 | |||||
1000 млрд''± 30 % отн. |
1540 млрд'1± 30 % отн. |
± (-1111,1 Х+5,11)% отн. |
ГСО 10383-2013 |
Определяемый компонент |
Диапазон измерений объемной доли определяемого компонента |
Номинальное значение объемной доли определяемого компонента в ГС, пределы допускаемого отклонения |
Погрешность атте стации |
Номер ГС по реестру ГСО или источник ГС | |||
ГС№ 1 |
ГС №2 |
ГС №3 |
ГС №4 | ||||
Метан (СН4) |
От 0 до 5000000 млрд'1 |
азот |
- |
Сорт 1-й по ГОСТ 9293-74 | |||
225000 млрд'1 ± 20 % отн. |
± 2,5 % отн. |
ГГС-Р или ГГС-К в комплекте с ГСО CH4-N2№ 10256- 2013 | |||||
2500000 млрд'1 ± 10 % отн. |
4540000 ± млрд'1 ± 10 % отн. |
± (-2,5Х+2,75) % отн. |
ГСО 10256-2013 | ||||
От 0 до 10000000 млрд'1 |
азот |
- |
Сорт 1-й по ГОСТ 9293-74 | ||||
(190000± 10000) млрд'1 |
±(-0,02Х+5,9)% отн |
ГСО 9747-2011 | |||||
5000000 млрд'1 ± 10 % отн. |
± (-2,5Х+2,75) % отн. |
ГСО 10256-2013 | |||||
(9000000 ± 1000000) млрд'1 |
± 0,8 % отн. |
ГСО 9749-2011 | |||||
Метан (СНд) |
От 0 до 100 % |
азот |
- |
Сорт 1-й по ГОСТ 9293-74 | |||
0,08 % об.д. ± 20 % отн. |
±(-15,15Х+4,015)% отн. |
ГСО 10256-2013 | |||||
50 % об.д. ± 5 % отн |
± (-0,008Х+0,76) % отн. |
ГСО 10256-2013 | |||||
95 % об.д. ± 1,5% отн |
± (-0,0037Х+0,459) % отн. |
ГСО 10256-2013 |
Определяемый компонент |
Диапазон измерений объемной доли определяемого компонента |
Номинальное значение объемной доли определяемого компонента в ГС, пределы допускаемого отклонения |
Погрешность аттестации |
Номер ГС по реестру ГСО или источник ГС | |||
ГС № 1 |
ГС №2 |
ГС №3 |
ГС №4 | ||||
Этанол (С2Н5ОН) |
От 0 до 100 млрд'1 |
ПНГ - воз дух |
- |
Марка А по ТУ 6- 21-5-82 | |||
50 млрд'*± 15 % отн. |
85 млрд 1± 15 % отн. |
± 7 % отн. |
ГГС-Т или ГГС-К в комплекте с ИМ С2Н5ОН - ИМ62 -М-А2 | ||||
От 0 до 35000 млрд'1 |
ПНГ - воз дух |
Марка А по ТУ 6- 21-5-82 | |||||
1800 млрд'Э 30 % отн. |
± (-1111,1 Х+5,11) % отн. |
ГСО 10338-2013 | |||||
17500 млрд'1 ± 20 % отн. |
29100 млрд'1 ± 20 % отн. |
± 4 % отн. |
ГСО 10338-2013 | ||||
Нафталин (СюН8) |
От 1 до 5000 млрд'1 |
40 млрд''± 15 % отн. |
2500 млрд''± 15 % отн. |
4300 млрд'*± 15 % отн. |
± 7 % отн. |
ГГС-Т или ГГС-К в комплекте с ИМ С1оН8-ИМ97-0 -А2 | |
Формальдегид (СН2О) |
От 0 до 8000 млрд'1 |
ПНГ - воз дух |
- |
Марка А по ТУ 6- 21-5-82 | |||
25 млрд'*± 15 % отн. |
4000 млрд'*± 15 % отн. |
6950 млрд'*± 15 % отн. |
± 10 % отн. |
ГГС-Т или ГГС-К в комплекте с ИМ СН2О - ИМ94 - М -А2 |
Определяемый компонент |
Диапазон измерений объемной доли определяемого компонента |
Номинальное значение объемной доли определяемого компонента в ГС, пределы допускаемого отклонения |
Погрешность аттестации |
Номер ГС по реестру ГСО или источник ГС | |||
ГС № 1 |
ГС №2 |
ГС №3 |
ГС №4 | ||||
Метилэтилкетон (СН3СОСН2СН3) |
От 0 до 5000 млрд'1 |
ПНГ - воз дух |
- |
Марка А по ТУ 6- 21-5-82 | |||
430 млрд'*± 15 % отн. |
2500 млрд'*± 15 % отн. |
4300 млрд'*± 15 % отн. |
± 7 % отн. |
ГГС-Т или ГГС-К в комплекте с ИМ СН3СОСН2СН3 -ИМ90 -М-Б | |||
От 0 до 100000 млрд'1 |
ПНГ - воз дух |
- |
Марка А по ТУ 6- 21-5-82 | ||||
430 млрд_1± 15 % отн. |
17500 млрд' ’± 15 % отн. |
30000 млрд'*± 15 % отн. |
± 7 % отн. |
ГГС-Т или ГГС-К в комплекте с ИМ СН3СОСН2СН3 - ИМ90 -М-Б | |||
Хлороформ (СНС1з) |
От 0 до 5000 млрд'1 |
ПНГ - воз дух |
- |
Марка А по ТУ 6- 21-5-82 | |||
430 млрд'*± 15 % отн. |
2500 млрд’’± 15 % отн. |
4300 млрд'*± 15 % отн. |
± 7 % отн. |
ГГС-Т или ГГС-К в комплекте с ИМ СНС1з-ИМ53-М -А2 | |||
От 0 до 5000 млрд'1 |
ПНГ - воз дух |
- |
Марка А по ТУ 6- 21-5-82 | ||||
11 млрд'!± 15 % отн. |
2500 млрд4± 15 % отн. |
4300 млрд'*± 15 % отн. |
± 7 % отн. |
ГГС-Т или ГГС-К в комплекте с ИМ СНС1з - ИМ53 - М -А2 | |||
Четыреххлористый углерод (CCU) |
От 0 до 5000 млрд'1 |
ПНГ - воз дух |
- |
Марка А по ТУ 6- 21-5-82 | |||
430 млрд'*± 15 % отн. |
2500 млрд'!± 15 % отн. |
4300 млрд'*± 15 % отн. |
± 7 % отн. |
ГГС-Т или ГГС-К в комплекте с ИМ СС14 - ИМ60 - М -А2 |
Определяемый компонент |
Диапазон измерений объемной доли определяемого компонента |
Номинальное значение объемной доли определяемого компонента в ГС, пределы допускаемого отклонения |
Погрешность аттестации |
Номер ГС по реестру ГСО или источник ГС | |||
ГС № 1 |
ГС №2 |
ГС №3 |
ГС №4 | ||||
Четыреххлористый углерод (СС1д) |
От 0 до 1200 млрд-1 |
ПНГ - воз дух |
- |
Марка А по ТУ 6- 21-5-82 | |||
17 млрд'*± 15 % отн. |
600 млрд'*± 15 % отн. |
1040 млрд’’± 15 % отн. |
± 7 % отн. |
ГГС-Т или ГГС-К в комплекте с ИМ CCU - ИМ60 - М -А2 | |||
От 0 до 15000 млрд'1 |
ПНГ - воз дух |
- |
Марка А по ТУ 6- 21-5-82 | ||||
430 млрд‘'± 15 % отн. |
7500 млрд'*± 15 % отн. |
13000 млрд‘‘± 15 % отн. |
± 7 % отн. |
ГГС-Т или ГГС-К в комплекте с ИМ СС14 - ИМ60 - М -А2 | |||
Стирол (С8Н8) |
От 1 до 3000 млрд'1 |
20 млрд'1 ± 15 % отн. |
1500 млрд'1 ± 15 % отн. |
2600 млрд'1 ± 15 % отн. |
± 7 % отн. |
ГГС-Т или ГГС-К в комплекте с ИМ С8Н8-ИМ71 -М -Б | |
От 0 до 10000 млрд'1 |
ПНГ - воздух |
- |
Марка А по ТУ 6- 21-5-82 | ||||
870 млрд'1 ± 15 % отн. |
5000 млрд'1 ± 15 % отн. |
8700 млрд'1 ± 15 % отн. |
± 7 % отн. |
ГГС-Т или ГГС-К в комплекте с ИМ С8Н8-ИМ71 - М-Б | |||
От 0 до 300 млрд'1 |
ПНГ - воздух |
- |
Марка А по ТУ 6- 21-5-82 | ||||
150 млрд'1 ± 15 % отн. |
260 млрд'1 ± 15 % отн. |
± 7 % отн. |
ГГС-Т или ГГС-К в комплекте с ИМ С8Н8 - ИМ71 - М-Б |
Определяемый компонент |
Диапазон измерений объемной доли определяемого компонента |
Номинальное значение объемной доли определяемого компонента в ГС, пределы допускаемого отклонения |
Погрешность атте стации |
Номер ГС по реестру ГСО или источник ГС | |||
ГС № 1 |
ГС №2 |
ГС №3 |
ГС №4 | ||||
Циклогексан (СбН12) |
От 5 до 2000 млрд’1 |
50 млрд’1 ± 15 % отн. |
170 млрд’1 ± 15 % отн. |
1000 млрд’1 ± 15 % отн. |
1700 млрд’1 ± 15 % отн. |
± 7 % отн. |
ГГС-Т или ГГС-К в комплекте с ИМ С6Н12ИМ55-М-А2 |
От 5 до 60000 |
50 млрд’1 ± 15 % отн. |
170 млрд’1 ± 15 % отн. |
± 7 % отн. |
ГГС-Т или ГГС-К в комплекте с ИМ С6Н12ИМ55-М-А2 | |||
30000 млрд’1 ± 30 % отн. |
± 7,5 % отн. |
ГСО 10540 | |||||
51000 млрд’1 ± 20 % отн. |
± 5 % отн. |
ГСО 10540 | |||||
Ацетон (СзНбОг) |
От 0 до 2500 млрд’1 |
ПНГ - воз дух |
- |
Марка А по ТУ 6- 21-5-82 | |||
34 млрд’1 ± 15 % отн. |
1250 млрд’1 ± 15 % отн. |
2170 млрд’1 ± 15 % отн. |
± 7 % отн. |
ГГС-Т или ГГС-К в комплекте с ИМ СзНбОИМИ -М- А2 | |||
От 0 до 250000 млрд’1 |
ПНГ - воз дух |
- |
Марка А по ТУ 6- 21-5-82 | ||||
34 млрд’1 ± 15 % отн. |
± 7 % отн. |
ГГС-Т или ГГС-К в комплекте с ИМ СзНбОИМИ - М- А2 | |||||
0,0125 % об.д. ± 20 % отн. |
0,0208 % об.д. ± 20 % отн. |
± (-15,15Х+4,015)% отн. |
ГСО 10385-2013 |
Определяемый компонент |
Диапазон измерений объемной доли определяемого компонента |
Номинальное значение объемной доли определяемого компонента в ГС, пределы допускаемого отклонения |
Погрешность аттестации |
Номер ГС по реестру ГСО или источник ГС | |||
ГС № 1 |
ГС №2 |
ГС №3 |
ГС №4 | ||||
1,3 бутадиен (СИГ) |
От 5 до 2000 млрд'1 |
50 млрд’1 ± 15 % отн. |
1000 млрд’1 ± 15 % отн. |
1700 млрд’1 ± 15 % отн. |
± 12 % отн. |
ГГС-Р или ГГС-К в комплекте с ГС C4H6-N29302-2009 | |
Диоксид серы (SO2) |
От 0 до 20 млн’1 |
Азот |
- |
Сорт 1-й по ГОСТ 9293-74 | |||
3,3 млн’1 ± 20 % отн. |
10 млн’1 ± 20 % отн. |
16,6 млн’1 ± 20 % отн. |
± 10 % отн. |
ГСО 8372-2003 | |||
Сероводород(H2S) |
От 1 до 1000 млрд’1 |
20 млрд’1 ± 15 % отн. |
500 млрд'1 ± 15 % отн. |
860 млрд’1 ± 15 % отн. |
± 7 % отн. |
ГГС-Т или ГГС-К в комплекте с ИМ H2S - ИМ 110-М- Г1 | |
Сероводород (H2S) |
От 0 до 20 млн’1 |
Азот |
- |
Сорт 1-й по ГОСТ 9293-74 | |||
5,8 млн’1 ± 30 % отн. |
10 млн’1 ± 30 % отн. |
± (-1111,1X4-5,11) % отн. |
ГСО 10328-2013 | ||||
16,6 млн’1 ± 20 % отн. |
± (-15,15X4-4,015) % отн. |
ГСО 10328-2013 | |||||
Оксид углерода (СО) |
От 0 до 100 млн’1 |
ПНГ - воз дух |
- |
Марка А по ТУ 6- 21-5-82 | |||
16,5 млн’1 ± 20 % отн. |
50 млн’1 ± 20 % отн. |
83 млн’1 ± 20 % отн. |
±(-15,15Х+4,015)% отн. |
ГСО 10242-2013 | |||
От 0 до 500 млн'1 |
ПНГ - воз дух |
- |
Марка Б по ТУ 6- 21-5-82 | ||||
16,5 млн’1 ± 20 % отн. |
(250 млн’1 ± 20 % отн. |
410 млн’1 ± 20 % отн. |
± (-15,15X4-4,015) % отн. |
ГСО 10242-2013 |
Определяемый компонент |
Диапазон измерений объемной доли определяемого компонента |
Номинальное значение объемной доли определяемого компонента в ГС, пределы допускаемого отклонения |
Погрешность аттестации |
Номер ГС по реестру ГСО или источник ГС | |||
ГС № 1 |
ГС №2 |
ГС №3 |
ГС №4 | ||||
Диоксид углерода (СОД |
От 0 до 2000 млн'1 |
Азот |
- |
Сорт 1-й по ГОСТ 9293-74 | |||
0,1 % об.д. ± 10 % отн. |
0,18 % об.д. ± 10 % отн. |
± (-2,5Х+2,75) % отн. |
ГСО 10241-2013 | ||||
Бутанол (С4Н10О) |
От Одо 500 млрд'1 |
ПНГ - воздух |
- |
Марка А по ТУ 6- 21-5-82 | |||
26 млрд'1 ± 15 % отн. |
250 млрд'1 ± 15 % отн. |
430 млрд'1 ± 15 % отн. |
± 7 % отн. |
ГГС-Т или ГГС-К в комплекте с ИМ С4НюО-ИМ16-М - А2 | |||
От Одо 10000 млрд'1 |
ПНГ - воз дух |
- |
Марка А по ТУ 6- 21-5-82 | ||||
26 млрд'1 ± 15 % отн. |
5000 млрд'1 ± 15 % отн. |
8700 млрд'1 ± 15 % отн. |
± 7 % отн. |
ГГС-Т или ГГС-К в комплекте с ИМ С4Н1оО-ИМ16-М -А2 | |||
Ацетофенон (С8Н8О) |
От 0,1 до 300 млрд'1 |
7 млрд'1 ± 15 % отн. |
150 млрд'1 ± 15 % отн. |
260 млрд'1 ± 15 % отн. |
± 7 % отн. |
ГГС-Т или ГГС-К в комплекте с ИМ С8Н8О - ИМ45 - М -А2 | |
Ацетофенон (С8Н8О) |
От 0,1 до 3000 млрд'1 |
70 млрд'1 ± 15 % отн. |
1500 млрд'1 ± 15 % отн. |
2600 млрд'1 ± 15 % отн. |
± 7 % отн. |
ГГС-Т или ГГС-К в комплекте с ИМ С8Н8О - ИМ45 - М -А2 | |
Этан (СгНб) |
От 0 до 100 млн'1 |
ПНГ - воз дух |
- |
Марка А по ТУ 6- 21-5-82 | |||
16 млн'1 ± 20 % отн. |
50 млн'1 ± 20 % отн. |
83 млн'1 ± 20 % отн. |
± (-15,15Х+4,015) % отн. |
ГСО 10244-2013 |
Определяемый компонент |
Диапазон измерений объемной доли определяемого компонента |
Номинальное значение объемной доли определяемого компонента в ГС, пределы допускаемого отклонения |
Погрешность аттестации |
Номер ГС по реестру ГСО или источник ГС | |||
ГС № 1 |
ГС №2 |
ГС №3 |
ГС №4 | ||||
Этилен (С2Н4) |
От 1 до 20 млн'1 |
1,4 млн'1 ± 30 % отн. |
10 млн'1 ± 30 % отн. |
± (-1111.1Х+5.11) % отн. |
ГСО 10248-2013 | ||
16,5 млн'1 ± 20 % отн. |
- |
±(-15,15Х+4,015)% отн. |
ГСО 10248-2013 | ||||
От 0 до 25000 млрд'1 |
ПНГ - воз дух |
- |
Марка А по ТУ 6- 21-5-82 | ||||
1800 млрд'1 ± 30 % отн. |
±(-1111,1-Х+5,11)% отн. |
ГСО 10248-2013 | |||||
12500 млрд'1 ± 20 % отн. |
20800 млрд'1 ± 20 % отн. |
± (-15,15 X4-4,015) % отн. |
ГСО 10248-2013 | ||||
Пропан (СзШ) |
От 1 до 20 млн'1 |
1,4 млн'1 ± 30 % отн. |
7,7 млн'1 ± 30 % отн. |
± (-1111,1Х+5,11) % отн. |
ГСО 10321-2013 | ||
16,5 млн'1 ± 20 % отн. |
- |
± (-15,15Х+4,015) % отн. |
ГСО 10321-2013 | ||||
н-бутан (С4Н10) |
От 1 до 10 млн'1 |
1,4 млн'1 ± 30 % отн. |
5,0 млн'1 ± 30 % отн. |
7,7 млн'1 ± 30 % отн. |
- |
± (-1111,1Х+5,11) % отн. |
ГСО 10246-2013 |
н-пентан (С5Н12) |
От 0,1 до 1,0 |
(0,15 ± 0,05) млн'1 |
(0,5 ± 0,05) млн'1 |
(0,95 ± 0,05) млн'1 |
± 7 % отн. |
ГГС-Р или ГГС-К в комплекте с ГС С5Н12 - воздух № 10364-2013 |
Определяемый компонент |
Диапазон измерений объемной доли определяемого компонента |
Номинальное значение объемной доли определяемого компонента в ГС, пределы допускаемого отклонения |
Погрешность аттестации |
Номер ГС по реестру ГСО или источник ГС | |||
ГС № 1 |
ГС №2 |
ГС №3 |
ГС №4 | ||||
Бутилацетат (С6Н12О2) |
От 0 до 500 млрд'1 |
ПНГ - воздух |
- |
Марка А по ТУ 6- 21-5-82 | |||
17 млрд'1 ± 15 % отн. |
250 млрд'1 ± 15 % отн. |
430 млрд'1 ± 15 % отн. |
± 7 % отн. |
ГГС-Т или ГГС-К в комплекте с ИМ СбН12О2ИМ18 -М -А2 | |||
От 0 до 100000 млрд'1 |
ПНГ - воз дух |
- |
Марка А по ТУ 6- 21-5-82 | ||||
17 млрд'1 ± 15 % отн. |
± 7 % отн. |
ГГС-Т или ГГС-К в комплекте с ИМ СбН,2О2 ИМ18-М -А2 | |||||
50000 млрд'1 ± 20 % отн. |
84000 млрд'1 ± 15 % отн. |
± 2,5 % отн. |
ГСО 10534-2014 (бутилацетат -возудх) | ||||
Муравьиная кислота (НСООН) |
От 0 до 200 млрд'1 |
ПНГ - воздух |
- |
Марка А по ТУ 6- 21-5-82 | |||
30 млрд'1 ± 15 % отн. |
100 млрд'1 ± 15 % отн. |
170 млрд'1 ± 15 % отн. |
± 7 % отн. |
ГГС-Т или ГГС-К в комплекте с ИМ НСООН ИМ156-О-Б |
Определяемый компонент |
Диапазон измерений объемной доли определяемого компонента |
Номинальное значение объемной доли определяемого компонента в ГС, пределы допускаемого отклонения |
Погрешность аттестации |
Номер ГС по реестру ГСО или источник ГС | |||
ГС № 1 |
ГС №2 |
ГС №3 |
ГС №4 | ||||
Муравьиная кислота (НСООН) |
От 0 до 2000 млрд’1 |
ПНГ - воз дух |
- |
Марка А по ТУ 6- 21-5-82 | |||
30 млрд’1 ± 15 % отн. |
1000 млрд’1 ± 15 % отн. |
1700 млрд’1 ± 15 % отн. |
± 7 % отн. |
ГГС-Т или ГГС-К в комплекте с ИМ НСООН ИМ 156-О-Б | |||
Изопропанол (С3Н7ОН) |
От 0 до 25000 млрд’1 |
ПНГ - воз дух |
- |
Марка А по ТУ 6- 21-5-82 | |||
200 млрд’1 ± 15 % отн. |
12500 млрд'1 ± 15 % отн. |
20000 млрд’1 ±15% отн. |
± 7 % отн. |
ГГС-Т или ГГС-К в комплекте с ИМ С3Н7ОН ИМ28 - М -А2 | |||
Фенол (СбНбО) |
От 0 до 100 млрд’1 |
ПНГ - воз дух |
- |
Марка А по ТУ 6- 21-5-82 | |||
50 млрд’1 ± 15 % отн. |
87 млрд’1 ± 15 % отн. |
± 7 % отн. |
ГГС-Т или ГГС-К в комплекте с ИМ СбНбО ИМ89 - М -А2 | ||||
Хлорбензол (С6Н5С1) |
От 0 до 500 млрд’1 |
ПНГ - воз дух |
- |
Марка А по ТУ 6- 21-5-82 | |||
17 млрд’1 ± 15 % отн. |
250 млрд’1 ± 15 % отн. |
430 млрд’1 ± 15 % отн. |
± 7 % отн. |
ГГС-Т или ГГС-К в комплекте с ИМ С6Н5С1 ИМ49 - М -Б |
Определяемый компонент |
Диапазон измерений объемной доли определяемого компонента |
Номинальное значение объемной доли определяемого компонента в ГС, пределы допускаемого отклонения |
Погрешность аттестации |
Номер ГС по реестру ГСО или источник ГС | |||
ГС № 1 |
ГС №2 |
ГС №3 |
ГС №4 | ||||
Хлорбензол (С6Н5С1) |
От 0 до 75000 млрд'1 |
ПНГ - воз дух |
- |
Марка А по ТУ 6- 21-5-82 | |||
17 млрд'1 ± 15 % отн. |
± 7 % отн. |
ГГС-Т или ГГС-К в комплекте с ИМ С6Н5С1 ИМ49-М -Б | |||||
37500 млрд'1 ± 10 % отн. |
68000 млрд'1 ± 10 % отн. |
± 2,5 % отн. |
ГСО 10549-2014 (хлорбензол - воздух) | ||||
Циклогексанон (СбНюО) |
От 0 до 2000 млрд'1 |
ПНГ - воз дух |
- |
Марка А по ТУ 6- 21-5-82 | |||
10 млрд'1 ± 15 % отн. |
1000 млрд'1 ± 15 % отн. |
1730 млрд'1 ± 15 % отн. |
± 7 % отн. |
ГГС-Т или ГГС-К в комплекте с ИМ С6НюО ИМ58 - М -А2 | |||
От 0 до 6000 млрд'1 |
ПНГ - воз дух |
- |
Марка А по ТУ 6- 21-5-82 | ||||
10 млрд'1 ± 15 % отн. |
3000 млрд'1 ± 15 % отн. |
5200 млрд'1 ± 15 % отн. |
± 7 % отн. |
ГГС-Т или ГГС-К в комплекте с ИМ СбНюО ИМ58 - М -А2 | |||
Этилацетат (СН3СООС2Н5) |
От 0 до 500 млрд'1 |
ПНГ - воз дух |
- |
Марка А по ТУ 6- 21-5-82 | |||
21 млрд'1 ± 15 % отн. |
250 млрд'1 ± 15 % отн. |
430 млрд'1 ± 15 % отн. |
± 7 % отн. |
ГГС-Т или ГГС-К в комплекте с ИМ СН3СООС2Н5 ИМ64 - М - А2 |
Определяемый компонент |
Диапазон измерений объемной доли определяемого компонента |
Номинальное значение объемной доли определяемого компонента в ГС, пределы допускаемого отклонения |
Погрешность аттестации |
Номер ГС по реестру ГСО или источник ГС | |||
ГС № 1 |
ГС №2 |
ГС №3 |
ГС №4 | ||||
Этилацетат (СН3СООС2Н5) |
От 0 до 35000 млрд'1 |
ПНГ - воз дух |
- |
Марка А по ТУ 6- 21-5-82 | |||
21 млрд'1 ± 15 % отн. |
± 7 % отн. |
ГГС-Т или ГГС-К в комплекте с ИМ СН3СООС2Н5 ИМ64 - М - А2 | |||||
17500 млрд'1 ± 15 % отн. |
30500 млрд'1 ± 15 % отн. |
± 7 % отн. |
ГГС-Т или ГГС-К в комплекте с ИМ СН3СООС2Н5 ИМ65 -М-Б | ||||
1,2-дихлорэтан (С2Н4С12) |
От 0 до 10000 млрд'1 |
ПНГ - воз дух |
- |
Марка А по ТУ 6- 21-5-82 | |||
215 млрд'1 ± 15 % отн. |
5000 млрд'1 ± 15 % отн. |
8500 млрд'1 ± 15 % отн. |
ГГС-Т или ГГС-К в комплекте с ИМ СНзСООС2Н5 ИМ64 - М - А2 |
Определяемый компонент |
Диапазон измерений объемной доли определяемого компонента |
Номинальное значение объемной доли определяемого компонента в ГС, пределы допускаемого отклонения |
Погрешность аттестации |
Номер ГС по реестру ГСО или источник ГС | |||
ГС № 1 |
ГС №2 |
ГС №3 |
ГС №4 | ||||
Бутен-1 (С4Н8-1) |
От 0 до 15000 млрд'1 |
ПНГ - воздух |
- |
Марка А по ТУ 6- 21-5-82 | |||
1140 млрд'1 ± 5 % отн. |
7500 млрд'1 ± 5 % отн. |
1420 млрд'1 ± 5 % отн. |
± 5 % отн. |
ГГС-Р или ГГС-К в комплекте с ГСО С4Н8-1 - воздух ГСО 10539-2014 | |||
Пропилен (СзНб) |
От 0 до 25000 млрд'1 |
ПНГ - воз дух |
- |
Марка А по ТУ 6- 21-5-82 | |||
1230 млрд'1 ± 30 % отн. |
± (-1111,ГХ+5,11) % отн. |
ГСО 10250-2013 | |||||
12500 млрд'1 ± 20 % отн. |
20800 млрд'1 ± 20 % отн. |
±(-15,15-Х+4,015)% отн. |
ГСО 10250-2013 | ||||
Хлористый метилен (СН2С12) |
От 0 до 5000 млрд'1 |
ПНГ - воздух |
- |
Марка А по ТУ 6- 21-5-82 | |||
2000 млрд'1 ± 15 % отн. |
4340 млрд'1 ± 15 % отн. |
± 7 % отн. |
ГГС-Т или ГГС-К в комплекте с ИМ СН2С12ИМ51 - М-Б | ||||
От 0 до 375000 млрд'1 |
ПНГ - воз дух |
- |
Марка А по ТУ 6- 21-5-82 | ||||
2000 млрд'1 ± 15 % отн. |
± 7 % отн. |
ГГС-Т или ГГС-К в комплекте с ИМ СН2С12ИМ51 -М-Б | |||||
187500 млрд'1 ± 10 % отн. |
340000 млрд'1 ± 10 % отн. |
± 2,5 % отн. |
ГСО 10549-2014 (хлористый метилен - воздух) |
Определяемый компонент |
Диапазон измерений объемной доли определяемого компонента |
Номинальное значение объемной доли определяемого компонента в ГС, пределы допускаемого отклонения |
Погрешность аттестации |
Номер ГС по реестру ГСО или источник ГС | |||
ГС № 1 |
ГС №2 |
ГС №3 |
ГС №4 | ||||
Моноэтаноламин (NH2(CH2)2OH) |
От 0 до 200 млрд’1 |
ПНГ - воз дух |
- |
Марка А по ТУ 6- 21-5-82 | |||
5,2 млрд’1 ± 15 % отн. |
100 млрд’1 ± 15 % отн. |
175 млрд’1 ± 15 % отн. |
± 7 % отн. |
ГГС-Т или ГГС-К в комплекте с ИМ NH2(CH2)2OH ИМ79 -М-Б | |||
От 0 до 600 млрд’1 |
ПНГ - воз дух |
- |
Марка А по ТУ 6- 21-5-82 | ||||
5,2 млрд’1 ± 15 % отн. |
300 млрд’1 ± 15 % отн. |
521 млрд’1 ± 15 % отн. |
± 7 % отн. |
ГГС-Т или ГГС-К в комплекте с ИМ NH2(CH2)2OH ИМ79 -М-Б | |||
Сероуглерод (CS2) |
От 10 до 1950 млрд’1 |
100 млрд’1 ± 15 % отн. |
1000 млрд’1 ± 15 % отн. |
1900 млрд’1 ± 15 % отн. |
± 7 % отн. |
ГГС-Т или ГГС-К в комплекте с ИМ CS2 ИМ41 - М-А2 | |
Метилмеркаптан (CH3SH) |
От 1 до 13000 млрд’1 |
500 млрд’1 ± 15 % отн. |
6500 млрд’1 ± 15 % отн. |
12400 млрд’1 ± 15 % отн. |
± 7 % отн. |
ГГС-Т или ГГС-К в комплекте с ИМ СНзБН ИМ38-М - А2 | |
Диметилсульфид ((CH3)2S) |
От 3 до 20000 |
500 млрд’1 ± 15 % отн. |
10000 млрд’1 ±15% отн. |
17400 млрд’1 ± 15 % отн. |
± 7 % отн. |
ГГС-Т или ГГС-К в комплекте с ИМ (CH3)2S ИМ74 - М -Б | |
Общее содержание серосодержащих соединений (TS)* |
От 1 до 1000 млрд’1 |
50 млрд’1 ± 15 % отн. |
500 млрд’1 ± 15 % отн. |
870 млрд’1 ± 15 % отн. |
± 7 % отн. |
ГГС-Т или ГГС-К в комплекте с ИМ SO2 ИМ05 - М -А2 |
Определяемый компонент |
Диапазон измерений объемной доли определяемого компонента |
Номинальное значение объемной доли определяемого компонента в ГС, пределы допускаемого отклонения |
Погрешность аттестации |
Номер ГС по реестру ГСО или источник ГС | |||
ГС № 1 |
ГС №2 |
ГС №3 |
ГС №4 | ||||
Общее содержание серосодержащих соединений (TS)* |
От 0 до 20 млн'1 |
Азот |
- |
Сорт 1-й по ГОСТ 9293-74 | |||
0,00054 % ± 30 % отн. |
0,001 % ±30 % отн. |
±(-1111,1Х+5,11)% отн. |
ГСО 10342-2013 (диоксид серы -азот) | ||||
0,00167% ± 20 % отн. |
± (-15,15Х+4,015) % отн. |
ГСО 10342-2013 (диоксид серы -азот) | |||||
Примечания
*Поверка анализаторов по измерительному каналу общего содержания серосодержащих соединений (TS) проводится при подаче ГС состава диоксид серы - азот для проверки работоспособности конвертера серосодержащих соединений. |
Приложение Б
(обязательное)
Схемы подачи ГС на анализатор

4 - вентиль тонкой регулировки;
Примечание - расход ГС установить таким образом, чтобы показания ротаметра 8 были в диапазоне от 50 до 150 см3-мин-1.
Рисунок Б.1 - Схема подачи ГС на анализатор с ФИД-детектором

£>
в линию сброса

В штуцер comb/pilot
-
1 - источник ГС (баллон или ГГС);
-
2 - тройник;
-
3 - баллон с водородом или генератор водорода;
-
4 - баллон с воздухом или генератор нулевого воздуха;
5,6- редуктор;
-
7 - анализатор;
-
8 - ротаметр;
-
9 - вентиль тонкой регулировки
-
Рисунок Б.2 - Схема подачи ГС на анализатор с ПИД-детектором
Приложение В
(обязательное)
Метрологические характеристики анализатора
Диапазоны показаний, диапазоны измерений и пределы допускаемой погрешности анализаторов приведены в таблицах В.1 - В.З.
Таблица В. 1
Определяемый компонент |
Диапазон показаний объемной доли определяемого компонента, млрд'1 |
Диапазон измерений содержания определяемого компонента |
Пределы допускаемой погрешности, % | ||
объемная доля, млрд'1 |
массовая концентрация3^, мг/м3 |
приведенной |
относительной | ||
Винилхлорид (СН2СНС1) |
От Одо 2000° |
От 0 до 200 |
От 0 до 0,56 |
± 15 |
- |
св. 200 до 2000 |
св. 0,56 до 5,6 |
- |
± 15 | ||
От 1 до 1000 |
От 1 до 1000 |
От 0,003 до 2,9 |
- |
± 15 | |
От Одо 5000° |
От 0 до 200 |
От 0 до 0,56 |
± 15 |
- | |
св. 200 до 5000 |
св. 0,56 до 14 |
- |
± 15 | ||
Ацетальдегид (СНзСНО) |
От 0 до 50000° |
От 0 до 5000 |
От 0 до 7,2 |
± 10 |
- |
св. 5000 до 5000 0 |
св. 7,2 до 72 |
± 10 | |||
От 1 до 500 |
От 1 до 500 |
св. 0,0014 до 0,72 |
- |
± 15 | |
Метанол (СНзОН) |
От 0 до 20000001} |
От 0 до 15000 |
От 0 до 22 |
± 15 |
- |
св. 15000 до 2000000 |
св. 22 до 29 |
- |
± 15 | ||
От 0 до 150000° |
От 0 до 10000 |
От 0 до 15 |
± 15 |
- | |
св. 10000 до 150000 |
св. 15 до 220 |
- |
± 15 | ||
От 0 до 15000 |
От 0 до 350 |
От 0 до 0,5 |
± 15 |
- | |
св. 350 до 7000 |
св. 0,5 до 10 |
- |
± 15 | ||
Бензол (СбНб) |
От 0 до 2000 |
От 0 до 200 |
От 0 до 0,7 |
± 15 |
- |
св. 200 до 2000 |
св. 0,7 до 7,0 |
- |
± 15 | ||
От 0 до 8000 |
От 0 до 200 |
От 0 до 0,7 |
± 15 |
- | |
св. 200 до 8000 |
св. 0,7 до 28,0 |
- |
± 15 | ||
От 0 до 30000 |
От 0 до 30 |
От 0 до 0,11 |
± 15 | ||
Св. 30 до 3000 |
св. 0,11 до 11 |
± 15 |
Определяемый компонент |
Диапазон показаний объемной доли определяемого компонента, млрд'1 |
Диапазон измерений содержания определяемого компонента |
Пределы допускаемой погрешности, % | ||
объемная доля, млрд'1 |
массовая концентрация3), мг/м3 |
приведенной |
относительной | ||
Толуол (С6Н5СНз) |
От 0 до 5000 |
От 0 до 500 |
От 0 до 2,1 |
± 15 |
- |
св. 500 до 5000 |
св. 2,1 до 21 |
- |
± 15 | ||
От 0 до 30000 |
От 0 до 150 |
От 0 до 0,7 |
± 15 | ||
Св. 150 до 2000 |
св. 0,7 до 8,3 |
± 15 | |||
От 0 до 75000 |
От 0 до 500 |
От 0 до 2,1 |
± 15 |
- | |
св. 500 до 75000 |
св. 2,1 до 315 |
- |
± 15 | ||
От 0 до 300 |
От 0 до 300 |
От 0 до 1,3 |
± 15 |
- | |
Этилбензол (СбН5С2Н5) |
От 1 до 5000 |
От 1 до 5000 |
От 0,0047 до 24 |
- |
± 15 |
От 0 до 50° |
От 0 до 50 |
От 0 до 0,24 |
± 15 |
- | |
От 0 до 100° |
От 0 до 100 |
От 0 до 0,48 |
± 15 |
- | |
От 10 до 2000° |
От 10 до 200 |
От 0,048 до 0,96 |
±15 |
- | |
св. 200 до 2000 |
св. 0,95 до 9,5 |
- |
±15 | ||
От 10 до 10000° |
От 10 до 200 |
От 0,048 до 0,96 |
±15 |
- | |
св. 200 до 10000 |
св. 0,95 до 47,5 |
- |
±15 | ||
От 0 до 300° |
От 0 до 300 |
От 0 до 1,5 |
± 15 |
- | |
о-м-п - ксилол С6Н4(СН3)2 |
От 0 до 5000 |
От 0 до 500 |
От 0 до 2,4 |
± 15 |
- |
св. 500 до 5000 |
св. 2,4 до 24 |
- |
± 15 | ||
От 0 до 30000 |
От 0 до 40 |
От 0 до 0,19 |
± 15 | ||
Св. 40 до 1000 |
св. 0,19 до 4,8 |
± 15 | |||
От 0 до 30000 |
От 0 до 500 |
От 0 до 2,4 |
± 15 |
- | |
св. 500 до 30000 |
св. 2,4 до 144 |
- |
± 15 | ||
Акрилонитрил (CH2CHCN) |
От 0 до 100000° |
От 0 до 2000 |
От 0 до 4,8 |
± 15 |
- |
св. 2000 до 27200 |
св. 4,8 до 65 |
- |
± 15 | ||
От 1 до 3000 |
От 1 до 3000 |
От 0,002 до 7,2 |
- |
15 | |
Оксид этилена (С2Н4О) |
От 0 до 10000° |
От 0 до 1000 |
От 0 до 2,0 |
± 10 |
- |
св. 1000 до 10000 |
св. 2,0 до 20 |
- |
± 10 | ||
От 0 до 5000 |
От 0 до 15 |
От 0 до 0,03 |
15 |
- | |
св. 15 до 2000 |
св. 0,03 до 4,0 |
- |
15 |
Определяемый компонент |
Диапазон показаний объемной доли определяемого компонента, млрд-1 |
Диапазон измерений содержания определяемого компонента |
Пределы допускаемой погрешности, % | ||
объемная доля, млрд'1 |
массовая концентрация3'1, мг/м3 |
приведенной |
относительной | ||
Метан (СНд) |
От 0 до 5000000° |
От 0 до 250000 |
От 0 до 180 |
±5 |
- |
св. 250000 до 5000000 |
св. 180 до 3600 |
- |
±5 | ||
От 0 до 10000000° |
От 0 до 200000 |
От 0 до 15 |
±10 |
- | |
св. 200000 до 10000000 |
св. 15до 7200 |
- |
±10 | ||
Этанол (С2Н5ОН) |
От 0 до 100 |
От 0 до 100 |
От 0 до 0,21 |
± 15 |
- |
От 0 до 50000 |
От 0 до 2430 |
От 0 до 5,0 |
±10 |
- | |
св. 2430 до 35000 |
св. 5,0 до 72 |
- |
±10 | ||
Нафталин (CioHs) |
От 1 до 5000 |
От 1 до 5000 |
От 0,006 до 29 |
- |
± 15 |
Формальдегид (СН2О) |
От 0 до 100000 |
От 0 до 30 |
От 0 до 0,04 |
±20 |
- |
св. 30 до 8000 |
св. 0,04 до 11 |
- |
±20 | ||
Метилэтилкетон (СН3СОСН2СН3) |
От 0 до 5000° |
От 0 до 500 |
От 0 до 1,7 |
± 15 |
- |
св. 500 до 5000 |
св. 1,7 до 17 |
- |
± 15 | ||
От 0 до 100000° |
От 0 до 500 |
От 0 до 1,7 |
± 15 |
- | |
св. 500 до 35000 |
св. 1,7 до 119 |
- |
± 15 | ||
Хлороформ (СНС1з) |
От 0 до 5000° |
От 0 до 500 |
От 0 до 2,7 |
± 15 |
- |
св. 500 до 5000 |
св. 2,7 до 27 |
- |
± 15 | ||
От 0 до 10000 |
От 0 до 13 |
От 0 до 0,069 |
± 15 |
- | |
св. 13 до 5000 |
св. 0,069 до 27 |
- |
± 15 | ||
Четыреххлористый углерод (CCU) |
От 0 до 5000 |
От 0 до 500 |
От 0 до 3,5 |
± 15 |
- |
св. 500 до 5000 |
св. 3,5 до 35 |
- |
± 15 | ||
От 0 до 15000 |
От 0 до 500 |
От 0 до 3,5 |
± 15 |
- | |
св. 500 до 15000 |
св. 3,5 до 105 |
- |
± 15 | ||
От 0 до 2000 |
от 0 до 10 |
От 0 до 0,069 |
± 15 |
- | |
св. 10 до 1200 |
св. 0,069 до 8,3 |
- |
± 15 | ||
Общее содержание углеводородов (SCxHy)2) |
От 0 до 10000000° |
От 0 до 200000 |
От 0 до 150 |
±10 |
- |
св.200000 до 10000000 |
св. 150 до 7200 |
- |
±10 | ||
Стирол (CsHs) |
От 1 до 3000 |
От 1 до 3000 |
От 0,005 до 14 |
- |
±15 |
От 0 до 10000° |
От 0 до 1000 |
От 0 до 4,7 |
±15 |
- | |
св. 1000 до 10000 |
св. 4,7 до 47 |
- |
±15 | ||
От 0 до 300° |
От 0 до 300 |
От 0 до 1,4 |
±15 |
- |
Определяемый компонент |
Диапазон показаний объемной доли определяемого компонента, млрд'1 |
Диапазон измерений содержания определяемого компонента |
Пределы допускаемой погрешности, % | ||
объемная доля, млрд'1 |
массовая концентрация3), мг/м3 |
приведенной |
относительной | ||
Циклогексан (С6Н12) |
От 5 до 2000 |
От 5 до 200 |
От 0,019 до 0,76 |
- |
±15 |
св.200 до 2000 |
св. 0,76 до 7,6 |
- |
±15 | ||
От 5 до 60000 |
От 5 до 200 |
От 0,019 до 0,76 |
- |
±15 | |
св.200 до 60000 |
св. 0,76 до 228 |
- |
±15 | ||
1,3 бутадиен (С4Н6) |
От 5 до 2000 |
От 5 до 2000 |
От 0,012 до 4,9 |
±25 |
- |
Сероводород (H2S) |
От 1 до 1000 |
От 1 до 1000 |
От 0,0015 до 1,6 |
- |
±15 |
Ацетофенон (С8Н8О) |
От 0,1 до 300 |
От 0,1 до 300 |
От 0,0005 до 1,7 |
- |
±15 |
От 0,1 до 300 |
От 0,1 до 3000 |
От 0,0005 до 17 |
- |
±15 | |
Ацетон (СзНбО2) |
От 0 до 5000 |
От 0 до 40 |
От 0 до 0,11 |
±15 |
- |
св. 40 до 2500 |
св. 0,11 до 6,5 |
- |
±15 | ||
От 0 до 500000 |
От 0 до 40 |
От 0 до 0,11 |
±15 |
- | |
св. 40 до 250000 |
св. 0,11 до 650 |
- |
±15 | ||
Бутанол (С4Н10О) |
От 0 до 1000 |
От 0 до 30 |
От 0 до 0,099 |
±15 |
- |
св. 30 до 500 |
св. 0,099 до 1,7 |
- |
±15 | ||
От 0 до 20000 |
От 0 до 30 |
От 0 до 0,099 |
±15 |
- | |
св. 30 до 10000 |
св. 0,099 до 34 |
- |
±15 | ||
Бутилацетат (С6Н12О2) |
От 0 до 1000 |
От 0 до 20 |
От 0 до 0,11 |
±15 |
- |
св. 20 до 500 |
св. 0,11 до 2,6 |
- |
±15 | ||
От 0 до 100000 |
От 0 до 20 |
От 0 до 0,11 |
±15 |
- | |
св. 20 до 100000 |
св. 0,11 до 520 |
- |
±15 | ||
Этилен (С2Н4) |
От 0 до 50000 |
От 0 до 2400 |
От 0 до 6,5 |
±10 |
- |
св. 2400 до 25000 |
св. 6,5 до 67 |
- |
±10 | ||
Муравьиная кислота (НСООН) |
От 0 до 200 |
От 0 до 30 |
От 0 до 0,062 |
±15 |
- |
св. 30 до 200 |
св. 0,062 до 0,42 |
- |
±15 | ||
От 0 до 2000 |
От 0 до 30 |
От 0 до 0,062 |
±15 |
- | |
св. 30 до 2000 |
св. 0,062 до 4,2 |
- |
±15 | ||
Изопропанол (С3Н7ОН) |
От 0 до 50000 |
От 0 до 230 |
От 0 до 0,62 |
±15 |
- |
св. 230 до 25000 |
св. 0,62 до 67 |
- |
±15 | ||
Фенол (СбНбО) |
От Одо 100п |
От 0 до 100 |
От 0 до 1,8 |
±15 |
- |
Определяемый компонент |
Диапазон показаний объемной доли определяемого компонента, млрд-1 |
Диапазон измерений содержания определяемого компонента |
Пределы допускаемой погрешности, % | ||
объемная доля, млрд-1 |
массовая концентрация3), мг/м3 |
приведенной |
относительной | ||
Хлорбензол (С6Н5С1) |
От 0 до 1000 |
От 0 до 20 |
От 0 до 0,084 |
±15 |
- |
св. 20 до 500 |
св. 0,084 до 2,1 |
- |
±15 | ||
От 0 до 150000 |
От 0 до 20 |
От 0 до 0,084 |
±15 |
- | |
св. 20 до 75000 |
св. 0,084 до 315 |
- |
±15 | ||
Циклогексанон (СбНюО) |
От 0 до 5000 |
От 0 до 10 |
От 0 до 0,044 |
±15 |
- |
св. 10 до 2000 |
св. 0,044 до 8,8 |
- |
±15 | ||
От 0 до 15000 |
От 0 до 10 |
От 0 до 0,044 |
±15 |
- | |
св. 10 до 6000 |
св. 0,044 до 26,4 |
- |
±15 | ||
Этилацетат (С4Н8О2) |
От 0 до 5000 |
От 0 до 25 |
От 0 до 0,098 |
±15 |
- |
св. 25 до 500 |
св. 0,098 до 2,0 |
- |
±15 | ||
Этилацетат (С4Н8О2) |
От 0 до 150000 |
От 0 до 25 |
От 0 до 0,098 |
±15 |
- |
св.25 до 35000 |
св. 0,098 до 140 |
- |
±15 | ||
1,2-дихлорэтан (С2Н4С12) |
От 0 до 10000 |
От 0 до 250 |
От 0 до 1,1 |
±15 |
- |
св. 250 до 10000 |
св. 1,1 до 45 |
- |
±15 | ||
Бутен-1 (С4Н8-1) |
От 0 до 25000 |
От 0 до 1200 |
От 0 до 3,0 |
±10 |
- |
св. 1200 до 15000 |
св. 3,0 до 38 |
- |
±10 | ||
Пропилен (СзНб) |
От 0 до 50000 |
От 0 до 1600 |
От 0 до 3,0 |
±10 |
- |
св. 1600 до 25000 |
св. 3,0 до 47 |
- |
±10 | ||
Хлористый метилен (СН2С12) |
От 0 до 100000 |
От 0 до 2300 |
От 0 до 8,8 |
±15 |
- |
св. 2300 до 5000 |
св. 8,8 до 19 |
- |
±15 | ||
От 0 до 375000 |
От 0 до 2300 |
От 0 до 8,8 |
±15 |
- | |
св. 2300 до 375000 |
св. 8,8 до 1425 |
±15 | |||
Моноэтаноламин (NH2(CH2)2OH) |
От 0 до 200 |
От 0 до 6 |
от 0 до 0,017 |
±15 |
- |
св. 6 до 200 |
св. 0,017 до 0,55 |
- |
±15 | ||
От 0 до 600 |
От 0 до 6 |
от 0 до 0,017 |
±15 |
- | |
св. 6 до 600 |
св. 0,017 до 1,65 |
- |
±15 | ||
Сероуглерод (CS2) |
От 10 до 6000 |
От 10 до 6000 |
От. 0,03 до 6,16 |
- |
±15 |
Метилмеркаптан (CH3SH) |
От 1 до 13000 |
От 1 до 13000 |
св. 0,002 до 25,9 |
- |
±15 |
Диметилсульфид ((CH3)2S) |
От 3 до 20000 |
От 3 до 20000 |
св. 0,0077 до 51,5 |
- |
±15 |
Определяемый компонент |
Диапазон показаний объемной доли определяемого компонента, млрд’1 |
Диапазон измерений содержания определяемого компонента |
Пределы допускаемой погрешности, % | ||
объемная доля, млрд’1 |
массовая концентрация3), мг/м3 |
приведенной |
относительной | ||
Общее содержание серосодржа-щих соединений (TS)* |
От 1 до 1000 |
От 1 до 1000 |
От 0,0015 до 1,6 |
±15 | |
Примечания:
Пересчет значений объемной доли определяемого компонента X, млрд’1 в массовую концентрацию, мг/м3 проводят по формуле 1000 vm' где М - молярная масса определяемого компонента, г/моль, Vm - молярный объем газа-разбавителя - азота или воздуха, равный 24,04 или 24,06 дм3/моль, соответственно, при условиях 20 °C и 101,3 кПа по ГОСТ 12.1.005-88 - воздух рабочей зоны или 22,4 дм3/моль, при условиях 0 °C и 101,3 кПа по РД 52.04.186-89 - атмосферный воздух. * - в пересчете на сероводород (H2S). |
Таблица В.2
Определяемый компонент |
Диапазон показаний объемной доли определяемого компонента, млн’1 |
Диапазон измерений содержания определяемого компонента, |
Пределы допускаемой погрешности, % | ||
объемная доля, млн’1 |
массовая кон центрация2), мг/м3 |
приведенной |
относительной | ||
Этан (СгНб) |
От 0 до 100 |
От 0 до 20 |
от 0 до 27 |
15 |
- |
св. 20 до 100 |
св. 27 до 140 |
- |
15 | ||
Этилен (С2Н4) |
От 1 до 20 |
От 1 до 20 |
от 1,3 до 25 |
10 |
- |
Пропан (С3Н8) |
От 1 до 20 |
От 1 до 20 |
От 2,0 до 40 |
10 |
- |
Диоксид серы (SO2) |
От 0 до 201) |
От 0 до 4 |
от 0 до 12 |
20 |
- |
св. 4 до 20 |
св. 12 до 58 |
- |
20 | ||
Сероводород (H2S) |
От 0 до 20’) |
От 0 до 7 |
от 0 до 11 |
20 |
- |
св. 7 до 20 |
св. 11 до 31 |
- |
20 | ||
Оксид углерода (СО) |
От 0 до 1001) |
От 0 до 20 |
от 0 до 26 |
10 |
- |
св. 20 до 100 |
св. 26 до 130 |
- |
10 | ||
От 0 до 500’) |
От 0 до 20 |
от 0 до 25 |
10 |
- | |
св. 20 до 500 |
св. 25 до 630 |
- |
10 | ||
Диоксид углерода (СО2) |
От 0 до 2000 |
От 0 до 2000 |
От 0 до 4000 |
10 |
- |
Общее содержание углеводородов (SC4Hy)*’ ** |
От 1 до 10 |
От 1 до 10 |
От 2,6 до 26 |
15 |
Определяемый компонент |
Диапазон показаний объемной доли определяемого компонента, млн'1 |
Диапазон изме ния определяем |
объемная доля, млн'1 | ||
Общее содержание углеводородов (SCxHy)***’ **** |
От 0,1 до 1,0 |
От 0,1 до 1,0 |
Общее содержание серосо-држащих соединений (TS)***** |
От 0 до 20 |
От 0 до 7 |
св. 7 до 20 | ||
Примечания: ') - используется для контроля ПДК рабочей зоны; 2) - для условий 0 °C и 101,3 кПа в соответствии с Пересчет значений объемной доли определяемого мг/м3 проводят по формуле С = X где М - молярная масса определяемого компонент Vm - молярный объем газа-разбавителя - азот соответственно, при условиях 20 °C и 101,3 кПа по 22,4 дм3/моль, при условиях 0 °C и 101,3 кПа по P.Z * - в пересчете на н-бутан (СдНю); ** - молекула содержит 4 атома углерода; *** - в пересчете на н-пентан (С5Н12); **** - молекула содержит 5 и более атомов углеро *****- в пересчете на сероводород (H2S). |
фений содержа-юго компонента, |
Пределы допускаемой погрешности, % | |
массовая концентрация2), мг/м3 |
приведенной |
относительной |
От 0,32 до 3,2 |
15 | |
от 0 до 11 |
20 |
- |
св. 11 до 31 |
20 | |
требованиями РД 52.04.186-89; компонента X, млн'1 в массовую концентрацию, м х —, Vm а, г/моль, а или воздуха, равный 24,04 или 24,06 дм3/моль, ГОСТ 12.1.005-88 - воздух рабочей зоны или Д 52.04.186-89 - атмосферный воздух. да; |
Таблица В.З
Определяемый компонент |
Диапазон показаний объемной доли определяемого компонента, % |
Диапазон измерений объемной доли определяемого компонента, % |
Пределы допускаемой погрешности, % | |
приведенной |
относительной | |||
Метан (СТЦ) |
От 0 до 100 |
От 0 до 0,1 |
10 |
- |
св. 20 до 100 |
- |
10 | ||
Этан (С2Н6)* |
От 0 до 100 |
От 0 до 0,1 |
10 |
- |
св. 20 до 100 |
- |
10 | ||
Пропан (С3Н8)* |
От 0 до 100 |
От 0 до 0,1 |
10 |
- |
св. 20 до 100 |
- |
10 | ||
Бутан (С4Н10)* |
От 0 до 100 |
От 0 до 0,1 |
10 |
- |
св. 20 до 100 |
- |
10 | ||
Изобутан (ПСдНк))* |
От 0 до 100 |
От 0 до 0,1 |
10 |
- |
св. 20 до 100 |
- |
10 | ||
Пентан (С5Н12)* |
От 0 до 100 |
От 0 до 0,1 |
10 |
- |
св. 20 до 100 |
- |
10 | ||
Изопентан (i-CsH^)* |
От 0 до 100 |
От 0 до 0,1 |
10 |
- |
св. 20 до 100 |
- |
10 | ||
Диоксид углерода (СО2)* |
От 0 до 100 |
От 0 до 0,1 |
10 |
- |
св. 20 до 100 |
- |
10 | ||
Примечание * - в пересчете на метан (СН4). |
Зав. №__________________________________________________________________________________
Принадлежит______________________________________________________________________
Дата выпуска_________________________________________________________________________
Дата поверки____________________________________________________________________________
Условия поверки:
температура окружающего воздуха____________________________________________________°C;
относительная влажность окружающего воздуха_________________________________________%;
атмосферное давление________________________________________________________________кПа.
РЕЗУЛЬТАТЫ ПОВЕРКИ
1 Результаты внешнего осмотра____________________________________________________________
2 Результаты опробования_________________________________________________________________
3 Результаты определения метрологических характеристик:
Состав ГС |
Номинальное значение содержания определяемого компонента |
Показания СИ |
Погрешность |
Пределы допускаемой погрешности |
Вариация показаний_____________________________________________________________________
4 Заключение о годности_____________________________________________________________
Поверитель__________________________________________________________________________
41
- Допускается использование стандартных образцов состава газовых смесей (ГС), не указанных в Приложении А, при выполнении следующих условий:
-
- номинальное значение и пределы допускаемого отклонения содержания определяемого компонента в ГС должны соответствовать указанному для соответствующей ГС из приложения А;
-
- отношение погрешности, с которой устанавливается содержание компонента в ГС к пределу допускаемой основной погрешности поверяемого анализатора, должно быть не более 1/3.