Методика поверки «ГСИ. Система автоматизированная комплексного учета топливно-энергетических ресурсов Северо-Кавказской дирекции по тепловодоснабжению - структурного подразделения Центральной дирекции по тепловодоснабжению - филиала ОАО «РЖД»» (РТ-МП-2625-500-2015)
ФЕДЕРАЛЬНОЕ АГЕНТСТВО ПО ТЕХНИЧЕСКОМУ РЕГУЛИРОВАНИЮ И МЕТРОЛОГИИ

ФЕДЕРАЛЬНОЕ БЮДЖЕТНОЕ УЧРЕЖДЕНИЕ «ГОСУДАРСТВЕННЫЙ РЕГИОНАЛЬНЫЙ ЦЕНТР СТАНДАРТИЗАЦИИ.
МЕТРОЛОГИИ И ИСПЫТАНИЙ В Г. МОСКВЕ»
(ФБУ «РОСТЕСТ - МОСКВА»)
УТВЕРЖДАЮ
Заместитель генерального директора
ФБУ «Ростест-Москва»

Государственная система обеспечения единства измерений
Система автоматизированная комплексного учета топливно-энергетических ресурсов Северо-Кавказской дирекции по тепловодоснабжению - структурного подразделения Центральной дирекции по тепловодоснабжению -филиала ОАО «РЖД»
Методика поверки
РТ-МП-2625-500-2015
-i р. 65235-А6Москва
2015
Настоящая методика поверки распространяется на систему автоматизированную комплексного учета топливно-энергетических ресурсов Северо-Кавказской дирекции по тепловодоснабжению - структурного подразделения Центральной дирекции по тепловодоснабжению - филиала ОАО «РЖД» и устанавливает порядок проведения первичной и периодической поверок ее измерительных компонентов.
Замену отдельных технических компонентов допускается проводить без дополнительной поверки, если устанавливаемые компоненты поверены и их метрологические характеристики (далее - MX) не хуже заменяемых. В состав узлов учета Системы входят измерительные компоненты, приведенные в Приложении.
Интервал между поверками АСКУ ТЭР Северо-Кавказской дирекции по тепловодоснабжению - структурного подразделения Центральной дирекции по тепловодоснабжению - филиала ОАО «РЖД» - два года.
1 ОПЕРАЦИИ ПОВЕРКИПри проведении поверки выполняют операции, указанные в таблице 1.
Таблица 1 - Операции поверки
Наименование операции |
Номер пункта методики поверки |
1. Внешний осмотр |
7.1 |
2. Опробование |
7.2 |
3. Проверка автоматического считывания информации из энергонезависимой памяти измерительного компонента за период разрыва линии связи |
7.3 |
4. Проверка метрологических характеристик измерительных компонентов АСКУ ТЭР |
7.4 |
2 СРЕДСТВА ПОВЕРКИ
-
2.1 При проведении поверки применяют средства измерений и вспомогательные устройства, в соответствии с методиками поверки, указанными в описаниях типа на отдельные измерительные компоненты АСКУ ТЭР:
-
- радиочасы МИР РЧ-01 (Госреестр № 27008-04), принимающие сигналы спутниковой навигационной системы Global Positioning System (GPS);
-
- стенд CKC6 (Госреестр № 17567-09), абсолютная погрешность формирования тока ± 0,003 мА, сигналов сопротивления ± 0,015 Ом, относительная погрешность формирования сигналов частоты ± 0,003 % (для тепловычислителя СПТ961);
-
- установка расходомерная УМР-1 (Госреестр № 31395-06), диапазон воспроизведения расхода от 0,01 до 360 м3/ч, относительная погрешность ± 0,05 %;
-
- поверочная весовая установка РУ-50, диапазон массового расхода от 0,01 до 50 т/ч, предел допускаемой относительной погрешности ± 0,05 %;
-
- установка поверочная ПРУВ ПС-0,05/1000 (Госреестр № 37986-08), диапазон расходов от 0,05 до 1000 м3/ч, погрешность не более ± 0,025/0,5 %;
-
- контроллер-вычислитель OMNI (Госреестр № 15066-09), обеспечивающий прием и обработку сигналов: массового расхода с импульсного выхода (± 1 имп. За один ход поршня), датчика давления (предел допускаемой относительной погрешности ± 0,025 %), датчика температуры (предел допускаемой абсолютной погрешности ± 0,05 °C);
-
- генератор сигналов Г6-27 (Госреестр № 6180-77), диапазон частот от 0,3 Гц до 3 МГц, стабильность не менее 0,05 %;
-
- частотомер электронно-счетный 43-88 (Госреестр № 35904-07), диапазон частот входных сигналов от 0,1 Гц до 200 МГц;
-
- частотомер 43-64, диапазон измерения периода от 0,18 до 900 сек., относительная погрешность измерения периода не более ± 0,03 %;
-
- термометр сопротивления платиновый эталонный ПТС-10М (Госреестр № 11804-99) I разряда;
-
- грузопоршневые манометры МП-60М, МП-600, МП-2500 (Госреестр № 52189-12) 1-го разряда;
-калибраторы давления пневматические Метран-505 Воздух-П (Госреестр № 42701-09), Метран-504 Воздух-1 (Госреестр № 31057-09) 1-го разряда;
-
- мера электрического сопротивления, класс точности 0,002.
-
- электронный счетчик импульсов амплитудой до 50 В и частотой от 0 до 10 кГц;
-
- термометр лабораторный ТЛ-4, предел измерения от 0 до 50 ОС, цена деления 0,5 ОС.
-
2.2 Все средства поверки должны быть исправны, поверены и иметь свидетельства (отметки в формулярах или паспортах) о поверке и/или оттиск поверительного клейма.
-
2.3 Допускается применение других основных и вспомогательных средств поверки с метрологическими характеристиками, обеспечивающими требуемые точности измерений.
-
3.1 К проведению поверки АСКУ ТЭР Северо-Кавказской дирекции по тепловодоснабжению - структурного подразделения Центральной дирекции по тепловодоснабжению - филиала ОАО «РЖД» допускают поверителей, аттестованных в соответствии с ПР 50.2.012, изучивших настоящую рекомендацию и руководство по эксплуатации на систему автоматизированную комплексного учета топливно-энергетических ресурсов Северо-Кавказской дирекции по тепловодоснабжению - структурного подразделения Центральной дирекции по тепловодоснабжению - филиала ОАО «РЖД» -вторая очередь, имеющих стаж работы по данному виду измерений не менее 1 года.
-
4.1 При проведении поверки должны быть соблюдены требования безопасности, установленные ГОСТ 12.2.007.0, ГОСТ 12.2.007.3, «Правилами техники безопасности при эксплуатации электроустановок потребителей», «Правилами технической эксплуатации электроустановок потребителей», «Межотраслевых правил по охране труда (правил безопасности) при эксплуатации электроустановок» ПОТ РМ-016 (РД 153-34.0-03.150), а также требования безопасности на средства поверки, поверяемые теплосчетчики, тепловычислители, преобразователи расхода, датчики температуры и давления, изложенные в их руководствах по эксплуатации.
-
5.1 Условия поверки системы автоматизированной комплексного учета топливно-энергетических ресурсов Северо-Кавказской дирекции по тепловодоснабжению -структурного подразделения Центральной дирекции по тепловодоснабжению - филиала ОАО «РЖД» должны соответствовать условиям ее эксплуатации, нормированным в технической документации, но не выходить за нормированные условия применения средств поверки.
-
5.2 При проведении поверки должны быть соблюдены следующие условия, если иные условия не указаны в методиках поверки на средства измерений в составе Системы:
-
- температура окружающего воздуха
(20±5)°C;
от 30 до 80 %; от 86 до 107 кПа;
220±15%В
50±1 Гц;
-
- относительная влажность воздуха
-
- атмосферное давление
-
- напряжение сети питания
-
- частота сети питания
-
5.3 Поверяемые и эталонные средства измерений должны быть выдержаны перед поверкой не менее времени, указанного в их эксплуатационной документации.
-
6.1 Для проведения поверки представляют следующую документацию:
-
- руководство по эксплуатации на систему автоматизированную комплексного учета топливно-энергетических ресурсов Северо-Кавказской дирекции по тепловодоснабжению -структурного подразделения Центральной дирекции по тепловодоснабжению - филиала ОАО «РЖД»;
-
- описание типа АСКУ ТЭР;
-
- свидетельства о поверке измерительных компонентов, входящих в узлы учета, и свидетельство о предыдущей поверке Системы (при периодической и внеочередной поверке);
-
- паспорт-формуляр на Систему.
-
6.2 Перед проведением поверки выполняют следующие подготовительные работы:
-
- проводят организационно-технические мероприятия по доступу поверителей и персонала объектов к местам установки приборов учета, по размещению эталонов, отключению в необходимых случаях поверяемых средств измерений от штатной схемы;
-
- проводят организационно-технические мероприятия по обеспечению безопасности поверочных работ в соответствии с действующими правилами и руководствами по эксплуатации применяемого оборудования;
-
- средства поверки выдерживают в условиях и в течение времени, установленных в их методиках поверки;
-
6.3 Перед проведением поверки должны быть выполнены подготовительные работы в соответствии с требованиями методик поверки на средства измерений, входящие в состав системы.
-
7.1 Внешний осмотр.
-
7.1.1 При проведении внешнего осмотра устанавливают соответствие Системы следующим требованиям:
-
-
- наличие паспорта-формуляра с указанием комплектности Системы;
-
- комплектность Системы на соответствие паспорту-формуляру;
-
- наличие пломб на измерительных компонентах;
-
- наличие свидетельств о поверке, и/или поверительных клейм у измерительных компонентов Системы;
-
- отсутствие внешних повреждений линий связи;
-
- отсутствие дефектов, препятствующих чтению надписей и маркировки компонентов Системы, регистрации (фиксированию) показаний по дисплеям теплосчетчиков, тепловычислителей и монитору автоматизированного рабочего места (далее по тексту -
АРМ);
-
- отсутствие на компонентах системы трещин, царапин, вмятин, сколов и других механических повреждений, влияющих на работоспособность компонентов Системы;
-
- отсутствие повреждений сетевых шнуров и герметичных вводов.
-
7.1.2 Результаты внешнего осмотра считаются положительными, если выполняются все требования, указанные в п.п. 7.1.1.
-
7.2 Опробование
-
7.2.1 Опробование Системы проводят путем проверки вывода на показывающие устройства системы и печать информации с различных подсистем измерений, входящих в состав Системы в соответствие с эксплуатационной документацией на Систему, а также проверки путем сличения соответствия архивов с измерительной информацией информационно-вычислительного комплекса системы (далее по тексту - ИВКС) и узлах учета.
-
При опробовании проверяется отображение измеряемых параметров на АРМ, работоспособность и управление АСКУ ТЭР в соответствии с требованиями руководства по эксплуатации.
Результаты проверки считаются положительными, если функционирование и управление АСКУ ТЭР осуществляется в точном соответствии с руководством по эксплуатации.
-
7.2.2 Проверить регистрацию и индикацию неисправности линий связи измерительных каналов.
От первичного преобразователя тестируемого канала отсоединить линию связи (связующий компонент), тестируемый связующий компонент коротко замыкается со стороны первичного измерительного преобразователя.
В указанных случаях на АРМ должно быть выдано сообщение о неисправности линий связи с указанием идентификационного номера измерительного компонента.
Результат проверки считать положительным, если указанные тесты выполняются по всем проверяемым линиям связи.
-
7.3 Проверка автоматического считывания информации из энергонезависимой памяти измерительного компонента за период разрыва линии связи.
Проверку автоматического считывания Системой информации из энергонезависимой памяти измерительного компонента за период отсутствия обмена (разрыв связи, перерыв в электропитании компонентов Системы) проводить в указанной ниже последовательности:
-
- оборвать связь между измерительным компонентом и УСПД ЭКОМ-3000(далее по тексту - УСПД);
-
- по истечении периода времени не менее двух часов связь восстановить;
-
- с измерительного компонента, входящего в состав испытуемого канала, считать базы данных архивированных значений всех измеряемых величин и параметров за интервал, включающий время отсутствия связи;
-
- по истечении периода времени не менее суток базу данных за этот интервал времени вывести на АРМ.
Примечание - Съем базы данных последних архивированных значений из приборов учета должен осуществляться при помощи технических средств и программного обеспечения, поставляемого производителем прибора учета или путем распечатки архива на печатающем устройстве.
Результаты проверки по данному пункту методики считаются положительными, если на АРМ индицируются архивные значения, соответствующие значениям, считанным непосредственно с измерительного компонента.
-
7.4 Проверка метрологических характеристик измерительных компонентов АСКУ ТЭР
На узлах учета АСКУ ТЭР проверяются измерительные компоненты (тип и заводские номера приборов) на соответствие перечню, приведенному в паспорте-формуляре.
Проверяется наличие действующих свидетельств о поверке на все измерительные компоненты, входящие в состав АСКУ ТЭР.
Примечание - Поверку измерительных компонентов, входящих в состав АСКУ ТЭР, рекомендуется проводить совместно с поверкой АСКУ ТЭР по методикам поверки на эти измерительные компоненты. Методики поверки на измерительные компоненты АСКУ ТЭР прилагаются к РТ-МП-2626-500-2015.
-
7.4.1.1 Поверка теплосчетчиков ЛОГИКА 6961 проводится по методике поверки, изложенной в Разделе 6 «Методика поверки» «Теплосчетчики ЛОГИКА 6961. Руководство по эксплуатации». РАЖГ.421431.033 РЭ.
Для теплосчетчиков установлен поэлементный метод поверки. Теплосчетчики подвергают поверке при выпуске из производства, при вводе в эксплуатацию, после ремонта и при эксплуатации.
Поверку проводят согласно п. 6.3 «Проведение поверки» Раздела 6 «Методика поверки» «Теплосчетчики ЛОГИКА 6961. Руководство по эксплуатации». РАЖГ.421431.033 РЭ.
-
7.4.1.2 Поверка тепловычислителя СПТ961 проводится по методике поверки, изложенной в Разделе 9 «Методика поверки» «Тепловычислители СПТ961. Руководство по эксплуатации». РАЖГ.421412.025.РЭ (далее Раздел 9 РАЖГ.421412.025.РЭ).
Проверки осуществляются под управлением программы ТЕХНОЛОГ (поставляется на компакт диске вместе с прибором) на стенде СКС6, в виде последовательности тестов, в процессе прохождения которых на мониторе компьютера отображаются ход выполнения операций, указания и сообщения для оператора.
Запускают на компьютере программу ТЕХНОЛОГ, и в ее настройках устанавливают профиль "СПТ961.1/2-поверка".
Затем выбирают в панели инструментов программы команду "Выполнить выбранные тесты" (кнопка □), в результате чего начинается выполнение тестов. Если очередной тест закончен успешно, следующий запускается автоматически; при отрицательном результате очередного теста проверки по оставшимся не проводятся.
Проверка соответствия допускаемым пределам погрешности измерений входных сигналов осуществляется в тестах "Прямые измерения (срез 1)", "Прямые измерения (срез 3)" и "Прямые измерения (срез 5)" по п. 9.6.5.2 Раздел 9 РАЖГ.421412.025.РЭ.
Проверка соответствия допускаемым пределам погрешности вычислений выполняется в тесте "Вычисления" по п. 9.6.5.2 Раздел 9 РАЖГ.421412.025.РЭ.
При положительном прохождении тестов предел погрешности измерений:
± 0,05 % - измерение сигналов частоты (относительная);
± 0,05 % - измерение сигналов 0 - 20 и 4 - 20 мА (приведенная к диапазону измерений);
± 0,1 °C - измерение сигналов сопротивления (абсолютная; характеристика преобразования PtlOO, 100П, 100М);
± 0,03 °C - измерение разности сигналов сопротивления (абсолютная; характеристика преобразования PtlOO, 100П);
± 0,01 % - ход часов (относительная);
± 0,02 % - вычисление параметров (относительная).
-
7.4.1.3 Расчет предела допускаемой относительной погрешности ПИК тепловой энергии воды тепловычислителями СПТ961 в составе теплосчетчиков ЛОГИКА 6961.
Расчет относительной погрешности ПИК тепловой энергии воды проводят набором средств измерений:
-
- теплосчетчики класса С по ГОСТ Р 51649-2000 для закрытых систем теплоснабжения (ЗВСТ),
-
- теплосчетчики класса II по ГОСТ Р 8.591-2002 для открытых систем теплоснабжения (ОВСТ),
с использованием формулы расчета для открытых систем теплоснабжения (ОВСТ), изложенной в ОТ теплосчетчика ЛОГИКА 6961,
- термопреобразователи сопротивления класс А по ГОСТ 6651-2009.
Расчет относительной погрешности ИИК тепловой энергии воды проводят по формуле:
^=VH)2+(^Qb)2) (i-i)
где
cQ - вычисленная относительная погрешность тепловой энергии воды;
= ± 0,02 % - относительная погрешность теплосчетчика при вычислении тепловой энергии воды (по описанию типа на тепловычислитель СПТ961);
Расчет cQ для закрытых систем теплоснабжения (далее по тексту - ЗВСТ) проводят по ГОСТ Р 51649-2000, класс С:
(5Q, = ±(2+4 Atmin/At+0,01 Gb/G)
(1-2)
где
Gb - наибольшее значение расхода,
Atmin - наименьшее значение разности температур в подающем и обратном трубопроводе.
В формуле 1.2 Atmin > 3°С, для узлов учета № 1, 4, 17, 26, 23 приведены в таблице 2.
Таблица 2
№ узлов учета |
Atmin ,°С |
О о |
Ду, мм |
Диапазон измерений ИИК объемного расхода |
Gb/G |
<5Q,,% | |
1,4, 17, 26 |
3 |
5 |
200 |
от 30 до 600 м3/ч | |||
3 |
20 | ||||||
23 |
3 |
5 |
150 |
от 20 до 200 т/ч | |||
3 |
20 |
Полученные значения относительной погрешности ИИК тепловой энергии воды для узлов учета закрытых систем теплоснабжения АСКУ ТЭР не должны превышать значений, указанных в требованиях «Методики осуществления коммерческого учета тепловой энергии, теплоносителя», утвержденной в соответствии с приказом Министерства строительства и жилищно-коммунального хозяйства РФ от 17 марта 2014 г. N 99/пр.
Расчет для открытых систем теплоснабжения (ОВСТ) (узлы учета № 19, 25, 28) рассчитывается по формуле, приведенной в ОТ теплосчетчика ЛОГИКА 6961:
= ±(2,5+10/At+0,005-Gmax/Gl)/(l-G2t2/Gl-tl) (1.3)
С учетом того, что в формуле (1.3) ± 2,5% - это погрешность расходомеров по двум независимым измерениям с погрешностью каждого ± 2,0%, а в нашем случае расходомеры имеют погрешность ±1,1 %, формула (1.3) преобразуется в вид:
= ±( 1,6+10/At+0,005 • Gmax/G 1)/(1 - G2 ■ t2/G 1 • 11) (1.4)
Таблица 5
№ узлов учета |
<] о 1 |
Ду, мм |
Диапазон измерений ИИК объемного расхода |
1 -G2t2/G 1 ■ 11 |
^Q,,% |
^Q,% |
19 |
10 |
100 |
от 28 до 280 м3/ч | |||
20 | ||||||
25 |
10 |
100 |
от 28 до 280 м3/ч | |||
80 |
от 18 до 180 м3/ч | |||||
20 |
100 |
от 28 до 280 м3/ч | ||||
80 |
от 18 до 180 м3/ч | |||||
28 |
10 |
80 |
от 18 до 180 м3/ч | |||
32 |
от 3,0 до 30,0м3/ч | |||||
20 |
80 |
от 18 до 180 м3/ч | ||||
32 |
от 3,0 до 30,0м3/ч |
-
7.4.1.4 Проведение измерений при поверке ИИК объемного расхода воды (подсистемы учета ТЭ воды, ГВС, подпитки ТЭ и подпитки ГВС) расходомерами, входящими в состав теплосчетчика ЛОГИКА 6961.
-
7.4.1.4.1 Поверка преобразователей расхода электромагнитных ПРЭМ проводится по методике поверки «Преобразователи расхода электромагнитные ПРЭМ. Методика поверки». РБЯК.407111.039 МП, утверждённой ГЦИ СИ «ВНИИМ им. Д.И. Менделеева» в 2006 г. (далее - РБЯК.407111.039 МП).
Определение относительной погрешности при преобразовании расхода и объема проводится по п. 5.3.1 РБЯК.407111.039 МП с применением установки расходомерной УМР-1: диапазон воспроизведения расхода (0,01-360) мЗ/ч; относительная погрешность ± 0,05 % и частотомера электронно-счетного 43-54,режим непрерывного счета импульсов в диапазоне частот от 0 до 1000 Гц, ед. мл. разряда - 1 имп.
При проведении поверки применяется схема согласно п. 5.2 РБЯК.407111.039 МП.
Определение относительной погрешности преобразователей проводится при значениях поверочных расходов Qb, QI, Q2 и направлениях потока поверочной среды, указанных в приложении Б. Точность задания поверочных расходов не должна превышать ± 10 % на расходе Qb и плюс 10 % на расходах Q1 и Q2.
Для преобразователей расхода электромагнитных ПРЭМ, класс В1, 81 должна быть не более ± 1,0 % - при значениях расхода в диапазоне от Q2 до Qmax (по описанию типа на преобразователь расхода электромагнитный ПРЭМ.
-
7.4.1.4.2 Поверка преобразователей расхода электромагнитных МастерФлоу проводится по методике поверки «ГСП. Преобразователи расхода электромагнитные МастерФлоу». Методика поверки ППБ.407112.001 МП, утвержденной ГЦИ СИ ФГУП «ВНИИМС» в июле 2012 г.
Общие указания
Определение основной относительной погрешности измерения объема определяют на расходах gmin, gni, gn2, 0,75gmax, указанных в Приложении Б методики поверки ППБ.407112.001 МП, при этом величину расхода на установке поверочной ПРУВ ПС-0,05/1000 (диапазон расходов от 0,05 до 1000 мЗ/ч, погрешность не более ± 0,025/0,5 %) задают с точностью + 10% на расходах gmjn и gn]> + 5% на расходе gn2 и ± 5% на расходе 0,75gmax-
Определение относительной погрешности преобразования объема протекшей воды в количество выходных импульсов (импульсный выход).
Погрешность расхода определяют на установке поверочной ПРУВ ПС-0,05/1000 (диапазон расходов от 0,05 до 1000 м3/ч, погрешность не более ± 0,025/0,5 %). Для этого на каждом из расходов (по диапазонам ПИК объема воды узлов учета с расходомерами МастерФлоуДу200 (узлы учета № 1,4, 17, 26 Системы) допустимо определение основной относительной погрешности измерения объема по импульсным сигналам определять на расходах gn2, 0,75gmax) для класса точности Б, выполняют одно измерение.
Для каждого расхода определяют значение объема Gi по расходомерной установке и соответствующее ему количество импульсов Ni, поступивших с импульсного выхода преобразователя.
Для обеспечения требуемой точности измерений цена импульса и их минимальное количество на импульсном выходе должны соответствовать значениям, приведенным в таблице 6.
Таблица 6
Ду, мм |
200 | |||
Цена импульса на импульсном выходе при испытаниях, м3/имп (л/имп) |
0,0005 (0,5) | |||
Задаваемые расходы |
Минимальное число импульсов на импульсном выходе для классов: | |||
Б, В, Г,Д |
Б2 |
Е |
Э | |
GMhh, М /ч |
170 |
170 |
250 |
1250 |
Gni, м3/ч |
250 |
250 |
- | |
Gn2, 0,75GMaKC м /ч |
500 |
250 |
500 |
Для каждого измерения определяют значение относительной погрешности
с N, • Д„ - Gpy
Sj =■ 7 Д;--^--100%
Gj
Где Gfv - измеренное значение расхода по расходомерной установке;
Nj - число импульсов на импульсном выходе;
Ди - поверочная цена импульса на импульсном выходе.
Примечание - цену импульса при поверке, указанную в таблице 6, задают в соответствии с указаниями руководства по эксплуатации.
Результаты поверки считают положительными по данному параметру, если полученные значения djG не выходят за пределы требований таблицы 6.1
Таблица 6.1
Пределы допускаемой относительной погрешности преобразования объема жидкости в количество выходных импульсов, %, в диапазоне расходов: |
Значения для классов: | |||
Б, В, Г,Д |
Б2 |
Е |
Э | |
ОТ Gmhh ДО Gnl |
±3 |
±3 |
±2 |
±0,5 |
ОТ Gnl ДО Оп2 |
±2 |
±2 |
±0,25 | |
от Gn2 до GMaKC |
± 1 |
±2 |
± 1 |
Для АСКУ ТЭР (узлы учета № 1,4, 17, 26) при определении основной относительной погрешности измерения объема по импульсным сигналам определяемого на расходах gn2, 0,75gmax для класса точности Б - результат признается положительным, если погрешность 8° = ± 1,0%.
-
7.4.1.4.3 При положительных результатах поверки расходомеров рассчитываются относительные погрешности ИИК объемного расхода воды по формуле:
«=Л«.)2+(■«»» )2 (|,5)
где
-
- 5G] - предел относительной погрешности ИИК объемного расхода воды (по описанию типа на расходомеры;
-
- SGbh = ± 0,05 % - относительная погрешность сигналов импульсов тепловычислите-лем СИТ 961).
-
7.4.1.5 Расчет относительной погрешности ИИК массового расхода воды проводят по формуле:
<5М = 7(Ж)2 +(ф)2 +(<5МЙ)2 (1 >6)
где
8G - предел относительной погрешности ИИК объемного расхода воды (расчетная);
8р - относительная погрешность плотности воды (для воды в диапазонах расхода для расходомеров АСКУ ТЭР 8р < ± 0,05 %);
<5МВ = ± 0,02 % - относительная погрешность теплосчетчика при вычислении
массового расхода воды (из описания типа на тепловычислитель СПТ961). Таблица 8
№ узлов учета |
Ду, ММ |
Диапазон измерений ИИК объемного расхода |
Gb/G |
Тип расходомера и класс точности |
8G,% |
<5М,% |
1,4, 17, 26 |
200 |
от 30 до 600 м3/ч |
МастерФлоу, класс Б, ± 1,0 % - при значениях расхода в диапазоне от Q2 до Qmax (от 10 до 1000 м3/ч) | |||
23 |
150 |
от 20 до 200 т/ч |
ПРЭМ, класс В1, ± 1,0 % - при значениях расхода в диапазоне от Q2 до Qmax (от 11 до 630 м3/ч) | |||
2, 5, 18, 19, 24, 25, 27, 28, 29 |
В соответствии с проектом |
В соответствии с проектами |
ПРЭМ, класс В1, ± 1,0 % - при значениях расхода в диапазоне от Q2 до Qmax. В соответствии с проектами минимальный расход не выходит за Q2 |
Относительная погрешность объемного расхода воды и массового расхода воды при заданных в системе диапазонах объемного расхода не выходит за допустимые для преобразователей расхода, входящих в состав теплосчетчиков ЛОГИКА 6961 значения, при которых соблюдаются требования «Методики осуществления коммерческого учета тепловой энергии, теплоносителя», утвержденной в соответствии с приказом Министерства строительства и жилищно-коммунального хозяйства РФ от 17 марта 2014 г. N 99/пр. - не более ± 2%.
-
7.4.1.6 Проведение измерений при определении относительных погрешностей ИИК массового расхода пара и ИИК тепловой энергии пара (подсистемы учета пара) расходомерами, входящими в состав теплосчетчика ЛОГИКА 6961.
-
7.4.1.6.1 Поверка преобразователей расхода вихревых ЭМИС-ВИХРЬ-200 проводится по методике поверки, изложенной в Разделе 4 «Преобразователи расхода вихревые «ЭМИС-ВИХРЬ 200 (ЭВ-200). Модификации ЭВ-200, ЭВ-205, ЭВ-200-ППД. Руководство по эксплуатации». ЭВ-200.000.000.000.00 РЭ, v 1.2.7.
Определение относительной погрешности измерения преобразователя расхода по цифровому выходному сигналу на установке поверочной расходомерной для счетчиков газа УПСГ, диапазон расхода от 1 до 4000 мЗ/ч, проводится по п. 4.8.3 Раздела 4 ЭВ-200.000.000.000.00 РЭ, v 1.2.7.
Основная относительная погрешность при измерении объема воздуха не более ± 0,35 %.
Результат признается положительным, если значения погрешности находятся в пределах, установленным в описании типа преобразователей расхода вихревых ЭМИС-ВИХРЬ-200.
Для преобразователей расхода вихревых ЭМИС-ВИХРЬ-200 (ЭВ-200), класс точности В - 5V1 < 1,5 % (для пара).
-
7.4.1.6.2 Расчет относительной погрешности ИИК массового расхода пара согласно РТ-ПИ-2625-500-2015 и согласно МИ 2451-98:
8М} = + &2рТ -8t2 + Э2рР -SP2 (1.7)
Согласно РТ-ПИ-2625-500-2015:
(др)2= &2Т ■ 8t2 + &2рР ■ 5Р2 < 6,4 % (для пара);
др < ±2,5% (для пара).
Относительная погрешность ИИК массового расхода пара вычисляется по формуле:
ЙМ = 7И)2+Ы2+(^В)2 (1-8),
где
-
- 5V1 - предел относительной погрешности расхода пара;
-
- 5р - относительная погрешность плотности пара (для пара в диапазонах расхода для расходомеров АСКУ ТЭР 5р < ± 2,5 %);
= ± 0,02 % - относительная погрешность теплосчетчика при вычислении массового расхода пара (из описания типа на тепловычислитель СПТ961).
-
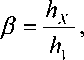
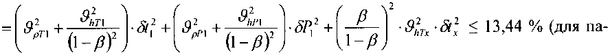
7.4.1.6.3 Расчет относительной погрешности ИИК тепловой энергии пара согласно РТ-ПИ-2625-500-2015 и согласно МИ 2451-98:
SV - пределы относительной погрешности измерений канала объема, %;
§t] - пределы относительной погрешности измерений канала температуры пара, %;
SPi - пределы относительной погрешности измерений канала абсолютного давления пара, %;
0РТ1 - относительный коэффициент чувствительности плотности пара к изменению температуры;
0рР1 ~ относительный коэффициент чувствительности плотности пара к изменению абсолютного давления пара;
&hn ~ относительный коэффициент чувствительности энтальпии пара к изменению температуры;
&hPi ~ относительный коэффициент чувствительности энтальпии пара к изменению абсолютного давления пара;
3tx - пределы относительной погрешности измерений канала температуры воды, %;
OhTx - относительный коэффициент чувствительности энтальпии воды к изменению температуры;
Р - коэффициент, рассчитываемый по формуле
(1-Ю)

где
hi - энтальпия пара, кДж/кг; hx - энтальпия воды, кДж/кг.
Составные части погрешности.
Пределы относительной погрешности измерений канала температуры пара

где
At] — пределы абсолютной погрешности измерений канала температуры пара, °C; t] - температура пара, °C.
Пределы относительной погрешности измерений канала абсолютного давления пара
=уР . ?мах\ ?min\ (1-12)
Р\
где
yPi - пределы приведенной к диапазону измерений погрешности измерений канала абсолютного давления пара, %;
Pmini ~ нижний предел диапазона измерений канала абсолютного давления пара, МПа;
Pmaxi - верхний предел диапазона измерений канала абсолютного давления пара, МПа;
Pi - абсолютное давление пара, МПа.
Относительный коэффициент чувствительности плотности пара к изменению температуры пара
(1.13)
где
Api - изменение плотности пара при изменении температуры пара на величину At]; ti - температура пара, °C;
pi - плотность пара, кг/м3.
Относительный коэффициент чувствительности плотности пара к изменению абсолютного давления пара
, Ар, Л С И)
рп ’ а/; ' А ’где
Api - изменение плотности при изменении абсолютного давления пара на величину АР.;
Pi - абсолютное давление пара, МПа;
р - плотность пара, кг/м3.
Относительный коэффициент чувствительности энтальпии пара к изменению температуры пара
_ДЙ,А С1-15)hT' А/, Л, ’
где
- изменение энтальпии пара при изменении температуры пара на величину At];
t] - температура пара, °C;
hi - энтальпия пара, кДж/кг.
Относительный коэффициент чувствительности энтальпии пара к изменению абсолютного давления пара

Afy Рх
(Мб)
где
Ahi - изменение энтальпии пара при изменении абсолютного давления пара на величину APi;
Pi - абсолютное давление пара, МПа;
hi - энтальпия пара, кДж/кг.
Пределы относительной погрешности измерений канала температуры воды
(1.17)
8tx = ^-100%, С
где
Atx - пределы абсолютной погрешности измерений канала температуры воды, °C; tx - температура воды, °C.
Относительный коэффициент чувствительности энтальпии воды к изменению температуры воды
tx
где
Ahx - изменение энтальпии воды при изменении температуры воды на величину Atx; tx - температура воды, °C;
hx - энтальпия воды, кДж/кг.
Относительный коэффициент чувствительности энтальпии воды к изменению абсолютного давления воды
(1-19)
где
Ahx - изменение энтальпии воды при изменении абсолютного давления воды на величину ДРХ;
Рх - абсолютное давление воды, МПа;
hx - энтальпия воды, кДж/кг.
Из РТ-ПИ-2625-500-2015:
Составляющие формулы (1.10) относительные погрешности плотности и энтальпии пара и воды:

сост
ра);
&сост 3,6 /о.
Относительная погрешность ИИК массового расхода пара вычисляется по формуле:
«г=7(^)2+(^™)2+(^)2 (1 -20)
где
- 3V] - предел относительной погрешности расхода пара;
<5МВ= ± 0,02 % - относительная погрешность теплосчетчика при вычислении тепловой энергии пара (из описания типа на тепловычислитель СПТ961).
Таблица 9
№ узлов учета |
Д У, м м |
Диапазон измерений ИИК объемного расхода |
Тип расходомера и класс точности |
Vb/V |
8V |
SMj |
8М |
8 Qi |
8Q |
1 |
2 |
3 |
4 |
5 |
6 |
7 |
8 |
9 |
10 |
8, 14, 15 |
150 |
от 540 до 5400 м3/ч |
ЭМИС-ВИХРЬ 200 (ЭВ-200), класс точности В, 3G = 1,5 % для пара | ||||||
ю, 11, 16 |
100 |
от 237,6 до 2376 м3/ч |
ЭМИС-ВИХРЬ 200 (ЭВ-200), класс точности В, 3G = 1,5 % для пара | ||||||
3 |
80 |
от 136,8 до 1368 м3/ч |
ЭМИС-ВИХРЬ 200 (ЭВ-200), класс точности В, 8G = 1,5 % для пара | ||||||
21,22 |
65 |
от 82,8 до 828 м3/ч |
ЭМИС-ВИХРЬ 200 (ЭВ-200), класс точности В, 3G = 1,5 % для пара |
Полученные результаты расчетов относительной погрешности при измерении массового расхода пара считаются положительными, если относительная погрешность при измерении массового расхода пара не превышает указанной в требованиях «Методики осуществления коммерческого учета тепловой энергии, теплоносителя», утвержденной в соответствии с приказом Министерства строительства и жилищно-коммунального хозяйства РФ от 17 марта 2014 г. N 99/пр. (ЗМ не превышает ± 3 %).
Полученные результаты расчетов относительной погрешности при измерении тепловой энергии пара положительные, так как относительная погрешность при измерении тепловой энергии пара не превышает указанной в требованиях «Методики осуществления коммерческого учета тепловой энергии, теплоносителя», утвержденной в соответствии с приказом Министерства строительства и жилищно-коммунального хозяйства РФ от 17 марта 2014 г. N 99/пр. (3Q не превышает ± 4 %).
-
7.4.1.7 Проведение измерений при определении относительных погрешностей ПИК температуры воды и ИИК температуры пара (подсистемы учета пара, ТЭ, подпитки ТЭ, мазута) термометрами сопротивления из платины техническими ТПТ-1-3 и комплектами термопреобразователей сопротивления КТСПР-01, входящими в состав теплосчетчика ЛОГИКА 6961.
-
7.4.1.7.1 Поверка термометров сопротивления из платины технических ТПТ-1-3 проводится по методике поверки, изложенной в ГОСТ Р 8.624-2006. «ГСП. Термометры сопротивления из платины, меди и никеля. Методика поверки».
Поверка термометров сопротивления из платины технических ТПТ-1-3 (отклонения сопротивления ТС от НСХ при температуре в диапазоне от -5 °C до +30 °C и отклонения сопротивления ТС от НСХ при температуре в диапазоне от 90 °C до 103 °C) проводится по п. 5.5 и 5.6 ГОСТ Р 8.624-2006. «ГСИ. Термометры сопротивления из платины, меди и никеля. Методика поверки».
-
7.4.1.7.2 Поверка комплектов термопреобразователей сопротивления КТСПР-01 проводится по методике поверки, изложенной в Разделе 3 руководства по эксплуатации «Комплекты термометров сопротивления из платины технических разностных КТПТР-01, КТПТР-03, КТПТР-06, КТПТР-07, КТПТР-08. Руководство по эксплуатации» ЕМТК.07.0000.00 РЭ.
Поверка комплектов термопреобразователей сопротивления КТСПР-01 (отклонения сопротивления ТС от НСХ) проводится по п. 3.5.5 Разделе 3 руководства по эксплуатации «Комплекты термометров сопротивления из платины технических разностных КТПТР-01, КТПТР-03, КТПТР-06, КТПТР-07, КТПТР-08. Руководство по эксплуатации» ЕМТК.07.0000.00 РЭ.
-
7.4.1.7.3 Расчет абсолютной погрешности ПИК температуры теплоносителя t в водяных и паровых системах теплоснабжения (подсистемы: ТЭ воды, пара, подпитки ТЭ и ХВС).
Расчет абсолютной погрешности ПИК температуры теплоносителя t проводят для каналов ПИК узлов учета подсистем ТЭ воды, пара, подпитки ТЭ и ХВС расчетным путем при минимальной и максимальной температурах.
Определение погрешности проводят по формуле:
At = Atl+AtB (1.21)
где
абсолютная погрешность первичного преобразователя температуры, °C (по его свидетельству о поверке);
± о,1 °C измерение сигналов сопротивления (без учета погрешности термометров сопротивления), °C (по описанию типа на тепловычислитель).
В системе применены преобразователи температуры класса допуска А по
ГОСТ Р 8.625-2006.
Формула для расчета:
АП = ±(0,15 + 0,002-|t|) °C (1.22)
Диапазон измерений температуры:
-
- от плюс 40 до плюс 100 °C;
-
- от плюс 2 до плюс 20 °C (подсистема подпитки ТЭ и ГВС);
-
- плюс 120 до плюс 210 °C (подсистема пара);
-
- плюс 60 до плюс 100 °C (подсистема мазута).
Полученные значения абсолютной погрешности ИИК температуры t считаем положительными, если в системе применены преобразователи температуры класса допуска А по ГОСТ Р 8.625-2006 и рассчитанная абсолютная погрешность ИИК температуры t не превышает предела абсолютной погрешности температуры, указанной в требованиях «Методики осуществления коммерческого учета тепловой энергии, теплоносителя», утвержденной в соответствии с приказом Министерства строительства и жилищно-коммунального хозяйства РФ от 17 марта 2014 г. N 99/пр.
-
7.4.1.8 Проведение измерений при определении приведенных погрешностей ИИК давления воды (подсистемы учета пара, ТЭ, подпитки ТЭ и ГВС, мазута) датчиками давления Метран-55, входящими в состав теплосчетчика ЛОГИКА 6961.
-
7.4.1.8.1 Поверка датчиков давления Метран-55 проводится по методике поверки, изложенной в МИ 4112-012-2001 «ГСИ. Датчики (измерительные преобразователи) типа «Метран». Методика поверки».
Определение основной погрешности датчиков давления Метран-55 проводят по п. 5.3 Раздела 5 МИ 4112-012-2001 «ГСИ. Датчики (измерительные преобразователи) типа «Метран». Методика поверки».
-
7.4.1.8.2 Расчет приведенной погрешности ИИК избыточного давления воды (подсистемы: ТЭ воды, подпитки ТЭ и ГВС, мазута).
По паспорту на датчик давления Метран-55 при диапазонах измерений ИИК избыточного давления воды и мазута от 0,1 до 1,6 МПа значения пределов приведенной погрешности измерений избыточного давления воды не превышают пределов приведенной погрешности измерений избыточного давления, указанной в требованиях «Методики осуществления коммерческого учета тепловой энергии, теплоносителя», утвержденной в соответствии с приказом Министерства строительства и жилищно-коммунального хозяйства РФ от 17 марта 2014 г. N 99/пр.
По описанию типа на датчик давления Метран-55 при диапазонах измерений от 0,1 до 1,6 МПа значения пределов приведенной погрешности измерений избыточного давления -уР1 =±1,0%.
Расчет приведенной погрешности ИИК избыточного давления на подсистемах учета ТЭ воды, подпитки ТЭ и ГВС, мазута проводят для каналов Системы, применяемых в этих подсистемах, расчетным путем.
Расчет погрешности проводят по формуле где
(1-23)

API - приведенная погрешность первичного преобразователя давления (по его свидетельству о поверке и описанию типа), %;
АРв = ± 0,05 %- приведенная погрешность вторичного прибора (тепловычислителя) при измерении сигналов 4-20 мА (по описанию типа тепловычислителя СПТ961), % .
Полученные значения приведенной погрешности ИИК избыточного давления считаем положительными и рассчитанные приведенной погрешности ИИК избыточного давления не превышают предела приведенной погрешности избыточного давления, указанной в требованиях «Методики осуществления коммерческого учета тепловой энергии, теплоносителя», утвержденной в соответствии с приказом Министерства строительства и жилищно-коммунального хозяйства РФ от 17 марта 2014 г. N 99/пр.
-
7.4.1.8.3 Расчет приведенной погрешности ИИК избыточного давления пара (подсистема пара).
По паспорту на датчик давления Метран-55 при диапазонах измерений ИИК избыточного давления пара от 0,2 до 1,4 МПа значения пределов приведенной погрешности измерений избыточного давления пара не превышают пределов приведенной погрешности измерений избыточного давления, указанной в требованиях «Методики осуществления коммерческого учета тепловой энергии теплоносителя».
По описанию типа на датчик давления Метран-55 при диапазонах измерений от 0,2 до 1,4 МПа значения пределов приведенной погрешности измерений избыточного давления -уР1 = ±0,5 %.
Расчет приведенной погрешности ИИК избыточного давления в подсистемах учета пара проводим расчетным путем.
Расчет погрешности проводят по формуле
/Р = V(rP. )2 + (г?в )2
(1.24)
где
API - приведенная погрешность первичного преобразователя давления (по его свидетельству о поверке и описанию типа), %;
ДРв = ± 0,05 %- приведенная погрешность вторичного прибора (тепловычислителя) при измерении сигналов 4-20 мА (по описанию типа тепловычислителя СПТ961), %
-
7.4.1.9 Проведение измерений при определении относительных погрешностей ИИК массового расхода мазута (подсистема учета мазута) расходомерами, входящими в состав теплосчетчика ЛОГИКА 6961.
-
7.4.1.9.1 Поверка расходомеров массовых ЭЛМЕТРО-Фломак проводится по методике поверки, изложенной в документе «Расходомеры-счетчики массовые ЭЛМЕТРО-Фломак. Методика поверки 3124.0000.00 МП», утвержденной ГЦИ СИ ФГУП «ВНИИМС» 15.06.2011 г.,
сравнением значений массы, измеренной расходомером с показаниями поверочной проливной установки в двух точках, соответствующих 0,05Qmax, и 0,2...0,9 Qmax, где Qmax - максимальный предел измерений расходомера (для Ду>80 мм допускается 0,05Qmax, 0,1 ...0,3 Qmax).
-
7.4.1.9.2 Расчет ИИК массового расхода мазута узлов учета № 6, 7, 9, 12, 13, 20.
Расчет относительной погрешности ИИК массового расхода мазута с применением расходомеров ЭЛМЕТРО-Фломак проводят путем проверки соответствия погрешности расходомеров, применяемых для измерения массового расхода мазута, в соответствующей точке измерений метрологическим характеристикам узлов учета Системы.
Формула для оценки погрешности канала массы


(1-25)
где
дМ) - пределы относительной погрешности измерений массы на нижнем уровне, %;
ЗМ2 - пределы относительной погрешности измерений массы на среднем уровне, %.
Составные части погрешности.
(1-26)
SMX = ^8M2W + 8М2. + 8М2Р ,
где
8М]о - пределы основной относительной погрешности расходомера-счетчика массового ЭЛМЕТРО-Фломак при измерении массы/массового расхода или пределы погрешности обусловленные нестабильностью нуля расходомера-счетчика массового ЭЛМЕТРО-Фломак (из ОТ на расходомер ЭЛМЕТРО-Фломак), %;
ЗМ1Т - пределы дополнительной приведенной к номинальному массовому расходу погрешности расходомера-счетчика массового ЭЛМЕТРО-Фломак при измерении массового расхода от влияния температуры измеряемой среды, %;
8М1Р - пределы дополнительной приведенной к номинальному массовому расходу погрешности расходомера-счетчика массового ЭЛМЕТРО-Фломак при измерении массового расхода от влияния давления измеряемой среды, %.
Пределы относительной погрешности, обусловленные нестабильностью нуля расходомера-счетчика массового ЭЛМЕТРО-Фломак, рассчитываемые по формуле
8Мхй = (2* JA//QM)*100%
(1-27)
где
ДМ- нестабильность нуля расходомера-счетчика массового ЭЛМЕТРО-Фломак, т/ч; Qm - массовый расход, т/ч.
Пределы дополнительной приведенной к номинальному массовому расходу погрешности расходомера-счетчика массового ЭЛМЕТРО-Фломак при измерении массового расхода от влияния температуры измеряемой среды 8Mit, %, рассчитываемые по формуле
(1-28)
8М}Т = 8Мт • %,
17 171 10 Q
где
8М1т~ пределы дополнительной приведенной к номинальному массовому расходу погрешности расходомера-счетчика массового ЭЛМЕТРО-Фломак при измерении массового расхода от влияния температуры измеряемой среды на каждые 10 °C от температуры установки нуля, %;
Qnom - номинальный массовый расход расходомера-счетчика массового ЭЛМЕТРО-Фломак, т/ч;
Q - массовый расход, измеренный расходомером-счетчиком массовым ЭЛМЕТРО-Фломак, т/ч;
t - температура измеряемой среды, °C;
to - температура установки нуля расходомера-счетчика массового ЭЛМЕТРО-Фломак,
Пределы дополнительной приведенной к номинальному массовому расходу погрешности расходомера-счетчика массового ЭЛМЕТРО-Фломак при измерении массового расхода от влияния давления измеряемой среды 8Mip, %,. рассчитываемые по формуле где

(1.29)
8М1Р1 - пределы дополнительной приведенной к номинальному массовому расходу погрешности расходомера-счетчика массового ЭЛМЕТРО-Фломак при измерении массового расхода от влияния давления измеряемой среды на каждый 0,1 МПа, %;
Qnom - номинальный массовый расход расходомера-счетчика массового ЭЛМЕТРО-Фломак, т/ч;
Р - давление измеряемой среды, МПа;
Ро - давление при калибровке расходомера-счетчика массового ЭЛМЕТРО-Фломак,
МПа.
Расчет представляем в таблице 10
Таблица 10
№ узлов учета |
д у, м м |
Диапазон измерений ИИК массового расхода мазута |
Тип расходомера и класс точности |
AM |
ЗМ10 |
Т калиб либ-ровки нест. нуля |
5 Ml Т |
Р калибровки нест. нуля |
дМ ip |
5М |
1 |
2 |
3 |
4 |
5 |
6 |
7 |
8 |
9 |
1 |
8 |
6, 7, 12, 13 |
25 |
от 0,12 до 0,5 т/ч |
ЭЛМЕТРО- Фломак , ЗМ0 = 0,25 % |
0,000 9 т/ч |
70°С |
0,5 МПа | ||||
20 |
32 |
от 1,0 до 24,3 т/ч |
ЭЛМЕТРО- Фломак , ЗМ0 = 0,25 % |
0,001 4 т/ч |
70°С |
0,5 МПа | ||||
9 |
50 |
от 20,0 до 37,5 т/ч |
ЭЛМЕТРО- Фломак, ЗМо = 0,25 % |
0,004 т/ч |
70°С |
0,5 МПа |
-
7.4.1.10 Расчет абсолютной погрешности ИИК температуры мазута t проводят для каналов ИИК узлов учета № 6, 7, 9 12, 13, 20 расчетным путем при минимальной и максимальной температурах мазута.
Определение погрешности проводят по формуле:
At = At]+AtB (1-30)
где
А^- абсолютная погрешность первичного преобразователя температуры, °C (по его свидетельству о поверке);
\tB= ± 0,1 °C измерение сигналов сопротивления (без учета погрешности термометров сопротивления), °C (по описанию типа на тепловычислитель СПТ961).
В системе применены преобразователи температуры класса допуска А по ГОСТ Р 8.625-2006.
Формула для расчета:
At, = ±(0,9 + 0,008*|t|) °C (1.26)
Диапазон измерений температуры:
- от плюс 60 до плюс 70 °C.
Подставляя в формулу верхний предел диапазона измерений, определяем предел допускаемой абсолютной погрешности первичного преобразователя температуры.
-
7.4.1.11 Расчет абсолютной погрешности ИИК температуры воздуха проводят расчетным путем при минимальной и максимальной температурах воздуха.
В системе применены преобразователи температуры класса допуска А по ГОСТ Р 8.625-2006.
Формула для расчета:
Atl = ±(0,15 + 0,002-|t|) °C
(1-25)
Диапазон измерений температуры воздуха:
- от плюс 5 до плюс 50 °C.
Полученные значения абсолютной погрешности ИИК температуры воздуха t считаем положительными, если в системе применены преобразователи температуры класса допуска А по ГОСТ Р 8.625-2006 и рассчитанная абсолютная погрешность ИИК температуры t не превышает предела абсолютной погрешности температуры, указанной в требованиях «Методики осуществления коммерческого учета тепловой энергии, теплоносителя», утвержденной в соответствии с приказом Министерства строительства и жилищнокоммунального хозяйства РФ от 17 марта 2014 г. N 99/пр..
-
7.4.1.11 Результаты поверки считаются положительными, если:
-
- тип и заводской номер каждого измерительного компонента соответствуют паспорту-формуляру на АСКУ ТЭР;
-
- каждый измерительный компонент имеет действующее свидетельство (или соответствующую запись в паспорте) о поверке, выданные метрологической службой, аккредитованной на право поверки данного типа средств измерений;
-
- диапазоны измерений ИИК АСКУ ТЭР соответствуют заявленным в паспорте-формуляре и не выходят за границы диапазонов измерений измерительных компонентов теплосчетчика;
-
- расчетные и вычисленные значения пределов погрешностей ИИК теплосчетчика не превышают пределов нормированных погрешностей ИИК, указанных в описании типа АСКУ ТЭР и требованиях «Методики осуществления коммерческого учета тепловой энергии, теплоносителя», утвержденной в соответствии с приказом Министерства строительства и жилищно-коммунального хозяйства РФ от 17 марта 2014 г. N 99/пр.
-
7.4.2 Проверка погрешности передачи измеренных значений
Проверка погрешности передачи измеренных значений проводится в следующей последовательности:
-
- с электронного блока измерительного компонента, входящего в состав испытуемого узла учета, считать базы данных архивированных значений всех измеряемых величин и параметров за фиксированный интервал времени;
-
- базы данных за тот же интервал времени вывести на монитор компьютера АРМ: на мониторе АРМ должны индицироваться архивные значения, соответствующие значениям, считанным непосредственно с вычислителя измерительного компонента.
Примечание - Съем базы данных последних архивированных значений из приборов учета должен осуществляться при помощи технических средств и программного обеспечения, поставляемого производителем прибора учета или путем распечатки архива на печатающем устройстве.
Результаты проверки считаются положительными, если архивные значения на мониторе АРМ совпадают с соответствующими значениями, снятыми непосредственно с измерительного компонента (теплосчетчика).
-
7.4.3 Проверка хода часов компонентов АСКУ ТЭР
-
7.4.3.1 Подключают радиочасы «МИР РЧ-01» к переносному компьютеру и настраивают на нём точное время. После этого проверяется показание часов приборов учета и определяется разница показаний с переносным компьютером.
Сверить показания радиочасов «МИР РЧ-01» с показаниями часов устройства синхронизации времени в УСПД ЭКОМ-3000, сервере и теплосчетчиках и определить поправки: Дйуспд, AtiTC4i (где i - номер теплосчетчиков), ДДивкс-
-
7.4.3.2 Спустя 24 ч распечатать журнал событий всех компонентов АСКУ ТЭР, имеющих встроенные программные часы (сервер, УСПД ЭКОМ-ЗООО и теплосчетчики) выделив события, соответствующие синхронизации часов сервера, УСПД и теплосчетчиков. Определить поправки: At2ycna, At2TC4i (где i - номер теплосчетчика), А12ивкс- Рассчитать ход часов УСПД ЭКОМ-ЗООО, теплосчетчиков и сервера как разность поправок: АД1 = At2 - АД.
Рассчитанный ход часов УСПД ЭКОМ-ЗООО, сервера и теплосчетчиков в момент предшествующий коррекции не должен превышать хода часов компонентов АСКУ ТЭР, указанного в описании типа АСКУ ТЭР.
Результаты проверки считаются положительными, если ход часов компонентов АСКУ ТЭР не превышают ± 5 с/сут.
-
7.4.4 Проверка программного обеспечения.
Проверка Цифрового идентификатора программного обеспечения происходит на сервере и УСПД ЭКОМ-ЗООО, где установлены соответственно ПО ПК «Энергосфера» и ПО УСПД ЭКОМ-ЗООО.
Метрологически значимой частью специализированного программного обеспечения ПК «Энергосфера» является библиотека - файл pso_metr.dll.
Идентификационные данные библиотеки pso_metr.dll приведены в таблице 4.
Таблица 4 - Идентификационные данные ПО ПК «Энергосфера»
Идентификационные данные (признаки) |
Значение |
Идентификационное наименование ПО |
pso metr.dll |
Номер версии (идентификационный номер) ПО |
1.1.1.1 |
Цифровой идентификатор ПО |
cbeb6f6ca69318bed976e08a2bb7814b |
Другие идентификационные данные, если имеются |
ПО ПК «Энергосфера» |
Метрологически значимой частью |
ПО УСПД ЭКОМ-ЗООО является |
специализированная библиотека - файл libecom.so.
Идентификационные данные библиотеки libecom.so приведены в таблице 5. Таблица 5 - Идентификационные данные ПО УСПД ЭКОМ-ЗООО
Идентификационные данные (признаки) |
Значение |
Идентификационное наименование ПО |
libecom.so |
Номер версии (идентификационный номер) ПО |
11.159 |
Цифровой идентификатор ПО |
d394e4969e78e00aae4cf8fb375da0e9 |
Другие идентификационные данные, если имеются |
Внутреннее ПО УСПД «ЭКОМ-ЗООО» |
Метрологические характеристики АСКУ ТЭР нормированы с учетом влияния ПО ПК «Энергосфера» и ПО УСПД ЭКОМ-ЗООО.
Для проверки на сервере запускается менеджер файлов, позволяющих производить хэширование файлов (например, Unreal Commander v0.96). В менеджере файлов, необходимо открыть каталог и выделить следующие файлы: pso_metr.dll (ПО ПК«Энергосфера), libecom.so (ПО УСПД ЭКОМ-ЗООО).
Далее в закладке Файл Главного меню выбрать команду - Просчитать хэш. После чего получится соответствующее выделенным файлам количество файлов, содержащих код MD5 в текстовом формате. При этом наименование файла MD5 строго соответствует наименованию файла, для которого проводилось хэширование.
Результат проверки считать положительным, если полученное количество файлов, содержащих код MD5 в текстовом формате совпадают с контрольной суммой исполняемого кода.
8 ОФОРМЛЕНИЕ РЕЗУЛЬТАТОВ ПОВЕРКИ-
8.1 На основании положительных результатов первичной или периодической поверки заполняется протокол поверки (форма протокола поверки приведена в Приложении 2 настоящей методики) и выдается свидетельство о поверке на АСКУ ТЭР в соответствии с требованиями ПР 50.2.006-94 с указанием перечня измерительных каналов.
-
8.2 При отрицательных результатах поверки одного или нескольких измерительных каналов выдается извещение о непригодности канала (каналов). В этом случае в свидетельстве о поверке указывается перечень только тех измерительных каналов, которые прошли поверку с положительным результатом. Измерительные каналы с отрицательным результатом поверки к эксплуатации не допускаются. После получения положительных результатов поверки данных каналов, выдается свидетельство о поверке с указанием даты очередной поверки, соответствующей дате очередной поверки всех каналов измерительно-информационных АСКУ ТЭР в целом.
Р.В. Деев
ФБУ «Ростест-Москва»
Зам. Начальника центра № 500
ПРИЛОЖЕНИЕТаблица П.1 - Состав ИК АСКУ ТЭР
Название ИИК |
Наименование СИ, тип СИ, № Госреестра СИ |
1 |
2 |
ИИК ТЭ воды (узел учета № 1), ИИК массового расхода воды (узлы учета № 1,2) |
Теплосчетчик, ЛОГИКА 6961 (общий на узлы учета № 1, 2), Госреестр № 5451 1-13, в том числе: |
Тепловычислитель, СПТ961 (общий на узлы учета № 1, 2), Госреестр № 35477-12 | |
Узел учета № 1. Котельная ст. Тихорецк. Локомотивное депо. УУ ТЭ, общий вывод | |
ИИК объемного расхода воды |
Преобразователь расхода электромагнитный МастерФлоу , Ду200, Госреестр № 31001-12 |
ИИК объемного расхода воды |
Преобразователь расхода электромагнитный МастерФлоу , Ду200, Госреестр № 31001 -12 |
ИИК температуры воды (подающий и обратный трубопровод) |
Комплект термопреобразователей сопротивления (2 шт.), КТПТР-01, Госреестр №46156-10 |
ИИК давления воды |
Датчик давления, Метран-55, Госреестр № 18375-08 |
ИИК давления воды |
Датчик давления, Метран-55, Госреестр № 18375-08 |
ИИК температуры наружного воздуха |
Термопреобразователь сопротивления, ТПТ-1-3, Г осреестр №46155-10 |
Узел учета № 2. Котельная ст. Тихорецк. Локомотивное депо. УУ подпитка ТЭ | |
ИИК объемного расхода воды |
Преобразователь расхода электромагнитный, ПРЭМ, Ду40, Госреестр № 17858-1 1 |
ИИК температуры воды |
Термопреобразователь сопротивления, ТПТ-1-3, Госреестр № 46155-10 |
ИИК давления воды |
Датчик давления, Метран-55, Госреестр № 18375-08 |
Узел учета № 3. Котельная ст. Тихорецк. Локомотивное депо. УУ пара, общий вывод | |
ИИК ТЭ пара (узел учета № 3), ИИК массового расхода (массы) пара (узел учета № 3) |
Теплосчетчик, ЛОГИКА 6961, Госреестр № 5451 1-13, в том числе: |
Тепловычислитель, СПТ961, Госреестр № 35477-12 | |
ИИК расхода пара |
Преобразователь расхода вихревой, ЭМИС-ВИХРЬ 200 (ЭВ-200), Ду80, Госреестр № 42775-09 |
ИИК температуры пара |
Термопреобразователь сопротивления, ТПТ-1-3, Госреестр № 46155-10 |
ИИК температуры воды |
Термопреобразователь сопротивления, ТПТ-1-3, Госреестр № 46155-10 |
ИИК давления пара |
Датчик давления, Метран-55, Госреестр № 18375-08 |
ИИК ТЭ воды (узел учета № 4), ИИК массового расхода воды (узлы учета № 4, 5) |
Теплосчетчик, ЛОГИКА 6961 (общий на узлы учета № 4, 5), Госреестр № 5451 1-13, в том числе: |
Тепловычислитель, СПТ961 (общий на узлы учета № 4, 5), Госреестр № 35477-12 | |
Узел учета № 4. Котельная ст. Батайск ПЧЛ. УУ ТЭ, общий вывод | |
ИИК объемного расхода воды |
Преобразователь расхода электромагнитный МастерФлоу, Ду200, Госреестр № 31001-12 |
ИИК объемного расхода воды |
Преобразователь расхода электромагнитный МастерФлоу, Ду200, Госреестр № 31001-12 |
ИИК температуры воды (подающий и обратный трубопровод) |
Комплект термопреобразователей сопротивления (2 шт.), КТПТР-01, Госреестр № 46156-10 |
ИИК давления воды |
Датчик давления, Метран-55, Госреестр № 18375-08 |
ИИК давления воды |
Датчик давления, Метран-55, Госреестр № 18375-08 |
ИИК температуры наружного воздуха |
Термопреобразователь сопротивления, ТПТ-1-3, Г осреестр №46155-10 |
Продолжение таблицы П. 1
1 |
2 |
Узел учета № 5. Котельная ст. Батайск ПЧЛ. УУ подпитки ТЭ | |
ИИК объемного расхода воды |
Преобразователь расхода электромагнитный, ПРЭМ, Ду32, Госреестр№ 17858-11 |
ИИК давления воды |
Датчик давления, Метран-55, Госреестр № 18375-08 |
ИИК температуры воды |
Термопреобразователь сопротивления, ТПТ-1-3, Госреестр № 46155-10 |
ИИК ТЭ пара (узел учета № 8), ИИК массового расхода (массы) пара (узел учета № 8) |
Теплосчетчик, ЛОГИКА 6961 (общий на узлы учета № 6 - 8), Госреестр № 54511-13, в том числе: |
Тепловычислитель, СПТ961 (общий на узлы учета № 6 - 8), Госреестр № 35477-12 | |
ИИК температуры наружного воздуха |
Термопреобразователь сопротивления, ТПТ-1-3, Госреестр № 46155-10 |
Узел учета № 6. Котельная ТЧ Батайск Юг, пер. Литейный, 22. УУ мазута с котла № 1 | |
ИИК массового расхода мазута |
Счетчик-расходомер массовый, ЭЛМЕТРО-Фломак, Ду25, Госреестр № 47266-11 |
ИИК давления мазута |
Датчик давления, Метран-55, Госреестр № 18375-08 |
Узел учета № 7. Котельная ТЧ Батайск Юг, пер. Литейный, 22. УУ мазута с котла № 2 | |
ИИК массового расхода мазута |
Счетчик-расходомер массовый, ЭЛМЕТРО-Фломак, Ду25, Госреестр № 47266-11 |
ИИК давления мазута |
Датчик давления, Метран-55, Госреестр № 18375-08 |
Узел учета № 8. Котельная ТЧ Батайск Юг, пер. Литейный, 22. УУ пара, общий вывод | |
ИИК расхода пара |
Преобразователь расхода вихревой, ЭМИС-ВИХРЬ 200 (ЭВ-200), Ду 150, Госреестр № 42775-09 |
ИИК температуры пара |
Термопреобразователь сопротивления, ТПТ-1-3, Госреестр № 46155-10 |
ИИК температуры воды |
Термопреобразователь сопротивления, ТПТ-1-3, Госреестр № 46155-10 |
ИИК давления пара |
Датчик давления, Метран-55, Госреестр № 18375-08 |
ИИК ТЭ пара (узлы учета № 10, 11), ИИК массового расхода (массы) пара (узлы учета № 10, Н) |
Теплосчетчик, ЛОГИКА 6961 (общий на узлы учета № 9 - 11), Госреестр № 54511-13, в том числе: |
Тепловычислитель, СПТ961 (общий на узлы учета № 9 - 11), Госреестр № 35477-12 | |
ИИК температуры наружного воздуха |
Термопреобразователь сопротивления, ТПТ-1-3, Госреестр № 46155-10 |
ИИК температуры воды |
Термопреобразователь сопротивления, ТПТ-1-3, Госреестр № 46155-10 |
Узел учета № 9. Котельная ст. Лихая ВЧД. УУ мазута (на расходную емкость) | |
ИИК массового расхода мазута |
Счетчик-расходомер массовый, ЭЛМЕТРО-Фломак, Ду50, Госреестр № 47266-11 |
ИИК давления мазута |
Датчик давления, Метран-55, Госреестр № 18375-08 |
Узел учета № 10. Котельная ст. Лихая ВЧД. УУ пара с котлов № 1, 3, 4 | |
ИИК расхода пара |
Преобразователь расхода вихревой, ЭМИС-ВИХРЬ 200 (ЭВ-200), ДуЮО, Госреестр № 42775-09 |
ИИК температуры пара |
Термопреобразователь сопротивления, ТПТ-1-3, Госреестр № 46155-10 |
ИИК давления пара |
Датчик давления, Метран-55, Госреестр № 18375-08 |
Узел учета № 11. Котельная ст. Лихая ВЧД. УУ пара с котла № 2 | |
ИИК расхода пара |
Преобразователь расхода вихревой, ЭМИС-ВИХРЬ 200 (ЭВ-200), ДуЮО, Госреестр № 42775-09 |
ИИК температуры пара |
Термопреобразователь сопротивления, ТПТ-1-3, Госреестр № 46155-10 |
ИИК давления пара |
Датчик давления, Метран-55, Госреестр № 18375-08 |
ИИК ТЭ пара (узлы учета № 14, 15), ИИК массового расхода (массы) пара (узлы учета № 14, 15) |
Теплосчетчик, ЛОГИКА 6961 (общий на узлы учета № 12 - 15), Госреестр № 54511-13, в том числе: |
Тепловычислитель, СПТ961 (общий на узлы учета № 12 - 15), Госреестр № 35477-12 | |
ИИК температуры воды |
Термопреобразователь сопротивления, ТПТ-1-3, Госреестр № 46155-10 |
ИИК температуры наружного воздуха |
Термопреобразователь сопротивления, ТПТ-1 -3, Госреестр № 46155-10 |
Продолжение таблицы П. 1
1 |
2 |
Узел учета № 12. Котельная ст. Лихая ТЧ. УУ мазута на котел № 3 | |
ИИК массового расхода мазута |
Счетчик-расходомер массовый, ЭЛМЕТРО-Фломак, Ду25, Г осреестр № 47266-11 |
ИИК давления мазута |
Датчик давления, Метран-55, Госреестр № 18375-08 |
Узел учета № |
13. Котельная ст. Лихая ТЧ. УУ мазута на котел № 4 |
ИИК массового расхода мазута |
Счетчик-расходомер массовый, ЭЛМЕТРО-Фломак, Ду25, Госреестр № 47266-11 |
ИИК давления мазута |
Датчик давления, Метран-55, Госреестр № 18375-08 |
Узел учета № 14. Котельная ст. Лихая ТЧ. УУ пара с котла № 3 | |
ИИК расхода пара |
Преобразователь расхода вихревой, ЭМИС-ВИХРЬ 200 (ЭВ-200), Ду 150, Госреестр № 42775-09 |
ИИК температуры пара |
Термопреобразователь сопротивления, ТПТ-1-3, Госреестр № 46155-10 |
ИИК давления пара |
Датчик давления, Метран-55, Госреестр № 18375-08 |
Узел учета № 15. Котельная ст. Лихая ТЧ. УУ пара с котла № 4 | |
ИИК расхода пара |
Преобразователь расхода вихревой, ЭМИС-ВИХРЬ 200 (ЭВ-200), Ду 150, Госреестр № 42775-09 |
ИИК температуры пара |
Термопреобразователь сопротивления, ТПТ-1-3, Госреестр № 46155-10 |
ИИК давления пара |
Датчик давления, Метран-55, Госреестр № 18375-08 |
ИИК ТЭ пара (узел учета № 16), |
Теплосчетчик, ЛОГИКА 6961, Госреестр № 54511-13, в том числе: |
ИИК массового расхода (массы) пара (узел учета № 16) |
Тепловычислитель, СПТ961, Госреестр № 35477-12 |
ИИК температуры воды |
Термопреобразователь сопротивления, ТПТ-1-3, Госреестр № 46155-10 |
Узел учета № 16. Котельная ст. Лихая, № 12. УУ пара, общий вывод | |
ИИК расхода пара |
Преобразователь расхода вихревой, ЭМИС-ВИХРЬ 200 (ЭВ-200), ДуЮО, Госреестр № 42775-09 |
ИИК температуры пара |
Термопреобразователь сопротивления, ТПТ-1-3, Госреестр № 46155-10 |
ИИК давления пара |
Датчик давления, Метран-55, Госреестр № 18375-08 |
ИИК ТЭ воды (узлы учета № 17, 19), ИИК массового расхода во- |
Теплосчетчик, ЛОГИКА 6961 (общий на узлы учета № 17 - 19), Госреестр № 54511-13, в том числе: |
ды (узлы учета № 17 - 19) |
Тепловычислитель, СПТ961 (общий на узлы учета № 17 - 19), Госреестр № 35477-12 |
ИИК температуры воды |
Термопреобразователь сопротивления, ТПТ-1-3, Госреестр № 46155-10 |
ИИК температуры наружного воздуха |
Термопреобразователь сопротивления, ТПТ-1-3, Госреестр № 46155-10 |
Узел учета № |
17. Котельная ст. Лихая, № 12. УУ ТЭ, общий вывод |
ИИК объемного расхода воды |
Преобразователь расхода электромагнитный МастерФлоу, Ду200, Госреестр № 31001-12 |
ИИК объемного расхода воды |
Преобразователь расхода электромагнитный МастерФлоу, Ду200, Госреестр № 31001-12 |
ИИК температуры воды (подающий и обратный трубопровод) |
Комплект термопреобразователей сопротивления (2 шт.), КТПТР-01, Госреестр № 46156-10 |
ИИК давления воды |
Датчик давления, Метран-55, Госреестр № 18375-08 |
ИИК давления воды |
Датчик давления, Метран-55, Госреестр № 18375-08 |
Узел учета № 18. Котельная ст. Лихая, № 12. УУ подпитки ТЭ | |
ИИК объемного расхода воды |
Преобразователь расхода электромагнитный, ПРЭМ Ду 65, Госреестр № 17858-1 1 |
ИИК давления воды |
Датчик давления, Метран-55, Госреестр № 18375-08 |
Узел учета № 19. Котельная ст. Лихая, № 12. УУ ГВС с экономайзера | |
ИИК расхода воды |
Преобразователь расхода электромагнитный, ПРЭМ, ДуЮО, Госреестр № 17858-11 |
ИИК расхода воды |
Преобразователь расхода электромагнитный, ПРЭМ, ДуЮО, Госреестр № 17858-11 |
ИИК температуры воды (подающий и обратный трубопровод) |
Комплект термопреобразователей сопротивления (2 шт.), КТПТР-01, Госреестр № 46156-10 |
ИИК давления воды |
Датчик давления, Метран-55, Госреестр № 18375-08 |
Продолжение таблицы П. 1
1 |
2 |
ИИК ТЭ пара (узлы учета №21, 22), ИИК массового расхода (массы) пара (узлы учета №21, 22) |
Теплосчетчик, ЛОГИКА 6961 (общий на узлы учета № 20 - 22), Госреестр № 54511-13, в том числе: |
Тепловычислитель, СПТ961 (общий на узлы учета № 20 - 22), Госреестр № 35477-12 | |
ИИК температуры воды |
Термопреобразователь сопротивления, ТПТ-1-3, Госреестр № 46155-10 |
ИИК температуры наружного воздуха |
Термопреобразователь сопротивления, ТПТ-1-3, Госреестр № 46155-10 |
Узел учета № 20. Котельная ст. Горячий Ключ. УУ подаваемого и рециркуляционного мазута | |
ИИК массового расхода мазута |
Счетчик-расходомер массовый, ЭЛМЕТРО-Фломак, Ду32, Госреестр № 47266-11 |
ИИК массового расхода мазута |
Счетчик-расходомер массовый, ЭЛМЕТРО-Фломак, Ду32, Госреестр № 47266-11 |
ИИК давления мазута |
Датчик давления, Метран-55, Госреестр № 18375-08 |
ИИК давления мазута |
Датчик давления, Метран-55, Госреестр № 18375-08 |
Узел учета №21. Котельная ст. Горячий Ключ. УУ пара с котла № 1 | |
ИИК расхода пара |
Преобразователь расхода вихревой, ЭМИС-ВИХРЬ 200 (ЭВ-200), Ду65, Госреестр № 42775-09 |
ИИК температуры пара |
Термопреобразователь сопротивления, ТПТ-1-3, Госреестр № 46155-10 |
ИИК давления пара |
Датчик давления, Метран-55, Госреестр № 18375-08 |
Узел учета № 22. Котельная ст. Горячий Ключ. УУ пара с котла № 1 | |
ИИК расхода пара |
Преобразователь расхода вихревой, ЭМИС-ВИХРЬ 200 (ЭВ-200), Ду65, Госреестр № 42775-09 |
ИИК температуры пара |
Термопреобразователь сопротивления, ТПТ-1-3, Госреестр № 46155-10 |
ИИК давления пара |
Датчик давления, Метран-55, Госреестр № 18375-08 |
ИИК ТЭ воды (узлы учета № 23, 24), ИИК массового расхода воды (узлы учета № 23 - 25) |
Теплосчетчик, ЛОГИКА 6961 (общий на узлы учета № 23 - 25), Госреестр № 54511-13, в том числе: |
Тепловычислитель, СПТ961 (общий на узлы учета № 23 - 25), Госреестр № 35477-12 | |
ИИК температуры воды |
Термопреобразователь сопротивления, ТПТ-1-3, Госреестр № 46155-10 |
Узел учета № 23. Котельная ст. Горячий Ключ. У У ТЭ, общий вывод | |
ИИК расхода воды |
Преобразователь расхода электромагнитный, ПРЭМ, Ду 150, Госреестр № 17858-11 |
ИИК расхода воды |
Преобразователь расхода электромагнитный, ПРЭМ, Ду 150, Госреестр № 17858-11 |
ИИК температуры воды (подающий и обратный трубопровод) |
Комплект термопреобразователей сопротивления (2 шт.), КТПТР-01, Госреестр № 46156-10 |
ИИК давления воды |
Датчик давления, Метран-55, Госреестр № 18375-08 |
ИИК давления воды |
Датчик давления, Метран-55, Госреестр № 18375-08 |
Узел учета № 24. Котельная ст. Горячий Ключ. УУ подпитки ТЭ | |
ИИК объемного расхода воды |
Преобразователь расхода электромагнитный, ПРЭМ, Ду32, Госреестр № 17858-11 |
ИИК давления воды |
Датчик давления, Метран-55, Госреестр № 18375-08 |
ИИК температуры воды |
Термопреобразователь сопротивления, ТПТ-1-3, Госреестр № 46155-10 |
Узел учета № 25. Котельная ст. Горячий Ключ. УУ ГВС | |
ИИК расхода воды |
Преобразователь расхода электромагнитный, ПРЭМ Ду80, Госреестр № 17858-11 |
ИИК расхода воды |
Преобразователь расхода электромагнитный, ПРЭМ Ду32, Госреестр № 17858-11 |
ИИК температуры воды (подающий и обратный трубопровод) |
Комплект термопреобразователей сопротивления (2 шт.), КТПТР-01, Госреестр № 46156-10 |
ИИК давления воды |
Датчик давления, Метран-55, Госреестр № 18375-08 |
ИИК давления воды |
Датчик давления, Метран-55, Госреестр № 18375-08 |
Окончание таблицы П. I
1 |
2 |
ИИК ТЭ воды (узел учета № 26), ИИК массового расхода воды (узлы учета № 26, 27) |
Теплосчетчик, ЛОГИКА 6961 (общий на узлы учета № 26, 27), Госреестр № 5451 1-13, в том числе: |
Тепловычислитель, СПТ961 (общий на узлы учета № 26, 27), Госреестр № 35477-12 | |
ИИК температуры воды |
Термопреобразователь сопротивления, ТПТ-1-3, Госреестр № 46155-10 |
ИИК температуры наружного воздуха |
Термопреобразователь сопротивления, ТПТ-1-3, Г осреестр № 46155-10 |
Узел учета № 26. Котельная г. Краснодар, Локомотивное депо. УУ ТЭ, общий вывод | |
ИИК объемного расхода воды |
Преобразователь расхода электромагнитный МастерФлоу, Ду200, Госреестр № 31001 -12 |
ИИК объемного расхода воды |
Преобразователь расхода электромагнитный МастерФлоу, Ду200, Госреестр № 31001-12 |
ИИК температуры воды (подающий и обратный трубопровод) |
Комплект термопреобразователей сопротивления (2 шт.), КТПТР-01, Госреестр № 46156-10 |
ИИК давления воды |
Датчик давления, Метран-55, Госреестр № 18375-08 |
ИИК давления воды |
Датчик давления, Метран-55, Госреестр № 18375-08 |
Узел учета № 27. Котельная г. Краснодар, Локомотивное депо. УУ подпитки ТЭ | |
ИИК объемного расхода воды |
Преобразователь расхода электромагнитный, ПРЭМ, Ду80, Госреестр № 17858-1 1 |
ИИК давления воды |
Датчик давления, Метран-55, Госреестр № 18375-08 |
ИИК температуры воды |
Термопреобразователь сопротивления, ТПТ-1-3, Госреестр № 46155-10 |
ИИК ТЭ воды (узел учета № 28), ИИК массового расхода воды (узлы учета № 28, 29) |
Теплосчетчик, ЛОГИКА 6961 (общий на узлы учета № 28, 29), Госреестр № 5451 1-13, в том числе: |
Тепловычислитель, СПТ961 (общий на узлы учета № 28, 29), Госреестр № 35477-12 | |
ИИК температуры воды |
Термопреобразователь сопротивления, ТПТ-1-3, Госреестр № 46155-10 |
Узел учета № 28. Котельная г. Краснодар, Локомотивное депо. УУ ГВС, общий вывод | |
ИИК расхода воды |
Преобразователь расхода электромагнитный, ПРЭМ, ДуЮО, Госреестр № 17858-1 1 |
ИИК расхода воды |
Преобразователь расхода электромагнитный, ПРЭМ, Ду80, Госреестр № 17858-1 1 |
ИИК температуры воды (подающий и обратный трубопровод) |
Комплект термопреобразователей сопротивления (2 шт.), КТПТР-01, Госреестр №46156-10 |
ИИК давления воды |
Датчик давления, Метран-55, Госреестр № 18375-08 |
ИИК давления воды |
Датчик давления, Метран-55, Госреестр № 18375-08 |
Узел учета № 29. Котельная г. Краснодар, Локомотивное депо. УУ подпитки ГВС | |
ИИК объемного расхода воды |
Преобразователь расхода электромагнитный, ПРЭМ, Ду32, Госреестр № 17858-1 1 |
ИИК давления воды |
Датчик давления, Метран-55, Госреестр № 18375-08 |
ИИК температуры воды |
Термопреобразователь сопротивления, ТПТ-1-3, Госреестр № 46155-10 |
Примечания:
|
Таблица П.2 - Метрологические характеристики измерительно-информационных каналов по подсистемам АСКУ ТЭР
Подсистема АСКУ ТЭР |
№ узла учета |
Название измерительно-информационных каналов (ПИК) |
Диапазон измерений ИИК |
Пределы допускаемого значения погрешности ИИК |
1 |
2 |
3 |
4 |
5 |
ТЭ иГВС(1) |
1,4, 17,26 |
ИИК тепловой энергии воды:
|
от 0,75 до 15,0 Гкал/ч |
5 ±5% |
5 ±4% | ||||
ИИК массового расхода воды |
от 30 до 600 т/ч |
8 ± 1,2% | ||
ИИК объемного расхода воды |
от 30 до 600 м3/ч |
5 ± 1,1 % | ||
23 |
ИИК тепловой энергии воды:
|
от 0,5 до 5,0 Гкал/ч |
5 ±5% | |
8 ±4% | ||||
ИИК массового расхода воды |
от 20 до 200 т/ч |
8 ± 1,2% | ||
ИИК объемного расхода воды |
от 20 до 200 м3/ч |
8 ± 1,1 % | ||
19 |
ИИК тепловой энергии воды:
|
от 0,42 до 4,2 Гкал/ч |
8 ± 14 % | |
8 ± 6,5 % | ||||
ИИК массового расхода воды |
от 28 до 280 т/ч |
8 ± 1,2% | ||
ИИК объемного расхода воды |
от 28 до 280 м3/ч |
8 ± 1,1 % | ||
ИИК давления воды |
от 0,4 до 0,6 МПа |
У ± 1,0% | ||
28 |
ИИК тепловой энергии воды:
|
от 0,42 до 4,2 Гкал/ч |
8 ± 13 % | |
8 ± 6,2 % | ||||
ИИК массового расхода воды |
от 28 до 280 т/ч |
8 ± 1,2% | ||
от 18 до 180 т/ч | ||||
ИИК объемного расхода воды |
от 28 до 280 м3/ч |
8 ± 1,1 % | ||
от 18 до 180 м3/ч | ||||
ИИК давления воды |
от 0,2 до 0,7 МПа |
7 ± 1,0% |
Продолжение таблицы П.2
1 |
2 |
3 |
4 |
5 |
ТЭиГВС(1) |
25 |
ИИК тепловой энергии воды: при разности температур подающего и циркуляционного трубопровода от плюс 10 до плюс 20 °C - при разности температур подающего и циркуляционного трубопровода свыше плюс 20 до плюс 30 °C |
от 0,27 до 2,7 Гкал/ч |
5 ±11% |
5 ± 5,7 % | ||||
ИИК массового расхода воды |
от 18 до 180 т/ч |
8 ± 1,2% | ||
от 3,0 до 30,0 т/ч | ||||
ИИК объемного расхода воды |
от 18 до 180 м3/ч |
8 ± 1,1 % | ||
от 3,0 до ЗО,Ом3/ч | ||||
ИИК давления воды |
от 0,1 до 0,3 МПа |
У ± 1,0% | ||
19, 25,28 |
ИИК температуры воды |
от плюс 40 до плюс 70 °C |
А ± 0,5 °C | |
1,4, 17, 23,26 |
ИИК давления воды |
от 0,16 до 1,6 МПа |
У ± 1,0% | |
ИИК температуры воды |
от плюс 40 до плюс 100 °C |
А ± 0,5 °C | ||
подпитки ТЭ и подпитки ГВС (2) |
27 |
ИИК массового расхода воды |
от 2,0 до 25 т/ч |
8 ± 1,2% |
ИИК объемного расхода воды |
от 2,0 до 25 м3/ч |
8 ± 1,1 % | ||
18 |
ИИК массового расхода воды |
от 7,0 до 70 т/ч |
8 ± 1,2% | |
ИИК объемного расхода воды |
от 7,0 до 70 м3/ч |
8 ± 1,1 % | ||
ИИК давления воды |
от 0,5 до 0,7 МПа |
У ± 1,0% | ||
2 |
ИИК массового расхода воды |
от 3,0 до 30 т/ч |
8 ± 1,2% | |
ИИК объемного расхода воды |
от 3,0 до 30 м3/ч |
8 ± 1,1 % | ||
5, 24, 29 |
ИИК массового расхода воды |
от 2,5 до 25 т/ч |
8 ± 1,2% | |
ИИК объемного расхода воды |
от 2,5 до 25 м3/ч |
8 ± 1,1 % | ||
2, 5, 24, 27,29 |
ИИК температуры воды |
от плюс 2 до плюс 20 °C |
А ± 0,5 °C | |
ИИК давления воды |
от 0,18 до 0,4 МПа |
У ± 1,0% | ||
пара (3) |
8 |
ИИК тепловой энергии пара |
от 0,79 до 3, 65 Гкал/ч |
н-о4 |
ИИК массового расхода пара |
от 1,5 до 6,5 т/ч |
8 ±3 % | ||
ИИК давления пара |
от 0,3 до 1,3 МПа |
У ± 0,6 % |
Продолжение таблицы П,2
1 |
2 |
3 |
4 |
5 |
пара (3) |
14, 15 |
ИИК тепловой энергии пара |
от 1,3 до 6,5 Гкал/ч |
5 ±4% |
ИИК массового расхода пара |
от 1,2 до 4,4 т/ч |
5 ±3 % | ||
ИИК давления пара |
от 0,4 до 0,5 МПа |
У ± 0,6 % | ||
10 |
ИИК тепловой энергии пара |
от 0,3 до 3,9 Гкал/ч |
8 ±4% | |
ИИК массового расхода пара |
от 1,6 до 8,0 т/ч |
8 ±3 % | ||
ИИК давления пара |
от 0,2 до 1,3 МПа |
У ± 0,6 % | ||
11 |
ИИК тепловой энергии пара |
от 0,65 до 3,17 Гкал/ч |
8 ±4% | |
ИИК массового расхода пара |
от 1,3 до 6,5 т/ч |
8 ±3 % | ||
ИИК давления пара |
от 0,2 до 1,3 МПа |
У ± 0,6 % | ||
16 |
ИИК тепловой энергии пара |
от 1,27 до 2,68 Гкал/ч |
8 ±4% | |
ИИК массового расхода пара |
от 1,9 до 4,0 т/ч |
8 ±3 % | ||
ИИК давления пара |
от 0,4 до 1,4 МПа |
У ± 0,6 % | ||
3 |
ИИК тепловой энергии пара |
от 0,19 до 1,05 Гкал/ч |
н- Оо Ф4 | |
ИИК массового расхода пара |
от 0,3 до 1,62 т/ч |
8 ±3 % | ||
ИИК давления пара |
от 0,2 до 0,3 МПа |
У ± 0,6 % | ||
21,22 |
ИИК тепловой энергии пара |
от 0,17 до 0,62 Гкал/ч |
8 ±4% | |
ИИК массового расхода пара |
от 0,25 до 0,92 т/ч |
8 ±3 % | ||
ИИК давления пара |
от 0,25 до 0,9 МПа |
У ± 0,6 % | ||
3,8, 10, И, 14, 15, 16,21,22 |
ИИК температуры пара |
от плюс 130 до плюс 210 °C |
А ± 0,7 °C | |
ИИК температуры воды |
от плюс 2 до плюс 20 °C |
А ± 0,5 °C | ||
мазута (4) |
6, 7, 12, 13 |
ИИК массового расхода мазута |
от 0,12 до 0,5 т/ч |
8 ±2% |
ИИК температуры мазута |
от плюс 50 до плюс 90 °C |
А ± 1,8°С | ||
ИИК давления мазута |
от 0,1 до 1,0 МПа |
У ± 1 % | ||
9 |
ИИК массового расхода мазута |
от 20 до 37,5 т/ч |
8 ± 0,3 % | |
ИИК температуры мазута |
от плюс 50 до плюс 70 °C |
А ± 1,8°С | ||
ИИК давления мазута |
от 0,1 до 1,0 МПа |
У ± 1 % |
Окончание таблицы П.2
1 |
2 |
3 |
4 |
5 |
мазута (4) |
20 |
ИИК массового расхода мазута |
от 1,0 до 4,3 т/ч |
8 ± 0,6 % |
ИИК температуры мазута |
от плюс 60 до плюс 100 °C |
А ± 1,8°С | ||
ИИК давления мазута |
от 0,1 до 1,0 МПа |
Y ± 1 % | ||
Примечания:
|
Ход часов компонентов АСКУ ТЭР не более ±5 с/сут.
Условия эксплуатации АСКУ ТЭР:
|
от плюс 15 до плюс 25 от плюс 5 до плюс 50 95 от 84 до 106,7 |
■ частота (переменный ток), Гц |
(12 ± 1); (24 ± 1) от 187 до 242 50 ± 1 |
-
1 Система автоматизированная комплексного учета топливно-энергетических ресурсов Северо-Кавказской дирекции по тепловодоснабжению - структурного подразделения Центральной дирекции по тепловодоснабжению - филиала ОАО «РЖД»
-
3 Средства поверки:___________________________________________________________
-
6 Результаты опробывания (функционирование и управление АСКУ ТЭР): соответствует (не соответствует) требованиям п. 7.2 РТ-МП-2625-500-
-
7 Результаты проверки регистрации и индикации неисправности линий связи измери
тельных каналов АСКУ ТЭР: соответствует (не соответствует) требованиям п. 7.2.2 РТ-МП-2625-500-2015
-
8 Результаты проверки автоматического считывания информации из энергонезависи
мой памяти измерительного компонента за период разрыва линии связи: соответствует (не соответствует) требованиям п. 7.2.2 РТ-МП-2625-500-
-
9 Результаты проверки измерительных компонентов (типов и заводских номеров при
боров) на соответствие перечню, приведенному в паспорте-формуляре, наличия действующих свидетельств о поверке и соответствующих записей в паспорте-формуляре на все измерительные компоненты, входящие в состав системы: соответствует (не соответствует) требованиям п. 7.4.1 РТ-МП-2625-500-2015______________________________________________,
-
10 Результаты проверки погрешности измеренных значений ИИК: проведено в соот-
ветствии
2015
п.
7.4.2
РТ-МП-2625-500-
11 Результаты проверки суточного хода
часов компонентов
АСКУ ТЭР: проведено в
соответствии
п.
7.4.3
РТ-МП-2625-500-
2015_______________________________________________________________,
12 Результаты проверки (идентификации) программного обеспечения: соответствует (не соответствует) требованиям п. 7.4.4 РТ-МП-2625-500-
2015__________________________________,
РЕЗУЛЬТАТЫ ПОВЕРКИ
Результаты проверки погрешности передачи измеренных значений ИИК в соответствии п. 7.4.2 РТ-МП-2625-500-2015 приведены в таблице П.З.
Таблица П.З
Узел учета |
ИИК |
Показания с базы данных электронного блока измерительного компонента |
Показания с монитора компьютера АРМ |
Погрешность передачи измеренных значений |
Заключение |
Результаты проверки хода часов компонентов АСКУ ТЭР в соответствии п. 7.4.3 РТ-
МП-2625-500-2015 приведены в таблице П.4.
Таблица П.4
Тип компонента Системы |
Показание часов компонента Системы |
Показание радиочасов «МИР РЧ-01», с |
Поправка 1 |
Поправка 2 |
ход часов компонента Системы |
допускаемый ход часов |
Заключение | ||
Настоя щее, tlCMi, с |
Через 24 часа, t2CHi , с |
Настоящее, tlP4i i С |
Через 24 часа, t2P4i / С |
Atn = tlCMi~ tlP4i, с |
At2i « t2CHi" t2P4i, c |
= At2 -At1( с/сут |
не пре-пре-выша-ет ±5 с/сут | ||
-
6 ЗАКЛЮЧЕНИЕ ПО РЕЗУЛЬТАТАМ ПОВЕРКИ
-
7
По результатам поверки АСКУ ТЭР признан пригодным к выполнению измерений. Выдано свидетельство о поверке №____от «__»_______20_ г.
Поверку проводил _________________ ___________________
подпись инициалы, фамилия
34