Методика поверки «Расходомеры жидких сред УРАН-1РМ» (РИЮУ.407254.005 МИ)
УТВЕРЖДАЮ
УТВЕРЖДАЮ
альный директор р^ТеплЪприбор»

О IP
Д.С. Круглов
20\^г.
QlKPblTOf

м.п.
£ 20 ^г.
директор КИП «МЦЭ»
А.В. Федоров
Расходомеры жидких сред УРАН-1РМ Методика поверки РИЮУ.407254.005 МИг. Рязань
Содержание
Приложение А Схема электрическая подключения при поверке
расходомера жидких сред УРАН-1РМ
Приложение Б Схема электрическая подключения уровнемера
УРАН-1РМ при определении приведенной погрешности беспроливным методом
2
Настоящая методика устанавливает методику первичной и периодической поверок расходомеров жидких сред УРАН-1РМ (далее - расходомеры) выпускаемых по техническим условиям РИЮУ.407254.005 ТУ, предназначенных для измерения объемного расхода различных жидкостей в трубопроводах и передачи результатов измерения в виде выходных сигналов.
Виды выходных сигналов расходомеров: аналоговый и цифровой по интерфейсу RS-485.
Виды выходных аналоговых сигналов:
-
- линейно-изменяющееся пропорционально измеряемому расходу напряжение постоянного тока от 0 до 5 В или от 0 до 10 В при сопротивлении нагрузки от 2 до 100 кОм;
-
— линейно-изменяющаяся пропорционально измеряемому расходу сила постоянного тока от 0 до 5 мА при сопротивлении нагрузки не более 2 кОм или от 4 до 20 мА при сопротивлении нагрузки не более 500 Ом.
Методика устанавливает методику и последовательность первичной и периодической поверок.
Интервал между поверками - три года.
3
-
1 Операции поверки
-
1.1 При проведении поверки должны выполняться операции, указанные в
-
таблице 1.
Таблица 1
Наименование операций |
Номер пункта МИ |
Проведение операции |
1 Внешний осмотр |
6.1 |
+ |
2 Проверка правильности монтажа расходомера |
6.2 |
+ |
5 Проверка электрического сопротивления изоляции |
6.3 |
+ |
3 Опробование |
6.4 |
+ |
4 Проверка цифрового идентификатора метрологически значимой части ПО (контрольной суммы) |
6.5 |
+ |
6 Проверка показаний расходомеров при расходе, равном нулю |
6.6 |
+ |
7 Определение основной допускаемой приведенной погрешности проливным методом |
6.7 |
+* |
8 Определение вариации выходного сигнала |
6.8 | |
9 Определение основной допускаемой приведенной погрешности беспроливным методом |
6.9 |
+ |
Примечания * 1 При невозможности проведения периодической поверки проливным методом поверку проводить беспроливным методом по п.6.9. ** 2 Определение вариации выходного сигнала проводится при проведении поверки проливным методом. |
-
1.2 При получении отрицательных результатов при проведении операций поверки поверку прекратить. Расходомер браковать.
-
2 Средства поверки
-
2.1 Все средства поверки, указанные в настоящем разделе, должны быть поверены (аттестованы) органами метрологической службы и иметь действующие свидетельства о поверке (аттестации) или оттиски поверительных клейм.
-
2.2 При проведении операций поверки рекомендуется применять средства поверки, указанные в таблице 2.
-
4
2.3 Таблица 2
Наименование и тип средства поверки |
Per. № в ФИФ СИ РФ |
Основные характеристики |
Установка поверочная расходомерная тепловая ПРТ |
№31244-06 |
Диапазон воспроизведения расхода от 0,01 до 200 м3/ч, пределы допускаемой приведенной погрешности измерений ±0,1 % |
Калибратор-измеритель унифицированных сигналов эталонный ИКСУ-2000 |
№ 20580-06 |
Диапазон воспроизведения и измерения силы постоянного тока от 0 до 25 мА, пределы допускаемой абсолютной погрешности ±(10’4 1+1) мкА, диапазон измерения напряжения постоянного тока от 0 до 120 В, пределы допускаемой абсолютной погрешности ±20 мВ. |
Источник питания постоянного тока Б5-78/7 |
№ 29625-05 |
Диапазон измерений от 0 до 50 В, пределы допускаемой основной погрешности измерений ±3 % |
Мегаомметр М4100/1 |
№ 3424-73 |
Диапазон измерений от 0 до 2500 МОм, испытательное напряжение 100 В, класс точности 1,0 |
Осциллограф запоминающий цифровой Wave Surfer 64XS |
№ 32487-06 |
Полоса 2-1 ГГц, дискретизация до 5 ГГц, память до 10 Мбайт |
Барометр рабочий сетевой БРС-1М-3 |
№ 16006-97 |
Диапазон измерений абсолютного давления от 5 до 1100 гПа, предел допускаемой абсолютной погрешности ±20 Па |
Термометр ртутный стеклянный лабораторный ТЛ-4 |
№303-91 |
Диапазон измерений от 0 до 55 °C и от 50 до 105 °C, пределы допускаемой основной абсолютной погрешности измерений ±0,2 °C |
Термогигрометр Ива-6 |
№46434-11 |
Диапазон измерений: относительной влажности от 0 до 98 %, температуры от минус 40 до 60 °C, пределы допускаемой основной абсолютной погрешности измерений: относительной влажности ±2 %, температуры ±1 % |
Омметр Щ306-1 |
№ 10983-87 |
Диапазон измерений сопротивления от 0,1 до 109 Ом, класс точности 0,05/0,005 |
2.4 В процессе поверки могут быть использованы другие средства повер
ки, обеспечивающие поверку метрологических характеристик расходомера с требуемой точностью.
5
-
3 Требования безопасности
-
3.1 По способу защиты человека от поражения электрическим током расходомеры относятся к классу 01 по ГОСТ 12.2.007.0-75.
-
3.2 При проведении поверки должны быть соблюдены требования безопасности, предусмотренные «Правилами технической эксплуатации электроустановок потребителей», «Правилами техники безопасности при эксплуатации электроустановок потребителей», а также требования, указанные в руководстве по эксплуатации на поверяемый расходомер, и требования по безопасности эксплуатации применяемых средств поверки, указанные в НД на эти средства.
-
3.3 При определении погрешности расходомеров на поверочной расходомерной установке необходимо проверить наличие заземления первичного преобразователя и исправность разъемных соединений кабелей связи и питания.
-
-
4 Условия поверки
-
4.1 При проведении поверки должны соблюдаться следующие условия:
-
-
- температура окружающего воздуха (20 ± 5) °C;
-
- атмосферное давление (760 ±30) мм.рт.ст;
-
- относительная влажность воздуха (65 ±15) %;
-
- внешние магнитные и электрические поля должны отсутствовать.
Допускается проведение поверки в рабочих условиях эксплуатации расходомеров, при соблюдении требований к условиям эксплуатации поверочного оборудования с поправкой результатов измерений на отклонение температуры окружающей среды от градуировочного значения.
Изменение расхода в процессе поверки по функции измерения объема не должно превышать ± 5 % от установившегося значения. Погрешность первоначальной установки расхода не должна превышать ± 5 % от заданной.
-
4.2 При проведении поверки проливным методом изменение температуры поверочной среды в процессе поверки расходомеров не должно превышать ± 2 °C.
Поверочная среда - вода по ГОСТ Р 51232-98, температура воды - градуировочная.
Давление в трубопроводе должно быть не менее 2 кгс/см2 (0,2 МПа).
6
Режим движения потока в трубопроводе должен быть установившимся, нестабильность потока не более ±1,5 %.
-
4.3 При проведении поверки беспроливным (бездемонтажным) методом поверочной средой является измеряемая среда. Температура поверочной среды и окружающего воздуха должна быть выровнена, для чего после остановки измеряемой среды расходомеры выдерживают во включенном состоянии не менее 2 ч.
-
5 Подготовка к поверке
-
5.1 Перед проведением поверки выполнить следующие действия:
-
-
- проверить наличие действующих свидетельств (отметок) о поверке (метрологической аттестации) в паспортах (формулярах) используемых средств измерений;
-
- проверить наличие паспорта и руководства по эксплуатации на поверяемый расходомер;
-
- проверить соблюдение условий по разделу 4;
-
- подготовить к работе поверяемый расходомер и средства поверки в соответствии с руководством по эксплуатации на них.
-
5.2 Перед проведением поверки проливным методом первичный преобразователь расходомера установить на трубопровод поверочной проливной установки в соответствии с руководством по эксплуатации РИЮУ.407254.005 РЭ, осуществить проверку герметичности соединений и узлов поверочной проливной установки пробным давлением.
Систему считать герметичной, если при подаче пробного давления в течение 5 мин не наблюдается течи или появления капель жидкости, по контрольному манометру.
-
5.3 Расходомер подключить в соответствии со схемой подключения, приведенной в приложении А.
Расходомер включить в соответствии с руководством по эксплуатации и выдержать в рабочем состоянии в течение времени не менее 15 мин.
-
5.4 Подключить расходомеры к технологической ПЭВМ с установленным технологическим программным обеспечением «URAN3_link.exe».
7
На панели управления программы «URAN3_link.exe» выбрать вкладку «Настройка обмена» и ввести следующую информацию:
-
- в поле «порт» выбрать Com-порт, к которому подключен преобразователь интерфейса;
-
- скорость обмена - 57600;
-
- биты данных - 8;
-
- длина запроса -11;
-
- длина ответа - 24.
На вкладке «Опрос прибора» в поле «Адрес расходомера» установить сетевой адрес прибора.
-
5.5 При проведении работ по поверке расходомеров необходимо убедиться, что поблизости от места проведения работ по поверке и места установки измерительных преобразователей на трубопроводах не ведут сварочных и других работ, сопровождающихся высоким уровнем электромагнитных излучений или акустических шумов высокой частоты.
-
6 Проведение поверки
-
6.1 Внешний осмотр
-
При проведении внешнего осмотра должно быть установлено соответствие внешнего вида, состояния и комплектности расходомера паспорту РИЮУ.407254.005 ПС и руководству по эксплуатации РИЮУ.407254.005 РЭ.
Первичный и вторичный преобразователи не должны иметь видимых повреждений и деформаций.
Проверить наличие пломб на расходомере.
Расходомеры, не прошедшие внешний осмотр, к поверке не допускают.
-
6.2 Проверка правильности монтажа расходомера
При проверке правильности монтажа необходимо установить соответствие длины прямого участка трубопровода, условий монтажа первичных и вторичных преобразователей требованиям, установленным в руководстве по эксплуатации РИЮУ.407254.005 РЭ.
8
-
6.3 Проверка электрического сопротивления изоляции
Проверку электрического сопротивления изоляции цепей питания относительно корпуса производить мегаомметром, развивающим напряжение 100 В.
Расходомеры считаются выдержавшими испытание, если сопротивление изоляции электрических цепей не менее 10 МОм.
-
6.4 Опробование
Опробование проводить путем увеличения (уменьшения) расхода жидкости в пределах диапазона измерений.
Включить расходомеры.
Произвести плавное увеличение и уменьшение расхода жидкости в трубопроводе в диапазоне от 10 до 90 % верхнего предела измерений (при поверке бес-проливным (бездемонтажным) методом допускается изменять расход в пределах, обеспечиваемых технологическими возможностями оборудования).
Значение выходного сигнала наблюдать одновременно по аналоговому и цифровому выходам.
Результаты опробования считаются положительными, если при увеличении (уменьшении) расхода жидкости соответствующим образом изменялись значения выходных сигналов.
-
6.5 Проверка цифрового идентификатора метрологически значимой части ПО (контрольной суммы):
-
- запустить программу «URAN3_link.exe»;
-
- на панели «Опрос прибора» нажать кнопку «идентификация прибора»;
-
- сравнить значение в поле «Контрольная сумма» со значением контрольной суммы, указанным в паспорте.
Результаты проверки считаются положительными, если выданная программой контрольная сумма совпадает с контрольной суммой загрузочного программного модуля, указанной в паспорте на расходомер.
-
6.6 Проверка показаний расходомеров при расходе, равном нулю
-
6.6.1 Поток жидкости в трубопроводе остановить, выдержать в течение
-
15 мин для установления температурного равновесия, затем проверить показания выходных сигналов при нулевом расходе.
9
Расходомеры считаются выдержавшими испытание, если значение аналогового выходного сигнала соответствует Q=0 м3/ч, значение расхода в поле «Расход» Q=0 м3/ч.
-
6.7 Определение допускаемой основной приведенной погрешности проливным методом
-
6.7.1 Определение допускаемой основной приведенной погрешности проливным методом проводить методом сравнения значений выходных сигналов расходомеров с показаниями расходомерной установки.
-
Задать расход жидкости в пределах 60 % верхнего предела измерений расходомера и пролить расходомер в течение не менее 15 мин.
Установить расход жидкости в пределах 5 % верхнего предела измерений.
Зафиксировать фактические значения выходных сигналов расходомеров по аналоговому и цифровому выходам и действительное значение объемного расхода по показаниям расходомерной установки.
Значение измеренного объемного расхода Q расходомеров с выходным сигналом напряжения постоянного тока от 0 до 5 В или от 0 до 10 В определить по формуле
е=^е„„, (О
max
где UBbIX- выходное напряжение расходомера, В;
итах - максимальное выходное напряжение расходомера (5 В или 10 В);
Qmax ~ верхний предел измерений.
Значение измеренного объемного расхода Q расходомеров с выходным сигналом силы постоянного тока от 0 до 5 мА или от 4 до 20 мА определить по формуле
(2)
1 max 1 min
где Qmax - верхний предел измерения;
I - выходной ток, мА;
Imax ~ верхний предел диапазона изменения выходного сигнала (5 мА или
20 мА);
10
Imin - нижний предел диапазона изменения выходного сигнала (0 или
4 мА).
Основную погрешность расходомеров по аналоговому выходу, выраженную в процентах от верхнего предела измерений, определить по формуле
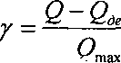
Q~Qop
Y = —~'Ю0%, (3)
«Лпах
где Qop ~ значение объемного расход по расходомерной установке, м3/ч;
Q-значение объемного расхода, вычисленное по формулам (1) или (2) для соответствующих исполнений расходомеров, м3/ч;
Qmax “ верхний предел измерений.
Основную погрешность цифрового выходного сигнала расходомеров опре
делить по формуле

(4)
где Э - значение расхода на дисплее персональной ЭВМ, м3/ч;
Qmax - верхний предел измерения, м3/ч;
Qop - значение объемного расход по расходомерной установке, м3/ч.
Повторить определение основной погрешности при среднем расходе жидкости, соответствующем 10, 40, 70 и 100 % верхнего предела измерений.
Результаты поверки по данному пункту считаются положительными, если
пределы допускаемой приведенной погрешности измерений не превышают где у - пределы допускаемой основной приведенной погрешности измерений, выраженной в процентах от верхнего предела измерений:

(5)
-
- в диапазоне от 3 до 10 % верхнего предела измерений ±2,5 %;
-
- в диапазоне от 10 до 100 % верхнего предела измерений ±1,0%;
А/из ср ~ разность температур измеряемой среды, при которой проводилась поверка, и градуировочной температуры, указанной в паспорте на поверяемый расходомер;
11
А^окрср “ Разность температур окружающей среды, при которой проводилась поверка, и градуировочной температуры, указанной в паспорте на поверяемый расходомер.
Результаты занести в протокол поверки и паспорт расходомера.
-
6.8 Определение вариации выходного сигнала
Определение вариации выходного сигнала совместить с определением допускаемой основной приведенной погрешности при первичной поверке.
Определение вариации производят на расходах 5, 10, 40 и 70 % верхнего предела измерений при подходе к ним со стороны меньших и больших значений расхода.
Медленно увеличивая расход от нулевого значения до верхнего предела, при значении расхода 5, 10, 40 и 70 % верхнего предела измерений определить значение погрешности в соответствии с п. 6.7.1.
Затем расход медленно уменьшить и повторно определить значение погрешности на тех же расходах.
Значение вариации определить по формуле (6)
5 = (6)
где ум (Уб) - значение погрешности для данного значения расхода при подходе к нему со стороны меньших (больших) расходов, %.
Расходомеры считаются выдержавшими испытание, если вариация не превышает модуля значения допускаемой основной приведенной погрешности.
Результат занести в протокол поверки и паспорт расходомера.
-
6.9 Определение основной допускаемой приведенной погрешности беспро-ливным методом
Для проведения операций поверки необходимо остановить движение жидкости в трубопроводе, в котором установлен первичный преобразователь поверяемого расходомера. Подключить расходомеры в соответствии со схемой, приведенной в приложении Б. Для этого:
- отключить кабель от разъема ХР1 вторичного преобразователя расходомера;
12
- отключить кабель от разъема XS3 вторичного преобразователя расходомера;
-
- подключить кабель КП-1 к разъему XS3 вторичного преобразователя;
-
- к зажимам 1 и 2 кабеля КП-1 подключить вольтметр;
-
- к зажимам 3 и 4 кабеля КП-1 подключить преобразователь интерфейса USB/RS485 ОВЕН АС-4;
-
- преобразователь интерфейса подключить к технологической ПЭВМ с установленным технологическим программным обеспечением «URAN3_link.exe»;
-
- демонтировать переднюю крышку вторичного преобразователя;
-
- демонтировать защитную планку с лицевой панели кассеты вторичного преобразователя (допускается срыв пломб);
-
- подключить кабель КП-2 к разъему XS 1, находящемуся на передней панели кассеты вторичного преобразователя, и измерительному каналу осциллографа. Переключить осциллограф в режим измерения длительности прямоугольного импульса подключенного измерительного канала.
-
- подключить кабель питания к разъему ХР1 вторичного преобразователя расходомера.
В поле «команды» выбрать команду «Запрос идентификационных данных». Проверить соответствие идентификационных данных, записанных в паспорте Расходомера информации, отображаемой на экране ПЭВМ. Для этого:
-
- в поле команды выбрать команду «0x16 Чтение данных из ПЗУ»;
-
- перейти на вкладку «Расширенные команды»;
-
- нажать кнопку «Считать ПЗУ»;
-
- сравнить значения в полях Ld, La, Dy, cos((p), Qmax, Al, Bl, A2, B2 с указанными в паспорте расходомера. При несовпадении значений с указанными в паспорте операции поверки прекратить.
Перейти на вкладку «Расширенные команды».
В поле «Имитация расхода» ввести значение 5 % верхнего предела измерений. Нажать кнопку «Имитация расхода». На осциллографе должен появиться
13 прямоугольный импульс длительностью от 10 до 3000 нс. В режиме измерения временных интервалов измерить длительность импульса At, нс.
Перейти на вкладку «Опрос прибора», выбрать команду «0x0А Запрос диагностических данных», нажать кнопку «Опрос RS-485», зафиксировать значение Qh3m в поле «Расход». Зафиксировать значение выходного сигнала с аналогового выхода расходомера.
Действительное значение расхода определяют по известным значениям А1, В1, Dy, Ld, La, cos((p) и измеренному значению At по формуле

• 3600--С° —) • А\ + В\,
2 • La ■ cos(<p)
(7)
где Со - скорость ультразвука в измеряемой среде, рассчитанная в поле «Скорость ультразвука».
Основную приведенную погрешность измерения расхода по цифровому выходу определить по формуле

(8)
где Qmax - верхний предел измерения, м3/ч;
Qhsm - значение выходного сигнала расходомера.
Основную приведенную погрешность измерения расхода по аналоговому выходу определить по формуле

(9)
где Q - объемный расход, вычисленный по формулам (1) или (2) для соответствующих исполнений расходомеров, м3/ч;
Повторить определение основной погрешности при имитации расхода, соответствующего 10, 40, 70 и 100 % верхнего предела измерений.
Результаты поверки по данному пункту считаются положительными, если значение основной допускаемой приведенной погрешности не превышает:
2,5 % от верхнего предела-измерений в диапазоне измерений от 3 до 10 %;
1 % от верхнего предела измерений в диапазоне измерений от 10 до 100 %. Результат занести в протокол поверки и паспорт расходомера.
14
7 Оформление результатов поверки
-
7.1 Положительные результаты первичной поверки расходомеров оформить записью в паспорте, заверенной поверителем и удостоверенной оттиском клейма.
-
7.2 Положительные результаты периодической поверки оформить отметкой в паспорте, заверенной поверителем и удостоверенной оттиском клейма или выдачей свидетельства о поверке.
-
7.3 При отрицательных результатах поверки расходомеры браковать. При периодической поверке выдать извещение о непригодности с указанием причин забракования.
15
Приложение А
(обязательное)
Схема электрическая подключения расходомера
УРАН-1РМ при поверке
Преобразователь
Вторичный ВП-1А
Болт заземления М8 к контцрц защитного заземления
Кабель сйязи КСВ
Болт заземления кабелей М8


2
1
LTI
X
Преобразо&атель
пербичный
1
Т
,1
«г
§2
LTI
3
4
Винт заземления М4
2
"2"

□J
X
со
X ZJ
X □J
QJ т
Контроль
ХР1
Кабель КНРЭ 2x1
Преобразователь
RS-485/USB
Электропитание
27 или 24 В
Аля и&ых от 0 до 5 В
Аля и&ых от 0 до 10 В
Для 16ых от 0 до 5 мА
Кабель КМПВЭ 7x1 [КВЛЭфМ 4x2x0.52)



Ю1 оЯ
J |
L Rh |
2 3 |
L |
Калибратор-измеритель ИКСУ-2000

Rh = 2 кОм
Rh = 2 кОм
Rh = 2 кОм
Для 16ых от 4 до 20 мА Rh = 500 Ом

Винт заземления М5
Рисунок А.2 Подключение Вторичного преобразователя к пер&ичному преобразобателю через муфту.
Остальное см. рисунок А.1
16
Приложение Б
(обязательное)
Схема электрическая подключения уровнемера УРАН-1РМ при определении приведенной погрешности беспроливным методом

Преобразователь бторичныи ВП-1А
XS3 |
ХРЗ |
Цепь |
Конт. |
ВыхоЗ + |
1 |
ВыхоЗ - |
2 |
RS-485 |
3 |
RS-485 |
4 |
Общий сигнальный |
6 |
ХР1 |
XS1 |
Цепь |
Конт. |
+27 В |
? |
-27 В |
3 |
Корпус |
7 |
1
4
5
2
1
2
3


Кабель КНРЭ 2x1

Кабель КП-1
I | |
Rh | |
2 1 |
г |
Калибратор-измеритель ИКСУ-2000
- Преобразователь |
ПЭВМ | |
RS-485/USB |
Кассета
Цепь | ||
КалиброВка (+) |
1 | |
КалиброВка (-1 |
2 | |
ПоВерка (+1 |
9 | |
ПоВерка 1-1 |
0 |
Кабель КП-1
X. |
Осциллограф | |
запоминающий | ||
цифройой | ||
WS64XS |
Винт заземления М4
Для 11йых от 0 Во 5 В
Rh = 2 кОм
Rh = 2 кОм
Rh = 2 кОм
Для 11йых от 0 Во 10 В
Для 1Вых от 0 Во 5 мА
Для 1Вых от 4 Во 20 мА Rh = 500 Ом
17
Лист регистрации изменений
Изм. |
Номера листов (страниц) |
Всего листов (страниц) в докум. |
№докум. |
Входящий № сопроводительного докум. и дата |
Подп. |
Дата | |||
измененных |
замененных |
новых |
анулиро-ванных | ||||||
18
РИЮУ.407254.005 МИ