Методика поверки «Система автоматизированная информационно-измерительная коммерческого учета электроэнергии (АИИС КУЭ) Государственной компании «Автодор» а/д М-З Брянская область» (Код не указан!)
ВСЕРОССИЙСКИЙ НАУЧНО-ИССЛЕДОВАТЕЛЬСКИЙ ИНСТИТУТ МЕТРОЛОГИЧЕСКОЙ СЛУЖБЫ
ВНИИМС
УТВЕРЖДАЮ:
Н.В. Иванникова
2015 г.
директора по качеству
Система автоматизированная информационно-измерительная коммерческого учета электроэнергии (АИИС КУЭ) Государственной компании «Автодор» а/д М-3 Брянская область
Измерительные каналы
Методика поверки
4
Москва
2015
СодержаниеСтр.
Настоящая методика распространяется на измерительные каналы (далее -ИК) системы автоматизированной информационно-измерительной коммерческого учета электроэнергии (АИИС КУЭ) Государственной компании «Автодор» а/д М-3 Брянская область, (далее - АИИС КУЭ), заводской номер № 003, предназначенной для измерения активной и реактивной электроэнергии, потребленной за установленные интервалы времени отдельными технологическими объектами а/д М-3 Брянская область, сбора, хранения, обработки и передачи полученной информации. Выходные данные системы могут использоваться для коммерческих расчетов.
Перечень ИК и их метрологические характеристики приведены в Приложении А.
1 ОБЩИЕ ПОЛОЖЕНИЯПоверке подлежит каждый ИК АИИС КУЭ, реализующий косвенный метод измерений электрической энергии. ИК подвергают поверке покомпонентным (поэлементным) способом с учетом положений раздела 8 ГОСТ Р 8.596-2002.
Первичную поверку системы выполняют после проведения испытаний АИИС КУЭ с целью утверждения типа. Допускается совмещение операций первичной поверки и операций, выполняемых при испытаниях типа. Периодическую поверку системы выполняют в процессе эксплуатации АИИС КУЭ. Интервал между поверками АИИС КУЭ - раз в 4 года.
Измерительные компоненты АИИС КУЭ поверяют с интервалами между поверками, установленными при утверждении их типа. Если очередной срок поверки измерительного компонента наступает до очередного срока поверки АИИС КУЭ, поверяется только этот компонент и поверка АИИС КУЭ не проводится. После поверки измерительного компонента и восстановления ИК выполняется проверка ИК в той его части и в том объеме, который необходим для того, чтобы убедиться, что действия, связанные с поверкой измерительного компонента, не нарушили метрологических свойств ИК (схема соединения, коррекция времени и т.п.).
Внеочередную поверку АИИС КУЭ проводят после ремонта системы, замены её измерительных компонентов, аварий в энергосистеме, если эти события могли повлиять на метрологические характеристики ИК. Допускается подвергать поверке только те ИК, которые подверглись указанным выше воздействиям, при условии, что собственник АИИС КУЭ подтвердит официальным заключением, что остальные ИК этим воздействиям не подвергались. В этом случае оформляется свидетельство о поверке системы с перечнем поверенных ИК.
2 НОРМАТИВНЫЕ ССЫЛКИВ настоящей методике использовались ссылки на следующие нормативные документы:
РМГ 51-2002 «ГСИ. Документы на методики поверки средств измерений. Основные положения».
ПР 50.2.012-94 «ГСИ. Порядок аттестации поверителей средств измерений».
ГОСТ Р 8.596-2002 «ГСИ. Метрологическое обеспечение измерительных систем. Общие положения».
ГОСТ Р 4.199-85 «СПКП. Системы информационные электроизмерительные. Комплексы измерительно-вычислительные. Номенклатура показателей».
ГОСТ Р 52323-2005 (МЭК 62053-22:2003). Аппаратура для измерения электрической энергии переменного тока. Частные требования. Часть 22. Статические счетчики активной энергии классов точности 0,2S и 0,5S.
ГОСТ Р 52425-2005 (МЭК 62053-23:2003). Аппаратура для измерения электрической энергии переменного тока. Частные требования. Часть 23. Статические счетчики реактивной энергии.
ГОСТ 13109-97 «Электрическая энергия. Совместимость технических средств электромагнитная. Нормы качества электрической энергии в системах электроснабжения общего назначения».
ГОСТ Р 54149-2010 Электрическая энергия. Совместимость технических средств электромагнитная. Нормы качества электрической энергии в системах электроснабжения общего назначения.
ГОСТ 12.2.003-91 «Система стандартов безопасности труда. Оборудование производственное. Общие требования безопасности».
ГОСТ 12.2.007.0-75 «Система стандартов безопасности труда. Изделия электротехнические. Общие требования безопасности».
ГОСТ 12.2.007.3-75 «Система стандартов безопасности труда. Электротехнические устройства на напряжение свыше 1000 В. Требования безопасности».
ГОСТ 12.2.007.7-83 «Система стандартов безопасности труда. Устройства комплектные низковольтные. Требования безопасности».
ПОТ Р М-016-2001 (РД 153-34.0-03.150-00) «Межотраслевые правила по охране труда (Правила безопасности) при эксплуатации электроустановок».
Приказ Минпромторга России от 02.07.2015 № 1815 «Об утверждении Порядка проведения поверки средств измерений, требования к знаку поверки и содержанию свидетельства о поверке».
3 ОПЕРАЦИИ ПОВЕРКИПри проведении поверки выполняют операции, указанные в таблице 1.
Таблица 1 - Операции поверки
|
Наименование операции |
Номер пункта НД по поверке |
Обязательность проведения операции при | |
|
первичной поверке |
периодической поверке | ||
|
1 |
2 |
3 |
4 |
|
1. Подготовка к проведению поверки |
8 |
Да |
Да |
|
2. Внешний осмотр |
9.1 |
Да |
Да |
|
3. Поверка измерительных компонентов АПИС КУЭ |
9.2 |
Да |
Да |
|
4. Проверка счетчиков электрической энергии |
9.3 |
Да |
Да |
|
5. Проверка функционирования центральных компьютеров (серверов) АПИС КУЭ и УСПД |
9.4 |
Да |
Да |
|
6. Проверка функционирования вспомогательных устройств |
9.5 |
Да |
Да |
Продолжение таблицы 1
|
1 |
2 |
3 |
4 |
|
8. Проверка погрешности часов компонентов системы |
9.6 |
Да |
Да |
|
9. Проверка отсутствия ошибок информационного обмена |
9.7 |
Да |
Да |
|
10. Проверка метрологических характеристик АИИС КУЭ |
9.8 |
Да |
Да |
|
11. Идентификация программного обеспечения |
10 |
Да |
Да |
|
12. Оформление результатов поверки |
И |
Да |
Да |
4 СРЕДСТВА ПОВЕРКИ
При проведении поверки применяют основные средства измерений и вспомогательные устройства, в соответствии с методиками поверки, указанными в описаниях типа на измерительные компоненты АИИС КУЭ, а так же следующие средства поверки:
-
- Средства поверки счетчиков:
- Al 140-05-RAL-SW-4n - по документу «ГСП. Счетчики электрической энергии трехфазные электронные Альфа А1140. Методика поверки. МП №476/447-2011»;
-
- Термогигрометр «CENTER» (мод.314): диапазон измерений температуры от минус 20...+ 60 °C; диапазон измерений относительной влажности от 10... 100 %;
-
- Радиочасы «МИР РЧ-01», принимающие сигналы спутниковой навигационной системы Global Positioning System (GPS);
-
- Переносной компьютер с ПО и оптический преобразователь для работы со счетчиками Al 140-05-RAL-SW-4n и с ПО для работы с радиочасами «МИР РЧ-01».
Примечания:
-
1. Допускается применение других основных и вспомогательных средств поверки с метрологическими характеристиками, обеспечивающими требуемые точности измерений.
-
2. Все средства измерений, применяемые при поверке, должны быть внесены в Госреестр СИ и иметь действующие свидетельства о поверке.
-
5.1 К проведению поверки АИИС КУЭ допускают поверителей, аттестованных в соответствии с ПР 50.2.012, изучивших настоящую методику поверки и руководство пользователя на АИИС КУЭ, имеющих стаж работы по данному виду измерений не менее 1 года.
-
5.2 Определение погрешности системного времени и отсутствия ошибок информационного обмена осуществляется персоналом, имеющим стаж работы по данному виду измерений не менее 1 года, изучивших вышеуказанные документы и прошедшим обучение работы с радиочасами «МИР РЧ-01», принимающих сигналы спутниковой навигационной системы Global Positioning System (GPS).
-
5.3 Поверка счетчиков Al 140-05-RAL-SW-4n, входящих в состав АИИС КУЭ, осуществляется персоналом, имеющим стаж работы по данному виду измерений не менее 1 года, изучившим документы по поверке счетчиков и прошедшим обучение по проведению поверки в соответствии с указанными документами. Поверку проводят не менее двух специалистов, один из которых должен иметь удостоверение, подтверждающее право работы на установках до и свыше 1 000 В с группой по электробезопасности не ниже III.
-
5.4 Поверка УСПД RTU-327L, входящих в состав АИИС КУЭ, осуществляется персоналом, имеющим стаж работы по данному виду измерений не менее 1 года, изучившим методику поверки на УСПД и прошедшим обучение по проведению поверки в соответствии с указанными документами. Поверку проводят не менее двух специалистов, один из которых должен иметь удостоверение, подтверждающее право работы на установках до и свыше 1 000 В с группой по электробезопасности не ниже III.
При проведении поверочных и измерительных работ должны присутствовать работники объекта, на котором размещены компоненты АИИС КУЭ, имеющие опыт работы и право на подключение и отключение эталонных и поверяемых средств измерений в соответствии со схемой поверки или с методикой выполнения измерений.
6 ТРЕБОВАНИЯ БЕЗОПАСНОСТИ-
6.1 При проведении поверки должны быть соблюдены требования безопасности, установленные ГОСТ 12.2.007.0-75, ГОСТ 12.2.007.3-75, «Правилами техники безопасности при эксплуатации электроустановок потребителей», «Правилами технической эксплуатации электроустановок потребителей», «Межотраслевых правил по охране труда (правил безопасности) при эксплуатации электроустановок», «Правила по охране труда при эксплуатации электроустановок», утверждённые приказом Министерства труда и социальной защиты Российской Федерации от 24.07.2013 г. № 328н, а также требования безопасности на средства поверки, поверяемые счетчики, изложенные в их руководствах по эксплуатации.
-
6.2 Эталонные средства измерений, вспомогательные средства поверки и оборудование должны соответствовать требованиям ГОСТ 12.2.003-91, ГОСТ 12.2.007.3-75, ГОСТ 12.2.007.7-75.
-
6.3 Все оперативные отключения и включения должны проводиться руководителем работ в соответствии с программой проведения работ, утвержденной в установленном порядке.
Условия поверки АИИС КУЭ должны соответствовать условиям ее эксплуатации, нормированным в технической документации, но не выходить за нормированные условия применения средств поверки.
8 ПОДГОТОВКА К ПОВЕРКЕ-
8.1 Для проведения поверки представляют следующие копии документов:
-
- руководство пользователя АИИС КУЭ;
-
- описание типа АИИС КУЭ;
-
- свидетельств о поверке измерительных компонентов, входящих в ИК, и свидетельство о предыдущей поверке системы (при периодической и внеочередной поверке);
-
- рабочие журналы АИИС КУЭ с данными по климатическим и иным условиям эксплуатации за интервал между поверками (только при периодической поверке);
-
- акты, подтверждающих правильность подключения счетчиков к цепям тока и напряжения.
-
8.2 Перед проведением поверки на месте эксплуатации АИИС КУЭ выполняют следующие подготовительные работы:
-
- проводят организационно-технические мероприятия по обеспечению безопасности поверочных работ в соответствии с действующими правилами и ПУЭ;
-
- проводят организационно-технические мероприятия по доступу поверителей и персонала энергообъектов к местам установки счетчиков электроэнергии, серверу АИИС КУЭ для проведения работ по п.п. 9.1, 9.3, 9.4, 9.5;
-
- организуют рабочее место для поверителя, для проведения работ по п.п. 9.2, 9.6.
-
9 ПРОВЕДЕНИЕ ПОВЕРКИ
-
9.1.1 Проверяют целостность корпусов и отсутствие видимых повреждений компонентов АИИС КУЭ, наличие поверительных пломб и клейм на измерительных компонентах.
-
9.1.2 Проверяют размещение измерительных компонентов, наличие шильдиков и маркировку компонентов, правильность схем подключения счетчиков электрической энергии; правильность прокладки проводных линий по проектной документации на АИИС КУЭ.
-
9.1.3 Проверяют соответствие типов и заводских номеров фактически использованных измерительных компонентов типам и заводским номерам, указанным в формуляре АИИС КУЭ.
-
9.1.4 Проверяют отсутствие следов коррозии и нагрева в местах подключения проводных линий.
При обнаружении несоответствий по п. 9.1 дальнейшие операции по поверке ИК прекращаются, АИИС КУЭ бракуется и выписывается извещение о непригодности.
9.2 Поверка измерительных компонентов АИИС КУЭ-
9.2.1 Проверяют наличие свидетельств о поверке и срок их действия для всех измерительных компонентов:
- счетчиков электрической энергии:
- Al 140-05-RAL-SW-4n - по документу «ГСИ. Счетчики электрической энергии трехфазные электронные Альфа А1140. Методика поверки. МП №476/447-2011»;
При обнаружении несоответствий по п. 9.2 дальнейшие операции по поверке ИК прекращаются, АИИС КУЭ бракуется и выписывается извещение о непригодности.
9.3 Проверка счетчиков электрической энергии-
9.3.1 Проверяют наличие и сохранность пломб поверительных и энергосбытовых организаций на счетчике и испытательной коробке. Проверяют наличие оригиналов актов, подтверждающих правильность подключения счетчиков к цепям тока и напряжения, в частности, правильность чередования фаз.
-
9.3.2 Проверяют работу всех сегментов индикаторов, отсутствие кодов ошибок или предупреждений, прокрутку параметров в заданной последовательности.
-
9.3.3 Проверяют работоспособность оптического порта счетчика с помощью переносного компьютера. Преобразователь подключают к любому последовательному порту переносного компьютера. Опрашивают счетчик по установленному соединению. Опрос счетчика считается успешным, если получен отчет, содержащий данные, зарегистрированные счетчиком.
-
9.3.4 Проверяют соответствие индикации даты в счетчике календарной дате (число, месяц, год). Проверку осуществляют визуально или с помощью переносного компьютера через оптопорт.
При обнаружении несоответствий по п. 9.3 дальнейшие операции по поверке ПК прекращаются, АПИС КУЭ бракуется и выписывается извещение о непригодности.
9.4 Проверка функционирования центральных компьютеров (серверов) АНИС КУЭ и УСПД-
9.4.1 Проверяют защиту программного обеспечения на центральных компьютерах (серверах) АПИС КУЭ от несанкционированного доступа. Для этого запускают на выполнение программу сбора данных и в поле “пароль” вводят неправильный код. Проверку считают успешной, если при вводе неправильного пароля программа не разрешает продолжать работу.
-
9.4.2 Проверяют работу аппаратных ключей. Выключают компьютер и снимают аппаратную защиту (отсоединяют ключ от порта компьютера). Включают компьютер, загружают операционную систему и запускают программу. Проверку считают успешной, если получено сообщение об отсутствии «ключа защиты».
-
9.4.3 Проводят опрос текущих показаний всех счетчиков электроэнергии.
-
9.4.4 Проверяют глубину хранения измерительной информации в центральных компьютерах (серверах) АИИС КУЭ.
-
9.4.5 Проверяют наличие и сохранность пломб поверительных и энергосбытовых организаций на УСПД. При отсутствии или нарушении пломб проверяют правильность подсоединения УСПД.
-
9.4.6 Проверяют правильность функционирования УСПД в соответствии с его эксплуатационной документацией с помощью тестового программного обеспечения. Проверка считается успешной, если все подсоединенные к УСПД счетчики опрошены и нет сообщений об ошибках.
-
9.4.7 Проверяют программную защиту УСПД от несанкционированного доступа.
-
9.4.8 Проверяют правильность значений коэффициентов формации измерительных форматоров, хранящихся в памяти процессора УСПД.
При обнаружении несоответствий по п. 9.4 дальнейшие операции по поверке ИК прекращаются, АИИС КУЭ бракуется и выписывается извещение о непригодности.
9.5 Проверка функционирования вспомогательных устройств-
9.5.1 Проверка функционирования модемов
Проверяют функционирование модемов, используя коммуникационные возможности специальных программ. Модемы считаются исправными в составе комплекса, если были установлены коммутируемые соединения и по установленным соединениям успешно прошел опрос счетчиков или УСПД.
Допускается автономная проверка модемов с использованием тестового программного обеспечения.
-
9.5.2 Проверка функционирования адаптеров интерфейса
Используя кабель RS232 подключают к адаптерам переносной компьютер с ПО.
При обнаружении несоответствий по п. 9.5 дальнейшие операции по поверке ИК прекращаются, АИИС КУЭ бракуется и выписывается извещение о непригодности.
9.6 Проверка погрешности часов компонентов системы-
9.6.1 Проверка СОЕВ
Включают радиочасы «МИР РЧ-01», принимающие сигналы спутниковой навигационной системы Global Positioning System (GPS), и сверяют показания радиочасов с показаниями часов УСПД/сервера, получающего сигналы точного времени от устройства синхронизации системного времени GPS-приемника. Расхождение показаний радиочасов с УСПД/сервером не должно превышать ± 1 с. Для снятия синхронизированных измерений рекомендуется использовать одновременное фотографирование экранов поверяемого и поверительного оборудования.
-
9.6.2 Распечатывают журнал событий счетчика, выделив события, соответствующие сличению часов счетчика, УСПД и сервера. Расхождение времени часов: счетчик - УСПД в момент, предшествующий коррекции, не должно превышать предела допускаемого расхождения ± 2 с.
При обнаружении несоответствий по п. 9.6 дальнейшие операции по поверке ИК прекращаются, АИИС КУЭ бракуется и выписывается извещение о непригодности.
9.7 Проверка отсутствия ошибок информационного обменаОперация проверки отсутствия ошибок информационного обмена предусматривает экспериментальное подтверждение идентичности числовой измерительной информации в счетчиках электрической энергии (исходная информация), и памяти центрального компьютера (сервера БД).
В момент проверки все технические средства, входящие в проверяемый ИК, должны быть включены.
-
9.7.1 На центральном компьютере (сервере БД) системы распечатывают значения активной и реактивной электрической энергии, зарегистрированные с 30-ти минутным интервалом и профиль нагрузки за полные предшествующие дню проверки сутки по всем ИК. Проверяют наличие данных, соответствующих каждому 30-ти минутному интервалу времени. Пропуск данных не допускается за исключением случаев, когда этот пропуск был обусловлен отключением ИК или устраненным отказом какого-либо компонента системы.
-
9.7.2 Распечатывают журнал событий счетчика и сервера и отмечают моменты нарушения связи между измерительными компонентами системы. Проверяют сохранность измерительной информации в памяти центральных компьютерах (серверах) системы на тех интервалах времени, в течение которого была нарушена связь.
-
9.7.3 Используя переносной компьютер, считывают через оптопорт профиль нагрузки за полные предшествующие дню проверки сутки, хранящийся в памяти счетчика. Различие значений активной (реактивной) мощности, хранящейся в памяти счетчика (с учетом коэффициентов формации измерительных форматоров) и базе данных центрального компьютера (сервера БД) полученные по п. 9.7.2 не должно превышать двух единиц младшего разряда учтенного значения.
-
9.7.4 Рекомендуется вместе с проверкой по п. 9.7.3 в реальном режиме времени сличить показания счетчика по активной и реактивной электрической энергии строго в конце получаса (часа) с данными, зарегистрированными в центральном компьютере (сервере БД) системы для того же момента времени. Для этого визуально или с помощью переносного компьютера через оптопорт считывают показания счетчика по активной и реактивной электрической энергии и сравнивают эти данные (с учетом коэффициентов формации измерительных форматоров), с показаниями зарегистрированными в центральном компьютере (сервере БД) системы. Расхождение не должно превышать две единицы младшего разряда.
При обнаружении несоответствий по п. 9.7 дальнейшие операции по поверке ИК прекращаются, АИИС КУЭ бракуется и выписывается извещение о непригодности.
9.9 Проверка метрологических характеристик АИИС КУЭ-
9.8.1 Границы интервала основной погрешности ИК электроэнергии рассчитывают для вероятности Р=0,95 для нормальных условий.
В качестве нормальных условий используют данные, предусмотренные технической документацией на АИИС КУЭ.
-
9.8.2 Границы интервала основной относительной погрешности ИК активной электроэнергии вычисляют по формуле (1):
^ИКОА=~^ос (1)
где
3ИКОА ’ границы интервала основной относительной погрешности ИК активной электроэнергии в % для вероятности 0,95;
50С - предел допускаемой основной относительной погрешности счетчика электроэнергии в %.
-
9.8.3 Границы интервала погрешности ИК в рабочих условиях эксплуатации рассчитывают для вероятности 0,95. В качестве рабочих условий используют данные, предусмотренные технической документацией на АИИС КУЭ.
-
9.8.4 Границы интервала относительной погрешности ИК активной электроэнергии в рабочих условиях вычисляют по формуле (2):
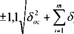
<5жи=+1,1^. + 2^, (2)
где
ёик ’ границы интервала относительной погрешности ИК активной электроэнергии в % для вероятности 0,95;
Зос - те же величины, что и в формуле (1);
Здоп - предел относительной допускаемой дополнительной погрешности счетчика электроэнергии в рабочих условиях от i - ой влияющей величины;
т - общее число влияющих величин.
-
9.8.5 Границы интервала основной относительной погрешности ИК реактивной электроэнергии вычисляют по формуле (3):
SHKW = ±5<
(3)
где
8ИКОР _ границы интервала основной относительной погрешности ИК реактивной электроэнергии в % для вероятности 0,95;
-
9.8.6 Границы интервала относительной погрешности ИК реактивной электроэнергии в рабочих условиях вычисляют по формуле (4):

(4)
Примечание - Формулы (2), (4) даны для случая, когда отклонение внешних влияющих величин от нормальных значений вызывает дополнительные погрешности только у счетчика электроэнергии, а составляющими погрешности измерения электроэнергии обусловленными погрешностью задания интервала времени интегрирования электрической мощности, погрешностью передачи информации по ГОСТ 4.199-85, погрешностью обработки данных можно пренебречь.
При обнаружении не соответствий по п. 9.8 АИИС КУЭ бракуется и выписывается извещение о непригодности.
10 ИДЕНТИФИКАЦИЯ ПРОГРАММНОГО ОБЕСПЕЧЕНИЯ-
10.1 Проводится проверка соответствия заявленных идентификационных данных программного обеспечения указанных в описании типа:
-
- наименование программного обеспечения;
-
- идентификационное наименование программного обеспечения;
-
- номер версии (идентификационный номер) программного обеспечения;
-
- цифровой идентификатор программного обеспечения (контрольная сумма исполняемого кода);
-
- алгоритм вычисления цифрового идентификатора программного обеспечения.
)0.2 Идентификация ПО СИ реализуется следующими методами:
-
- с помощью ПО СИ или аппаратно-программных средств, разработанных организацией - разработчиком СИ (ПО СИ);
-
- с использованием специальных протестированных (аттестованных, сертифицированных) аппаратно-программных средств и/или протестированного (аттестованного, сертифицированного) ПО.
-
11.1 На основании положительных результатов по пунктам раздела 9 выписывают свидетельство о поверке АИИС КУЭ в соответствии с Приказом Минпромторга России от 02.07.2015 № 1815 «Об утверждении Порядка проведения поверки средств измерений, требования к знаку поверки и содержанию свидетельства о поверке». В приложении к свидетельству указывают перечень ПК.
-
11.2 При отрицательных результатах поверки хотя бы по одному из пунктов методики поверки АИИС КУЭ признается негодной к дальнейшей эксплуатации и на нее выдают извещение о непригодности в соответствии с Приказом Минпромторга России от 02.07.2015 № 1815 «Об утверждении Порядка проведения поверки средств измерений, требования к знаку поверки и содержанию свидетельства о поверке» с указанием причин.
Начальник сектора ФГУП «ВНИИМС»

Д.В. Гоголев ГРХ 2015 г.
ПРИЛОЖЕНИЕ А
каналов системы
Таблица А.1 - П
|
Порядковый номер |
Наименование объекта и номер ИК |
Измерительные компоненты |
Вид электроэнергии |
Метрологические характеристики ИК | ||||
|
ТТ |
TH |
Счётчик |
УСПД |
Основная погрешность, % |
Погрешность в рабочих условиях, % | |||
|
1 |
2 |
3 |
4 |
5 |
6 |
7 |
8 |
9 |
|
1 |
М-3 Брянская область 363,27 |
A1140-05-RAL-SW-4n Кл. т. 0,5S/l,0 Зав. № 05066699 |
RTU-327L Зав. № |
активная |
±0,6 |
±1,7 | ||
|
км |
009842 |
реактивная |
±1,3 |
±3,8 | ||||
|
2 |
М-3 Брянская область 405+690 |
A1140-05-RAL-SW-4n Кл. т. 0,5S/l,0 Зав. № 05066683 |
RTU-327L Зав. № |
активная |
±0,6 |
±1,7 | ||
|
км |
009842 |
реактивная |
±1,3 |
±3,8 | ||||
|
3 |
М-3 Брянская область 437+150 |
A1140-05-RAL-SW-4n Кл. т. 0,5S/l,0 Зав. №05066718 |
RTU-327L Зав. № |
активная |
±0,6 |
±1,7 | ||
|
км |
009842 |
реактивная |
±1,3 |
±3,8 | ||||
|
4 |
М-3 Брянская область ТП б/н 448 км (пешеходный переход) |
- |
- |
A1140-05-RAL-SW-4n Кл. т. 0,5S/l,0 Зав. № 05067651 |
RTU-327L Зав. № 009842 |
активная реактивная |
±0,6 ±1,3 |
±1,7 ±3,8 |
|
5 |
М-3 Брянская область 483,3 км |
- |
- |
A1140-05-RAL-SW-4n Кл. т. 0,5S/l,0 Зав. № 05067653 |
RTU-327L Зав. № 009842 |
активная реактивная |
±0,6 ±1,3 |
±1,7 ±3,8 |
Продолжение таблицы А. 1
|
1 |
2 |
3 |
4 |
5 |
6 |
7 |
8 |
9 |
|
6 |
М-3 Брянская область 517,84 км |
- |
- |
Al 140-05-RAL-SW-4II Кл. т. 0,5S/l,0 Зав. № 05067654 |
RTU-327L Зав. № 009842 |
активная реактивная |
±0,6 ±1,3 |
±1,7 ±3,8 |
|
7 |
М-3 Брянская область 364,2 км |
- |
- |
A1140-05-RAL-SW-4II Кл. т. 0,5S/l,0 Зав. № 05067656 |
RTU-327L Зав. № 009842 |
активная реактивная |
±0,6 ±1,3 |
±1,7 ±3,8 |
|
8 |
М-3 Брянская область ТП-б/н 507 км |
- |
- |
A1140-05-RAL-SW-4II Кл. т. 0,5S/l,0 Зав. № 05067652 |
RTU-327L Зав. № 009842 |
активная реактивная |
±0,6 ±1,3 |
±1,7 ±3,8 |
ПРИЛОЖЕНИЕ Б
Таблица Б.1 - Лист регистрации изменений ИК системы
|
Наименование объекта |
Заменяемый компонент |
Заменяющий компонент | ||
|
Тип |
Зав. номер |
Метрологические характеристики | ||
21
