Методика поверки «ГСИ. Спектрометры атомно-абсорбционные моделей «Квант-2мт», «Квант-2м1»» (МП 069.Д4-15)
УТВЕРЖДАЮ
Заместитель директора ФГУП «ВНИИОФИ» -

Н.П. Муравская «/с?» 2015 г.
Государственная система обеспечения единства измерений
Спектрометры атомно-абсорбционные моделей «Квант-2мт», «Квант-2м1»
МЕТОДИКА ПОВЕРКИ
МП 069.Д4-15
Главный метролог
ФГУП «13НИИОФИ»
С.Н. Него да
«<>» 2015 г.
Москва
2015 г.
ВВЕДЕНИЕ
Настоящая методика распространяется на Спектрометры атомно-абсорбционные моделей «Квант-2мт», «Квант-2м1» (далее по тексту - спектрометры), предназначенные для измерений массовой концентрации металлов в растворах их солей в природных водах, в промышленных сточных водах, в растворах - минерализатах консистентных продуктов, технологических и прочих растворах по атомным спектрам поглощения и испускания с использованием пламенной атомизации, и устанавливает методы и средства их первичной и периодической поверок.
Спектрометр может работать в следующих режимах:
-
- атомно-эмиссионный (АЭ);
-
- атомно-абсорбционный с непосредственным вводом пробы в пламя (АА);
-
- атомно-абсорбционный с генератором ртутно-гидридным (АА ГРГ);
Интервал между поверками - 1 год.
1 ОПЕРАЦИИ ПОВЕРКИ
-
1.1 При проведении первичной и периодической поверок должны быть
выполнены операции, указанные в таблице 1.
Таблица 1
|
Наименование операции |
Номер пункта методики поверки |
Проведение операции при | |
|
Первичной поверке |
Периодической и внеочередной поверке | ||
|
Внешний осмотр |
7.1 |
Да |
Да |
|
Опробование |
7.2 |
Да |
Да |
|
Проверка идентификации программного обеспечения |
7.3 |
Да |
Да |
|
Определение метрологических характеристик |
7.4 | ||
|
Определение относительного среднего квадратического отклонения случайной составляющей погрешности измерения концентрации и систематической составляющей относительной погрешности измерения концентрации в (АА) режиме |
7.4.1 |
Да |
Да* |
|
Определение относительного среднего квадратического отклонения случайной составляющей погрешности измерения концентрации и систематической составляющей относительной погрешности измерения концентрации в (ААГРГ) режиме |
7.4.2 |
Да |
Да* |
|
Определение относительного среднего квадратического отклонения случайной составляющей погрешности измерения концентрации и систематической составляющей относительной погрешности измерения концентрации в (АЭ) режиме |
7.4.3 |
Да |
Да* |
|
Определение дополнительной относительной погрешности измерений фонового ослабления |
7.4.4 |
Да |
Нет |
|
* Выполняется, если это предусмотрено в заказе на проведение поверки (см. п. 2.3) | |||
-
1.2 При получении отрицательных результатов при проведении хотя бы одной операции поверка прекращается.
-
1.3 Поверку средства измерений осуществляют аккредитованные в установленном порядке в области обеспечения единства измерений юридические лица и индивидуальные предприниматели.
2 СРЕДСТВА ПОВЕРКИ
-
2.1 При проведении первичной и периодической поверок должны быть применены средства, указанные в таблице 2.
Таблица 2
|
№ пункта методики поверки |
Наименование и тип (условное обозначение) основного или вспомогательного средства поверки; обозначение нормативного документа, регламентирующего технические требования, и (или) метрологические и основные технические характеристики средства поверки |
|
7.4.1 |
Массовая концентрация ионов:
Погрешность определения концентрации элемента не более 1 % при доверительной вероятности р=0,95.
Основные метрологические характеристики: Массовая концентрация ионов: теллур -1 мг/см3 Погрешность определения концентрации элемента не более 1 % при доверительной вероятности р=0,95. |
|
7.4.2 |
Государственные стандартные образцы состава растворов ионов мышьяка (ГСО 7976-2001), ртути (ГСО 7343-96), селена (ГСО 7779-2000), сурьмы (ГСО 8402-2003). Основные метрологические характеристики: Массовая концентрация ионов: ртуть, селен, сурьма - 1 мг/см3, мышьяк - 0,1 г/дм3 Погрешность определения концентрации элемента не более 1 % при доверительной вероятности р=0,95. |
|
7.4.3 |
Массовая концентрация ионов: калий, литий, натрий - 1 мг/см3 Погрешность определения концентрации элемента не более 1 % при доверительной вероятности р=0,95.
Основные метрологические характеристики: Массовая концентрация ионов: рубидий - 1 мг/см3 Погрешность определения концентрации элемента не более 1 % при доверительной вероятности р=0,95. |
|
7.4.4 |
Государственный стандартный образец состава раствора ионов кадмия (ГСО 7773-2000). Основные метрологические характеристики: Массовая концентрация ионов кадмия - 1 мг/см3 Погрешность определения концентрации элемента не более 1 % при доверительной вероятности р=0,95. |
|
7.4.1 - 7.4.4 |
Посуда мерная по ГОСТ 29227-91,1770-74. Класс точности 2 |
-
2.2 При первичной поверке в обязательном порядке выполняются операции с растворами элементов, выделенных в таблице 2 жирным шрифтом. Операции с растворами остальных элементов, указанных в таблице 2, выполняются только при наличии этих элементов в заказе на проведение первичной поверки.
-
2.3 При периодической или внеочередной поверке операции поверки могут выполняться по растворам любых элементов, указанных в таблице 2 для соответствующего режима анализа. Выбор конкретных элементов и режимов анализа определяется заказом на проведение поверки; при этом определение СКО и систематической составляющей погрешности для меди в АА режиме является обязательным.
-
2.4 Допускается также применение других средств поверки, не приведенных в таблице 2, но обеспечивающих определение (контроль) метрологических характеристик поверяемых спектрометров с требуемой точностью.
3 УСЛОВИЯ ПОВЕРКИ
-
3.1 При проведении поверки должны быть соблюдены следующие условия:
-
- температура окружающей среды, °C 20 ± 5
-
- относительная влажность воздуха, %, не более 80
-
- атмосферное давление, кПа 84 - 107
-
- напряжение питания переменного тока, В 220 ± 22
-
- при частоте, Гц 50 ± 1
-
3.2 В помещении, где проводится поверка, должны отсутствовать посторонние источники излучения, мощные постоянные и переменные электрические и магнитные поля, но также должны быть исключены факторы появления пыли, сквозняков, вибрации и паров вызывающих коррозию.
-
3.3 Зоны для подготовки проб и хранения материалов должны располагаться в отдельном помещении.
4 ТРЕБОВАНИЯ БЕЗОПАСНОСТИ
-
4.1 Помещение, в котором устанавливается спектрометр, должно иметь площадь не менее 10 м2, объём не менее 30 м3 и приточно - вытяжную вентиляцию. Над горелкой должен быть установлен вытяжной зонт с принудительной вытяжной вентиляцией с регулируемым расходом воздуха от 5 до 10м3/мин. Помещение должно также соответствовать требованиям пожарной безопасности по ГОСТ 12.1.004-91 и иметь средства пожаротушения по ГОСТ 12.4.009-83.
-
4.2 По способу защиты от поражения электрическим током спектрометры относятся к классу 01 по ГОСТ 12.2.007.0-75.
-
4.3 Эксплуатация спектрометра должна производиться в соответствии с требованиями “Правил технической эксплуатации электроустановок потребителей”, и “Правил техники безопасности при эксплуатации установок потребителей”, утверждённых ГОСЭНЕРГОНАДЗОРОМ, и ГОСТ Р 12.1.019-2009.
-
4.4 Баллоны со сжатыми газами должны быть установлены в отдельном нерабочем помещении или за пределами здания в закрытых металлических шкафах с соблюдением «Правил устройства и безопасной эксплуатации сосудов, работающих под давлением» ТР ТС 032/2013.
-
4.5 Подготовку к выполнению анализов следует проводить с соблюдением требований техники безопасности при работе с химическими реагентами, относящимися к третьему классу опасности по ГОСТ 12.1.007-76.
5 ТРЕБОВАНИЯ К КВАЛИФИКАЦИИ ПОВЕРИТЕЛЕЙ
-
5.1 К проведению испытаний допускают лиц, изучивших настоящую программу, руководства по эксплуатации спектрометров и испытательного оборудования, имеющих квалификационную группу не ниже III в соответствии с правилами по охране труда и эксплуатации электроустановок, указанных в приложении к приказу Министерства труда и социальной защиты РФ от 24.07.13 № 328Н.
6 ПОДГОТОВКА К ПОВЕРКЕ
-
6.1 Перед проведением поверки должны быть приготовлены контрольные растворы элементов, по которым производится поверка согласно методике, приведённой в Приложении А.
-
6.2 Подготовку, включение и прогрев спектрометра при поверке производят в соответствии с его Руководством по эксплуатации ГКНЖ.91.000.000 РЭ.
-
7 ПРОВЕДЕНИЕ ПОВЕРКИ
7.1 Внешний осмотр
-
7.1.1 Внешним осмотром спектрометра должно быть установлено:
-
- наличие маркировки, подтверждающей тип и заводской номер спектрометра;
-
- соответствие комплектности спектрометра требованиям документации;
-
- наличие чётких надписей на органах управления;
-
- отсутствие на наружных поверхностях спектрометра повреждений, влияющих на его работоспособность.
-
7.1.2 Спектрометры считаются прошедшими операцию поверки, если они соответствуют всем перечисленным выше требованиям.
7.2 Опробование
-
7.2.1 Подготовить спектрометр к проведению измерений в режиме абсорбции.
-
7.2.2 Установить трехщелевую горелку «пропан» и подключить спектральную лампу для измерения концентрации меди.
-
7.2.3 В компьютерной программе войти в окно “Графический экран”. Ввести в распылитель раствор меди концентрацией 1 мг/дм3 и определить по экрану значение оптической плотности.
-
7.2.4 Спектрометры считаются прошедшими опробование, если полученное значение оптической плотности составляет не менее 0,15 Б.
7.3 Проверка идентификации программного обеспечения
-
7.3.1 Идентификационные данные программного обеспечения должны соответствовать значениям, приведенным в таблице 3.
Таблица 3
|
Идентификационные данные (признаки) |
Значение |
|
Идентификационное наименование ПО |
КВАНТ-3 |
|
Номер версии (идентификационный номер) ПО |
Не ниже 3.1.0 |
|
Цифровой идентификатор ПО (контрольная сумма исполняемого кода) |
- |
|
Алгоритм вычисления цифрового идентификатора ПО |
- |
-
7.3.2 Спектрометр считается прошедшим операцию поверки с положительным результатом, если идентификационные данные ПО соответствуют значениям, приведенным в таблице 3.
-
7.3.3 Если данные требования не выполняются, то спектрометр считается непригодным к применению, к эксплуатации не допускается, выписывается свидетельство о непригодности, дальнейшие пункты методики не выполняются.
-
7.4 Определение метрологических характеристик
-
7.4.1 Определение относительного среднего квадратического отклонения (СКО) случайной составляющей погрешности измерения концентрации и систематической составляющей относительной погрешности измерения концентрации в (АА) режиме
-
7.4.1.1 Произвести проверку настройки спектрометра для работы в (АА) режиме для измерения концентрации того элемента, по которому будет производиться поверка.
-
-
Для этого:
-
- Проверить установку горелки, соответствующей выбранному методу анализа и типу пламени
-
- Визуально проверить подключение вентиля воздушной магистрали, воздушного баллона, или компрессора. Визуально проверить подключение баллона с горючим газом, соответствующим рекомендованному типу пламени.
-
- Включить компьютер и дождаться загрузки ОС Windows.
-
- Проверить подключение необходимых спектральных ламп
Длину волны и тип пламени установить в соответствии с рекомендациями таблицы 4. Если длина волны резонансной линии менее 380 нм, то измерения следует выполнять с дейтериевым корректором. В противном случае корректор должен быть выключен.
Таблица 4
|
Химический элемент |
Длина волны, нм |
Тип пламени |
|
Au |
242,8 | |
|
Ag |
328,1 | |
|
Си |
324,8 | |
|
Cd |
228,8 |
воздух / ацетилен, |
|
Со |
240,7 |
или |
|
К |
766,5 |
воздух / пропан - |
|
Li |
670,8 |
-бутановая смесь |
|
Na |
589,0 | |
|
Pb |
217,0 | |
|
Zn |
213,9 | |
|
Bi |
223,1 | |
|
Cr |
357,9 | |
|
Fe |
248,3 | |
|
Ca |
422,7 | |
|
Mg |
285,2 | |
|
Mn |
279,5 | |
|
Ni |
232,0 | |
|
Pd |
247,6 |
воздух / ацетилен |
|
Pt |
265,9 | |
|
Rh |
343,5 | |
|
Ru |
349,9 | |
|
Sn |
235,5 | |
|
Sr |
460,7 | |
|
Sb |
217,6 | |
|
Те |
214,3 | |
|
Al |
309,3 | |
|
Ba |
553,6 | |
|
Be |
234,9 |
Ацетилен / закись азота |
|
Ti |
364,3 | |
|
Mo |
313,3 |
-
7.4.1.2 Выполнить процедуру создания калибровки:
-
- Для создания калибровки необходимо приготовить серию растворов с известной концентрацией анализируемого элемента (стандартные растворы). В их числе может использоваться раствор, не содержащий анализируемого элемента (нулевой раствор). Для построения калибровки как правило, используется 5 растворов.
-
- Нажать кнопку «Методики» панели инструментов, выбрать методику далее кнопку «Создание калибровки». Появится окно создания калибровки рис. 1. Ввести значения концентраций растворов для построения калибровочной кривой. Выбрать режим проведения измерений (Количество измерений на обнуление - 1).
Нктройпг Гр*фам*ссм*мри П««рк» Ом>* Опрогрмвм tit-
j Сохранить параметры
Д П*иелупр»«л«ян» S
Моюхроматор | Турель i ЯД Удаление | Газовая система
ТокДК..........
Усиление фотоприемника
«| < | 5.4' > I >> j
Балансировка
Рис. 1. Окно создания калибровки
- Провести измерения аналитического сигнала для калибровочных растворов. Для каждого из растворов рекомендуется проводить от 2 до 5 параллельных определений (замеров); анализировать калибровочные растворы следует в порядке возрастания их концентрации рис. 2. Каждый из параллельных замеров состоит из двух процедур -обнуления и измерения. Для проведения процедуры обнуления необходимо опустить капилляр в фоновый раствор и нажать кнопку «Обнуление». Для проведения процедуры измерения ввести капилляр в калибровочный стандарт, концентрация которого выделена в таблице окна «Создание калибровки». Нажать кнопку «Измерение», либо нажать на клавиатуре компьютера клавишу «Enter» или «Пробел».
Нктрсйкм Графический мри Jkf.ep/» Омн О прогреми*
Д Памяьупрмлмм ' Ё1 ■
Монохроматор | Турель ЯД, Удаление j Газовая дастема ТокДК ...........
« |L<~i 48 > I » I
Усиление фотоприемника.......
«| < | 4.В > I >> I
Балансировка
Сохранить параметры
Рис. 2. Построение калибровочной кривой
-
7.4.1.3 Провести в режиме “Уточнение калибровки” измерение концентрации контрольного раствора № 4, используя среднее по трем параллельным определениям (таблица 5). При этом обнуление выполнять по фоновому раствору, с помощью которого был приготовлен контрольный раствор № 4 данного элемента (Приложение А).
-
7.4.1.4 Ввести в компьютер команду на запоминание полученной калибровки.
-
7.4.1.5 Ввести в распылитель спектрометра контрольный раствор с наименьшей концентрацией (раствор № 1, таблица 5), выполнить измерение относительно сигнала соответствующего фонового раствора (Приложение А).
Таблица 5
|
Химический элемент |
Порядковый номер контрольных растворов |
Массовая концентрация контрольных растворов, мг/дм3 |
|
Бериллий | ||
|
Кадмий |
1 |
0,005 |
|
Калий | ||
|
2 |
0,01 | |
|
Литий | ||
|
3 |
0,05 | |
|
Магний |
4 |
0,2 0,5 |
|
Марганец |
5 | |
|
Натрий Цинк | ||
|
1 |
0,005 | |
|
Медь |
2 |
0,01 |
|
О |
0,1 1,0 | |
|
Серебро |
| |
|
5 |
5,0 | |
|
Железо |
1 |
0,05 |
|
Кобальт |
2 |
0,1 |
|
Никель |
3 |
0,5 |
|
Палладий |
4 |
1,0 |
|
Хром |
5 |
2,0 |
|
Золото |
1 |
0,02 |
|
Родий |
2 |
0,05 |
|
Рутений |
3 |
0,5 |
|
Свинец |
4 |
5,0 |
|
Стронций |
5 |
10,0 |
|
1 |
0,1 | |
|
Барий |
2 |
0,2 |
|
3 |
1,0 5,0 | |
|
Молибден |
4 | |
|
5 |
20,0 | |
|
1 |
0,1 | |
|
2 |
0,2 | |
|
Алюминий |
3 |
2,0 |
|
4 |
10,0 | |
|
5 |
50,0 | |
|
1 |
0,5 | |
|
2 |
1,0 | |
|
Титан |
3 |
5,0 |
|
4 |
20,0 | |
|
5 |
100,0 | |
|
1 |
0,05 | |
|
2 |
0,1 | |
|
Висмут |
з |
0,5 2,0 |
|
Кальций |
4 | |
|
5 |
10,0 |
|
Платина |
1 2
|
2,0 5,0 10,0 20,0 50,0 |
|
Теллур Сурьма |
1 2
|
0,1 0,2 0,5 2,0 5,0 |
-
7.4.1.6 Повторить измерения по п. 7.4.1.5 десять раз. Выполнить аналогичные процедуры измерений с контрольными растворами № 2 и № 5 на данный элемент.
-
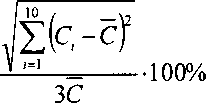
7.4.1.7 Относительное СКО случайной составляющей погрешности измерения концентрации вычисляются компьютерной программой автоматически после измерений концентрации каждого контрольного раствора по формуле (1):

где S - относительное СКО случайной составляющей погрешности измерения концентрации, %;
С, - результат z-ro измерения концентрации, мг/дм3;
С - среднее арифметическое результатов измерений концентрации контрольных растворов, мг /дм3, рассчитываемое по формуле (2):
с=^—
10
о
, мг /дм
(2)
-
7.4.1.8 Систематическая составляющая относительной погрешности измерения концентрации определяется по формуле (3):
{-'ном.
|
где Сном. |
- номинальное значение концентрации контрольного раствора; |
|
С |
- среднее арифметическое результатов измерений концентрации. |
-
7.4.1.9 Спектрометры признаются прошедшими операцию поверки, если полученные значения не превышают предельных значений, указанных в таблице 6.
Таблица 6
|
Химический элемент |
Концентрация, мг/дм3 |
Предел допускаемого относительного СКО случайной составляющей погрешности измерения концентрации, % |
Пределы допускаемой систематической составляющей относительной погрешности измерения концентрации, % |
|
Бериллий | |||
|
Кадмий Калий |
0,005 |
20 |
±30 |
|
Литий |
0,01 |
10 |
± 15 |
|
Магний |
0,05 |
5 |
±7 |
|
2 |
± 4 | ||
|
Марганец Натрий |
0,5 |
2 |
± 4 |
|
Цинк | |||
|
0,005 |
20 |
±30 | |
|
Медь |
0,01 |
10 |
± 15 |
|
0,1 |
4 |
± 7 | |
|
Серебро |
1,0 |
2 |
±3 |
|
5,0 |
2 |
±4 | |
|
Железо |
0,05 |
20 |
±30 |
|
Кобальт |
0,1 |
10 |
± 15 |
|
Никель |
0,5 |
5 |
±8 |
|
Палладий |
1,0 |
2 |
±4 |
|
Хром |
2,0 |
2 |
±4 |
|
Золото |
0,02 |
20 |
±30 |
|
Родий |
0,05 |
10 |
± 15 |
|
Рутений |
0,5 |
5 |
±8 |
|
Свинец |
5,0 |
2 |
±4 |
|
Стронций |
10,0 |
2 |
±4 |
|
0,1 |
20 |
±30 | |
|
Барий |
0,2 |
10 |
± 15 |
|
1 0 |
5 |
± 8 | |
|
Молибден |
5,0 |
2 |
±4 |
|
20,0 |
2 |
±4 | |
|
0,1 |
20 |
± 30 | |
|
Алюминий |
0,2 |
10 |
± 15 |
|
2,0 |
5 |
± 8 | |
|
10,0 |
2 |
± 4 | |
|
50,0 |
2 |
± 4 | |
|
0,5 |
20 |
± 30 | |
|
1,0 |
10 |
± 15 | |
|
Титан |
5,0 |
5 |
± 8 |
|
20,0 |
2 |
± 4 | |
|
100,0 |
2 |
± 4 | |
|
2,0 |
20 |
± 30 | |
|
5,0 |
10 |
± 15 | |
|
Олово |
20,0 |
5 |
± 8 |
|
50,0 |
3 |
± 4 | |
|
200,0 |
3 |
± 4 | |
|
Висмут |
0,05 |
20 |
± 30 |
|
Кальций |
0,1 |
10 |
± 15 |
|
0,5 2,0 10,0 |
5 3 3 |
н- н- н-4^ -Р*. ОО | |
|
2,0 |
20 |
± 30 | |
|
5,0 |
10 |
± 15 | |
|
Платина |
10,0 |
5 |
± 8 |
|
20,0 |
3 |
± 4 | |
|
50,0 |
3 |
± 4 | |
|
0,1 |
20 |
± 30 | |
|
Теллур |
0,2 |
10 |
± 15 |
|
0 5 |
5 |
± 8 | |
|
Сурьма |
2,0 |
3 |
± 4 |
|
5,0 |
3 |
± 4 |
-
7.4.2 Определение относительного CKO случайной составляющей погрешности измерения концентрации и систематической составляющей относительной погрешности измерения концентрации в (ААГРГ) режиме
-
7.4.2.1 Визуально оценить готовность к работе спектрометра для измерений концентрации соответствующего элемента в (АА ГРГ) режиме. Установить спектральную лампу в ламповую турель. Загрузить ПО, включить спектрометр.
-
Рабочую длину волны и способ атомизации выбирать в соответствии с требованиями таблицы 7.
Таблица 7
|
Химический элемент |
Длина волны, нм |
Способ атомизации |
|
Мышьяк |
193,7 |
воздух/ацетилен или воздух/ |
|
Селен |
196,0 |
/пропан-бутановая смесь |
|
Ртуть |
253,7 |
беспламенный метод |
-
7.4.2.2 Выполнить калибровку прибора на выбранный элемент, затем используя в качестве стандарта контрольный раствор № 4 (таблица 8) провести уточнение калибровки по результатам трёх параллельных определений.
Таблица 8
|
Химический элемент |
Порядковый номер контрольных растворов |
Массовая концентрация контрольных растворов, мг/дм3 |
|
1 |
0,0002 | |
|
2 |
0,0005 | |
|
Ртуть |
3 |
0,002 |
|
4 |
0,005 | |
|
5 |
0,010 | |
|
1 |
0,001 | |
|
Селен |
2 |
0,002 |
|
3 |
0,004 | |
|
Мышьяк |
4 |
0,008 |
|
5 |
0,010 |
-
7.4.2.3 Провести процедуру очистки ГРГ, используя фоновый раствор (Приложение А), и затем выполнить измерения всех контрольных растворов по десять раз, начиная с раствора, имеющего наименьшую заданную концентрацию.
-
7.4.2.4 Относительное CKO случайной составляющей погрешности измерения концентрации контрольных растворов рассчитывается автоматически по алгоритму, описанному в п. 7.4.1.7.
-
7.4.2.5 Расчет систематической составляющей относительной погрешности измерения концентрации проводится по формуле 3.
-
7.4.2.6 Спектрометры признаются прошедшими операцию поверки, если полученные значения не превышают предельных значений, указанных в таблице 9.
Таблица 9
|
Химический элемент |
Концентрация, мг/дм3 |
Предел допускаемого относительного СКО случайной составляющей погрешности измерения концентрации, % |
Пределы допускаемой систематической составляющей относительной погрешности измерения концентрации, % |
|
0,0002 |
20 |
± 30 | |
|
0,0005 |
10 |
± 15 | |
|
Ртуть |
0,002 |
6 |
± 10 |
|
0,005 |
6 |
± 10 | |
|
0,010 |
6 |
± 10 | |
|
0,001 |
20 |
± 30 | |
|
Селен |
0,002 |
10 |
± 15 |
|
Мышьяк |
0,004 |
7 |
± 10 |
|
0,008 |
5 |
± 10 | |
|
0,010 |
5 |
± 10 |
-
7.4.3 Определение относительного среднего квадратического отклонения случайной составляющей погрешности измерения концентрации и систематической составляющей относительной погрешности измерения концентрации в (АЭ) режиме
-
7.4.3.1 Проверить готовность прибора к работе для измерения концентрации соответствующего элемента в (АЭ) режиме.
-
Рабочую длину волны и тип пламени установить в соответствии с рекомендациями таблицы 10.
Таблица 10
|
Химический элемент |
Длина волны, нм |
Тип пламени |
|
Калий Литий Натрий Рубидий |
766,5 670,8 589,0 780,0 |
воздух/ацетилен или воздух/пропан-бутановая смесь |
-
7.4.3.2 Ввести в распылитель спектрометра контрольный раствор № 5 (таблица 11), выполнить подстройку монохроматора на резонансную линию выбранного элемента.
-
7.4.3.3 Выполнить калибровку прибора на выбранный элемент, провести процедуру уточнения калибровки по контрольному раствору № 4 (таблица 11) и соответствующему фоновому раствору.
Таблица 11
|
Химический элемент |
Порядковый номер контрольных растворов |
Массовая концентрация контрольных растворов, мг/дм3 |
|
1 |
0,005 | |
|
2 |
0,01 | |
|
Натрий |
3 |
0,05 |
|
Литий |
4 |
0,5 |
|
5 |
2,0 | |
|
1 |
0,01 | |
|
2 |
0,05 | |
|
Калий |
3 |
0,2 |
|
4 |
0,5 | |
|
5 |
2,0 | |
|
1 |
0,02 | |
|
2 |
0,05 | |
|
Рубидий |
3 |
0,5 |
|
4 |
2,0 | |
|
5 |
5,0 |
-
7.4.3.4 Выполнить измерения всех контрольных растворов, начиная с раствора с наименьшей концентрацией (раствор №1, таблица 11). Для каждого контрольного раствора провести по 10 измерений.
-
7.4.3.5 Относительное СКО случайной составляющей погрешности измерения концентрации контрольных растворов рассчитывается автоматически по алгоритму, описанному в п. 7.4.1.7.
-
7.4.3.6 Расчёт систематической составляющей относительной погрешности измерения концентрации проводится по формуле 3.
-
7.4.3.7 Спектрометры признаются прошедшими операцию поверки, если полученные значения не превышают предельных значений, указанных в таблице 12.
Таблица 12
|
Химический элемент |
Концентрация, мг/дм3 |
Предел допускаемого относительного СКО случайной составляющей погрешности измерения концентрации,% |
Пределы допускаемой систематической составляющей относительной погрешности измерения концентрации, % |
|
0,005 |
20 |
± 30 | |
|
Натрий |
0,01 |
10 |
± 15 |
|
0,05 |
5 |
± 7 | |
|
Литий |
0,5 |
2 |
± 3 |
|
2,0 |
2 |
± 3 | |
|
0,01 |
20 |
± 30 | |
|
0,05 |
7 |
± 10 | |
|
Калий |
0,2 |
5 |
± 7 |
|
0,5 |
2 |
± 3 | |
|
2,0 |
2 |
± 3 |
|
0,02 |
20 |
± 30 | |
|
0,05 |
10 |
± 15 | |
|
Рубидий |
0,5 |
5 |
± 8 |
|
2,0 |
2 |
± 4 | |
|
5,0 |
2 |
± 4 |
7.4.4 Определение дополнительной относительной погрешности измерений фонового ослабления
-
7.4.4.1 Дополнительную относительную погрешность измерений фонового ослабления (т.е. поглощения и рассеяния) проверять путём измерения оптической плотности на длине волны 228,8 нм (излучение Cd) в пламени, в котором фоновое (неселективное) поглощение происходит на молекулах хлористого кальция.
-
7.4.4.2 Проверить настройку прибора для измерения на длине волны кадмия (228,8 нм) в режиме атомной абсорбции (АА).
-
7.4.4.3 В компьютерной программе выбрать режим выполнения новой калибровки. Провести построение калибровки (См. Руководство пользователя программного обеспечения (диск)) с использованием стандартного раствора Cd концентрация 0,05 мг/л фоновый раствор №3 (Приложение А).
-
7.4.4.4 Ввести в распылитель спектрометра 0,1 М раствор хлористого кальция, (фоновый раствор № 6), приготовленный согласно “Методике приготовления контрольных растворов” (Приложение А).
-
7.4.4.5 Провести серию из 10 измерений оптической плотности, в каждом измерении фиксируют оптическую плотность атомного поглощения Z), атом. И неатомного поглощения Di неатом.*
-
7.4.4.6 Значение дополнительной относительной погрешности измерений фонового ослабления рассчитывается по формуле (4):
ю
£ D^moMH.
D^eamoMH. ж
-
7.4.4.7 Спектрометр считается прошедшим операцию поверки по дополнительной относительной погрешности измерений фонового ослабления, если полученное значение погрешности Q не превышает ± 4 %.
8 ОФОРМЛЕНИЕ РЕЗУЛЬТАТОВ ПОВЕРКИ
-
8.1 Спектрометры, прошедшие поверку с положительным результатом, признаются годными и допускаются к применению. На них выдается свидетельство о поверке установленной формы с указанием полученных по п.п. 7.4.1 - 7.4.4 фактических значений метрологических характеристик спектрометров (заносятся в протокол см. приложение Б) и (или) наносят оттиск поверительного клейма согласно Приказу Министерства промышленности и торговли Российской Федерации №1815 от 02.07.2015г. «Об утверждении Порядка проведения поверки средств измерений, требования к знаку поверки и содержанию свидетельства о поверке», и спектрометры допускают к эксплуатации.
-
8.2 Спектрометры, прошедшие поверку с отрицательным результатом, признаются непригодными, не допускаются к применению и на них выдается свидетельство о непригодности с указанием причин. Свидетельство о предыдущей поверке и (или) оттиск поверительного клейма аннулируют и выписывают «Извещение о непригодности» с указанием причин в соответствии с требованиями Приказа Министерства промышленности и торговли Российской Федерации №1815 от 02.07.2015г.
Старший научный сотрудник ФГУП «ВНИИОФИ»
Инженер ФГУП «ВНИИОФИ»


Я.И. Ермакова
П.С. Мальцев

ПРИЛОЖЕНИЕ А к Методике поверки Спектрометры атомно-абсорбционные «Квант-2мт», (Квант-2м1»)
МЕТОДИКА ПРИГОТОВЛЕНИЯ АТТЕСТОВАННЫХ КОНТРОЛЬНЫХ РАСТВОРОВ ДЛЯ ПРОВЕРКИ ПАРАМЕТРОВ СПЕКТРОМЕТРА
А.1 Оборудование, посуда и реактивы, используемые при приготовлении основных и контрольных растворов:
АЛЛ Весы лабораторные, 2-ой класс точности А.1.2 Меры массы (гири), 2-ой класс точности А. 1.3 Колбы мерные наливные
АЛЛ Пипетки мерные
А.1.5 Стаканы
|
А.1.6 |
Стакан термостойкий |
В - 1 - 500 ТС | |
|
АЛЛ |
Стаканчики для взвешивания, СВ | ||
|
А.1.8 |
Кислота азотная, |
ХЧ, |
d = 1,42 г/см3 |
|
А.1.9 |
Кислота соляная, |
ХЧ, |
d = 1,19 г/см3 |
|
А.1.10 Ацетат аммония, |
ЧДА | ||
|
А.1.11 Кислота уксусная |
ЧДА | ||
|
А.1.12 Калий хлористый, |
ХЧ | ||
А.1.13 Кальций хлористый: безводный, о.с.ч.
А.1.14 Калий двухромовокислый, х.ч.
ГОСТ Р 53228-2008
ГОСТ OIMLR 111-1-2009
ГОСТ 1770-74
ГОСТ 29227-91;
ГОСТ 25336-82;
ГОСТ 25336-82.
ГОСТ 25336-82.
ГОСТ 4461-77.
ГОСТ 3118-77.
ГОСТ 3117-78.
ГОСТ 61-75.
ГОСТ 4568-95.
ТУ-6-09-3834.
ГОСТ 4220-75.
А.1.15 Натрий хлористый, ХЧ, для спектрального анализа.
А. 1.16 Фильтры обеззоленные “Синяя лента”.
А.1.17 Вода дистиллированная, ГОСТ 6709-72, или бидистиллированная.
А. 1.18 Синтетическое моющее средство для мытья лабораторной посуды (2 г СМС растворяется в 1 дм3 воды).
А. 1.19 Стандартные образцы состава раствора ионов металла с массовой
концентрацией:
|
Алюминий |
- 1000 мг/дм3 |
ГСО 7758-2000; |
|
Барий |
- 1000 мг/дм3 |
ГСО 7760; |
|
Бериллий |
- 1000 мг/дм3 |
ГСО 7759; |
|
Висмут |
- 1000 мг/дм3 |
ГСО 8463; |
|
Железо |
- 1000 мг/дм3 |
ГСО 7110; |
|
Золото |
- 1000 мг/дм3 |
ГСО 8429 |
|
Кадмий |
- 1000 мг/дм3 |
ГСО 7773; |
|
Калий |
- 1000 мг/дм3 |
ГСО 7771; |
|
Кальций |
- 1000 мг/дм3 |
ГСО 7772; |
|
Кобальт |
- 1000 мг/дм3 |
ГСО 7784; |
|
Литий |
- 1000 мг/дм3 |
ГСО 7780; |
|
Магний |
- 1000 мг/дм3 |
ГСО 7767 |
|
Марганец |
- 1000 мг/дм3 |
ГСО 7762; |
|
Медь |
- 1000 мг/дм3 |
ГСО 7764-2000; |
|
Молибден |
- 1000 мг/дм3 |
ГСО 7768; |
|
Мышьяк |
- 100 мг/дм3 |
ГСО 7976-2001; |
|
Натрий |
- 1000 мг/дм3 |
ГСО 7775; |
|
Никель |
- 1000 мг/дм3 |
ГСО 7785; |
|
Олово |
- 1000 мг/дм3 |
ГСО 7776; |
|
Палладий |
- 1000 мг/дм3 |
ГСО 8432; |
Платина Родий Ртуть Рубидий Рутений Свинец Селен Серебро Стронций Сурьма Теллур Титан Хром Цинк
-
- 1 000 мг/дм3
-
- 1000 мг/дм3
-
- 1 000 мг/дм3
-
- 1000 мг/дм3
-
- 1000 мг/дм3
-
- 1000 мг/дм3
-
- 1000 мг/дм3
-
- 1000 мг/дм3
-
- 1000 мг/дм3
-
- 1000 мг/дм3
-
- 1000 мг/дм3
-
- 2000 мг/дм3
-
- 1000 мг/дм3
-
- 1000 мг/дм3
ГСО 8431;
ГСО 8793;
ГСО 7879-2001;
МСО 1058:2004;
ГСО 8856;
ГСО 7778-2000;
ГСО 7779;
ГСО 8204;
ГСО 7783;
ГСО 8402;
МСО 0529;
ГСО 8464;
ГСО 7781;
ГСО 7769.
Границы относительной погрешности концентрации в указанных выше стандартных образцах состава раствора ионов металла составляют 1 % при
доверительной вероятности Р=0,95.
Допускается применение стандартных образцов состава с другими значениями массовой концентрации ионов металлов при условии обеспечения погрешностей концентрации в полученных контрольных растворах не более указанных в настоящей методике.
А. 1.20 При использовании растворов стандартных образцов следует руководствоваться требованиями безопасности в соответствии с ГОСТ 12.1.005-88 и ГОСТ 12.1.007-76. Отходы, которые могут оказать вредное действие на работающих и окружающую среду (мышьяк!) должны быть обезврежены.
А.2 Подготовка посуды
А.2.1 Новую или загрязненную посуду промыть раствором СМС (п. А 1.18), затем водопроводной водой, после этого прополоскать дистиллированной водой. Непосредственно перед использованием посуду промыть азотной кислотой концентрацией 1 моль/дм3 (65 см3 азотной кислоты поместить в мерную колбу вместимостью 1 дм3 и довести до метки дистиллированной водой).
А.2.2 Новую посуду, предназначенную для хранения растворов с концентрацией ионов металлов менее 1 мг/дм3 промыть согласно п. А2.1, заполнить раствором, подлежащим хранению, выдержать не менее 8 часов, слить раствор и ополоснуть 10 дм3 дистиллированной воды.
А.З Приготовление фоновых растворов
А.3.1 Приготовление 2 М раствора азотной кислоты (фоновый раствор № 1)
128 см3 азотной кислоты (п. А. 1.8) поместить в мерную колбу вместимостью 1 дм3, довести до метки дистиллированной водой, перемешать.
А.3.2 Приготовление 1М раствора азотной кислоты (фоновый раствор № 2)
65 см3 азотной кислоты поместить в мерную колбу вместимостью 1 дм3, довести до метки дистиллированной водой, перемешать
А.3.3 Приготовление 0,1 М раствора азотной кислоты (фоновый раствор № 3)
6,5 с м3 азотной кислоты поместить в мерную колбу вместимостью 1 дм3, довести до метки дистиллированной водой, перемешать.
А.3.4 Приготовление ацетат - аммонийного буферного раствора (фоновый раствор № 4)
-
15,4 г ацетата аммония (п. А. 1.10) поместить в стакан, растворить в 200 см3 дистиллированной воды, добавить 4 см3 уксусной кислоты, перемешать и отфильтровать через фильтр “Синяя лента” в мерную колбу вместимостью 1 дм3. Раствор в колбе довести до метки дистиллированной водой, перемешать.
А.3.5 Приготовление 0,01 М раствора хлористого калия (фоновый раствор №5)
0,75 г хлористого калия (п. А. 1.12) поместить в стакан, растворить в 200 см3 дистиллированной воды, добавить 6,5 см3 азотной кислоты (п. А. 1.8), перемешать. Раствор перелить в мерную колбу вместимостью 1 дм3, довести до метки дистиллированной водой, перемешать.
А.3.6 Приготовление 0,1М раствора хлористого кальция - аттестованной смеси (фоновый раствор № 6)
5,5г безводного хлористого кальция (п. А. 1.13) поместить в стакан, растворить в 200 см3 дистиллированной воды, поместить в мерную колбу вместимостью 500 см3, перемешать.
А.3.7 Приготовление 6 М раствора соляной кислоты (фоновый раствор № 7)
486 см3 соляной кислоты (п. А. 1.9) поместить в мерную колбу вместимостью 1 дм3, довести до метки дистиллированной водой, перемешать.
А.3.8 Приготовление 1М раствора соляной кислоты (фоновый раствор № 8)
81 см3 соляной кислоты поместить в мерную колбу вместимостью 1 дм3, довести до метки дистиллированной водой, перемешать.
А.3.9 Приготовление раствора двухромовокислого калия (фоновый раствор №9)
4 г двухромовокислого калия К2СГ2О7 (А. 1.14) растворить в 40-50 см3 дистиллированной воды в мерной колбе вместимостью 100 см3, затем довести объём раствора до метки дистиллированной водой.
Отобрать 50 см3 концентрированной азотной кислоты (п. А. 1.8) и 5 см3 полученного раствора двухромовокислого калия, перенести в мерную колбу вместимостью 1 дм3, довести до метки дистиллированной водой, перемешать.
А.3.10 Приготовление 0,01 М раствора хлористого натрия (фоновый раствор №10)
0,58 г хлористого натрия (п. А. 1.15) поместить в стакан, растворить в 200 см3 дистиллированной воды, добавить 6,5 см3 азотной кислоты (п. А. 1.8), перемешать. Раствор перелить в мерную колбу вместимостью 1 дм3, довести до метки дистиллированной водой, перемешать.
А.4 Приготовление контрольных растворов
Контрольные растворы для работы в АА, АА ГРГ и АЭ режимах приготавливать в соответствии с указаниями таблицы А. 1.
В таблицах А.1 и А.2 приняты следующие обозначения:
Спригот. ~ концентрация элемента в приготавливаемом контрольном
растворе;
Сисх. - концентрация элемента в исходном растворе, используемом
для приготовления.
Вносимый объём - объём исходного раствора, вносимый с помощью пипетки в мерную колбу.
№ фона - номер фонового раствора, используемого для разбавления и доведения до метки в мерной колбе (см. п. АЗ).
Погреши. - граничное значение относительной погрешности концентрации элемента в контрольном растворе при доверительной вероятности 0,95.
Концентрации элементов, соответствующие ГСО, выделены в таблицах жирным шрифтом.
Таблица А.1
|
Элемент |
Спригот. мг/дм3 |
Сисх-МГ /дм3 |
Вносимый объём, см3 |
№ фона |
Объём доведения до метки, см3 |
Срок хранения |
Погреши. % |
|
Ад |
50 |
1000 |
5 |
1;см.прим.2 |
100 |
3 месяца |
2 |
|
Ад |
5 |
50 |
10 |
2 |
100 |
10 дней |
2 |
|
Ад |
1 |
50 |
2 |
2 |
100 |
10 дней |
2 |
|
Ад |
0,1 |
1 |
10 |
2 |
100 |
1 день |
2 |
|
Ад |
0,01 |
1 |
1 |
2 |
100 |
1 день |
3 |
|
Ад |
0,005 |
1 |
1 |
2 |
200 |
1 день |
3 |
|
AI |
50 |
1000 |
5 |
5 |
100 |
3 месяца |
2 |
|
AI |
10 |
50 |
20 |
5 |
100 |
10 дней |
2 |
|
AI |
2 |
10 |
20 |
5 |
100 |
10 дней |
2 |
|
AI |
0,2 |
2 |
10 |
5 |
100 |
1 день |
3 |
|
AI |
0,1 |
2 |
5 |
5 |
100 |
1 день |
3 |
|
As |
10 |
100 |
5 |
1 |
50 |
3 месяца |
2 |
|
As |
1 |
10 |
10 |
1 |
100 |
10 дней |
2 |
|
As |
0,01 |
1 |
2 |
1 |
200 |
1 день |
2 |
|
As |
0,008 |
1 |
2 |
1 |
250 |
1 день |
2 |
|
As |
0,004 |
1 |
1 |
1 |
250 |
1 день |
3 |
|
As |
0,002 |
0,01 |
20 |
1 |
100 |
1 день |
3 |
|
As |
0,001 |
0,01 |
10 |
1 |
100 |
1 день |
3 |
|
Au |
100 |
1000 |
5 |
8;см.прим.2 |
50 |
3 месяца |
2 |
|
Au |
10 |
100 |
10 |
8 |
100 |
10 дней |
2 |
|
Au |
5 |
100 |
5 |
8 |
100 |
10 дней |
2 |
|
Au |
0,5 |
5 |
10 |
8 |
100 |
1 день |
2 |
|
Au |
0,05 |
5 |
1 |
8 |
100 |
1 день |
3 |
|
Au |
0,02 |
0,5 |
10 |
8 |
250 |
1 день |
3 |
|
Ba |
20 |
1000 |
5 |
5 |
250 |
3 месяца |
2 |
|
Ba |
5 |
20 |
50 |
5 |
200 |
10 дней |
2 |
|
Ba |
1 |
20 |
10 |
5 |
200 |
10 дней |
2 |
|
Ba |
0,2 |
5 |
10 |
5 |
250 |
1 день |
2 |
|
Ba |
0,1 |
1 |
10 |
5 |
100 |
1 день |
3 |
|
Be |
20 |
1000 |
5 |
1 |
250 |
3 месяца |
2 |
|
Be |
0,5 |
20 |
5 |
3 |
200 |
10 дней |
2 |
|
Be |
0,2 |
20 |
2 |
3 |
200 |
10 дней |
2 |
|
Be |
0,05 |
0,5 |
10 |
3 |
100 |
1 день |
2 |
|
Be |
0,01 |
0,5 |
2 |
3 |
100 |
1 день |
3 |
|
Be |
0,005 |
0,5 |
2 |
3 |
200 |
1 день |
3 |
|
Bi |
50 |
1000 |
5 |
1 |
100 |
3 месяца |
2 |
|
Bi |
10 |
50 |
20 |
2 |
100 |
10 дней |
2 |
|
Bi |
2 |
10 |
20 |
2 |
100 |
10 дней |
2 |
|
Bi |
0,5 |
10 |
5 |
2 |
100 |
1 день |
2 |
|
Bi |
0,1 |
2 |
5 |
2 |
100 |
1 день |
3 |
|
Bi |
0,05 |
0,5 |
10 |
2 |
100 |
1 день |
3 |
|
Элемент |
Спригот, мг/дм3 |
Сисх-мг/дм3 |
Вносимый объём,см3 |
№ фона |
Объём доведения до метки, см3 |
Срок хранения |
Погреши. % |
|
Cd |
20 |
1000 |
5 |
1 |
250 |
3 месяца |
2 |
|
Cd |
0,5 |
20 |
5 |
3 |
200 |
10 дней |
2 |
|
Cd |
0,2 |
20 |
2 |
3 |
200 |
10 дней |
2 |
|
Cd |
0,05 |
0,5 |
10 |
3 |
100 |
1 день |
2 |
|
Cd |
0,01 |
0,5 |
2 |
3 |
100 |
1 день |
3 |
|
Cd |
0,005 |
0,5 |
2 |
3 |
200 |
1 день |
3 |
|
Co |
50 |
1000 |
5 |
1 |
100 |
3 месяца |
2 |
|
Co |
2 |
50 |
10 |
3 |
250 |
10 дней |
2 |
|
Co |
1 |
50 |
2 |
3 |
100 |
10 дней |
2 |
|
Co |
0,5 |
50 |
2 |
3 |
200 |
10 дней |
2 |
|
Co |
0,1 |
2 |
5 |
3 |
100 |
1 день |
3 |
|
Co |
0,05 |
1 |
10 |
3 |
200 |
1 день |
3 |
|
Cr |
50 |
1000 |
5 |
1 |
100 |
3 месяца |
2 |
|
Cr |
2 |
50 |
10 |
3 |
250 |
10 дней |
2 |
|
Cr |
1 |
50 |
2 |
3 |
100 |
10 дней |
2 |
|
Cr |
0,5 |
50 |
1 |
3 |
100 |
10 дней |
2 |
|
Cr |
0,1 |
2 |
5 |
3 |
100 |
1 день |
3 |
|
Cr |
0,05 |
1 |
10 |
3 |
200 |
1 день |
3 |
|
Cu |
50 |
1000 |
5 |
1 |
100 |
3 месяца |
2 |
|
Cu |
5 |
50 |
10 |
3 |
100 |
10 дней |
2 |
|
Cu |
1 |
50 |
2 |
3 |
100 |
10 дней |
2 |
|
Cu |
0,1 |
1 |
10 |
3 |
100 |
1 день |
2 |
|
Cu |
0,01 |
1 |
1 |
3 |
100 |
1 день |
3 |
|
Cu |
0,005 |
1 |
1 |
3 |
200 |
1 день |
3 |
|
Fe |
50 |
1000 |
5 |
1 |
100 |
3 месяца |
2 |
|
Fe |
2 |
50 |
10 |
2 |
250 |
10 дней |
2 |
|
Fe |
1 |
50 |
2 |
2 |
100 |
1 день |
2 |
|
Fe |
0,5 |
50 |
2 |
2 |
200 |
1 день |
2 |
|
Fe |
0,1 |
2 |
5 |
2 |
100 |
1 день |
3 |
|
Fe |
0,05 |
1 |
10 |
2 |
200 |
1 день |
3 |
|
Ca |
50 |
1000 |
5 |
5 |
100 |
3 месяца |
2 |
|
Ca |
10 |
50 |
20 |
5 |
100 |
10 дней |
2 |
|
Ca |
2 |
10 |
20 |
5 |
100 |
10 дней |
2 |
|
Ca |
0,5 |
10 |
5 |
5 |
100 |
1 день |
3 |
|
Ca |
0,1 |
2 |
5 |
5 |
100 |
1 день |
3 |
|
Ca |
0,05 |
0,5 |
10 |
5 |
100 |
1 день |
3 |
|
Hg |
20 |
1000 |
5 |
9 |
250 |
3 месяца |
2 |
|
Hg |
1 |
20 |
5 |
9 |
100 |
10 дней |
2 |
|
Hg |
0,01 |
1 |
2 |
9 |
200 |
1 день |
2 |
|
Hg |
0,005 |
1 |
1 |
9 |
200 |
1 день |
2 |
|
Hg |
0,002 |
0,01 |
20 |
9 |
100 |
1 день |
3 |
|
Hg |
0,0005 |
0,01 |
10 |
9 |
200 |
1 день |
3 |
|
Hg |
0,0002 |
0,01 |
5 |
9 |
250 |
1 день |
3 |
|
Элемент |
Спригот мг/дм3 |
Смех-мг/дм3 |
Вносимый объём,см3 |
№ фона |
Объём доведения до метки, см3 |
Срок хранения |
Погреши. % |
|
Sb |
50 |
1000 |
5 |
8 |
100 |
3 месяца |
2 |
|
Sb |
5 |
50 |
10 |
8 |
100 |
10 дней |
2 |
|
Sb |
2 |
50 |
10 |
8 |
250 |
10 дней |
2 |
|
Sb |
0,5 |
5 |
10 |
8 |
100 |
1 день |
2 |
|
Sb |
0,2 |
2 |
10 |
8 |
100 |
1 день |
2 |
|
Sb |
0,1 |
2 |
5 |
8 |
100 |
1 день |
2 |
|
К |
20 |
1000 |
5 |
10 (10 см3)+ 2 (до метки) |
250 |
3 месяца |
2 |
|
К |
2 |
20 |
10 |
10 (10 см3)+ 3 (до метки) |
100 |
10 дней |
2 |
|
К |
0,5 |
20 |
5 |
10 (10 см3)+ 3 (до метки) |
200 |
10 дней |
2 |
|
К |
0,2 |
20 |
2 |
10 (10 см3)+ 3 (до метки) |
200 |
10 дней |
2 |
|
К |
0,05 |
0,5 |
10 |
10 (10 см3)+ 3 (до метки) |
100 |
1 день |
3 |
|
К |
0,01 |
0,5 |
2 |
10 (10 см3)+ 3 (до метки) |
100 |
1 день |
3 |
|
К |
0,005 |
0,5 |
2 |
10 (10 см3)+ 3 (до метки) |
200 |
1 день |
3 |
|
Li |
20 |
1000 |
5 |
5 (10 см3)+ 2 (до метки) |
250 |
3 месяца |
2 |
|
Li |
2 |
20 |
10 |
5 (10 см3) + 3 (до метки) |
100 |
10 дней |
2 |
|
Li |
0,5 |
20 |
5 |
5 (10 см3)+ 3 (до метки) |
200 |
10 дней |
2 |
|
Li |
0,2 |
20 |
2 |
5 (10 см3)+ 3 (до метки) |
200 |
10 дней |
2 |
|
Li |
0,05 |
0,5 |
10 |
5 (10 см3)+ 3 (до метки) |
100 |
1 день |
3 |
|
Li |
0,01 |
0,5 |
2 |
5 (10 см3)+ 3 (до метки) |
100 |
1 день |
3 |
|
Li |
0,005 |
0,5 |
2 |
5(10 см3)+ 3 (до метки) |
200 |
1 день |
3 |
|
Mg |
20 |
1000 |
5 |
1 |
250 |
3 месяца |
2 |
|
Mg |
0,5 |
20 |
5 |
3 |
200 |
10 дней |
2 |
|
Mg |
0,2 |
20 |
2 |
3 |
200 |
10 дней |
2 |
|
Mg |
0,05 |
0,5 |
10 |
3 |
100 |
1 день |
2 |
|
Mg |
0,01 |
0,5 |
2 |
3 |
100 |
1 день |
3 |
|
Mg |
0,005 |
0,5 |
2 |
3 |
200 |
1 день |
3 |
|
Mn |
20 |
1000 |
5 |
1 |
250 |
3 месяца |
2 |
|
Mn |
0,5 |
20 |
5 |
2 |
200 |
10 дней |
2 |
|
Mn |
0,2 |
20 |
2 |
2 |
200 |
10 дней |
2 |
|
Mn |
0,05 |
0,5 |
10 |
2 |
100 |
1 день |
2 |
|
Mn |
0,01 |
0,5 |
2 |
2 |
100 |
1 день |
3 |
|
Mn |
0,005 |
0,5 |
2 |
2 |
200 |
1 день |
3 |
|
Mo |
20 |
1000 |
5 |
8 |
250 |
3 месяца |
2 |
|
Mo |
5 |
20 |
50 |
8 |
200 |
10 дней |
2 |
|
Mo |
1 |
20 |
10 |
8 |
200 |
10 дней |
2 |
|
Mo |
0,2 |
5 |
10 |
8 |
250 |
10 дней |
3 |
|
Mo |
0,1 |
1 |
10 |
8 |
100 |
1 день |
3 |
|
Элемент |
Спригот мг/дм |
Сиех-мг/дм |
Вносимый объём,см3 |
№ фона |
Объём доведения до метки, см3 |
Срок хранения |
Погреши. % |
|
Na |
20 |
1000 |
5 |
5 (10 см5)+ 2 (до метки) |
250 |
3 месяца |
2 |
|
Na |
2 |
20 |
10 |
5 (10 см5)+ 3 (до метки) |
100 |
10 дней |
2 |
|
Na |
0,5 |
20 |
5 |
5 (10 см5)+ 3 (до метки) |
200 |
10 дней |
2 |
|
Na |
0,2 |
20 |
2 |
5 (10 см5)+ 3 (до метки) |
200 |
10 дней |
2 |
|
Na |
0,05 |
0,5 |
10 |
5 (10 см5)+ 3 (до метки) |
100 |
1 день |
3 |
|
Na |
0,01 |
0,5 |
2 |
5 (10 см5)+ 3 (до метки) |
100 |
1 день |
3 |
|
Na |
0,005 |
0,5 |
2 |
10 (10 см5)+ 3 (до метки) |
200 |
1 день |
3 |
|
Ni |
50 |
1000 |
5 |
1 |
100 |
3 месяца |
2 |
|
Ni |
2 |
50 |
10 |
3 |
250 |
10 дней |
2 |
|
Ni |
1 |
50 |
2 |
3 |
100 |
10 дней |
2 |
|
Ni |
0,5 |
50 |
2 |
3 |
200 |
10 дней |
2 |
|
Ni |
0,1 |
2 |
5 |
3 |
100 |
1 день |
3 |
|
Ni |
0,05 |
1 |
10 |
3 |
200 |
1 день |
3 |
|
Pb |
100 |
1000 |
5 |
1 |
50 |
3 месяца |
2 |
|
Pb |
10 |
100 |
10 |
2 |
100 |
10 дней |
2 |
|
Pb |
5 |
100 |
5 |
2 |
100 |
10 дней |
2 |
|
Pb |
0,5 |
5 |
10 |
2 |
100 |
10 дней |
2 |
|
Pb |
0,05 |
5 |
1 |
2 |
100 |
1 день |
3 |
|
Pb |
0,02 |
0,5 |
10 |
2 |
250 |
1 день |
3 |
|
Pd |
50 |
1000 |
5 |
8 |
100 |
3 месяца |
2 |
|
Pd |
2 |
50 |
10 |
8 |
250 |
10 дней |
2 |
|
Pd |
1 |
50 |
2 |
8 |
100 |
10 дней |
2 |
|
Pd |
0,5 |
50 |
1 |
8 |
100 |
10 дней |
2 |
|
Pd |
0,1 |
2 |
5 |
8 |
100 |
1 день |
3 |
|
Pd |
0,05 |
1 |
10 |
8 |
200 |
1 день |
3 |
|
Pt |
50 |
1000 |
5 |
9 (3 капли) + 8 (до метки) |
100 |
3 месяца |
2 |
|
Pt |
20 |
1000 |
2 |
9 (3 капли) + 8 (до метки) |
100 |
10 дней |
2 |
|
Pt |
10 |
50 |
20 |
9 (3 капли) + 8 (до метки) |
100 |
10 дней |
2 |
|
Pt |
5 |
50 |
10 |
9 (3 капли) + 8 (до метки) |
100 |
10 дней |
2 |
|
Pt |
2 |
20 |
10 |
9 (3 капли) + 8 (до метки) |
100 |
10 дней |
2 |
|
Rb |
5 |
100 |
5 |
5 (10 см5)+ 2 (до метки) |
100 |
3 месяца |
2 |
|
Rb |
2 |
100 |
2 |
5 (10 см5)+ 3 (до метки) |
100 |
10 дней |
2 |
|
Rb |
0,5 |
5 |
10 |
5 (10 см5)+ 3 (до метки) |
100 |
10 дней |
2 |
|
Rb |
0,05 |
0,5 |
10 |
5 (10 см5)+ 3 (до метки) |
100 |
1 день |
3 |
|
Rb |
0,02 |
2 |
1 |
5 (10см5)+3 (до метки) |
100 |
1 день |
3 |
|
Элемент |
Спригот. мг/дм3 |
Смех-мг/дм3 |
Вносимый объём, см3 |
№ фона |
Объём доведения до метки, см3 |
Срок хранения |
Погреши. % |
|
Rh |
100 |
1000 |
5 |
9 (3 капли) + 8 (до метки) |
50 |
3 месяца |
2 |
|
Rh |
10 |
100 |
10 |
9 (3 капли) + 8 (до метки) |
100 |
10 дней |
2 |
|
Rh |
5 |
100 |
5 |
9 (3 капли) + 8 (до метки) |
100 |
10 дней |
2 |
|
Rh |
0,5 |
5 |
10 |
9 (3 капли) + 8 (до метки) |
100 |
10 дней |
2 |
|
Rh |
0,05 |
5 |
1 |
9 (3 капли) + 8 (до метки) |
100 |
1 день |
3 |
|
Rh |
0,02 |
0,5 |
10 |
9 (3 капли) + 8 (до метки) |
250 |
1 день |
3 |
|
Ru |
100 |
1000 |
5 |
9 (3 капли) + 8 (до метки) |
50 |
3 месяца |
2 |
|
Ru |
10 |
100 |
10 |
9 (3 капли) + 8 (до метки) |
100 |
10 дней |
2 |
|
Ru |
5 |
100 |
5 |
9 (3 капли) + 8 (до метки) |
100 |
10 дней |
2 |
|
Ru |
0,5 |
5 |
10 |
9 (3 капли) + 8 (до метки) |
100 |
10 дней |
2 |
|
Ru |
0,05 |
5 |
1 |
9 (3 капли) + 8 (до метки) |
100 |
1 день |
3 |
|
Ru |
0,02 |
0,5 |
10 |
9 (3 капли) + 8 (до метки) |
250 |
1 день |
3 |
|
Se |
10 |
1000 |
2 |
7 |
200 |
3 месяца |
2 |
|
Se |
1 |
10 |
10 |
См. примем. 1 |
100 |
10 дней |
2 |
|
Se |
0,01 |
1 |
2 |
8 |
200 |
1 день |
2 |
|
Se |
0,008 |
1 |
2 |
8 |
250 |
1 день |
2 |
|
Se |
0,004 |
1 |
1 |
8 |
250 |
1 день |
3 |
|
Se |
0,002 |
0,01 |
20 |
8 |
100 |
1 день |
3 |
|
Se |
0,001 |
0,01 |
10 |
8 |
100 |
1 день |
3 |
|
Sn |
200 |
1000 |
5 |
8 |
25 |
3 месяца |
2 |
|
Sn |
50 |
1000 |
5 |
8 |
100 |
10 дней |
2 |
|
Sn |
20 |
200 |
5 |
8 |
50 |
10 дней |
2 |
|
Sn |
5 |
50 |
10 |
8 |
100 |
10 дней |
2 |
|
Sn |
2 |
20 |
5 |
8 |
50 |
10 дней |
2 |
|
Sr |
100 |
1000 |
5 |
5 |
50 |
3 месяца |
2 |
|
Sr |
10 |
100 |
10 |
5 |
100 |
10 дней |
2 |
|
Sr |
5 |
100 |
5 |
5 |
100 |
10 дней |
2 |
|
Sr |
0,5 |
5 |
10 |
5 |
100 |
10 дней |
2 |
|
Sr |
0,05 |
5 |
1 |
5 |
100 |
1 день |
3 |
|
Sr |
0,02 |
0,5 |
10 |
5 |
250 |
1 день |
3 |
|
Те |
50 |
1000 |
5 |
8 |
100 |
3 месяца |
2 |
|
Те |
5 |
50 |
10 |
8 |
100 |
10 дней |
2 |
|
Те |
2 |
50 |
10 |
8 |
250 |
10 дней |
2 |
|
Те |
0,5 |
5 |
10 |
8 |
100 |
1 день |
2 |
|
Те |
0,2 |
2 |
10 |
8 |
100 |
1 день |
2 |
|
Те |
0,1 |
2 |
5 |
8 |
100 |
1 день |
2 |
Окончание таблицы А.1
|
Элемент |
Спригот мг/дм3 |
Сисх-мг/дм 3 |
Вносимый объём, см3 |
№ фона |
Объем доведения до метки, см3 |
Срок хранения |
Погреши. % |
|
Ti |
100 |
2000 |
5 |
8 |
100 |
3 месяца |
2 |
|
Ti |
20 |
100 |
20 |
8 |
100 |
10 дней |
2 |
|
Ti |
5 |
100 |
10 |
8 |
200 |
10 дней |
2 |
|
Ti |
1 |
20 |
10 |
8 |
200 |
10 дней |
2 |
|
Ti |
0,5 |
20 |
5 |
8 |
200 |
10 дней |
2 |
|
Zn |
20 |
1000 |
5 |
1 |
250 |
3 месяца |
2 |
|
Zn |
0,5 |
20 |
5 |
3 |
200 |
10 дней |
2 |
|
Zn |
0,2 |
20 |
2 |
3 |
200 |
10 дней |
2 |
|
Zn |
0,05 |
0,5 |
10 |
3 |
100 |
1 день |
3 |
|
Zn |
0,01 |
0,5 |
2 |
3 |
100 |
1 день |
3 |
|
Zn |
0,005 |
0,5 |
2 |
3 |
200 |
1 день |
3 |
Примечания
-
1 Ввести 50 см3 фонового раствора № 7. Содержимое перемешать и установить колбу на кипящую водяную баню. Через 30 мин. колбу снять, дать остыть до комнатной температуры, довести до метки фоновым раствором № 7, перемешать.
-
2 Растворы хранить в защищенном от света месте.
А.5 Проверка правильности приготовления контрольных растворов
А.5.1 Проверку правильности приготовления контрольных растворов рекомендуется проводить в следующих случаях:
-
- если найденное значение систематической погрешности для какого-либо из элементов превышает предельно допустимое значение, приведённое в одной из таблиц 6, И, 14;
-
- если в результате калибровки, проведённой с использованием данного раствора, вычисленное значение характеристической концентрации существенно (более чем в 2 раза) отличается от значения, приведённого для данного элемента;
-
- в других случаях, когда возникает предположение о грубой ошибке, допущенной в ходе приготовления контрольных растворов.
А.5.2 Для проведения поверки необходимо приготовить два параллельных контрольных раствора одинаковой концентрации. При этом необходимо использовать одну и ту же ампулу со стандартным образцом ионов и одни и те же пипетки на каждом этапе разбавления.
Для каждого из этих растворов провести серию из 5 измерений концентрации анализируемого элемента и вычислить относительные значения CKO (5i и <52 по формулам 1, 2, приведённым в “Методике поверки”. Результаты, полученные в этих сериях измерений, проверяют с помощью двух статистических критериев:
-
- на равнорассеянность;
-
- на совпадение средних значений.
А.5.3 Для проверки результатов двух серий измерений на равнорассеянность используется неравенство:
(ct-i / (Т2)2 < Fp (ff f2) (A.l)(так называемый, F - критерий).
Здесь Fp (fi f2) - распределение Фишера при доверительной
вероятности р, fi,f2- число степеней свободы для соответствующих серий измерений. Принять р=0,95; fi=f2=4.
При этом неравенство (А.1) принимает вид:
(а,1аг)2 <6,4 (А.2)При выполнении условия однородности дисперсий (А.2) значение СКО для заданной концентрации рассчитывается по формуле (А.З):
(А.З)А.5.4 Для проверки результатов двух серий измерений на совпадение средних значений используется критерий Стьюдента. Считается, что различие средних значений, полученных в двух сериях измерений, не являются статистически значимыми, если выполняется неравенство:

• V5 < t(0.95,8)
Здесь С] и С2 - средние значения концентраций, полученные в каждой серии измерений, t (0,95; 8) - коэффициент Стьюдента для доверительной вероятности 0,95 и числа степеней свободы = 8 (согласно ГОСТ 8.736-2011).
А.5.5 Контрольные растворы считаются правильно приготовленными, если обе проверки - на равнорассеянность по п. А.5.3 и на совпадение средних значений по п. А.5.4, дали положительные результаты.
ПРИЛОЖЕНИЕ Б к Методике поверки «Спектрометры атомно-абсорбционные моделей «Квант-2мт», «Квант-2м1»»
ПРОТОКОЛ
первичной / периодической поверки от «_______»____________201__года
Средство измерений: Спектрометры атомно-абсорбционные моделей «Квант-2мт», «Квант-2м1»____________________________________________________________________
(Наименование СИ, тип (если в состав СИ входит несколько автономных блоков
то приводят их перечень (наименования) и типы с разделением знаком «косая дробь» /)
Зав.№_______
№/№___________________________________________
Заводские номера блоков
Принадлежащее______________________________________________________
Наименование юридического лица, ИНН
Поверено в соответствии с методикой поверки «Спектрометры атомноабсорбционные моделей «Квант-2мт», «Квант-2м1», Методика поверки МП .Д4-15», утвержденной_________ФГУП_________«ВНИИОФИ»__________________2015
года._________________________________________________________________________________________
Наименование документа на поверку, кем утвержден (согласован), дата
С применением талонов__________________________________________________
(наименование, заводской номер, разряд, класс точности или погрешность)
При следующих значениях влияющих факторов:
(приводят перечень и значения влияющих факторов, нормированных в методике поверки)
-
- температура окружающего воздуха, °C 20 ± 5
-
- относительная влажность воздуха, %, не 80
более
-
- атмосферное давление, кПа 84-107
Получены результаты поверки метрологических характеристик:
|
Характеристика |
Результат |
Требования методики поверки |
Рекомендации__________________________________________________________
Средство измерений признать пригодным (или непригодным) для применения
Исполнители:_____________________________________________________________
_________________________________________подписи, ФИО,
должность
