Методика поверки «ГСИ. Установка поверочная комплексная КПУ-600» (МП 0347-1-2015)
УТВЕРЖДАЮ
Руководитель ЦИ СИ -
Первый заместитель директора по научной работе -

ИНСТРУКЦИЯ
Государственная система обеспечения единства измерений
Установка поверочная комплексная КПУ-600
Методика поверки
МП 0347-1-2015
4• Ь .£>25463 -46
г. Казань
2015
Настоящая инструкция распространяется на установку поверочную комплексную КПУ-600 (далее - установка), предназначенную для воспроизведения массового и объемного расходов, массы и объема протекающей жидкости, и устанавливает методику и последовательность её первичной и периодической поверок.
Интервал между поверками - 1 год.
-
1 ОПЕРАЦИИ ПО ПОВЕРКЕ
При проведении поверки выполняют следующие операции:
-
- внешний осмотр (п.6.1);
-
- опробование (п.6.2);
-
- определение метрологических характеристик (п.6.3).
-
2 СРЕДСТВА ПОВЕРКИ
-
2.1 При проведении поверки применяются следующие средства поверки:
-
-
- государственный первичный эталона единиц массового и объемного расходов жидкости ГЭТ 63-2013,
-
- государственный первичный специальный эталон единицы объемного и массового расходов воды ГЭТ 119-2010;
-
- рабочий эталон единицы массы 2 разряда с номинальными значениями от 1 до 20 кг;
-
- компаратор массы на 20 кг, СКО 0,033 г;
-
- балластный груз 10000 кг (гиря 20 кг Ml ГОСТ OIML R 111-1 - 2009 в количестве 500 штук);
- калибратор многофункциональный модели MC5-R диапазоны измерения ±500мВ;
±50В, ±100 мА, 0,0028 Гц - 50кГц ,0-9999999 имп, 0 - 4000 Ом;
-
- частотомер электронно-счетный, диапазон измеряемых частот от 0,001 Гц до 20 КГц, временных интервалов от 1с до 7000с.
-
2.2 Допускается использование других средств поверки с техническими характеристиками не хуже, указанных выше.
-
3 ТРЕБОВАНИЯ БЕЗОПАСНОСТИ
-
3.1 При проведение поверки должны соблюдаться требования:
-
-
- правил эксплуатации электроустановок потребителей;
-
- правил техники безопасности при эксплуатации электроустановок потребителей;
-правил безопасности при эксплуатации средств поверки, приведенных в их эксплуатационной документации.
-
3.2 К проведению поверки допускаются лица, изучившие настоящую инструкцию, руководство по эксплуатации установки и прошедшие инструктаж по технике безопасности.
-
4 УСЛОВИЯ ПОВЕРКИ
При проведении поверки должны быть соблюдены следующие условия:
-
4.1 Окружающая среда с параметрами:
-
- температура окружающей среды, °C (20 ± 5)
-
- относительная влажность окружающей среды, % от 30 до 80
-
- атмосферное давление, кПа от 86 до 107
-
4.2 Измеряемая среда - вода по СанПиН 2.1.4.1074-2001 с параметрами:
-
- температура, °C (20 ± 5)
-
- давление, МПа, не более 0,8
-
- изменение температуры измеряемой среды
в процессе одного измерения, °C, не более ± 0,2
-
- изменение давления измеряемой среды
в процессе поверки, МПа, не более ± 0,05
-
- внешние электрические и магнитные поля (кроме земного), вибрация, влияющие на работу установки - отсутствуют
-
4.3 Попадание воздуха в измерительный участок установок должно быть исключено.
-
4.4 Все средства измерений предназначенные для измерений условий измеряемой и окружающей среды перед началом поверки должны быть иметь действующие свидетельства о поверке.
-
5 ПОДГОТОВКА К ПОВЕРКЕ
При подготовке к поверке должны быть выполнены следующие работы:
-
- проверка выполнения условий п.2 - п.4 настоящей инструкции;
-
- подготовка к работе установки и средств поверки согласно их эксплуатационной документации;
-
- проверка герметичности фланцевых соединений и узлов гидравлической системы рабочим давлением. Систему считают герметичной, если при рабочем давлении в течение 5 минут не наблюдается течи и капель поверочной жидкости, а также отсутствует падение давления по контрольному манометру;
-
- удаление воздуха из трубопроводов системы согласно руководству по эксплуатации установки;
-
- проверка правильности монтажа эталонных приборов, их электрических цепей и заземления.
-
6 ПРОВЕДЕНИЕ ПОВЕРКИ
-
6.1 Внешний осмотр
-
При внешнем осмотре устанавливают соответствие установки следующим требованиям:
-
- комплектность, маркировка должны соответствовать технической документации;
-
- на установке не должно быть внешних механических повреждений, влияющих на ее работоспособность.
-
6.2 Опробование
При опробовании определяют работоспособность установки и её составных частей в соответствии с их документацией. При этом, изменяя расход воды через эталонные расходомеры-счетчики, убеждаются по показаниям их индикаторов в изменении выходного сигнала в тех же пределах.
-
6.3 Определение метрологических характеристик
При определение метрологических характеристик установки выполнение пунктов с 6.3 по 6.3.12 являются обязательными.
Диапазон воспроизведения расхода установки определяется нижним и верхним значениями воспроизводимого установкой расхода воды на соответствующих измерительных линиях:
-
- верхний предел определяется наибольшим значением расхода, зафиксированным эталонным средством измерения расхода наибольшего диаметра условного прохода, находящимся в соответствующей линии установки;
-
- нижний предел определяется наименьшим значением расхода, зафиксированным эталонным средством измерения расхода наименьшего диаметра условного прохода, находящимся в соответствующей линии установки;
Для этого согласно руководства по эксплуатации устанавливают поочередно минимальный и максимальный расходы воды в измерительных линиях установки, и не менее 100 секунд регистрируют значение расхода по индикатору эталонного средства измерений. Операцию повторяют для всех измерительных линиях, регистрируя весь диапазон расходов воспроизводимый установкой.
Установку допускают к применению, если показания эталонных средств измерений стабильны в каждой точке расхода, а их среднеарифметические значения соответствуют нормированным данным диапазонов измерений для каждой измерительной линии.
6.3.1 Определение погрешности весовых устройств
Абсолютную погрешность весоизмерительных устройств (далее - ВУ) определяют последовательным нагружением балластного груза. В качестве балластного груза используется набор гирь класса точности Ml. Предварительно определяют массу балластного груза при помощи компаратора массы и гири 20 кг класса точности F1. Далее балластный груз равномерно размещают на платформе весоизмерительных устройств. Количество измерений должно быть не менее одиннадцати.
Абсолютную погрешность весоизмерительных устройств, кг, определяют по формуле:

(1)
где Мв - масса по показаниям весоизмерительного устройства, кг; Мг - масса балластного груза, кг;
j, i - индексы точки нагружения и измерения.
В качестве абсолютной погрешности весоизмерительных устройств принимается наибольшее значение абсолютной погрешности весоизмерительных устройств при нагружении их балластным грузом в точках нагружения для весов электронных К модификации КА 32s: 1, 2, 3, 5, 10, 15, 20, 25, 30 кг; для весов электронных К модификации KES1500: 100, 300, 500, 700, 900, 1100, 1300, 1500 кг; для весов электронных К модификации KU20000: 1000, 2000, 3000, 4000, 5000, 6000, 7000, 8000, 9000 кг.
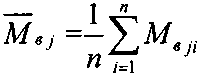
Среднеарифметическое значение массы по показаниям ВУ в j точке нагружения, кг, вычисляют по формуле:

(2)
где и - количество измерений.
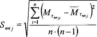
Среднее квадратическое отклонение результата измерений, кг, вычисляют по формуле:

(3)
Неисключенную систематическую составляющую погрешности ВУ для каждой точки нагружения, кг, вычисляют по формуле:

(4)
Неисключенная систематическая составляющая погрешности весового устройства, для каждой точки, должна не превышать ±0,015%.
6.3.2 Определение погрешности переключателей потока.
Составляющую погрешности, вносимую переключателем потока определяют путем измерения времени при прямом (Тпр.) и обратном ходах (ТОбР.) каждого переключателя потока. Схема подключения и осциллограмма работы переключателя потока приведены на рисунке 1.
Частотомер включают в режим измерения временных интервалов и синхронизируют его работу с сигналами «старт», «стоп» от измерительных датчиков Холла выбранного переключателя потока. Запускают программу АРМ оператора в тестовом режиме, выходят на необходимый расход и проводят измерения.
Проводят не менее И измерений на наименьшем и наибольшем расходах каждого переключателя потока.

г
; ■■ |
' л | ||
2 |
2 | ||
The - ирряя пр^рга ходи 2П 7с2р - 8ре^я и&ррярге xpffp ПП р/р* - ире^я ipppps-ря
Рисунок 1
По полученным значениям времен переключения при прямом и обратном ходах, измеренные установкой и частотомером, вычисляют значения масс жидкости, обусловленные разностью времен срабатывания переключателя потока, кг, по формулам:

Мт
1ПП

т — т
пр ji * обр ji
^"пр 4 ji ^"обр 4 ji
М ном

ном
-
(5)
-
(6)
где гпр - время срабатывания переключателя потока при прямом ходе, измеренное установкой, с;
го6р - время срабатывания переключателя потока при обратном ходе, измеренное установкой, с;
тпр ч - время срабатывания переключателя потока при прямом ходе, измеренное частотомером, с;
гобР ч ~ время срабатывания переключателя потока при обратном ходе, измеренное частотомером, с;
Qm in ~ номинальные (наименьшие или наибольшие) значения массового расхода соответствующих переключателей потока.
Среднеарифметическое значение массы жидкости, обусловленное разностью времен срабатывания переключателя потока, кг, вычисляют по формуле:


Среднее квадратическое отклонение результата измерений, кг, вычисляют по формуле:

(8)
Неисключенную систематическую составляющую погрешности переключателя потока для каждой точки расхода, кг, вычисляют по формуле:


(9)
Неисключенная систематическая составляющая погрешности переключателей потока на каждой точки расхода, должна не превышать ±0,005%.
-
6.3.3 Определение погрешности канала измерения временных интервалов
При определении погрешности канала измерения временных интервалов собирают схему, указанную на рисунке 1.
Частотомер включают в режим измерения временных интервалов и синхронизируют его работу с сигналами «старт» и «стоп» от измерительных датчиков Холла, установленных на переключателе потока. Запускают программу АРМ оператора установки в тестовом режиме и задают временные интервалы измерений равные 30, 600 сив рабочем режиме поверки СИ методом сличения по весовым устройствам проводят измерения.
Определяют Тизм. (см. рисунок 1 осциллограммы). Результаты измерений временных интервалов АСКиУ, взятые из протокола, сравнивают с результатом показаний частотомера и оценивают абсолютную погрешность. Количество измерений должно быть не менее одиннадцати.
Абсолютную погрешность канала измерения временных интервалов, с, вычисляют по формуле:

(Ю)
где т - время измерения по показаниям дисплея монитора установки, с. тч - время измерения по показаниям частотомера, с.
Среднеарифметическое значение времени измерения по показаниям дисплея монитора установки, с, вычисляют по формуле:
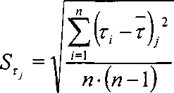
Среднее квадратическое отклонение результата измерений, с, вычисляют по формуле:

Неисключенную систематическую погрешность канала измерения временных интервалов, с, вычисляют по формуле:

(13)
Неисключенная систематическая погрешность измерительного канала времени не должна превышать ±0,01%
-
6.3.4 Определение погрешности измерения плотности воды
Плотность воды выбирается из таблицы, созданной в лаборатории при анализе воды с установки. Плотность воды в данной таблице зависит от температуры и давления воды.
Неисключенную систематическую погрешность измерения плотности воды при избыточном давлении в трубопроводе, кг/м3 вычисляют по формуле:



(14)
где А В 1(е А/’. А. |
|
Д, , Д^ - значения берутся из паспортных данных на данные СИ.
Неисключенную систематическую погрешность измерения плотности воды при атмосферном давлении, кг/м3 вычисляют по формуле:


(15)
Примечание:
Значения приращений А и В определяются в соответствии с таблицей зависимости плотности воды от температуры и давления.
-
6.3.5 Определение погрешности измерения плотности воздуха
Плотность воздуха, кг/м3, определяется по формуле:
0,34848 • Ра - 0,009024 • ha ■ е0’0612 273,15 + 7;
где Ра ha та |
|
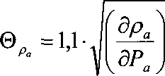
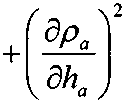
Неисключенную систематическую погрешность измерения плотности воздуха, кг/м3, вычисляют по формуле:






(17)
где воздуха, °C;

-
- абсолютная погрешность средства измерения температуры окружающего
-
- абсолютная погрешность средства измерения относительной влажности
окружающего воздуха, %;
До - абсолютная погрешность средства измерения атмосферного давления, гПа;


частные производные плотности воздуха по ее
составляющим.
неисключенных систематических погрешностей установки при измерении массового и объемного расходов, массы и объема жидкости
В установке масса, объем, массовый и объемный расходы рассчитываются по следующим формулам:
6.3.6 Определение

(18)

(19)

(20)
Мтп„ (j"пр ^обр ) Qm ном
(22)
где РЖа - плотность воды при атмосферном давлении, кг/м3;
Рж - плотность воды при избыточном давлении в трубопроводе, кг/м3.
Неисключенную систематическую погрешность установки при измерении массы, %, вычисляют по формулам:
©„=■^■100(23)
\2
\2
2
Ржа
\дРа)
Неисключенную систематическую погрешность установки расхода, %, вычисляют по формулам:
при измерении
массового
^■100

у •02 + |
[ SQU 'l |
2 •02„ + |
f dQM |
2 •02 + |
2 •02 + | ||
7 |
К.. J |
[др*.) |
Ржа |
(др. J |
Ра |
L Sr J |
Неисключенную систематическую погрешность установки при измерении объема, %, вычисляют по формулам:


(25)
Г дУ
\2
А2
\2
•0в2 +
• 02 +
пп
' дУ ^рЖа )
у
•®L +
\2
' дУ ^PaJ
Неисключенную
систематическую расхода, %, вычисляют по формулам:
погрешность
установки при измерении объемного
f ^Qv } |
2 + |
\ SQV |
2 •0* + |
SQy 'I |
2 + |
pep |
2 •0* + |
pep |
2 •©I + |
pep |
\дМшм } |
[дрЖа J |
PxQ |
{држ J |
Рж |
{ЭРa j |
Pa |
I J |


-
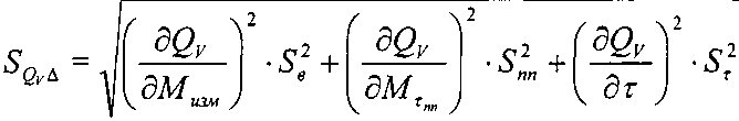
6.3.7 Определение среднеквадратических отклонений при измерении массового и объемного расходов, массы и объема жидкости
Среднее квадратическое отклонение при измерении массы, %, вычисляют по формулам:
5м=£^.Ю0
(27)
\2
■s2 +
(28)
Среднее квадратическое отклонение при измерении массового расхода, %, вычисляют по формулам:
S. =f^A.100(29)
Qm Qm
(30)
Среднее квадратическое отклонение при измерении объема, %, вычисляют по формулам:
sVA Sv =--100(31)
\2
• S'2
(32)
Среднее квадратическое отклонение при измерении объемного расхода, %, вычисляют по формулам:
SQ =—^—100 a Qv
-
6.3.8 Определение относительной погрешности эталонных расходомеров-счетчиков
Определение относительной погрешности эталонных расходомеров-счетчиков (далее - ЭР) производится при помощи ВУ.
Количество измерений на каждом расходе должно быть не менее семи. Масса набранной воды при каждом измерении должна обеспечивать набор не менее 10000 импульсов выходного сигнала ЭР, а время измерения должно быть не менее 60 с. Значения расхода устанавливают с допуском ± 1 % от номинального значения. На показания весов при каждом измерении учитывают поправку на выталкивающую силу окружающего воздуха.
Метрологические характеристики ЭР определяют в режимах измерения массы (массового расхода) измеряемой среды.
Относительную погрешность ЭР определяют при следующих значениях расхода измеряемой среды: ОДОнаиб.; 0,5()наиб.; ()наиб т/ч. При необходимости, если относительная погрешность ме-жду коэффициентами преобразования ЭР соседних точек расхода превышает 0,05%, количество значений поверочных расходов может быть увеличено. Допускается выбирать иные расходные точки, при условии перекрытия расходомерами всего воспроизводимого диапазона расхода в совокупности для каждой измерительной линии.
При каждом измерении регистрируют:
-
- температуру и давление измеряемой среды;
-
- температуру, относительную влажность и атмосферное давление окружающего воздуха;
-
- плотность измеряемой среды;
-
- массу измеряемой среды;
-
- время наполнения резервуара весоизмерительного устройства измеряемой средой;
-
- количество импульсов с ЭР.
Для каждого измерения вычисляют коэффициент коррекции измерений массы при i измерении в j точке расхода по формуле:

(35)

где Мву - масса воды по показаниям ВУ, кг; М - масса воды измеренная ЭР, кг.

(36)
Объем воды измеренный ЭР (в качестве эталонных расходомеров-счетчиков используются счетчики-расходомеры массовые), дм3 определяется по формуле:

(37)
где N - количество импульсов с ЭР, имп;
Км - коэффициент преобразования ЭР, имп/кг;
рж tj - плотность жидкости при избыточном давлении в трубе, кг/м3.
Для каждой точки расхода вычисляют среднее арифметическое значение коэффициента коррекции MFt по формуле:
где п
(38)
- количество измерений;
Среднее квадратическое отклонение результатов определений средних арифметических значений коэффициентов коррекции, % определяется по формуле:

(39)
Проверяют выполнение условий для каждой точки расхода Для счетчиков-расходомеров массовых
SMj < 0,01 %Вычисляют среднюю квадратическую погрешность результата измерений среднего арифметического, %, по формуле:

(40)
Градуировочную характеристику (далее - ГХ) реализуют в виде кусочно-линейной аппроксимации.
Неисключенную систематическую составляющую погрешности ЭР, %, вычисляют по формуле:
(41)
Вычисляют относительную погрешность ЭР, %, по формулам:
M(V)
'*■‘^0 M(V)
S + ®M(V)
£ = t
SQM

+ 02
КЛА к max ~ рж
КЛА k max
<?
КЛА k max
(42)
где 0м - неисключенная систематическая погрешность установки с ВУ при измерении массы, %, {0м = 0,02 %)■,
е - случайная составляющая погрешности ЭР, %;
to,95 ~ коэффициент Стьюдента при доверительной вероятности Р = 0,95
{to,95 = 2,447 для п=7 из ГОСТ Р 8.736-2011.
Относительная погрешность ЭР при измерении массы (массового расхода) протекающей жидкости не должна превышать ± 0,048 %.
Относительная погрешность ЭР при измерении объема (объемного расхода) протекающей жидкости не должна превышать ± 0,058 %.
Относительная погрешность ЭР (Promag) при измерении объема (объемного расхода) протекающей жидкости не должна превышать ± 0,2 %.
Относительная погрешность ЭР (Promass) при измерении массы (массового расхода) протекающей жидкости для участка автоцистерн не должна превышать ±0,1 %
-
6.3.9 Определение погрешности системы сбора и обработки информации (ССОИ)
-
6.3.9.1 При определении погрешности ИК для работы с СИ с частотно-импульсным выходными сигналами собирают схему, указанную на рисунке 2.

Рисунок 2
Работу эталонного счетчика импульсов синхронизируют сигналами «старт», «стоп» от датчиков Холла любого переключателя потока или от клемм «Доза» предусмотренных в АСКиУ которые формируют интервал измерения.
На генераторе прямоугольных импульсов устанавливают последовательно значения частоты выходного сигнала равные 100, 1000 и 10000 Гц, соответствующие наименьшему и наибольшему значению расхода поверяемых расходомеров.
Программу АРМ оператора запускают в режиме поверки средства измерения с импульсным сигналом методом сличения по весовым устройствам. Задают интервал измерения с временем отсечки 60с., выходят на установившейся режим и после команды «Начать измерение» переключатель потока отрабатывает команду «старт» на начало подсчета импульсов. После истечении 60с. переключатель потока возвращается в исходное состояние, отрабатывая при этом команду «стоп» - на завершение подсчета импульсов. Набранное количество импульсов АСКиУ регистрируемое в протоколе измерения сравнивают с количеством импульсом подсчитанное эталонным счетчиком импульсов. Измерения повторяют не менее трех раз на каждой частоте импульсов.
Погрешность частотно-импульсных измерительных каналов §икс, %, вычисляют по формуле:
(ы А
Экчи= -100% (43)
где NK - количество импульсов, измеренное АСКиУ;
N3 - количество импульсов, измеренное эталонным счетчиком импульсов.
Относительная погрешность измерительных каналов поверяемых средств измерений с частотно-импульсным выходным сигналом не должна превышать ± 0,01 %.
-
6.3.9.2 При определении погрешности аналоговых измерительных каналов для СИ с токовым выходным сигналом собирают схему, указанную на рисунке 3.
Рисунок 3
На выходе источника постоянного тока (калибратор электрических сигналов) поочередно устанавливают значения тока, соответствующие 4, 8, 12, 16 и 20 мА. При каждом значении входного тока регистрируют показания дисплея 1изм.
Приведенная относительная погрешность аналоговых измерительных каналов средств измерений с токовым выходным сигналом, %, вычисляют по формулам:
=НЦ-М 100% (44)
где 1изм - значение тока, измеренное АСКиУ;
1Э - эталонное значение тока (заданное с калибратора);
1Н - нормирующее значение аналогового сигнала (мА).
Приведенная относительная погрешность аналоговых измерительных каналов средств измерений с токовым выходным сигналом не должна превышать ± 0,02 %.
-
6.3.10 Определение относительной (суммарной) погрешности установки при измерении массы, объема, массового и объемного расходов при применении ВУ
Относительную (суммарную) погрешность установки при измерении массы, объема, массового и объемного расходов при применении ВУ вычисляют по формуле А. 13 Приложения А (справочное) ГОСТ 8.381-2009 «ГСП. Эталоны. Способы выражения точности».
Результат поверки считается положительным, если относительная (суммарная) погрешность установки при измерении массы при применении весоизмерительных устройств не превышает ± 0,04 %, при измерении массового расхода не превышает ± 0,05 %, при измерении объема не превышает ± 0,045 %, а при измерении объемного расхода не превышает ± 0,055 %.
-
6.3.11 Определение относительной погрешности установки при измерении массы, объема, массового и объемного расхода жидкости при применении весовых устройств с помощью эталонов сравнения
Количество измерений на каждом расходе должно быть не менее пяти. Объем (масса) измеренной жидкости при каждом измерении должен обеспечивать время измерения не менее 40 с. Значения расхода устанавливают с допуском ± 2 % от номинального значения.
Относительную погрешность установки определяют на следующих значениях расхода измеряемой среды для каждой измерительной линии отдельно:
-
- измерительная линия 1: 0,1, 0,25; 1, 5,0; 10; 25, 50 м3/ч (т/ч);
-
- измерительная линия 3: 5,0; 10; 25, 50, 80, 150, 200, 250, 300 м3/ч (т/ч).
Относительную погрешность установки при измерении массы, объема, массового и объемного расходов протекающей жидкости %, вычисляют по формулам:
М(У)ЭС'yQM(V)

М(У)эс
где M(V)y - масса (объем) измеренный установкой;
Л/(Г)ЭС - масса (объем) измеренный эталоном сравнения;
бм(/)у ' объемный (массовый) расход жидкости измеренный установкой;
Qm(v)sc _ объемный (массовый) расход жидкости измеренный эталоном сравнения.
Относительную погрешность установки при измерении массы, объема, массового и объемного расхода протекающей жидкости принимают равной максимальному значению погрешности полученной на разных точках расхода.
Результат поверки считается положительным, если относительная (суммарная) погрешность установки при измерении массы, объема, массового и объемного расхода протекающей жидкости не превышает значений указанных в п. 6.3.10.
-
6.3.12 Определение относительной погрешности установки при измерении массы, объема, массового и объемного расходов при применении эталонных расходомеров-счетчиков.
Относительную погрешность установки при измерении массы и массового расхода при применении эталонных расходомеров-счетчиков, %, вычисляют по формуле:
у ЭР $ЭРм + ЧИ(А) П M(QM)
(47)
где 5эрм - погрешность эталонных расходомеров-счетчиков при измерении массы и массового расхода, %;
Зк чи (А) п m(Qm) - погрешность измерительного канала (частотно-импульсного или
аналогового) поверяемых средств измерений при измерении массы (массового расхода), %.
Относительную погрешность установки при измерении объема и объемного расхода при применении эталонных расходомеров-счетчиков, %, вычисляют по формуле:
У эр ЧИ(А) П V(Qy)
(48)
где Зэру - погрешность эталонных расходомеров-счетчиков при измерении объема и объемного расхода, %;
5к чи (А) п v(Qv) - погрешность измерительного канала (частотно-импульсного или
аналогового) поверяемых средств измерений при измерении объема (объемного расхода), %.
Результат поверки считается положительным, если относительная погрешность установки при измерении массы и массового расхода при применении эталонных расходомеров-счетчиков не превышает ± 0,05 %, для участка автоцистерн не должна превышать ±0,15 %;
Установка считается выдержавшей испытание, если относительная погрешность установки при измерении объема и объемного расхода при применении эталонных расходомеров-счетчиков массовых (объемных) не превышает ± 0,07 % (0,3%).
6.4 Подтверждение соответствия программного обеспечения СИ
При проведении поверки выполняют операцию подтверждения соответствия программного обеспечения заявленным идентификационным данным с использованием ПК и программного обеспечения установки.
Подготовка к проведению подтверждения соответствия:
-
- запустить программное обеспечение установки поверочной.
Определение идентификационных данных программного обеспечения:
-
- выбрать в основном меню программы установки поверочной пункт «Справка»;
-
- активизировать данный пункт меню;
-
- в выпавшем подменю выбрать пункт «О программе» и активизировать его.
На мониторе ПК должны отобразиться идентификационные данные программного обеспечения. Контрольную сумму файла библиотеки Metronom_math.dll дополнительно рассчитывают по алгоритму MD5 при помощи freeware-утилиты или Total Commander v7.03 и выше.
Результат подтверждения соответствия программного обеспечения считается положительным, если полученные идентификационные данные программного обеспечения установки поверочной (идентификационное наименование программного обеспечения, номер версии (идентификационный номер программного обеспечения) соответствуют идентификационным данным, указанным в разделе «Программное обеспечение» описания типа на установку поверочную комплексную КПУ-600, а цифровой идентификатор программного обеспечения (контрольная сумма исполняемого кода) соответствует идентификационным данным, указанным изготовителем в паспорте на данную установку.
7.ОФОРМЛЕНИЕ РЕЗУЛЬТАТОВ ПОВЕРКИ.
-
7.1 Результаты поверки, измерений и вычислений вносят в протокол поверки установки произвольной формы.
-
7.2 При положительных результатах поверки установки оформляют свидетельство о поверке в соответствии с формой, утвержденной приказом Минпромторга России № 1815 от 02.07.2015, к которому прилагают протокол поверки.
-
7.3 При отрицательных результатах поверки установку к применению не допускают, свидетельство аннулируют и выдают извещение о непригодности с указанием причин в соответствии с процедурой, утвержденной приказом Минпромторга России № 1815 от 02.07.2015.
17