Методика поверки «ГСИ. Система измерительная массового расхода (массы) пропан-пропиленовой фракции цеха №01 ЗБ ОАО «ТАИФ-НК»» (МП 1301/1-311229-2016)

Регистрационный № RA.RU.311229 выдан 30.07.2015 г.
«УТВЕРЖДАЮ»
2016 г.
«СТП»
И.А. Яценко
Государственная система обеспечения единства измерении
Система измерительная массового расхода (массы) пропан-пропиленовон фракции цеха №01 ЗБ ОАО «ТАИФ-НК»
МЕТОДИКА ПОВЕРКИ
МП 1301/1-311229-2016
г. Казань
2016
СОДЕРЖАНИЕ
1 ВВЕДЕНИЕ-
1.1 Настоящая методика поверки распространяется на систему измерительную массового расхода (массы) пропан-пропиленовой фракции цеха №01 ЗБ ОАО «ТАИФ-НК», изготовленную и принадлежащую ЗБ ОАО «ТАИФ-НК», г. Нижнекамск и устанавливает методику первичной поверки до ввода в эксплуатацию и после ремонта, а также методику периодической поверки в процессе эксплуатации.
-
1.2 Система измерительная массового расхода (массы) пропан-пропиленовой фракции цеха №01 ЗБ ОАО «ТАИФ-НК» (далее - ИС) предназначена для измерения массового расхода (массы) пропан-пропиленовой фракции.
-
1.3 Принцип действия ИС заключается в непрерывном измерении, преобразовании и обработке:
-контроллера измерительного ROC 809 (Госреестр №14661-08) входного сигнала поступающего по измерительному каналу от счетчика-расходомера массового Micro Motion модели CMF200 с преобразователем серии 2700 (Госреестр №13425-06);
- комплекса измерительно-вычислительного CENTUM CS3000 (Госреестр №21532-08) входных сигналов поступающих по измерительным каналам от преобразователя давления измерительного EJA430A (Госреестр №14495-00) и преобразователя термоэлектрического ТХК9312 (Госреестр №14590-95).
-
1.4 Поверка ИС проводится поэлементно:
-
- поверка первичных измерительных преобразователей, входящих в состав ИС, осуществляется в соответствии с их методиками поверки;
-
- вторичную («электрическую») часть поверяют на месте эксплуатации ИС в соответствии с настоящей методикой поверки;
-
- метрологические характеристики ИС определяют расчетным методом в соответствии с настоящей методикой поверки.
-
1.5 Интервал между поверками первичных измерительных преобразователей, входящих в состав ИС, - в соответствии с описаниями типа на эти средства измерений (далее - СИ).
-
1.6 Интервал между поверками ИС - 2 года.
При проведении поверки должны быть выполнены операции, приведенные в таблице 2.1.
Таблица 2.1 - Операции поверки
|
№ п/п |
Наименование операции |
Номер пункта методики поверки |
|
1 |
Проверка технической документации |
7.1 |
|
2 |
Внешний осмотр |
7.2 |
|
3 |
Опробование |
7.3 |
|
4 |
Определение метрологических характеристик |
7.4 |
|
5 |
Оформление результатов поверки |
8 |
3 СРЕДСТВА ПОВЕРКИ
-
3.1 При проведении поверки ИС применяют эталоны и СИ, приведенные в таблице 3.1.
Таблица 3.1 - Основные эталоны и СИ
|
Номер пункта методики |
Наименование и тип основного и вспомогательного средства поверки и метрологические и основные технические характеристики средства поверки |
|
5 |
Барометр-анероид М-67 с пределами измерений от 610 до 790 мм рт.ст., погрешность измерений ± 0,8 мм рт.ст., по ТУ 2504-1797-75. |
|
5 |
Психрометр аспирационный М34, пределы измерений влажности от 10% до 100 %, погрешность измерений ±5 %. |
|
5 |
Термометр ртутный стеклянный ТЛ-4 (№ 2) с пределами измерений от 0 °C до 55 °C по ГОСТ 28498-90. Цена деления шкалы 0,1 °C. |
|
7.4 |
Калибратор многофункциональный MC5-R-IS (далее - калибратор): диапазон воспроизведения силы постоянного тока от 0 до 25 мА, пределы допускаемой основной погрешности воспроизведения ±(0,02 % показания + 1 мкА); диапазон воспроизведения напряжения постоянного тока от минус 250 до 250 мВ, пределы допускаемой основной погрешности воспроизведения ±(0,02 % показания + 4 мкВ); диапазон воспроизведения последовательности импульсов от 0 до 9999999 имп. |
-
3.2 Допускается использование других эталонов и СИ по своим характеристикам не уступающим, указанным в таблице 3.1.
-
3.3 Все применяемые СИ должны иметь действующие поверительные клейма или свидетельства о поверке.
-
4.1 При проведении поверки должны соблюдаться следующие требования:
-
- корпуса применяемых СИ должны быть заземлены в соответствии с их эксплуатационной документацией;
-
- ко всем используемым СИ должен быть обеспечен свободный доступ для заземления, настройки и измерений;
-
- работы по соединению вспомогательных устройств должны выполняться до подключения к сети питания;
-
- обеспечивающие безопасность труда, производственную санитарию и охрану окружающей среды;
-
- предусмотренные «Правилами технической эксплуатации электроустановок потребителей» и эксплуатационной документацией оборудования, его компонентов и применяемых средств поверки.
-
4.2 К работе по поверке должны допускаться лица:
-
- достигшие 18-летнего возраста;
-
- прошедшие инструктаж по технике безопасности в установленном порядке;
-
- изучившие эксплуатационную документацию на ИС, СИ, входящие в состав ИС, и средства поверки.
При проведении поверки должны соблюдаться следующие условия:
-
- температура окружающего воздуха, °C (20±5)
-
- относительная влажность, % от 30 до 80
-
- атмосферное давление, кПа от 84 до 106
Перед проведением поверки выполняют следующие подготовительные операции:
-
- проверяют заземление СИ, работающих под напряжением;
-
- эталонные СИ и вторичные измерительные преобразователи ИС устанавливают в рабочем положение с соблюдением указаний эксплуатационной документации;
-
- эталонные СИ и вторичные измерительные преобразователи ИС выдерживают при температуре, указанной в разделе 5, не менее 3 часов, если время их выдержки не указано в эксплуатационной документации;
-
- осуществляют соединение и подготовку к проведению измерений эталонных СИ и вторичных измерительных преобразователей ИС в соответствии с требованиями эксплуатационной документации.
-
7.1.1 При проведении проверки технической документации проверяют:
-
- наличие руководства по эксплуатации на ИС;
-
- наличие паспорта на ИС;
-
- наличие действующих свидетельств о поверке первичных измерительных преобразователей, входящих в состав ИС;
-
- наличие свидетельства о предыдущей поверке ИС (при периодической поверке);
-
- наличие методики поверки на ИС.
-
7.1.2 Результаты проверки считают положительными при наличии всей технической документации по п. 7.1.1.
-
7.2.1 При проведении внешнего осмотра ИС контролируют выполнение требований технической документации к монтажу СИ, измерительно-вычислительных и связующих компонентов ИС.
-
7.2.2 При проведении внешнего осмотра ИС устанавливают состав и комплектность ИС. Проверку выполняют на основании сведений, содержащихся в паспорте на ИС. При этом контролируют соответствие типа СИ, указанного в паспортах на СИ, записям в паспорте на ИС.
-
7.2.3 Результаты проверки считают положительными, если монтаж СИ, измерительновычислительных и связующих компонентов ИС, внешний вид и комплектность ИС соответствуют требованиям технической документации.
-
7.3 Опробование
-
7.3.1.1 Подлинность программного обеспечения (далее - ПО) ИС проверяют сравнением идентификационных данных ПО ИС с соответствующими идентификационными данными, зафиксированными при испытаниях в целях утверждения типа и отраженными в описании типа ИС. Проверку идентификационных данных ПО ИС проводят в соответствии с эксплуатационной документацией на ИС.
-
7.3.1.2 Проверяют возможность несанкционированного доступа к ПО ИС и наличие авторизации (введение пароля), возможность обхода авторизации, проверка реакции ПО ИС на неоднократный ввод неправильного пароля.
-
7.3.1.3 Результаты опробования считают положительными, если идентификационные данные ПО ИС совпадают с исходными, указанными в описании типа на ИС, исключается возможность несанкционированного доступа к ПО ИС, обеспечивается авторизация.
-
7.3.2.1 Приводят ИС в рабочее состояние в соответствие с эксплуатационной документацией. Проверяют прохождение сигналов калибратора, имитирующих входные сигналы ИС. Проверяют на мониторе операторской станции управления ИС показания по регистрируемым в соответствии с конфигурацией ИС параметрам технологического процесса.
-
7.3.2.2 Результаты опробования считают положительными, если при увеличении и уменьшении значения входного сигнала ИС соответствующим образом изменяются значения измеряемой величины на мониторе операторской станции управления.
Примечание - Допускается проводить проверку работоспособности ИС одновременно с определением метрологических характеристик по п. 7.4 данной методики поверки.
7.4 Определение метрологических характеристик
7.4.1 Определение погрешности преобразования импульсного сигнала в значение измеряемого параметра-
7.4.1.1 Отключают первичный измерительный преобразователь измерительного канала и к соответствующему каналу подключают калибратор, установленный в режим генерации импульсов, в соответствии с инструкцией по эксплуатации.
-
7.4.1.2 С помощью калибратора фиксированное количество раз (не менее трех) подают импульсный сигнал (10000 импульсов), предусмотрев синхронизацию начала счета импульсов.
-
7.4.1.3 Считывают значения входного сигнала с монитора операторской станции и рассчитывают абсолютную погрешность А,, импульс, по формуле
Дп =Пизм-Пзад, (1)
где Пизм ~ количество импульсов, подсчитанное ИС, импульс;
- количество импульсов, заданное калибратором, импульс.
-
7.4.1.4 Результаты поверки считают положительными, если рассчитанная абсолютная погрешность преобразования входного импульсного сигнала в значение измеряемого параметра не выходит за пределы ±1 импульс на 10000 импульсов.
-
7.4.2.1 Отключают первичный измерительный преобразователь измерительного канала и к соответствующему каналу подключают калибратор, установленный в режим имитации сигналов силы постоянного тока (от 4 до 20 мА), в соответствии с инструкцией по эксплуатации.
-
7.4.2.2 С помощью калибратора устанавливают электрический сигнал силы постоянного тока. В качестве реперных точек принимают точки 4 мА, 8 мА, 12 мА, 16 мА, 20 мА.
-
7.4.2.3 Считывают значения входного сигнала с монитора операторской станции и в каждой реперной точке рассчитывают абсолютную погрешность Д1вп, мА, по формуле
^1вп ^ИЗМ ^ЭТ ’ (2)
где 1^ - значение тока, соответствующее показанию измеряемого параметра ИС в i-
ой реперной точке, мА;
1ЭТ ~ показание калибратора в z-ой реперной точке, мА.
-
7.4.2.4 Если показания ИС можно просмотреть только в единицах измеряемой величины, то при линейной функции преобразования значение тока 1^, мА, рассчитывают по
формуле постоянного тока (от 4 до 20 мА), в абсолютных единицах измерений;
^изм
^max
^min

max

min

изм

min ) "I" ^min ?
(3)
где
I max
xmin
V
yvmax
максимальное значение границы диапазона аналогового сигнала силы постоянного тока (от 4 до 20 мА), мА;
минимальное значение границы диапазона аналогового сигнала силы постоянного тока (от 4 до 20 мА), мА;
максимальное значение измеряемого параметра, соответствующее максимальному значению границы диапазона аналогового сигнала силы
Xmin - минимальное значение измеряемого параметра, соответствующее минимальному значению границы диапазона аналогового сигнала силы постоянного тока (от 4 до 20 мА), в абсолютных единицах измерений;
Хизм - значение измеряемого параметра, соответствующее задаваемому аналоговому сигналу силы постоянного тока (от 4 до 20 мА), в абсолютных единицах измерений. Считывают с монитора операторской станции.
-
7.4.2.5 Результаты поверки считают положительными, если рассчитанная абсолютная погрешность преобразования входного аналогового сигнала силы постоянного тока (от 4 до 20 мА) в значение измеряемого параметра не выходит за пределы ±23 мкА.
-
7.4.3.1 Отключают первичный измерительный преобразователь измерительного канала и к соответствующему каналу подключают калибратор, установленный в режим имитации сигнала термопары по ГОСТ Р 8.585-2001, в соответствии с инструкцией по эксплуатации.
-
7.4.3.2 С помощью калибратора устанавливают электрический сигнал, соответствующий значениям измеряемой температуры. В качестве реперных точек принимают точки, соответствующие 0 %, 25 %, 50 %, 75 % и 100 % диапазона измерений температуры.
-
7.4.3.3 Считывают значения входного сигнала с монитора операторской станции и в каждой реперной точке рассчитывают абсолютную погрешность А^, мВ, по формуле
^tBn ^ИЗМ ^эт 5 (4)
где t - значение термоэлектродвижущей силы (ТЭДС) по ГОСТ Р 8.585-2001,
соответствующее температуре по показаниям ИС, мВ;
t - значение термоэлектродвижущей силы (ТЭДС) по ГОСТ Р 8.585-2001,
соответствующее заданной температуре, мВ.
-
7.4.3.4 Результаты поверки считают положительными, если рассчитанная абсолютная погрешность преобразования входного аналогового сигнала термопары по ГОСТ Р 8.585-2001 в значение измеряемого параметра не выходит за пределы ±438 мкВ.
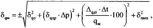
7.4.4.1 Относительную погрешность измерения массового расхода (массы) пропанпропиленовой фракции 8qM, %, рассчитывают по формуле

(5)
где §
qo
чдр

At
Ям
пределы основной относительной погрешности счетчика-расходомера массового Micro Motion модели CMF200 с преобразователем серии 2700 при измерении массового расхода (массы), %;
дополнительная относительная погрешность счетчика-расходомера массового Micro Motion модели CMF200 с преобразователем серии 2700 при измерении массового расхода (массы), вызванная изменением давления рабочей среды на 0,1 МПа, %;
изменение давления рабочей среды, 0,1 МПа;
дополнительная абсолютная погрешность счетчика-расходомера массового Micro Motion модели CMF200 с преобразователем серии 2700 при измерении массового расхода (массы), вызванная изменением температуры рабочей среды на 1 °C, кг/ч;
изменение температуры рабочей среды, 1 °C;
измеренный массовый расход, кг/ч;
пределы допускаемой относительной погрешности контроллера измерительного ROC 809 при измерении количества импульсов, %.
-
7.4.4.2 Результаты поверки считают положительными, если рассчитанная относительная погрешность измерения массового расхода (массы) пропан-пропиленовой фракции не выходит за пределы ±0,25 %.
-
8.1 При положительных результатах поверки оформляют свидетельство о поверке ИС в соответствии с приказом Минпромторга России от 2 июля 2015 г. №1815 «Об утверждении Порядка проведения поверки средств измерений, требования к знаку поверки и содержанию свидетельства о поверке».
-
8.2 Отрицательные результаты поверки ИС оформляют в соответствии с приказом Минпромторга России от 2 июля 2015 г. №1815 «Об утверждении Порядка проведения поверки средств измерений, требования к знаку поверки и содержанию свидетельства о поверке». При этом выписывается «Извещение о непригодности к применению» ИС с указанием причин непригодности.
8 из 8
