Методика поверки «СИСТЕМА ИЗМЕРЕНИЙ ДЛИТЕЛЬНОСТИ СОЕДИНЕНИЙ сервера станционного» (МП 425760-001-12011339-2016)
СОГЛАСОВАНО
Генеральный директор
ООО ГК «ПУЛЬСАР-ТЕЛЕКОМ»

2016 г.
. Ананьев
УТВЕРЖДАЮ
Директор Испытательного Центра
ФГУП ЦНИИС

СИСТЕМА ИЗМЕРЕНИЙ ДЛИТЕЛЬНОСТИ СОЕДИНЕНИЙ сервера станционного
Методика поверки
МП425760-001-12011339-2016
лI- WoСОДЕРЖАНИЕ
ПРИЛОЖЕНИЕ А (СПРАВОЧНОЕ) ФОРМИРОВАТЕЛЬ ТЕЛЕФОННЫХ
СОЕДИНЕНИЙ «ПРИЗМА» (ОБЩИЕ СВЕДЕНИЯ)
ПРИЛОЖЕНИЕ Б (СПРАВОЧНОЕ) ТАБЛИЦЫ РЕЗУЛЬТАТОВ ПОВЕРКИ
ПРИЛОЖЕНИЕ В (СПРАВОЧНОЕ) ОПИСАНИЕ ФОРМАТА ФАЙЛА ПОДРОБНОГО
Настоящая методика поверки (МП) устанавливает методы и средства первичной, периодической, инспекционной и экспертных поверки системы измерений длительности соединений сервера станционного (далее - СИДС СС).
СИДС СС входит в состав оборудования с измерительными функциями - сервера станционного: СС, СС-040, СС-044, СС-044-КСС, СС-048, СС-048-КСР, СС-240, СС-244, СС-248 (версия ПО 3.1), производства ООО ПП «ПУЛЬСАР-ТЕЛЕКОМ», г. Пенза.
Методика разработана в соответствии с рекомендацией РМГ 51-2002 ГСП Документы на методики поверки средств измерений. Основные положения.
Объектом метрологического контроля при поверке является система измерений длительности соединений, входящая в состав указанного выше оборудования.
Поверку системы осуществляют один раз в два года метрологические службы, которые аккредитованы в системе Росаккредитации на данные виды работ.
Требования настоящей методики поверки обязательны для метрологических служб юридических лиц независимо от форм собственности.
1 Операции поверки
При проведении поверки должны производиться операции, указанные в таблице 1. Т аблица 1.
Наименование операции |
Номер пункта документа по поверке |
Проведение операции при | |
первичной поверке |
периодической поверке | ||
1 Определение погрешности измерения длительности телефонных соединений. |
7.1 |
+ |
+ |
1.1 Опробование |
7.1.1 |
+ |
+ |
1.2 Определение метрологических характеристик:
|
7.1.2 |
+ |
+ |
* соответствует вероятности неправильной работы СИДС СС, выражающейся в превышении допустимой погрешности измерений длительности телефонного соединения или недостоверном определении номеров вызывающего и вызываемого абонентов.
2 Средства поверки
-
2.1 При проведении поверки должны применяться эталонные средства измерений, указанные в таблице 2.
-
2.2 Эталонные средства измерений должны быть исправны, поверены и иметь свидетельство (отметку в паспорте) о поверке или клеймо.
Таблица 2
Наименование СИ |
Предел измерений, с |
Основная погрешность, с |
Тип СИ |
Примечание |
1 Формирователь телефонных соединений |
1 - 3600 |
±0,25 |
Призма |
4а2.770.061ТУ |
Примечания
|
3 Требования к квалификации поверителей
-
3.1 К проведению поверки допускаются лица:
-
- прошедших обучение на поверителей радиотехнических СИ времени и частоты;
-
- изучившие эксплуатационную документацию СИДС СС и рабочих эталонов;
-
- имеющие навык работы на персональном компьютере (PC) в операционной среде WINDOWS и имеющие знания в области IP-технологий;
-
- имеющие квалификационную группу по технике безопасности не ниже III.
4 Требования безопасности
-
4.1 Корпус PC должен быть заземлен.
-
4.2 Рабочее место должно иметь соответствующее освещение.
-
4.3 При проведении поверки запрещается:
-
- проводить работы по монтажу и демонтажу применяемого в поверке оборудования;
-
- производить работы по подключению соединительных кабелей при включенном питании Призма и PC.
5 Условия поверки
-
5.1 При проведении поверки должны соблюдаться следующие условия:
-
- температура окружающей среды, °C 25 ± 10;
-
- относительная влажность воздуха, % 45 - 80;
-
- атмосферное давление, кПа (мм рт.ст.) 84,0 - 105,7 (630 - 800).
6 Подготовка проведению поверки
-
6.1 Перед проведением поверки необходимо провести следующие подготовительные работы:
-
■ проверить на рабочем месте оператора версию программного обеспечения сервера станционного (она должна быть не ниже 3.1);
-
■ проверить срок действия свидетельства о поверке образцовых средств измерений;
-
■ разместить на рабочем столе с площадью не менее 1,5 м2 «Призма»;
-
■ установить рядом с «Призма» персональный компьютер (PC), который
-
■ должен быть оснащен операционной системой WINDOWS-98/2000Pro/XP;
-
■ подключить к PC принтер;
-
■ соединить кабелем разъем СОМ-2 PC с соответствующим разъемом на «Призма»;
-
■ подвести к рабочему месту однофазное переменное напряжение 220В;
-
■ установить разветвительную колодку с заземленным проводом и тремя розетками типа «Евро»;
-
■ получить у оператора телефонные номера, задействованные в поверке;
-
■ подключить «Призма» к поверяемому оборудованию, в соответствии с рисунком 1;
-
■ подключить абонентов «АА» и «АО» «Призма» к свободным абонентским линиям поверяемого оборудования, через аналоговый абонентский доступ (см. рисунок 1) или по аналоговым абонентским линиям, с образованием до 8-ми каналов связи «АА - АО».
Рисунок 1. Схема поверки СИДС СС
Оператор оборудования сервера станционного должен настроить сбор статистики по вызовам на номера ответчиков, которые соединены с комплектами «АО» «Призма».
-
6.2 При проведении поверки запрещается:
-
- проводить работы по монтажу и демонтажу применяемого в поверке оборудования;
-
- производить работы по подключению соединительных кабелей при включенном питании Призма и PC.
-
7 Проведение поверки
7.1 Опробование
-
7.1.1 Опробование производят по схеме в соответствии с рисунком 1.
-
7.1.2 Выполнение подготовительных операций:
-
■ включить питание PC и прибора «Призма»;
-
■ осуществить инсталляцию программного обеспечения, для этого вставить диск в CD-ROM дисковод. На экране появится диалоговое окно ’’ПРОГРАММА УСТАНОВКИ”. Дважды щелкнуть мышью по пункту ’’программа”, расположенном в левой части окна. Это приведет к инициализации мастера инсталляции, в дальнейшем необходимо следовать его указаниям;
-
■ после окончания инсталляции на жестком диске PC будет создан каталог PRIZMA с программами для управления работой прибора «Призма»;
-
■ запустить программу prizma.exe из каталога PRIZMA в операционной среде WINDOWS (4аЗ .060.045 программное изделие «Призма»). После загрузки программы на экране монитора PC открывается основное окно программы, в верхней части которого расположено главное меню, ниже - основные пиктограммы и наименование прибора.
Формирователь телефонных соединений ПРИЗМА
-
7.1.3 Создание конфигурации:
-
■ в меню Конфигурация щелкнуть по кнопке СОЗДАТЬ, при этом открывается окно Введите имя новой конфигурации;
-
■ в диалоговом боксе Имя файла введите наименование поверяемого оборудования (например, PULSAR) и сохраните. При этом в окне Конфигурация отображается имя созданной конфигурации с расширением pri, например - PULSAR.pri;
-
7.1.4 Создание настройки поверки:
-
■ в главном меню открыть Прибор \Новая настройка, открывается окно Создание новых данных прибора \ Настройка комплектов;
-
■ окно Настройка комплектов имеет четыре вкладки: Назначение, Вид набора, Собственные номера, Набираемые номера;
-
■ в окне Назначение - в диалоговый бокс - Глобальная настройка прибора \ Имя настройки ввести наименование поверяемого оборудования (например, PULSAR), назначить абонентов и ответчиков и соответствующие им линейные комплекты, остальные параметры -по умолчанию;
ПРИМЕЧАНИЕ: Неиспользуемые при поверке линейные комплекты абонентов и ответчиков необходимо заблокировать нажатием кнопки Блок, при этом кнопки, соответствующие заблокированным комплектам, окрашиваются в коричневый цвет.
-
■ в окне Вид набора установить частотный или импульсный тип набора номера (частотный предпочтительнее) для всех комплектов;
-
■ в окне Собственные номера ввести полученные от оператора номера (воспользоваться услугой Сервис \ Выделить все, далее ввести номера). Количество цифр в номере зависит от реальных условий поверки;
-
■ в качестве Абонентов ввести номера, к которым подключены комплекты АА «Призма»;
-
■ в качестве Ответчиков ввести:
-
1) номера, к которым подключены комплекты АО «Призма» см. рис. 1;
-
2) номера Абонентов, для которых установлена переадресация на комплекты АО «Призма», см. рис 2.
-
■ в окне Набираемые номера необходимо выделить используемые линейные комплекты, далее повторить номера Ответчиков, в соответствии с рисунками 1;
-
■ открыть вкладку Режим работы \ Режим:
1) Общие - ввести Облегченный режим анализа сигнала;
-
2) Тип АТС - проверить, что переключатель установлен в положение Прочие типы;
-
3) Режим соединений - перевести переключатель в положение Старт со сдвигом, ввести значение -1000 мс
-
4) Фиксация времени - установить переключатель в положение По установлению тракта;
-
5) Остальные установки данной вкладки - по умолчанию.
-
■ открыть вкладку СИД С - открывается окно Настройка СИДС, имеющая три вкладки: Настройка, Алгоритм испытаний, Связь;
-
■ окно Настройка \ Выбор СИДС:
-
1) Категории - представлены виды коммутационного оборудования:
АПУС - электромеханические АТС, оснащенные АПУС (аппаратурой повременного учета соединений);
ЭАТС - электронные автоматические телефонные станции;
СПС - системы подвижной связи;
ИП - интеллектуальные платформы;
цов - центр обслуживания вызовов.
-
■ выбрав вид коммутационного оборудования - ЭАТС - электронные автоматические телефонные станции, необходимо активизировать «+», при этом появляется перечень конверторов СИДС, имеющихся в библиотеке программы «Призма», далее - выделить (двойное нажатие левой кнопки мыши) нужный тип конвертора СИДС - PULSAR;
-
■ в боксе Выбранный тип СИДС автоматически записывается имя выбранного конвертора;
-
■ в бокс Имя файла СИДС ввести произвольное имя, под которым будут сохранены результаты поверки СИДС (например, дата поверки - 060216.txt);
-
2) Коррекция времени - необходимо откорректировать машинное время PC по машинным часам поверяемого оборудования, допустимая погрешность ± 2 с;
-
3) ПДВ - предельно допустимые величины - ввести вероятность отказа СИДС (Ро), равное 10 промилле (что допускается при поверке при выборке уменьшенного объёма);
-
■ в окне Алгоритм испытаний - создать алгоритм опробования, для этого необходимо выделить этап 1, проверить, что данные соответствуют п. 1 таблицы 4 (для чего в окне Инструментарии нажать кнопку Редактировать этап, при этом открывается окно Параметры испытаний), далее удалить этапы 2-6, нажав кнопку Удалить этап;
-
■ закрыть окно, сохранив произведённые настройки;
-
■ вкладка Связь используется при обработке результатов поверки.
-
7.1.5 Установление связи PC с прибором «Призма»
-
■ из окна Конфигурация, нажатием кнопки Подключение - загрузить настройку поверки PULSAR.gn;
-
■ произвести инициализацию прибора, нажав пиктограмму с изображением ключа, при этом открывается окно Панель прибора с настройкой PULSAR.gn, происходит автоматическая связь PC с прибором «Призма», индикаторы рабочих комплектов окрашиваются в зеленый цвет, заблокированных - в коричневый, появляется сообщение о подключении прибора: Прибор подключен к СОМ 1 (или COM2, USB);
Примечание - При необходимости введения дополнительных настроек, касающихся параметров набора номера, зуммерных сигналов, КПВ, ПВ, нужно открыть в главном меню опцию Сервис \ Дополнительная настройка прибора и ввести требуемые изменения в схему настройки.
-
7.1.6 Запуск программы опробования
-
■ после нажатия кнопки Старт происходит загрузка параметров работы и появляется сообщение Прибор работает;
-
■ процедуру опробования «Призма» выполняет автоматически по заранее заданной программе. Она формирует два цикла коротких телефонных соединений (20 с) одновременно по восьми абонентским линиям;
-
■ по завершении в окне программы появляется сообщение Работа завершена.
-
7.1.7 Процедура снятия учетной информации с поверяемого оборудования
-
■ после окончания процедуры опробования оператор должен снять учетную информацию на рабочем месте администратора, см. рис. 1;
-
■ для получения полной информации о звонках, необходимо убедиться, что активный файл закрыт и информация готова для отправки в АСР, после выполнения этих требований можно снять файл;
-
■ в приложении В приведено описание формата файла подробного учета;
-
■ процедура снятия файла учетной информации описана в эксплуатационной документации см. раздел Записи с подробными данными о вызове (Call Data Records);
-
■ учетная информация о длительности телефонных соединений передается и копируется в каталог Prizma \ StatisticsX имя конфигурации \дата испытаний в PC, управляющий прибором «Призма», любым доступным для конкретной схемы поверки способом:
-
■ дискета;
-
■ локальная сеть предприятия;
-
■ накопитель информации, подключаемый к USB порту;
-
■ E-mail
-
■ CD-ROM.
-
7.1.8 Копирование результатов опробования при помощи USB - накопителя
-
■ поверитель должен скопировать полученный у оператора учетный файл на жесткий диск PC в каталог Prizma\ StatisticsXnMH конфигурации \дата испытаний;
-
■ в главном меню открыть окно Прибор \Настройка из конфигурации, появится окно Редактирование данных прибора PULSAR.gn, затем щелкнуть по вкладке СИДС\ Связь, далее - в открывшейся вкладке в структуре каталогов выбрать USB - накопитель (*) - буква, которой обозначен USB - накопитель в структуре каталогов;
-
■ в боксе Выбранное устройство выделить *:\, из появившегося списка файлов СИДС выбрать нужный, далее - Копировать;
-
■ откроется окно с запросом - куда копировать, необходимо выбрать каталог PULSAR, далее - папку с датой поверки, в окне Внимание с подтверждением копирования - Да;
-
■ в результате данных действий станционный файл будет скопирован в каталог Prizma\ StatisticsX имя конфигурации \ дата испытаний и готов к статистической обработке.
-
7.1.9 Обработка результатов опробования (проверка работы конвертора)
-
■ выбрать в главном меню пункт Испытания \ Статистика СИДС. На экран выдается стандартное окно выбора файла Статистика СИДС, в котором оператор может найти и выбрать файл, содержащий информацию о результатах поверки СИДС;
-
■ запускается программа расчета статистики СИДС, «Призма» автоматически обрабатывает результаты опробования по заложенной программе;
-
■ в результате выдается диалоговое окно Статистика СИДС. Заголовок окна содержит дату проведения поверки, имя файла и тип шаблона, а также пять вкладок: Текущие результаты, Итоговые результаты, Показания СИДС, Отказы СИДС, Доверительные интервалы;
-
■ при выборе вкладки Итоговые результаты визуально по таблицам (на экране дисплея) оценивают результаты опробования (успешно, неуспешно):
-
- при успешном результате опробования поверка продолжается;
-
- при неуспешном результате поверка прекращается до устранения неисправности.
7.2 Определение метрологических характеристик
-
7.1.1 Поверку системы измерений длительности соединений проводят на репрезентативных выборках комплексным (сквозным) методом, суть которого заключается в многократной подаче на вход поверяемого оборудования сигнала эталонной длительности телефонного соединения, а по средствам отображения информации (дисплей или учетные файлы) определяют длительности каждого соединения, измеренные СИДС СС, с дальнейшей обработкой и оценкой метрологических характеристик (MX).
-
7.1.2 Для СИДС СС нормируются следующие MX:
-
■ пределы допускаемой абсолютной погрешности измерения длительности телефонных соединений в диапазоне от 1 до 3600 с: ±1 с
-
■ вероятность неправильного тарифицирования телефонного соединения, не более 0,0001;
-
7.1.3 Для СИДС СС в процессе поверки определяются следующие погрешности:
-
■ систематическая составляющая погрешности;
-
■ СКО для суммарной, систематической и случайной составляющих погрешности;
-
■ 95%-ный доверительный интервал систематической составляющей погрешности и СКО систематической составляющей погрешности.
-
7.1.4 Определение метрологических характеристик производят по схеме в соответствии с рисунком 1 .
-
7.1.5 Выполнить процедуру настройки поверки:
Открыть окно Алгоритм испытаний - создать алгоритм поверки, для этого необходимо ввести этапы, используя предлагаемый Инструментарий - Добавить этап и Редактировать этапы в окне Параметры испытаний - ввести данные в соответствии с п.п. 1-6 таблицы 4, Применить;
В результате должно быть 6 этапов с параметрами поверки, приведенными в таблице 4;
-
7.1.6 Процедура поверки
Процедуру поверки «Призма» выполняет автоматически - формирует необходимое количество циклов телефонных соединений одновременно по восьми абонентским линиям в соответствии с таблицей 3.
Таблица 3
№ точки,i |
Длительность телефонных соединения в i - й точке, z, с |
Количество телефонных соединений, N, | |
Первичная поверка |
Периодическая поверка | ||
1 |
20 |
16 |
16 |
2 |
3600* |
8 |
- |
3 |
600 |
16 |
8 |
4 |
200 |
16 |
16 |
5 |
100 |
16 |
16 |
6 |
3 |
300 |
250 |
ПРИМЕЧАНИЯ:
*В случае невозможности установления длительности соединения, равной 3600 с, по причине особенностей программного обеспечения данного типа СИДС, установить максимально возможную длительность, указанную оператором связи
-
1. Точка 1 используется для проведения опробования;
-
2. Если в процессе поверки используется другое количество абонентских комплектов, необходимо рассчитать требуемое количество соединений по каждому комплекту, чтобы суммарное количество получилось равным рекомендуемому в данной таблице.
8 Обработка результатов измерений
-
8.1 Обработка результатов измерений и определение MX (раздел 7) производится полностью автоматически в PC по соответствующей программе.
-
8.2 Результаты поверки СИДС СС считаются положительными, если для всех соединений погрешность измерения длительности не превышает допустимого значения, и не превышается вероятность отказа СИДС СС за счет потери вызовов из-за неправильного определения номера автоабонента или автоответчика.
-
8.3 Результаты поверки СИДС СС считаются отрицательными, если хотя бы для одного соединения погрешность измерения длительности превышает допустимое значение и имеется потеря вызовов из-за неправильного определения номера автоабонента или автоответчика.
-
8.4 При отрицательных результатах поверки СИДС СС после устранения причин проводится повторная поверка в объеме первичной поверки.
9 Оформление результатов поверки
-
9.1 Если СИДС по результатам поверки признана пригодной к применению, то на нее выдается «Свидетельство о поверке», установленной формы.
-
9.2 Если СИДС по результатам поверки признана непригодной к применению, то «Свидетельство о поверке» аннулируется, выписывается «Извещение о непригодности к применению» установленной формы и ее эксплуатация запрещается.
-
9.3 Формы «Свидетельство о поверке» и «Извещение о непригодности к применению» оформляются в соответствии с документом "Порядок проведения поверки средств измерений, требования к знаку поверки и содержанию свидетельства о поверке", утвержденным Приказом Минпромторга России № 1815 от 02.07.2015 г. зарегистрированным в Минюсте России, регистрационный № 38822 от 04.09.2015 г.
-
9.4 В обоих случаях составляется протокол поверки в произвольной форме и в качестве приложений прикладываются распечатки таблиц результатов поверки. Формы таблиц приведены в приложении Б.
Ведущий научный сотрудник ФГУП ЦНИИС
Н.Ф.Мельникова
ПРИЛОЖЕНИЕ А
(справочное)
Формирователь телефонных соединений «Призма» (общие сведения)
Формирователь телефонных соединений «ПРИЗМА» (далее прибор) представляет собой программно-аппаратный комплекс, сопряженный с персональным компьютером (PC), и предназначенный для генерации потока контрольных телефонных соединений с калиброванной длительностью разговорного состояния.
Прибор работает под управлением специально разработанного пакета программного обеспечения PRIZMA, функционирующего в операционной среде WINDOWS-9X/2000Pro/XP.
Требования к характеристикам, которым должен отвечать используемый PC:
-
• процессор не ниже Pentium 2;
-
• емкость ОЗУ не менее 128 Мбайт;
-
• емкость НДД не менее 10 Гбайт;
-
• CD ROM;
-
• наличие свободного порта RS 232 или порта USB (для подключения прибора).
Прибор подключается к аналоговым абонентским линиям от АТС любых типов и позволяет устанавливать до 8 или до 16 телефонных соединений одновременно, в зависимости от варианта исполнения прибора «Призма» или «Призма-16».
Количество знаков набираемого номера - 40.
Вид набора номера - импульсный, частотный.
Погрешность формирования длительности телефонного соединения, с:
-
• в интервале длительностей (1-3600) с, ± 0,25 с;
-
• в интервале длительностей (3601-10800) с + 0,5 с.
Параметры входных и выходных цепей соответствуют ГОСТ 7153-85.
Для фиксации момента ответа абонента Б (автоответчика) используется передача в разговорном тракте частоты - 700 Гц.
Реализован встроенный аппарат сбора и обработки результатов поверки СИДС.
Математическая модель процесса испытаний
1) Закон распределения случайной составляющей погрешности не является нормальным. Действительно,


(1)
где:
длительность телефонного соединения;
Ь tl - время начала и окончания телефонного соединения, соответственно.
1 и tl являются равномерно распределенными случайными величинами и, следовательно, их разность -с имеет треугольное распределение (распределение Симпсона).
В процессе испытаний могут возникать однократные сбои, удаленные от среднего значения погрешности, выбросы, которые влекут к ’’отказу” в работе ИИК, что показывает безусловное отличие распределения погрешности длительности телефонного соединения ИИК от нормального.
Так, например, могут встретиться вызовы не идентифицируемые (пропущенные) СИДС.
Число таких телефонных вызовов ппр определяются в результате испытаний.
Отказ ИИК - выполнение неравенства (14).
2) Погрешности и ошибки СИДС в определении параметров ИИК
Для каждого контрольного вызова «Призма» - рабочий эталон для метрологического обеспечения СИДС (общие сведения о «Призма» представлены в приложении А) задает его длительность £. Аналогичный показатель выдает СИДС - . Он является случайной величиной.
Вычисляется погрешность в определении £:
(2)
которая является случайной величиной.
Определяется систематическая составляющая погрешности
С = Е(А^), где Е(А - математическое ожидание случайной величины А £.
(3)
Все встречающиеся в дальнейшем вероятностные характеристики СИДС - математические ожидания и дисперсии заранее не известны, и могут быть оценены по полученным в процессе испытаний измерениям с помощью соответствующих выборочных средних и дисперсий.
Все эти оценки, также являющиеся случайными величинами, выбираются несмещенными, т.е. таким, что их математические ожидания равны оцениваемым значениям.
Для дальнейших вычислений введем выборочные суммы случайной величины л£ :
А = ^2 = Х^г)2;1=1 1 = 1
А = Х^г)3; А» = Х^г)4(4)
i = 1 i = 1
Систематическая составляющая погрешности заранее неизвестна и поэтому оценивается в в процессе
процессе испытаний с помощью выборочного среднего по выборке из произведенных испытаний N телефонных соединений:
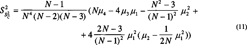
- Ат NДля оценки MX по п.7.1.2 необходимо определить дисперсию погрешности А^, которые совпадают, соответственно с дисперсией составляющей погрешности (А-^ -С) (оцениваемой величиной А £ - су.
D(M) = Е(А£)2 - (ЕМ)2Дисперсия оценивается с помощью выборочной дисперсии (т.е. квадрата выборочного СКО):
(5)
СКО для
СКО для
(6)
(7)
суммарной случайной
Выборочная дисперсия для С, как следует из (5) равна:
S2c=^S\b
(8)
а значит выборочное СКО для С равно:
(9)
Определим доверительный интервал для С, содержащий истинное значение этой величины с вероятностью 0,95.

теории вероятностей можно считать распределенными нормально, можно пользоваться стандартными формулами математической статистики.
95%-ый доверительный интервал для С задается формулой:
max/min С ±1^65-
(10)
Несмещенная оценка для D5^ (выборочная дисперсия 5|) находится по формуле:

Тогда 95%-ный доверительный интервал для ос (СКО для С) задается формулой:

(12)
^max/min $с ~ о , (12)
°C
Интервал, в котором находится значение суммарной погрешности А £ задается формулой:
A^max/min = ГРЭХ / ГП j П М,
(13)
где А-с i - суммарная погрешность i-ro телефонного соединения.
-
3 Определение отказа ИИК
Для данного телефонного соединения отказ (ошибка) в определении £ означает выполнение
неравенства:
(14)
где Ао £ - предельно допустимая величина погрешности для С , которая задается в ОТТ на СИДС.
-
4 Вероятности ошибок и исход испытаний СИДС Обозначим:
р - вероятность ошибки СИДС в определении £, т.е. вероятность выполнения неравенства (14), ро - предельно допустимая величина р (принимается ро = 0,01).
(15)

Р до
Поверка для данного вида связи состоит в ОС-достоверном (с заданной вероятностью а, принимаемой обычно равной 0.95) установлении одного из неравенств: или
(16)
выполнение (15) соответствует успешному, (16) - соответственно, неуспешному исходу испытаний.
-
5 Математическая модель определения отказа ИИК
Введем следующие определения и обозначения:
N - количество контрольных телефонных соединений при испытаниях, п - количество отказов ИИК,
b = Ф (ОС) - функция, обратная к стандартной нормальной функции распределения:

8п(а) - корень уравнения:

(18)
(19)
(20)
[х], ]х[ - наименьшее, соответственно, наибольшее целое число, не меньшее, соответственно, не большее, чем х,
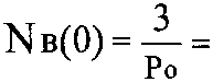
,NB(n) =
Ро
В частности, для случая п = 0 из (18) получаем 8о(0,95) - корень уравнения:
es° = 1- а = 0,05 ,те.
(21)
80 = 1п20 = 3,
(22)
(23)
откуда из (20) и (21) находим, взяв р0 = 0,01, что что есть минимальное число телефонных соединений до успешного завершения испытаний.

300
9
Вышеприведенная процедура вытекает из способа построения оптимальных доверительных интервалов для р по полученным в процессе испытаний значениям N и п.
Решение задачи (15), (16) эквивалентно проверке неравенств:
NH(n) < N < NB(n) (24)
Пока (24) выполняется, испытания продолжаются и заканчивается, как только в левой или правой части достигается знак =, что, соответственно, означает неуспешный или успешный исход испытаний.
Нижняя рн и верхняя рв 0,95 - достоверные границы для вероятности отказа р определяются по формулам:
(25)
Данная последовательная процедура является оптимальной (неулучшаемой) - имеет для заданного уровня достоверности d наименьшее возможное среднее время проведения испытаний.
Реализован встроенный аппарат сбора и обработки результатов испытаний СИДС.
Таблица А. 1 Контакты на разъемах абонентских телефонных линий
Разъем XI (абонентские комплекты 1-16) |
Разъем Х2 (абонентские комплекты 17-32) | ||
Номер комплекта |
Контакты оазъема |
Номер комплекта |
Контакты оазъема |
1 |
1-2 |
17 |
1-2 |
2 |
3-4 |
18 |
3-4 |
3 |
5-6 |
19 |
5-6 |
4 |
7-8 |
20 |
7-8 |
5 |
9-10 |
21 |
9-10 |
6 |
11 -12 |
22 |
11 -12 |
7 |
13-14 |
23 |
13-14 |
8 |
16-17 |
24 |
16-17 |
9 |
18-19 |
25 |
18-19 |
10 |
20-21 |
26 |
20-21 |
11 |
22-23 |
27 |
22-23 |
12 |
24-25 |
28 |
24-25 |
13 |
26-27 |
29 |
26-27 |
14 |
28-29 |
30 |
28-29 |
15 |
31-32 |
31 |
31-32 |
16 |
33-34 |
32 |
33-34 |
ПРИЛОЖЕНИЕ Б
(справочное)
Таблицы результатов поверки
Т а б л и ц а Б.1 Основные результаты поверки по п. 7.1
№ точки i |
Длительност ь телефонного соединения, с, Л |
Число телефонных соединений, м |
Число отказов |
Число пропущенн ых гелефонных соединений, Ппр,| |
Системат. составляюща я погрешности, Ci |
CKO погрешности | |
Суммарной и случайной составл. |
систематической составл. | ||||||
0 |
20 |
16\16 | |||||
1 |
3600 |
8\- | |||||
2 |
600 |
16\16 | |||||
3 |
200 |
16\16 | |||||
4 |
100 |
16\16 | |||||
5 |
3 |
250\250 | |||||
S |
- |
Таблица Б.2 Доверительные интервалы по результатам поверки (п.7.1)
Систематической составл. Погрешности С |
СКО систематической составляющей °с |
Суммарной погрешности М |
Вероятности отказа Р | ||||
min |
шах |
min |
max |
min |
max |
min |
max |
Таблица Б.З Показания СИДС в процессе поверки (п. 7.1)
А=......= | ||
£6=......с,£а6 = |
ПРИЛОЖЕНИЕ В (справочное) Описание формата файла подробного учета тарифной информации
Наименование конвертора - PULSAR
Файл подробного учета должен иметь определенную структуру, с тем чтобы информация из него могла быть корректно импортирована ПО прибора «Призма».
Файл подробного учета содержит информацию в виде текстовых строк, минимальной длиной 72 символов. Для каждого соединения в учетном файле формируется одна запись. Каждой записи в учетном файле соответствует одна строка.
Каждая строка заканчивается символами перевода строки, перевода каретки.
Файл не содержит заголовка и заключительных записей.
Поля информации упорядочены по колонкам и разделены символами пробела. ПО прибора «Призма» импортирует четыре поля из каждой строки файла учета.
Поля имеют фиксированную длину, и смещение относительно начала строки (нумерация позиций в строке идет с нуля), а также располагаться в определенном порядке среди прочих информационных полей:
-
• Номер вызывающего абонента содержится в поле со смещением 63 байт (символов строки), размер - 3 байта;
-
• Номер вызываемого абонента содержится в поле со смещением 68 байт, размер переменный - 3 байта;
-
• Время начала разговора в формате ЧЧ:ММ:СС (размер поля - 8 байт, смещение полей ЧЧ - 32 байт, ММ - 35 байт, СС - 38 байт);
-
• Время окончания разговора в формате ЧЧ:ММ:СС (размер поля - 8 байт, смещение полей ЧЧ - 53 байт, ММ - 56 байт, СС - 59 байт);
-
• Остальные поля служебной информацией не используются. Отключение выше перечисленных полей, или включение между ними дополнительных полей может привести к неправильному импорту данных учета тарифной информации.
Пример записи: Вызывающий абонент 306 произвел соединение с номером 314 2010-04-26 в 06:52:014 длительностью 3 секунды.
Представление записи в учетном файле:
2010-04-26 06:51:59; 2010-04-26 06:52:14; 2010-04-26 06:52:17; 00:00:03; 306; 314; 0; Успешное завершение; 127; 135; 0; 0; 0;
Жирным шрифтом выделены поля, используемые «Призмой».
Лист регистрации изменений
Номера листов (страниц) |
Всего |
Номер |
Входящий |
Подпись |
Дата | ||||
Изм |
измененных |
заме-ненны X |
новых |
аннулированных |
листов (страниц) в документе |
документа |
номер сопроводительного документа | ||
18