Методика поверки «ГСИ.Резервуар железобетонный вертикальный цилиндрический ЖБР-10000» (МП 0335-7-2015)
ФЕДЕРАЛЬНОЕ АГЕНТСТВО ПО ТЕХНИЧЕСКОМУ РЕГУЛИРОВАНИЮ И МЕТРОЛОГИИ
Федеральное государственное унитарное предприятие «Всероссийский научно-исследовательский институт расходометрии» (ФГУП «ВНИИР»)
УТВЕРЖДАЮ

директора заместитель
ФГУП «ВНИИР»
В. А. Фафурин
03 ноября 2015 г.
ИНСТРУКЦИЯГОСУДАРСТВЕННАЯ СИСТЕМА ОБЕСПЕЧЕНИЯ ЕДИНСТВА ИЗМЕРЕНИЯ
Резервуар железобетонный вертикальный цилиндрический ЖБР-10000 МЕТОДИКА ПОВЕРКИМП 0335-7-2015
<р.Казань 2015 г.
Предисловие
1 РАЗРАБОТАНА |
Федеральным государственным унитарным предприятием Всероссийским научно-исследовательским институтом расходометрии Государственным научным метрологическим центром (ФГУП «ВНИИР») |
ИСПОЛНИТЕЛИ: |
А.В Кондаков, В. М. Мигранов |
2 УТВЕРЖДЕНА |
ФГУП «ВНИИР» 03 ноября 2015 г. |
3 ВВЕДЕНА ВПЕРВЫЕ
ЛИСТОВ: 26
Настоящий нормативный документ не может быть полностью или частично воспроизведен, тиражирован и (или) распространен без разрешения ЦИ СИ ФГУП «ВНИИР»
Адрес: 420088, г. Казань, ул. 2-я Азинская, 7а
Тел/факс +7(843)272-61-26; +7(843)272-62-75
E-mail: vniir.nio-7@yandex.ru
СодержаниеСтр.
-
6 Требования к квалификации поверителей и требования безопасности
-
10 Проведение поверки резервуара
-
10.2 Измерение внутреннего диаметра цилиндрической части резервуара
-
10.8 Измерение параметров вертикальных внутренних деталей прямоугольной формы ....9
-
11 Обработка результатов измерений и составление градуировочной таблицы
Государственная система обеспечения единства измерений
Резервуар железобетонный вертикальный цилиндрический ЖБР-10000
Методика поверки. МП 0335-7-15
-
1 ОБЛАСТЬ ПРИМЕНЕНИЯ
Настоящая инструкция распространяется на резервуар железобетонный вертикальный цилиндрический подземный (далее - резервуар) номинальной вместимостью 10000 м-’ (ЖБР-10000) ТЭЦ-23 ПАО «Мосэнерго», предназначенного для хранения мазута и определения его количества при проведении учетных операций, инвентаризации и устанавливает методику его первичной, периодической и внеочередной поверок.
Межповерочный интервал составляет не более 5 лет.
-
2 НОРМАТИВНЫЕ ССЫЛКИ
В настоящей рекомендации использованы ссылки на следующие стандарты:
ГОСТ 12.0.004-90 Система стандартов безопасности труда. Организация безопасности груда. Общие положения;
ГОСТ 12.1.005-88 Система стандартов безопасности труда. Общие санитарно-гигиенические требования к воздуху рабочей зоны;
ГОСТ 12.4.010-75 Система стандартов безопасности труда. Средства индивидуальной защиты. Рукавицы специальные. Технические условия;
ГОСТ 12.4.087-84 Система стандартов безопасности труда. Строительство. Каски строительные. Технические условия;
ГОСТ 12.4.137-2001 Обувь специальная с верхом из кожи для защиты от нефти, нефтепродуктов, кислот, щелочей, нетоксичной и взрывоопасной пыли. Технические условия;
ГОСТ 400-80 Термометры стеклянные для испытаний нефтепродуктов. Технические условия;
ГОСТ 427-75Линейки измерительные металлические. Технические условия;
ГОСТ 10585-99 Мазут. Технические условия;
ГОСТ 27574-87 Костюмы женские для защиты от общих производственных загрязнений и механических воздействий. Технические условия;
ГОСТ 28498-90 Термометры жидкостные стеклянные. Общие технические требования. Методы испытаний;
ГОСТ 30852.0-2002 Электрооборудование взрывозащищенное. Часть 0. Общие требования;
ГОСТ 30852.0-2002 Электрооборудование взрывозащищенное. Часть 10. Классификация взрывоопасных зон;

ГОСТ Р 51330.11-99 Электрооборудование взрывозащищенное. Часть 12. Классификация смесей газов и паров с воздухом по безопасным экспериментальным зазорам и минимальным воспламеняющим токам;
ОСТ 39-107-80 Система стандартов безопасности труда нефтяной промышленности.
-
3 ТЕРМИНЫ И ОПРЕДЕЛЕНИЯ
В настоящей рекомендации применяют следующие термины с соответствующими определениями:
-
3.1 резервуар железобетонный вертикальный цилиндрический подземный: Сосуд железобетонный (рис. I1), состоящий из кровли опирающуюся на опорные колонны, цилиндрической части выполненной из сборных железобетонных плит и монолитного днища, в виде усеченного конуса, применяемый для хранения и измерения объема и массы мазута.
-
3.2 градуировочная таблица : Зависимость вместимости от уровня наполнения резервуара при нормированном значении температуры, равной 20 С°.
Таблицу прилагают к свидетельству о поверке резервуара и применяют для определения объема мазута в нем.
-
3.3 градуировка: Операция поверки по установлению зависимости вместимости резервуара от уровня его наполнения, с целью составления градуировочной таблицы.
-
3.4 вместительность резервуара: Внутренний объем резервуара с учетом объема внутренних деталей, который может быть наполнен мазутом до определенного уровня.
-
3.5 номинальная вместимость резервуара: Вместимость резервуара, соответствующая предельному уровню наполнения его, установленная нормативным документом для конкретного типа железобетонного прямоугольного резервуара.
-
3.6 действительная (фактическая) полная вместимость резервуара: Вместимость резервуара, соответствующая предельному уровню его наполнения, установленная при его поверке.
-
3.7 посантиметровая вместимость резервуара: Вместимость резервуара, соответствующая уровню налитых в него доз жидкости, приходящихся на 1 см высоты наполнения.
-
3.8 коэффициент вместимости: Вместимость, приходящаяся на 1 мм высоты наполнения.
-
3.9 точка касания днища грузом рулетки: Точка на днище резервуара, которой касается груз измерительной рулетки при измерении базовой высоты резервуара и уровня мазута в резервуаре.
-
3.10 базовая высота резервуара: Расстояние по вертикале от точки касания днища грузом рулетки до верхнего края измерительного люка или до риски направляющей планки измерительного люка (при наличии)
-
3.11 предельный уровень: Предельный уровень определения посантиметровой вместимости резервуара при его поверке, соответствующий суммарной высоте нижней части резервуара и стенки резервуара
3.12 геометрический метод поверки: Метод поверки, заключающийся в определении вместимости резервуара по результатам измерений его геометрических параметров.
-
4 ТЕХНИЧЕСКИЕ ТРЕБОВАНИЯ
4.1 Требования к погрешности измерений параметров резервуара
4.1.1 Пределы допускаемой погрешности измерений параметров резервуара приведены в таблице 1.
Таблица 1
Наименование измеряемого параметра |
Пределы допустимой погрешности измерений параметров резервуара ЖБР-10000 |
Диаметр резервуара, мм |
±6,0 |
Объем внутренних деталей, м3 |
± 0,050 |
Нижняя часть резервуара, м3 |
±0,100 |
-
4.1.2 При соблюдении указанных в таблице 1 пределов допускаемой погрешности измерений относительная погрешность определения вместимости (градуировочной таблицы) резервуаров ЖБР-10000 должна находиться в пределах: ± 0,20%.
4.2 Требования к средствам поверки
-
4.2.1 При поверке резервуара применяют следующие основные и вспомогательные средства поверки:
-
4.2.1.1 Рулетку измерительную 2-го класса точности с диапазоном измерений от О до 20 м по ГОСТ 7502.
' 4.2.1.2 Рулетку измерительную 3-го класса точности с грузом диапазоном измере
ний от 0 до 30 м по ГОСТ 7502.
-
4.2.1.3 Линейку измерительную металлическую с диапазоном от 0 до 500 мм, от 0 до 1000 мм по ГОСТ 427.
-
4.2.1.4 Тахеометр электронный типа Trimble 3605DR, с пределами средней квадратичной погрешности измерений расстояний (СКО) одним приемом: ± (2+2x10'6 L) мм, диапазоном измерений расстояний в безотражательном режиме от 0 до 80 м, допустимым средним квадратическим отклонением измерений углов: ± 5" по [1], Госреестр № 38253-08.
Примечание - Цена деления нивелирной рейки должна быть 1 мм.
-
4.2.1.6 Термометр с ценой деления 0,1 °C и диапазоном измерений от 0 до плюс 50 °C по ГОСТ 28498.
-
4.2.1.7 Анализатор-течеискатель типа АНТ-ЗМ по [2].
-
4.2.2 Вспомогательные средства поверки: мел, шпатель, щетки (металлические), микрокалькулятор.
-
4.2.3 Основные средства поверки резервуаров должны быть поверены в установленном порядке.
L
-
4.2.4 Допускается применение других, вновь разработанных или находящихся в эксплуатации средств измерений, удовлетворяющих по точности и пределам измерений требованиям настоящей рекомендации.
-
5 ТРЕБОВАНИЯ К ОРГАНИЗАЦИИ ПРОВЕДЕНИЯ ПОВЕРКИ
-
5.1 Поверку резервуаров осуществляют аккредитованные в установленном порядке в области обеспечения единства измерений юридические лица.
-
5.2 Устанавливают следующие виды поверок резервуара:
-
-
- первичную, которую проводят после строительства резервуара перед его вводом в эксплуатацию и капитального ремонта;
-
- периодическую, которую проводят по истечению срока действия градуировочной таблицы и при внесении в резервуар конструктивных изменений, влияющих на его вместимость;
-
- внеочередную поверку - проводят при изменении значений базовой высоты резервуара более чем на 0,1 % по результатам ежегодных её измерений.
Первичную поверку резервуаров проводят после их гидравлических испытаний.
-
6 ТРЕБОВАНИЯ К КВАЛИФИКАЦИИ ПОВЕРИТЕЛЕЙ И ТРЕБОВАНИЯ БЕЗОПАСНОСТИ
-
6.1 Поверку резервуара проводит физическое лицо, аттестованное в качестве поверителя и в области промышленной безопасности в соответствии с РД-03-20 [3], утвержденным приказом Ростехнадзора от 29.01.2007 № 37.
-
6.2 Измерения параметров при поверке резервуара проводит группа лиц, включая поверителя организации, указанной в 6.1, и не менее двух специалистов, прошедших курсы повышения квалификации и других лиц (при необходимости), аттестованных в области промышленной безопасности в соответствии с РД-03-20.
-
6.3 К поверке резервуара допускают лиц, изучивших настоящую рекомендацию, техническую документацию на резервуар и его конструкцию, средства поверки и прошедших инструктаж по безопасности труда в соответствии с ГОСТ 12.0.004, по промышленной безопасности в соответствии с РД-03-20.
-
6.4 Лица, проводящие поверку резервуара, надевают спецодежду:
-
-женщины - костюмы по ГОСТ 27574, спецобувь по ГОСТ 12.4.137, строительную каску по ГОСТ 12.4.087, рукавицы по ГОСТ 12.4.010.
-
- мужчины - костюму по ГОСТ 27575, спецобувь по ГОСТ 12.4.137, строительную каску по ГОСТ 12.4.087, рукавицы по ГОСТ 12.4.010.
-
6.5 Предельно допустимая концентрация (ПДК) вредных паров и газов в воздухе, измеренная газоанализатором вблизи и внутри резервуара на высоте 2000 мм, не должна превышать 300 мг/м3 - по ГОСТ 12.1.005-88.
-
6.6 Измерения параметров резервуара во время грозы категорически запрещены.
-
6.7 Для освещения при проведении измерений параметров резервуара применяют светильники во взрывозащитном исполнении.
-
6.8 Перед началом поверки резервуара проверяют исправность:
-
- лестниц с поручнями и подножками;
-
- помостов с ограждениями.

-
6.9 В процессе измерений параметров резервуара обеспечивают двух или трехкратный обмен воздуха внутри резервуара. При этом анализ воздуха на содержание вредных паров и газов проводят через каждый час.
-
6.10 Продолжительность работы внутри резервуара не более 4-х часов, после каждой четырехчасовой работы - перерыв на один час.
-
7 УСЛОВИЯ ПОВЕРКИ
-
7.1 При поверке соблюдают следующие условия:
-
-
7.1.1 Измерения параметров резервуара проводят изнутри его.
-
7.1.2 Для проведения измерений параметров резервуара его освобождают от остатков мазута, зачищают, пропаривают (при необходимости), промывают и вентилируют.
-
7.1.3 Температура окружающего воздуха и воздуха внутри резервуара (20 ± 15)°С.
-
8 ПОДГОТОВКА К ПОВЕРКЕ
-
8.1 При подготовке к поверке проводят следующие работы:
-
-
8.1.1 Изучают техническую документацию на резервуар и средства поверки.
-
8.1.2 Подготавливают средства поверки согласно технической документации на них, утвержденной в установленном порядке.
-
8.1.3 Штатив тахеометра приводят в рабочее положение, устанавливают на него тахеометр, проводят необходимые операции к подготовки к работе, в соответствии с руководством по эксплуатации.
-
8.1.4 Определяют центр днища резервуара в следующей последовательности.
-
1) наносят вертикальную отметку 1 мелом на пересечении днища и цилиндрической части стенки (рис. 2);
-
2) начало рулетки (левый конец) совмещают с вертикальной отметкой 1;
-
3) укладывают рулетку на днище резервуара до противоположной стороны резервуара;
-
4) конец рулетки (правый конец) совмещают до пересечения днища и цилиндрической части стенки;
-
5) при неподвижном положении начала рулетки (отметка 1) правый конец перемещают вокруг отметки 1, добиваясь максимального значения показания на правом конце и фиксируют отметку 5 на противоположной стороне;
-
6) размечают мелом отметку 00 на середине уложенной ленты.
-
7) устанавливают тахеометр на отметке 001 и направляют лазерный указатель на отметку 1;
-
8) поворачивают зрительную трубу на 45° по часовой стрелке от отметки 1 и фиксируют отметку 2 на стенке;
-
9) проведя аналогичные операции по перечислению 2)-5) размечают мелом отметку 002;
-
10) поворачивают зрительную трубу на 45° по часовой стрелке относительной отметки 2 и фиксируют отметку 3 на стенке;
-
11) проведя аналогичные операции по перечислению 2)-5) размечают мелом отметки 00'...005;

-
12) соединяют отметки между собой и размечают середину днища (отметка 00), как середину многоугольника.
-
9 ОПЕРАЦИИ ПОВЕРКИ
9.1 При проведении поверки резервуара должны быть выполнены операции, ука
занные в таблице 2
Таблица 2
Наименование операции |
Номер пункта Инструкции |
Внешний осмотр |
10.1 |
Измерение внутреннего диаметра резервуара |
10.2 |
Измерение параметров нижней части резервуара |
10.3 |
Измерение высоты резервуара |
10.4 |
Определение объемов внутренних деталей |
10.5 |
Измерение базовой высоты |
10.6 |
Измерение параметров приямка |
10.7 |
Измерение параметров вертикальных внутренних деталей прямоугольной формы |
10.8 |
Измерение параметров фундамента колонны |
10.9 |
Измерения параметров колонны |
10.10 |
-
10 ПРОВЕДЕНИЕ ПОВЕРКИ РЕЗЕРВУАРА
10.1 Внешний осмотр
-
10.1.1 При внешнем осмотре резервуара проверяют:
-
- состояние конструкции и внутренних деталей резервуара технической документации на него (паспорту, технологической карте на резервуар);
-
- наличие необходимой арматуры и оборудования;
-
- исправность лестниц и перил;
-
- состояние днища резервуара (отсутствие бугров, ям);
-
- чистоту внутренней поверхности резервуара;
-
- отсутствие деформации стенок резервуара, препятствующих проведению измерений параметров резервуара.
-
10.1.2 По результатам внешнего осмотра устанавливают возможность применения геометрического метода поверки резервуара.
10.2 Измерение внутреннего диаметра цилиндрической части резервуара
Измерение внутреннего диаметра цилиндрической части резервуара £)цил проводят в следующей последовательности (рисунок А.2).
а) устанавливают тахеометр над центром днища 00, контроль положения осуществляют с применением оптического центрира.
Тахеометр горизонтируют, с помощью триггеров в соответствии с его технической документацией.
Измеряют высоту установки инструмента Аустан, мм, (рисунокА.4) и привязывают его по высоте с координатам обратной засечкой th = Q.
Вертикальный угол визира устанавливают в значение 90°.
б) выбирают режим тахеометра HD-h-HZ и устанавливают значения:
-
- «0» - горизонтального угла Hz;
-
- 90° - вертикального угла Vz.
в) измеряют расстояние 7?цил1 — 1, как горизонтальное проложение (параметр HD);
г) поворачивают алидаду тахеометра на 45° по часовой стрелке (HZ = 45°) и измеряют расстояние Ацил 1 — 2 на второй образующей;
д) повторяя процедуры по перечислению б)-г)
измеряют расстояния
е) направляют сетку визирной трубы на стенку резервуара на высоте Н2 — 2 (5500 - 6000 мм);
ж) аналогично выполняя действия по перечислению б) -д) измеряют расстояния
и) внутренние диаметры £)цил, мм, вычисляют как сумму измеренных радиусов на противоположных образующих (рисунок А.З).
Примечание - первый символ в обозначении радиуса 2?цил относится к высоте измерения (Н1 или Н2), второй указывает номер образующей, на которой проводится измерение (1...8).
Результаты измерений вносят в протокол поверки форма которого приведена в приложении Б (таблица Б.З).
10.3 Измерения параметров нижней части резервуара
Измерения параметров нижней части резервуара (рисунок А.1) проводят в следующей последовательности.
-
10.3.1 Устанавливают веху с призменным отражателем в точку 00-1 по первой образующей на концентрической окружности днища резервуара в месте начала уклона днища (рисунок А.4), после чего:
а) проводят измерения радиуса Адн 0 — 1, как горизонтальное проложение (HD) и высоты превышения Лдн 0 — 1 (h).
б) устанавливают веху в точку 01-1 и проводят измерения радиуса 7?дн1-1, как горизонтальное проложение (HD) и высоты превышения Адн 1 — 1 (h).
в) устанавливают веху в точку 02-1 и проводят измерения радиуса 7?дн2 —1, как горизонтальное проложение (HD) и высоты превышения Адн 2 — 1 (h).
-
10.3.2 Поворачивают алидаду тахеометра в горизонтальной плоскости на угол 45° по часовой стрелке, что соответствует переходу на 2-ю образующую и устанавливают веху с призменным отражателем в точку 00-2 (рисунок.Е.4).
Проводя аналогичные измерения по перечислению а)-в) п.4.3.2.1 измеряют расстояния Ядн0-2, Лдн0-2 ...,7?дн2-2, /гдн2-2.
-
10.3.3 Аналогичным образом устанавливают веху с призменным отражателем на 3-ю ...8-ю образующие и проводят аналогичные измерения по перечислению а)-в) п. 4.3.2.1 на каждой образующей.
Результаты вычисление вносят в протокол поверки форма которого приведена в приложении Б (таблица Б.4).
Примечание - В случае, если при переходе на новую образующую визирная ось тахеометра попадает на колонну, то алидаду поворачивают на дополнительный угол, обеспечивающий визирование на опорные точки.
10.4 Измерения высоты резервуара
Измерения высоты резервуара в следующей последовательности.
-
4.3.3.1 Высоту резервуара //рез измеряют на 1-ой образующей резервуара (рисунок Е.5), при помощи тахеометра.
Установленный по 4.3.1.2 в центре резервуара на 1-ой образующей приводят в рабочее положение.
Направляют сетку нитей на поверхность сопряжения цилиндрической части и кровли резервуара.
Измеряют расстояние Нрез, мм, как высоту превышения h.
Результаты измерений вносят в протокол поверки форма которого приведена в приложении Б.
10.5 Определение объемов внутренних деталей
Объемы внутренних деталей, находящихся в резервуаре определяют по данным проектной документации С-23-09, разработанной «Мосэнергопроект» (1969 г.) и предоставленной ОАО «Мосэнерго».
Результаты измерений вносят в протокол поверки форма которого приведена в приложении Б (таблица Б.9).
10.6 Измерения базовой высоты
-
10.6.1 Измерения базовой высоты проводят по 9.1.10 ГОСТ 8.570-2000 (с Изменением №1, 2) в следующей последовательности.
-
10.6.2 Базовую высоту резервуара Яб измеряют рулеткой с грузом не менее двух раз. Расхождение между результатами двух измерений не должно превышать 2 мм.
Результаты измерений вносят в протокол поверки форма которого приведена в приложении Б (таблица Б.З).
10.7 Измерение параметров приямка
-
10.7.1 Приямок (рисунок Е.6) имеет поперечное сечение цилиндрической формы диаметром <7пр и высотой (глубиной) .
-
10.7.2 Диаметр б/пр приямка измеряют измерительной рулеткой в диаметрально перпендикулярных направлениях не менее двух раз.
Результаты измерений б/пр отсчитывают по шкале рулетки с точностью ± 1 мм. Расхождения между результатами двух измерений не должны превышать ± 5 мм.

-
10.7.3 Глубину (высоту) приямка /?пр приямка измеряют измерительной рулеткой в диаметрально перпендикулярных направлениях не менее двух раз.
-
10.7.4 Среднее арифметическое значение результатов измерений величин <7пр, вносят в протокол поверки форма которого приведена в приложении Б (таблица Б.7).
10.8 Измерение параметров вертикальных внутренних деталей прямоугольной формы
-
10.8.1 Для определения параметров внутренних деталей прямоугольной формы измеряют ширину первой грани by, ширину второй грани &2/- > высоту нижней границы детали высоту верхней границы детали относительно днища резервуара.
-
10.8.2 Ширину первой by, второй грани &2/ измеряют измерительной рулеткой с точностью до 1 мм. Измерения проводят не менее двух раз. Расхождение между результатами измерений должно составлять не менее 1 мм.
-
10.8.3 Высоту верхней/нижней границы детали определяют нивелированием по 10.7.2.3.
-
10.8.4 Среднее арифметическое значение результатов измерений величин by, Z?2z-, h^, вносят в протокол поверки форма которого приведена в приложении Б (таблица Б.9).
10.9 Измерение параметров фундамента колонны
-
10.9.1 Для определения параметров фундамента колонны измеряют ширину нижних граней Ьц н, Ь311, ширину верхних граней Ьив, Ьзв, высоту нижней границы детали
высоту верхней границы детали относительно днища резервуара (рисунок Е.7).
-
10.9.2 Ширину нижних граней Ьп н, Ьзн, ширину верхних граней £>пв, Ьзв измеряют измерительной рулеткой с точностью до 1 мм. Измерения проводят не менее двух раз. Расхождение между результатами измерений должно составлять не менее 1 мм.
-
10.9.3 Высоту верхней/нижней границы детали определяют нивелированием.
-
10.9.4 Среднее арифметическое значение результатов измерений величин &пн, ^з.н’ ^п.в ’ ^з.в’ ^н’ К вносят в протокол поверки форма которого приведена в приложении Б (таблица Б.8).
10.10 Измерения параметров колонны
Параметры колонны определяют как внутреннюю деталь прямоугольной формы по 10.9.
Результаты измерений вносят в протокол поверки форма которого приведена в приложении Б (таблица Б.9).

И ОБРАБОТКА РЕЗУЛЬТАТОВ ИЗМЕРЕНИЙ И СОСТАВЛЕНИЕ ГРАДУИРОВОЧНОЙ ТАБЛИЦЫ
11.1 Обработка результатов измерений
-
11.1.1 Обработку результатов измерений при поверке проводят в соответствии с приложением В.
11.2 Составление градуировочной таблицы резервуара
-
11.2.1 Составление градуировочной таблицы нижней части резервуара
-
11.2.1.1 Градуировочную таблицу нижней части резервуара (рисунок А.1) составляют, используя посантиметровую вместимость (, м3/см, с шагом \Н = 1 см, при
изменении уровня от 0 до уровня /гдн1.
-
11.2.1.2 Величину , полученную в результате интегрирования площади
поперечного сечения нижней части резервуара по уровню Н, вычисляют по
формуле
v = (/»+ ,n'H2 J v-(°, - А))2 + н (Д - А) + (Ад,, )2 О02 + 4'(М ЮЧ 3 J| пД2-(//-йди1) Кфж-24

----п . ч (участка от 0 до
410 Нк) V
(.1)
где - вместимость приямка, вычисляемая по формуле (В.7), м3;
Н - уровень жидкости, отсчитываемый от точки касания днища резервуара грузом рулетки, мм;
/гДн1 - уровень жидкости, соответствующий высоте нижней части днища резервуара, по таблице Б.5 (рисунок А.1);
Гф к - объем фундамента колонны, вычисляемый по формуле (В.8), м3;
/?ф к - верхняя граница фундамента колонны, мм.
-
11.2.1.3 Величину , полученную в результате интегрирования площади по
перечного сечения нижней части
резервуара
по уровню Н, при изменении
уровня от Адн] до Лдн2 вычисляют по формуле


-
11.2.2 Составление градуировочной таблицы верхней части резервуара
-
11.2.2.1 Градуировочную таблицу верхней части резервуара составляют с шагом А77 = 1 см, начиная с уровня Адн2 до уровня 7/рез, измеренного по 4.3.3.
-
11.2.2.2 Посантиметровую вместимость резервуара V^H^, м3/см, вычисляют по формуле
Л»-24 „ ,
4—---г— участка от Н2 до лф к 4-
(^ф.к ) V -24
+ /,вПРЯ\н^~Участка от Лпнрям до Лпврям.
у^прям — ^прям ]
(•3)
где НМ - вместимость нижней части резервуара, вычисляемая по формуле ( .1) при уровне Лдн2, м3;
5* - площадь поперечного сечения резервуара, вычисляемая по формуле (.2), м2;
Н - уровень жидкости, отсчитываемый от точки касания днища резервуар грузом рулетки, мм;
Н\ - уровень жидкости, соответствующий высоте нижней части резервуара, мм;
Кппо.. - объем колонн, м3;
прям
^прям _ веРхняя граница колонн, мм;
^прям _ нижняя граница колонн, мм;
Рф к - объем фундамента колонны, вычисляемый по формуле (В.8), м3;
Аф к - верхняя граница фундамента колонны, мм.
-
11.3 В пределах предельного уровня Нпр вычисляют коэффициент вместимости, равный вместимости, приходящейся на 1 мм высоты наполнения.
-
11.4 При составлении градуировочной таблицы значения вместимости округляют до 1 дм3.
-
11.5 Значения посантиметровой вместимости резервуара, указанные в градуировочной таблице, соответствуют стандартной температуре 20°С.
12 ОФОРМЛЕНИЕ РЕЗУЛЬТАТОВ ПОВЕРКИ
-
12.1 Результаты поверки резервуара оформляют свидетельством о поверке в соответствии с [3].
-
12.2 К свидетельству о поверке прикладывают:
а) градуировочную таблицу;
б) протокол поверки (оригинал прикладывают к первому экземпляру градуировочной таблицы);
в) эскиз резервуара.
-
12.3 Форма титульного листа градуировочной таблицы и форма градуировочной таблицы приведены в приложении Г. Форма акта ежегодных измерений базовой высоты резервуара приведена в приложении Д.
Протокол поверки подписывает поверитель и лица, участвующие при проведении поверки резервуара. Подпись поверителя заверяют оттиском поверительного клейма.
Титульный лист и последнюю страницу градуировочной таблицы подписывает поверитель, подпись поверителя заверяют оттиском поверительного клейма.
-
12.4 Градуировочную таблицу утверждает руководитель органа аккредитованного на право проведения поверки.
Схема резервуара и оборудования резервуара при поверке
Цилиндрическая часть резерйуар

Рисунок А. 1 - Схема резервуара и внутренних деталей резервуара


Рисунок А.2- Схема определения центра днища резервуара

Рисунок А.З - Схема измерений диаметра резервуара





Рисунок А. 6- Схема измерений параметров фундамента колонны
ПРИЛОЖЕНИЕ Б
(обязательное)
Форма протокола поверки резервуара
ПРОТОКОЛ
поверки резервуара геометрическим методом
Таблица Б.1- Общие данные
Код документа |
Регистрационный номер |
Дата |
Основание для проведения поверки | ||
число |
месяц |
год | |||
1 |
2 |
3 |
4 |
5 |
6 |
Продолжение таблицы Б. 1
Место проведения поверки |
Рабочие эталоны и вспомогательные средства |
7 |
8 |
Окончание таблицы Б.1
Резервуар | ||
Тип |
Номер |
Погрешность определения вместимости резервуара, % |
9 |
10 |
И |
Таблица Б.2 - Условия проведения измерений
Температура воздуха, °C |
Скорость ветра, м/с |
Загазованность, мг/м3 |
Таблица Б.З- Высота установки инструмента
В миллиметрах
Номер измерения |
^инстр |
1 | |
2 |
Таблица Б.4 - Измерение внутреннего диаметра резервуара
В миллиметрах
Высота |
Номер образующей к |
Номер образующей к |
^цилО"^2"^) |
(^цил.Л \ | |
1 |
1 |
2 |
3 |
4 |
5 |
1700 |
1 |
5 | |||
2 |
6 | ||||
3 |
7 | ||||
4 |
8 | ||||
6000 |
1 |
1 | |||
2 |
2 | ||||
3 |
3 | ||||
4 |
4 |
Таблица Б.5 - Измерения параметров нижней части резервуара В миллиметрах
Параметр |
Номер образующей к |
Параметр |
Номер образующей к | ||||||
1 |
2 |
3 |
4 |
5 |
6 |
7 |
8 | ||
Ядн0-£ |
ЯднО-А: | ||||||||
А;нО-А: |
АдаО-А: | ||||||||
Ядн1-£ |
Ядн1-£ | ||||||||
/г;н2-£ |
л;н2-£ |
Высота резервуара: Нрез = h + hyCTaii. = мм.
Таблица Б.6 - Базовая высота резервуара В миллиметрах
Точка измерения базовой высоты Hq |
Номер измерения | |
1 |
2 | |
Риска измерительного люка | ||
Верхний срез измерительного люка |
Таблица Б.7 - Параметры приямка
В миллиметрах
Номер измерения |
Приямок | |
диаметр <7пр |
глубина /?пр | |
1 | ||
2 |
Таблица Б.8- Параметры опор фундамента колонны
В миллиметрах
Номер колонны |
Ширина опоры |
Высота опоры | ||||
нижняя граница |
верхняя граница | |||||
^п.н |
6З.Н |
^п.в |
^з.в |
% |
V | |
1 |
2 |
3 |
4 |
5 |
6 |
7 |
1 | ||||||
2 | ||||||
п |
Таблица Б.9 - Объемы вертикальных внутренних
деталей прямоугольной фо |
ЭМЫ |
В миллиметрах | |||
№ |
Ши] |
эина |
Высота от днища резервуара |
Кол-во | |
п/п |
1 грань |
2 грань |
нижняя граница |
верхняя граница | |
1 |
2 |
3 |
4 |
5 |
6 |
1 | |||||
2 | |||||
3 |
Подписи и оттиски
поверительного клейма, печатей (штампов)
Инициалы, фамилии
Должности
ПРИЛОЖЕНИЕ В
Обработка результатов измерений
В. 1 Вычисление площади поперечного сечения резервуара
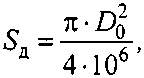
В. 1.1 Площадь поперечного сечения резервуара S, м2, вычисляют по формуле
g _ ГС-Оцил
(В.1)
~ 4-106’
где Рцил - внутренний диаметр цилиндрической части резервуара, мм;
Величину Оцил, мм, вычисляют по формуле
^ЦИЛ
(В.2)
где (£>цил к)- ~ Диаметры на образующих, определенные по перечислению и) п.10.2, его значение принимают из графы 5 таблицы Б.4, мм.
В.2 Вычисление высоты верхней части резервуара
В.2.1 Высоту верхней части резервуара (рисунок А.2), как расстояние по вертикали от верхнего края первого пояса нижней части резервуара, hp, мм, вычисляют по формуле
h'+h”
hp=^-^ + h„, (В.6)
где h0 - высота отметки (рисунок А.2), значение которой равно 500мм;
h'p, hp - результаты измерений высоты, мм. Значения h'p, h”p принимают по таблице Б.4 приложения Б.
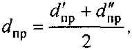
В.З Вычисление площади поперечного сечения днища резервуара
Площадь поперечного сечения днища резервуара 5Д, м2, вычисляют по формуле

(В.З)
где - диаметр днища резервуара, мм, вычисляемый по формуле
°о=|£(й»-‘+л«"-‘)’ <вл)8 <=1
В.5 ВЫЧИСЛЕНИЕ ОБЪЕМА ВНУТРЕННИХ ДЕТАЛЕЙ
В.5.1 К числу внутренних деталей относят:
В. 5.1.1 Приямок.
В.5.1.2 Фундамент колонны.
В. 5.1.3 Колонну.
В.5.1 Измерение объема приямка
В.5.1.1 Диаметр б/пр приямка вычисляют по формулам

(В.5)
где d^p, d"p - величины, измеренные по 4.3.6.2, мм.
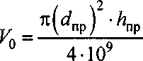
В.5.1.2 Глубину приямка h^, мм, вычисляют по формуле

(В.6)
где h'np, /г"р - величины, измеренные по 4.3.6.3, мм.
В.5.1.3 Объем приямка У, м3, вычисляемой по формуле

(В.7)
где с/пр, h^p - величины, вычисляемые по формулам: (В.5), (В.6), мм.
В.5.2 Вычисление объема фундамента колонны
-
5.2.1 Объем фундамента колонны от нижней границы фундамента до верхней границы вычисляют по формуле
где Ьи - ширина основания опоры на нижней границе фундамента колонны, мм; Ьв - ширина основания опоры на верхней границе фундамента колонны, мм;
-
- высота фундамента колонны, мм;
-
- текущая высота, мм;
ПРИЛОЖЕНИЕГ
Форма титульного листа градуировочной таблицы и форма градуировочной таблицы
Г.1 Форма титульного листа градуировочной таблицы2
УТВЕРЖДАЮ
«___»_______________201_ г.
ГРАДУИРОВОЧНАЯ ТАБЛИЦА
на железобетонный подземный прямоугольный резервуар ЖБР-10000
тип___________ №_____________________________
Организация________________________________________________
Погрешность определения вместимости:
Срок очередной поверки_________________________
Поверитель
ПОДПИСЬ
должность, инициалы, фамилия
Г.2 Форма градуировочной таблицы резервуара
Организация______________________
Резервуар №_______________________
Г.2.1 Форма градуировочной таблицы нижней части резервуара
Таблица Г.2 - Посантиметровая вместимость нижней части резервуара
Уровень наполнения, см |
1 " ' ■" Ч------------------------- Вместимость, м |
Коэффициент вместимости, м3/мм |
0 | ||
1 | ||
2 | ||
Я1 | ||
Я,+1 | ||
Нх+2 | ||
Hi |
Г.2.2 Форма градуировочной таблицы верхней части резервуара
Таблица Г.З - Посантиметровая вместимость верхней части резе |
эвуара | ||
Уровень наполнения, см |
Вместимость, м3 |
Уровень наполнения, см |
Вместимость, м3 |
Я;+1 | |||
Н2+2 | |||
Якр |
Таблица Г.4 - Средняя вместимость верхней части резервуара в пределах вместимости, приходящейся на 1 см высоты наполнения
Уровень наполнения, мм |
Вместимость, м3 |
Уровень наполнения, мм |
Вместимость, м3 |
Уровень наполнения, мм |
Вместимость, м3 |
1 |
4 |
7 | |||
2 |
5 |
8 | |||
3 |
6 |
9 |

ИНСТРУКЦИЯ. ГСИ. РЕЗЕРВУАР ЖЕЛЕЗОБЕТОННЫЙ ВЕРТИКАЛЬНЫЙ ЦИЛИНДРИЧЕСКИЙ ЖБР-
10000.
МЕТОДИКА ПОВЕРКИ. МП 0335-7-2015
ПРИЛОЖЕНИЕ Д
Форма акта ежегодных измерений базовой высоты резервуара
УТВЕРЖДАЮ Руководитель предприятия владельца резервуара (директор, гл. инженер)
АКТ
измерений базовой высоты резервуара
от «___»_____________________201_г.
Составлен в том, что комиссия, назначенная приказом по_____________________________
наименование предприятия
____________________________________________, и членов:_____________________________________ владельца резервуара инициалы, фамилии
провела по__________контрольные измерения базовой высоты резервуара типа_______
номинальной вместимостью________м3 при температуре окружающего воздуха °C____.
Результаты измерения представлены в таблице Д. 1.
Таблица Д.1 В миллиметрах
Базовая высота резервуара | |
Среднее арифметическое значение результатов двух измерений |
Значение базовой высоты, установленное при поверке резервуара (Нб ) |
1 |
2 |
Относительное изменение базовой высоты резервуара ,%, вычисляют по формуле
5б =-------г----—•100, где значения величин (Нб) , (Нб) приведены в 1-й, 2-й
№)п k П
графах.
Вывод: требуется (не требуется) внеочередная поверка резервуара
Председатель комиссии
ПОДПИСЬ
инициалы, фамилия
Члены:
ПОДПИСЬ
инициалы, фамилия
* Указывают при заполнении
БИБЛИОГРАФИЯ
-
[1] Тахеометры электронные серии 3600 (Trimble 3601R, 3602DR, 3603DR,/3603DR, Arctic,, 3605DR,/3605DR Arctic), Госреестр № 38253-08
-
[2] ТУ ДКТЦ 41344.1.1.102 Анализатор-течеискатель АНТ-3. Технические условия
-
[3] РД-03-20-2007 Положение об организации обучения и проверки знаний рабочих организаций, поднадзорных федеральной службе по экологическому, технологическому и атомному надзору.
ФГУП «ВНИИР»
Страница 26 из 26
Здесь и далее по тексту приведены ссылки на рисунки Приложения А
Форма градуировочной таблицы не подлежит изменению