Методика поверки «Система автоматизированная информационно-измерительная коммерческого учета электрической энергии и мощности (АИИС КУЭ) мобильной ГТЭС, размещенной на территории Калининградской ТЭЦ-1» (МП НВЦП.422200.086)

директора «ВНИИМС»
УТВЕРЖДАЮ
В. Н. Яншин
__________2015г.
Система автоматизированная информационно-измерительная коммерческого учета электрической энергии и мощности (АИИС КУЭ) мобильной ГТЭС, размещенной на территории Калининградской ТЭЦ-1
МЕТОДИКА ПОВЕРКИ
НВЦ11.422200. 086.МП
Л о-2015г.
Настоящая методика устанавливает порядок проведения первичной и периодической поверки системы автоматизированной информационно-измерительной коммерческого учета электрической энергии и мощности (АНИС КУЭ) мобильной ГТЭС, размещенной на территории Калининградской ТЭЦ-1 (в дальнейшем - АНИС КУЭ мобильной ГТЭС на ТЭЦ-1 или АИИС КУЭ). Поверке подлежат измерительные каналы (в дальнейшем ИК) системы автоматизированной информационно-измерительной коммерческого учета электрической энергии и мощности (АИИС КУЭ) мобильной ГТЭС, размещенной на территории Калининградской ТЭЦ-1, по которым производится расчетный (коммерческий) учет электрической энергии.
Первичную поверку ИК проводят после установки и монтажа АИИС КУЭ мобильной ГТЭС на ТЭЦ-1 на объекте и проведения опытной эксплуатации. Первичную поверку выполняют после проведения испытаний с целью утверждения типа.
Периодическую поверку выполняют в процессе эксплуатации АИИС КУЭ.
Внеочередную поверку АИИС КУЭ проводят после ремонта системы, замены её измерительных компонентов, аварий в энергосистеме, если эти события могли повлиять на метрологические характеристики ИК. Допускается подвергать поверке только те ИК, которые подверглись указанным выше воздействиям, при условии, что собственник АИИС КУЭ подтвердит официальным заключением, что остальные ИК этим воздействиям не подвергались. В этом случае может быть оформлено дополнение к основному свидетельству о поверке системы с соответствующей отметкой в основном свидетельстве.
Интервал между поверками - 4 года.
1.ОБЩИЕ ТРЕБОВАНИЯ К ИЗМЕРИТЕЛЬНЫМ КАНАЛАМ
-
1.1. Погрешность измерений электрической энергии и мощности в основном определяется погрешностями измерительных трансформаторов напряжения (TH), трансформаторов тока (ТТ) и электросчетчиков Эсч.
ЛПД - линии передачи данных.
Структура ИК приведена на рис. 1.

3cnN
Рис.1
Такую структуру ИК используют в случае, когда применяются счетчики с цифровым выходом. В этом случае вся информация об энергопотреблении в цифровом виде с координатами времени и без искажений может быть передана на УСПД по его запросу или в автоматическом режиме.
УСПД в своем составе имеет цифровые входы, встроенные часы, электронную память и интерфейсы связи. Каналы связи и преобразователи интерфейсов не вносят дополнительных погрешностей в ИК энергии и мощности, потому что передаче подлежит только цифровая информация, и протоколы обмена имеют защиту от искажения помехами. В случае сбоя при передаче данных запрос повторяется, что делает процесс измерений устойчивым к сбоям. При повреждении каналов связи роль ЭВМ может выполнять переносной компьютер.
Точность измерений электрической энергии по одному каналу и по группе каналов
характеризуется пределом допускаемой относительной погрешности при доверительной вероятности 0,95 и пороговой мощностью, ниже которой идет учет электроэнергии без нормирования точности. При измерении количества электрической энергии, оплачиваемой по тарифу, зависящему от времени суток, точность канала дополнительно характеризуется абсолютной погрешностью измерений системного времени.
Точность измерений электрической мощности по одному каналу и по группе каналов характеризуется:
-
- пределом относительной погрешности электрической мощности при доверительной вероятности 0,95;
-
- диапазоном мощности, измеряемой с нормированной точностью.
Поскольку все компоненты системы, участвующие в измерении и вносящие погрешность, должны быть метрологически годны согласно действующим свидетельствам о поверке, погрешность ИК оценивается расчетным методом. Исключение составляют погрешность и рассогласование по времени, так как они зависят от состояния каналов связи.
Общая погрешность измерительного канала состоит из инструментальных и методических составляющих погрешностей. Инструментальные составляющие погрешности определяют по документации на конкретные типы средств измерений. Методические составляющие погрешности определяются расчетным путем с учетом метрологических характеристик средств измерений.
-
2. ОПЕРАЦИИ И СРЕДСТВА ПОВЕРКИ
При проведении поверки должны быть выполнены следующие операции, указанные в таблице 2.1, и должны использоваться средства поверки, указанные в таблице 2.2. Допускается применение других средств измерений и контроля с аналогичными или лучшими метрологическими характеристиками. Все средства измерений должны быть поверены и иметь действующие свидетельства о поверке или оттиски поверительных клейм.
Таблица 2.1 - Операции поверки
№ |
Операции поверки |
Номер пункта методики поверки |
1 |
Подготовка к поверке |
6 |
2 |
Подтверждение соответствия ПО СИ |
7.1 |
3 |
Внешний осмотр |
7.2 |
4 |
Поверка измерительных компонентов АИИС КУЭ мобильной ГТЭС на ТЭЦ-1 |
7.3 |
5 |
Проверка счетчиков электрической энергии |
7.4 |
6 |
Проверка функционирования УСПД и АРМ |
7.5 |
7 |
Проверка функционирования вспомогательных устройств |
7.6 |
8 |
Проверка нагрузки вторичных цепей измерительных трансформаторов напряжения |
7.7 |
9 |
Проверка нагрузки вторичных цепей измерительных трансформаторов тока |
7.8 |
10 |
Проверка падения напряжения в линии связи между вторичной обмоткой TH и счетчиком |
7.9 |
И |
Проверка абсолютной погрешности часов |
7.10 |
12 |
Проверка отсутствия ошибок информационного обмена |
7.11 |
13 |
Проверка метрологических характеристик измерительных каналов |
7.12 |
Допускается проведение поверки с применением рабочих эталонов и вспомогательных средств поверки, не указанных в таблице, но обеспечивающих определение и контроль метрологических характеристик с требуемой точностью.
Таблица 2.2 - Средства проведения поверки
Наименование средства измерения |
Метрологические характеристики |
Радиочасы МИР РЧ-01 Измеритель многофункциональный SKYWATCH модели GEOS N11 Вольтамперфазометр «Парма ВАФ- А(М)» Мультиметр «Ресурс - ПЭ» |
Пределы допускаемой погрешности привязки переднего фронта выходного импульса к шкале координированного времени UTC, ± 1мкс. (-4(Н85)°С, погрешность ±0,5°С; Относительная влажность воздуха (1-400) %, относ, погрешность ±2 %, температура (15^-30) °C; Атмосферное давление (630 + 800) мм рт. ст., относит, погрешность ±0,5 %; Диапазон измерений 0,1 -10 А. Предел основной погрешности измерения силы тока ±(0,008 Х+0,01), где X- измеренное значение силы тока. Границы относительной погрешности измерений полной мощности 3s:
3s= ± 1 % от измеренного значения;
|
-
- средства поверки измерительных трансформаторов напряжения по ГОСТ 8.216-2011;
-
- средства поверки измерительных трансформаторов тока по ГОСТ 8.217-2003.
-
3. УСЛОВИЯ ПОВЕРКИ И ПОДГОТОВКИ К НЕЙ
При проведении поверки должны быть соблюдены следующие условия:
-
1) температура окружающего воздуха (20 ± 5) °C
-
2) относительная влажность (30-80) %;
-
3) напряжение питающей сети 220 В ± 10 %,
-
4) частота (50±1) Гц;
-
5) атмосферное давление от 86 до 106,7 кПа.
Допускается проводить поверку в рабочих условиях эксплуатации ИК, если при этом соблюдаются условия эксплуатации рабочих эталонов поверки.
-
4. ТРЕБОВАНИЯ БЕЗОПАСНОСТИ
При проведении поверки должны быть соблюдены требования безопасности, установленные, действующими «Правилами технической эксплуатации электроустановок потребителей» и действующими «Правилами техники безопасности при эксплуатации электроустановок потребителей».
-
5. ТРЕБОВАНИЯ К КВАЛИФИКАЦИИ ПОВЕРИТЕЛЕЙ
-
5.1 К проведению поверки допускаются лица, аттестованные в качестве поверителей в порядке, установленном Госстандартом.
-
5.2 Измерение вторичной нагрузки измерительных трансформаторов тока, входящих в состав АИИС КУЭ, осуществляется персоналом, имеющим стаж работы по данному виду измерений не менее 1 года, изучившим документ «Методика выполнения измерений мощности нагрузки трансформаторов тока в условиях эксплуатации» и прошедшим обучение по проведению измерений в соответствии с указанным документом. Измерение проводят не менее двух специалистов, один из которых должен иметь удостоверение, подтверждающее право работы на установках свыше 1000 В с группой по электробезопасности не ниже III.
-
5.3 Измерение вторичной нагрузки измерительных трансформаторов напряжения, входящих в состав АИИС КУЭ, осуществляется персоналом, имеющим стаж работы по данному виду измерений не менее 1 года, изучившим документ «Методика выполнения измерений мощности нагрузки трансформаторов напряжения в условиях эксплуатации» и прошедшим обучение по проведению измерений в соответствии с указанным документом. Измерение проводят не менее двух специалистов, один из которых должен иметь удостоверение, подтверждающее право работы на установках свыше 1000 В с группой по электробезопасности не ниже IV.
-
5.4 Измерение потерь напряжения в линии соединения счетчика с измерительным трансформатором напряжения, входящими в состав АИИС КУЭ, осуществляется персоналом, имеющим стаж работы по данному виду измерений не менее 1 года, изучившим документ «Методика выполнения измерений потерь напряжения в линиях соединения счетчика с трансформатором напряжения в условиях эксплуатации» и прошедшим обучение по проведению измерений в соответствии с указанным документом. Измерение проводят не менее двух специалистов, один из которых должен иметь удостоверение, подтверждающее право работы на установках свыше 1000 В с группой по электробезопасности не ниже IV.
-
-
6. ПОДГОТОВКА К ПОВЕРКЕ
Перед проведением поверки решается комплекс организационных вопросов, связанных с процессом поверки, в соответствии с порядком, принятым на предприятии. Проводится инструктаж персонала, участвующего в поверке.
Средства поверки и вспомогательные технические средства следует применять в соответствии с требованиями эксплуатационной документации на них.
Проводится ознакомление со структурой и работой ИК по эксплуатационной документации.
-
7. ПРОВЕДЕНИЕ ПОВЕРКИ
-
7.1 Подтверждение соответствия ПО СИ
-
7.1.1 Проверка Цифрового идентификатора программного обеспечения происходит с помощью компьютера (АРМ или ноутбук), подключенного к серверу с ПО «АльфаЦЕНТР». Необходимо с АРМ или ноутбука удаленно подключиться к «АльфаЦЕНТР» и скопировать следующие файлы: amrserver.exe, amrc.exe, amra.exe, cdbora2.dll, encryptdll.dll, alphamess.dll, ac_metrology.dll. Далее необходимо запустить программу md5.exe. В программе появится диалоговое окно, после чего необходимо перенести скопированные с «АльфаЦЕНТР» файлы в рабочее поле программы.
-
-
Далее в закладке диалогового окна выбрать команду - Произвести контрольную сумму. После этого получится соответствующее перенесенным файлам количество файлов, содержащих код MD5 в текстовом формате. При этом наименование файлов MD5 строго соответствует наименованию файлов, для которых проводилось хэширование.
-
7.1.2 Проверка считается положительной, если данные, полученные в п.7.1.1 соответствуют данным, указанным в Описании типа.
-
7.2 Внешний осмотр
-
7.2.1 Проверяют целостность корпусов и отсутствие видимых повреждений измерительных компонентов, наличие поверительных пломб и клейм.
-
7.2.2 Проверяют размещение измерительных компонентов, правильность схем подключения трансформаторов тока и напряжения к счетчикам электрической энергии; правильность прокладки проводных линий по проектной документации на АИИС КУЭ мобильной ГТЭС на ТЭЦ-1.
-
-
1.2.Ъ Проверяют соответствие типов и заводских номеров фактически использованных измерительных компонентов типам и заводским номерам, указанным в формуляре АИИС КУЭ мобильной ГТЭС на ТЭЦ-1.
-
7.2.4 Проверяют отсутствие следов коррозии и нагрева в местах подключения проводных линий.
-
7.3 Поверка измерительных компонентов АИИС КУЭ мобильной ГТЭС на ТЭЦ-1.
Проверяют наличие свидетельств о поверке и срок их действия для всех измерительных компонентов: измерительных трансформаторов тока и напряжения, счетчиков электрической энергии, УСПД. При обнаружении просроченных свидетельств о поверке измерительных компонентов или свидетельств, срок действия которых близок к окончанию, дальнейшие операции по поверке ИК, в который они входят, выполняют после поверки этих измерительных компонентов.
-
7.4 Проверка счетчиков электрической энергии
-
7.4.1 Проверяют наличие и сохранность пломб поверительных и энергосбытовых организаций на счетчике и испытательной коробке. Проверяют наличие документов энергосбытовых организаций, подтверждающих правильность подключения счетчика к цепям тока и напряжения, в частности, правильность чередования фаз. При отсутствии таких документов или нарушении (отсутствии) пломб проверяют правильность подключения счетчиков к цепям тока и напряжения (соответствие схем подключения - схемам, приведенным в паспорте на счетчик). Проверяют последовательность чередования фаз с помощью вольт-амперфазометра. При проверке последовательности чередования фаз действуют в соответствии с указаниями, изложенными в руководстве по его эксплуатации.
-
7.4.2 Проверяют работу всех сегментов индикаторов, отсутствие кодов ошибок или предупреждений, прокрутку параметров в заданной последовательности.
-
7.4.3 Проверяют работоспособность оптического порта счетчика с помощью переносного компьютера. Преобразователь подключают к любому последовательному порту переносного компьютера. Опрашивают счетчик по установленному соединению. Опрос счетчика считается успешным, если получен отчет, содержащий данные, зарегистрированные счетчиком.
-
7.4.4 Проверяют соответствие индикации даты в счетчике календарной дате (число, месяц, год). Проверку осуществляют визуально или с помощью переносного компьютера через оптопорт.
-
-
7.5 Проверка функционирования УСПД и АРМ
-
7.5.1 Проверяют наличие и сохранность пломб поверительных и энергосбытовых организаций на УСПД. При отсутствии или нарушении пломб проверяют правильность подсоединения УСПД. Проводят опрос текущих показаний всех счетчиков электроэнергии. Проверяют глубину хранения измерительной информации в УСПД.
-
7.5.2 Проверяют правильность функционирования УСПД в соответствии с его эксплуатационной документацией с помощью тестового программного обеспечения. Проверка считается успешной, если все подсоединенные к УСПД счетчики опрошены и нет сообщений об ошибках.
-
7.5.3 Проверяют программную защиту УСПД от несанкционированного доступа.
-
7.5.4 Проверяют правильность значений коэффициентов трансформации измерительных трансформаторов, хранящихся в памяти процессора УСПД.
-
7.5.5 Проверяют защиту программного обеспечения на АРМ от несанкционированного доступа. Для этого запускают на выполнение ПО «АльфаЦЕНТР» и в поле "пароль" вводят неправильный код. Проверку считают успешной, если при вводе неправильного пароля программа не разрешает продолжать работу.
-
-
7.6 Проверка функционирования вспомогательных устройств
-
7.6.1 Проверка функционирования модемов. Проверяют функционирование модемов, используя коммуникационные возможности специальных программ. Модемы считаются исправными в составе комплекса, если с ними были установлены тестовые коммутируемые соединения. Допускается автономная проверка модемов с использованием тестового программного обеспечения.
-
-
7.7 Проверка нагрузки вторичных цепей измерительных трансформаторов напряжения
-
7.7.1 Проверяют наличие и сохранность пломб поверительных и энергоснабжающих организаций на клеммных соединениях, имеющихся на линии связи TH со счетчиком. Проверяют наличие документов энергосбытовых организаций, подтверждающих правильность подключения первичных и вторичных обмоток TH. При отсутствии таких документов или нарушении (отсутствии) пломб проверяют правильность подключения первичных и вторичных обмоток TH. При проверке мощности нагрузки вторичных цепей TH необходимо убедиться, что отклонение вторичного напряжения при нагруженной вторичной обмотке составляет не более ±10 % от Uhom.
-
При помощи мультиметра измеряют мощность нагрузки TH, которая должна находиться в диапазоне (0,25-1,0) Shom.
Примечания:
-
1 Допускается измерения мощности нагрузки вторичных цепей TH не проводить, если такие измерения проводились при составлении паспортов-протоколов на данный измерительный канал в течение истекающего межповерочного интервала системы. Результаты проверки считают положительными, если паспорт-протокол подтверждает выполнение указанного выше условия для TH.
-
2 Допускается мощность нагрузки определять расчетным путем, если известны входные (проходные) импедансы всех устройств, подключенных ко вторичным обмоткам измерительных трансформаторов.
-
7.8 Проверка нагрузки вторичных цепей измерительных трансформаторов тока
-
7.8.1 Проверяют наличие документов энергосбытовых организаций, подтверждающих правильность подключения вторичных обмоток ТТ. При отсутствии таких документов проверяют правильность подключения вторичных обмоток ТТ.
-
7.8.2 При помощи мультиметра измеряют мощность нагрузки вторичных цепей ТТ, которая должна находиться в диапазоне (0,25-1,0) Shom.
-
Примечания:
-
1 Допускается измерения мощности нагрузки вторичных цепей ТТ не проводить, если такие измерения проводились при составлении паспортов-протоколов на данный измерительный канал в течение истекающего межповерочного интервала системы. Результаты проверки считают положительными, если паспорт-протокол подтверждает выполнение указанного выше условия для ТТ.
-
2 Допускается мощность нагрузки определять расчетным путем, если известны входные (проходные) импедансы всех устройств, подключенных ко вторичным обмоткам ТТ.
-
7.9 Проверка падения напряжения в линии связи между вторичной обмоткой TH и счетчиком
При помощи мультиметра измеряют падение напряжения Ил в проводной линии связи для каждой фазы по утвержденному документу «Методика выполнения измерений падения напряжения в линии соединения счетчика с трансформатором напряжения в условиях эксплуатации». Падение напряжения не должно превышать 0,25 % от номинального значения на вторичной обмотке TH.
Примечания:
-
1 Допускается измерение падения напряжения в линии соединения счетчика с TH не проводить, если такие измерения проводились при составлении паспортов - протоколов на данный измерительный канал в течение истекающего интервала между поверками системы. Результаты проверки считают положительными, если паспорт- протокол подтверждает выполнение указанного выше требования.
-
2 Допускается падение напряжения в линии соединения счетчика с TH определять расчетным путем, если известны параметры проводной линии связи и сила электрического тока, протекающего через линию связи.
-
7.10 Проверка абсолютной погрешности часов
-
7.10.1 Производится подключение радиочасов МИР РЧ-01 к АРМ АПИС КУЭ. Подключение радиочасов производится по СОМ порту (при отсутствии СОМ порта на АРМ необходимо подключить радиочасы через переходник USB-COM). На АРМ устанавливается и запускается программа TEST_MOD.EXE, идущая в комплекте с радиочасами.
-
Производится подключение с АРМ АИИС КУЭ к рабочему столу Windows на сервере с ПО «АльфаЦЕНТР» с помощью программы удаленного управления (например программа tight VNC Viewer).
Производится сравнение времени на сервере с ПО «АльфаЦЕНТР» и времени полученного от радиочасов. Время от радиочасов отображается программой TEST_MOD.EXE. Расхождение времени в сервере с ПО «АльфаЦЕНТР» и времени полученного от радиочасов не должно превышать ±5 с.
Производиться сравнение времени считанного со всех УСПД, времени на сервере с ПО «АльфаЦЕНТР» и времени полученного от радиочасов. Считывание времени с УСПД производиться ПО конфигурирования УСДП установленным на сервере с ПО «АльфаЦЕНТР». Расхождение времени УСПД и времени полученного от радиочасов не должно превышать ±5 с. Расхождение времени УСПД и времени сервере с ПО «АльфаЦЕНТР» не должно превышать ±5 с.
Производиться сравнение времени считанного со всех счетчиков, времени на сервере с ПО «АльфаЦЕНТР» и времени полученного от радиочасов. Считывание времени со счетчиков производиться ПО конфигурирования счетчиков установленным на сервере с ПО «АльфаЦЕНТР» с использованием режима «сквозного канала» к счетчику через УСПД. Расхождение времени каждого счетчика и времени полученного от радиочасов не должно превышать ±5 с. Расхождение времени каждого счетчика и времени сервере с ПО «АльфаЦЕНТР» не должно превышать ±5 с.
Через сутки производится повторное сравнение времени радиочасов, времени на сервере с ПО «АльфаЦЕНТР» и времени на УСПД и счетчиках.
Система считается выдержавшей проверку, если:
расхождение времени сервера с ПО «АльфаЦЕНТР», всех УСПД, всех счетчиков и времени полученного от радиочасов не превышает ±5 с.
расхождение времени всех УСПД, всех счетчиков и времени на сервере с ПО «АльфаЦЕНТР» не превышает ±5 с
-
7.11 Проверка отсутствия ошибок информационного обмена
Операция проверки отсутствия ошибок информационного обмена предусматривает экспериментальное подтверждение идентичности числовой измерительной информации в счетчиках электрической энергии (исходная информация), и памяти центрального сервера. В момент проверки все технические средства, входящие в проверяемый ПК, должны быть включены.
-
7.11.1 На АРМ системы распечатывают значения активной и реактивной электрической энергии, зарегистрированные с 30-ти минутным интервалом за полные предшествующие дню проверки сутки по всем ИК. Проверяют наличие данных, соответствующих каждому 30-ти минутному интервалу времени. Пропуск данных не допускается за исключением случаев, когда этот пропуск был обусловлен отключением ИК или устраненным отказом какого-либо компонента системы.
-
7.11.2 Распечатывают журнал событий счетчика и отмечают моменты нарушения связи между измерительными компонентами системы. Проверяют сохранность измерительной информации в памяти УСПД и АРМ системы на тех интервалах времени, в течение которого была нарушена связь.
-
7.11.3 Распечатывают на АРМ профиль нагрузки за полные сутки, предшествующие дню поверки. Подключаются к счетчику используя переносной компьютер и оптопорт или устанавливают подключение к счетчику с АРМ АИИС КУЭ используя возможность прямого доступа к счетчику у УСПД и ИВК. Далее считывают профиль нагрузки, хранящийся в памяти счетчика, за те же сутки, которые были распечатаны на АРМ, профиль нагрузки необходимо считывать в импульсах и производить пересчет с учетом постоянной счетчика. Различие значений активной (реактивной) мощности, хранящейся в памяти счетчика (с учетом коэффициентов трансформации измерительных трансформаторов и постоянной счетчика) и базе данных центрального сервера не должно превышать единицу младшего разряда учтенного значения.
-
7.11.4 Рекомендуется вместе с проверкой по п. 7.11.3 сличать показания счетчика по активной и реактивной электрической энергии строго в конце суток и сравнивать с данными, зарегистрированными в центральном компьютере (сервере) системы для того же момента времени. Для этого визуально или с помощью переносного компьютера через оптопорт считывают показания счетчика по активной и реактивной электрической энергии и сравнивают эти данные, с показаниями, зарегистрированными в АРМ системы. Расхождение не должно превышать единицу младшего разряда.
-
7.12 Проверка метрологических характеристик измерительных каналов.
-
7.12.1 Общие положения.
-
7.12.1.1 Для определения метрологических характеристик (далее - MX) ИК систем всем расчетам, предусмотренным методикой поверки, предшествует установление исходных данных для определения погрешностей ИК.
-
7.12.1.2 Исходные данные для вычисления погрешностей.
-
-
Погрешности измерительных трансформаторов и электросчетчика относятся к инструментальным погрешностям.
Линии передачи данных от УСПД, АРМ до оборудования связи не влияют на погрешность измерений в силу цифрового характера передачи данных.
Погрешность измерений времени определяется погрешностью таймера счетчика, центрального компьютера, и погрешностью, обусловленной запаздыванием в линии передачи данных сигналов корректировки, поступающих от центрального компьютера для синхронизации таймеров.
Принимаемый закон распределения погрешностей - нормальный.
Факторы, определяющие погрешность, - независимы.
Доверительная вероятность определения погрешности равна 0,95.
Погрешности измерительных трансформаторов - не коррелированны между собой.
Колебания напряжения в сети составляют ±10 % от номинального значения, колебания частоты ±5 % от номинального, изменения фазы тока относительно напряжения происходят ОТ ^тах ДО Ртт .
Закон распределения влияющих факторов предполагается нормальным, за исключением амплитуды 3-й гармоники, амплитуды вибрации и напряженности переменного магнитного поля, законы распределения которых предполагаются экспоненциальными.
-
7.12.2 Порядок расчета MX для ИК энергии и мощности.
Операции данного пункта поверки проводятся для каждого канала в отдельности.
-
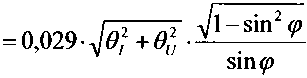
7.12.2.1 Определение погрешности измерения электрической энергии, обусловленной угловыми погрешностями TH и ТТ.
Погрешность измерений активной электроэнергии, обусловленную трансформаторной схемой подключения счетчика в каждой точке диапазона, вычисляют по формуле:
Погрешность измерений реактивной электроэнергии, обусловленную трансформаторной схемой подключения счетчика в каждой точке диапазона, вычисляют по формуле:

(3)
В формулах приведены следующие обозначения:
01
0и
COS (р sin (р
-
- угловая погрешность ТТ, мин;
-
- угловая погрешность TH, мин;
-
- коэффициент мощности для активной электроэнергии;
-
- коэффициент мощности для реактивной электроэнергии.
7.12.2.3 Пределы допускаемых относительных погрешностей измерения активной и реактивной электрической энергии и мощности, определяются композицией пределов допускаемых значений погрешностей трансформаторов напряжения, тока и счетчиков электроэнергии в реальных условиях эксплуатации и практически не зависят от способов передачи измерительной информации и способов организации информационных каналов. (Предел допускаемой дополнительной абсолютной погрешности измерения электроэнергии в АИИС КУЭ мобильной ГТЭС на ТЭЦ-1, получаемой за счет математической обработки измерительной информации, поступающей от счетчиков, составляет единицу младшего разряда измеренного (учтенного) значения).
Расчет доверительных границ относительной погрешности результата измерений активной и реактивной электрической энергии, при доверительной вероятности, равной 0,95 производится по формуле: 5„QI=±i,i.^+з^„е, В формуле приведены следующие обозначения:
(4)
-
- пределы относительной погрешности измерения тока ТТ, %;
-
- пределы относительной погрешности измерения напряжения TH, %;
-
- пределы относительной погрешности схемы подключения счетчика, вызван
ной угловыми погрешностями ТТ и TH, %;
-
- относительная погрешность из-за потерь напряжения в линии соединения
счетчика с TH, %;
-
- основная относительная погрешность измерения времени, %;
-
- пределы основной относительной погрешности счетчика при измерении ак
тивной и реактивной электроэнергии, %;
-
- суммарная дополнительная относительная погрешность счетчика от j-й
влияющей величины при измерении активной и реактивной электроэнергии, %.
8i
8и
09p(q)
8Л
Зу.с.
&c.oWp(q)
ТА,
у=1
В случае получения отрицательного результата (несоответствие приписанной погрешности ИК) процедура поверки прекращается до определения и устранения причин несоответствия.
Пределы допускаемых значений относительной погрешности измерения активной и реактивной электрической энергии, рассчитанные для рабочих условий эксплуатации АИИС КУЭ мобильной ГТЭС на ТЭЦ-1, приведены в Описании типа.
8 ОФОРМЛЕНИЕ РЕЗУЛЬТАТОВ ПОВЕРКИ
-
8.1 Результаты поверки оформляются записью в протоколе поверки произвольной формы.
-
8.2 При положительных результатах поверки выдается «Свидетельство о поверке» в соответствии с Приказом Минпромторга Российской Федерации №1815 от 02.07.15.
-
8.3 При отрицательных результатах поверки система к эксплуатации не допускается и выписывается «Извещение о непригодности» в соответствии с Приказом Минпромторга Российской Федерации №1815 от 02.07.15. с указанием причин непригодности.
Генеральный директор АО «Электроцентроналадка»

стр. 11 из 11