Методика поверки «ШПРИЦЫ HAMILTON» (МП 2301-0151-2015)
ШПРИЦЫ HAMILTON
МЕТОДИКА ПОВЕРКИ
2301-0151-2015
Руководитель лаборатории госэталонов в области измерений массы и силы ФГУП «ВШЩМ им. Д.И. Менделеева» (_ Aris). Остривной
Санкт-Петербург
2015
СОДЕРЖАНИЕ
Настоящая программа предназначена для проведения испытаний в целях утверждения типа шприцев Hamilton изготовленных компаниями Hamilton Bonaduz AG, Швейцария, Hamilton Company, США и Hamilton Central Europe, Румыния.
Шприцы предназначены для измерения объема жидких и газообразных проб, ввода проб в испарительные устройства хроматографа.
Интервал между поверками -1 год.
1 ОПЕРАЦИИ И СРЕДСТВА ПОВЕРКИ
1.1 При проведении поверки должны быть выполнены следующие операции и применены средства измерений с характеристиками, указанными в табл. 1. Таблица 1
|
Наименование операции |
Номер пункта методик и |
Средства поверки и их технические характеристики |
Обязательность проведения операции при первичной и периодической поверке |
|
1. Внешний осмотр |
5.1 |
да | |
|
2. Опробование |
5.2 |
да | |
|
3.1 Определение значения систематической составляющей основной относительной погрешности |
5.3 |
Весы лабораторные специального класса точности по ГОСТ OIML R76-1-2011; вода бидистиллированная по ГОСТ 6709-72, ГСССД 98-2000; термометр с диапазоном измерения от 0 до 50 °C с погрешностью не более ±0,1 °C; барометр с диапазоном измерения от 80 до 160 кПа с погрешностью не более ± 200 Па; стаканчик СВ 19/19 по ГОСТ 7148(или другая посуда мерная лабораторная). | |
|
да | |||
|
3.2 Определение значения среднеквадратичного отклонения (СКО) случайной составляющей относительной погрешности |
5.4 |
да |
Примечание: Средства поверки, на которые дана ссылка в таблице 1, могут быть заменены аналогичными, обеспечивающими требуемую точность и диапазоны измерений.
Требования к весам приведены в таблице 2.
Таблица 2 - Требования к весам, используемым для поверки шприцев.
|
Диапазон объемов дозирования |
Дискретность весов, мг, не более |
Стандартная неопределенность, мг |
|
От 1 мкл до 10 мкл вкл. |
0,001 |
0,002 |
|
Св. 10 мкл до 100 мкл вкл. |
0,01 |
0,02 |
|
Св. 100 мкл до 1000 мкл вкл. |
0,1 |
0,2 |
|
Св. 1 мл до 10 мл вкл. |
0,1 |
0,2 |
|
Св. 10 мл до 200 мл вкл. |
1 |
2 |
Примечания:
-
1. Конструкция чашки весов (грузоприемной платформы) должна быть такова, чтобы испарения были незначительны.
-
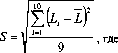
2. Под стандартной неопределенностью понимают неопределенность результата измерения, выраженную в виде среднего квадратичного отклонения (СКО) показаний весов. Стандартная неопределенность приводится в сертификате о калибровке весов. Если стандартная неопределенность не известна, то СКО показаний весов, S , можно определить по формуле:

где Д - i -ое показание весов,
i -порядковый номер измерения (i =1,2,3,......10)
L - среднее арифметическое значение показаний нагруженных весов.
1.2 Метрологические и технические характеристики шприцев приведены в таблице 3. Таблица 3
|
Обозначение шприца |
Диапазон объема дозирования |
Размеры, мм, не более |
Масса шприца, кг, не более |
Объем дозы, мкл |
Пределы допускаемой систематической со ставляющей основной относительной погрешности, % |
Предел допускаемого среднеквадратичного отклонения случайной состав ляющей относительной погрешности, % | |
|
Длина |
Диаметр | ||||||
|
Шприцы серии 600 | |||||||
|
62 |
0,5-2,5 мкл |
165 |
7 |
0,033 |
0,5 2,5 |
±8 ±5 |
5 5 |
|
65 |
1-5 мкл |
165 |
7 |
0,033 |
1 5 |
±5 ±2 |
2 2 |
|
Шприцы серии 700 | |||||||
|
75 |
1-5 мкл |
149 |
7 |
0,03 |
1 5 |
±5 ±2 |
2 2 |
|
701 |
2-10 мкл |
149 |
7 |
0,03 |
2 10 |
±5 ± 1 |
2 1 |
|
702 |
5-25 мкл |
149 |
8 |
0,03 |
5 25 |
±2 ± 1 |
2 1 |
|
705 |
10-50 мкл |
149 |
8 |
0,03 |
10 50 |
±1 ±1 |
1 1 |
Продолжение таблицы 3
|
Обозначение |
Диапазон объема до- |
Размеры, мм, не более |
Масса шприца, |
Объем дозы, |
Пределы допускаемой |
Предел допускаемого сред- | |
|
шприца |
зирования |
Длина |
Диаметр |
кг, не более |
мкл |
систематической со ставляющей основной относительной погрешности, % |
неквадратичного отклонения случайной состав ляющей относительной погрешности, % |
|
710 |
20-100 мкл |
149 |
8 |
0,03 |
20 100 |
±1 ±1 |
1 1 |
|
725 |
50-250 мкл |
149 |
8 |
0,03 |
50 250 |
±1 ±1 |
1 1 |
|
750 |
100-500 мкл |
149 |
8 |
0,03 |
100 500 |
±1 ±1 |
1 1 |
|
Шприцы серии 800 | |||||||
|
85 |
1-5 мкл |
249 |
7 |
0,072 |
1 5 |
±5 ±2 |
2 2 |
|
801 |
2-10 мкл |
249 |
7 |
0,072 |
2 10 |
±5 ± 1 |
2 1 |
|
802 |
5-25 мкл |
249 |
8 |
0,072 |
5 25 |
±2 ± 1 |
2 1 |
|
805 |
10-50 мкл |
249 |
8 |
0,072 |
10 50 |
±1 ±1 |
1 1 |
|
810 |
20-100 мкл |
249 |
8 |
0,072 |
20 100 |
±1 ±1 |
1 1 |
|
825 |
50-250 мкл |
249 |
8 |
0,072 |
50 250 |
±1 ±1 |
1 1 |
|
Шприцы серии 900 | |||||||
|
95 |
1-5 мкл |
222 |
7 |
0,54 |
1 5 |
±5 ±2 |
2 2 |
|
901 |
2-10 мкл |
222 |
7 |
0,54 |
2 10 |
±5 ± 1 |
2 1 |
|
Шприцы серии 7000 | |||||||
|
7000.5 |
0,1-0,5 мкл |
201 |
8 |
0,037 |
0,1 0,5 |
±8 ±8 |
5 5 |
|
7001 |
0,2-1 мкл |
201 |
8 |
0,037 |
0,2 1 |
±8 ±5 |
5 5 |
|
7101 |
0,2-1 мкл |
201 |
8 |
0,037 |
0,2 1 |
±8 ±5 |
5 5 |
Продолжение таблицы 3
|
Обозна- |
Диапазон |
Размеры, мм, |
Масса |
Объем |
Пределы до- |
Предел допус- | |
|
чение |
объема до- |
не более |
шприца, |
Дозы, |
пускаемой |
каемого сред- | |
|
мкл | |||||||
|
шприца |
зирования |
Длина |
Диа- |
кг, не |
системати- |
неквадра- | |
|
метр |
более |
ческой со- |
тичного откло- | ||||
|
ставляющей |
нения случай- | ||||||
|
основной от- |
ной состав- | ||||||
|
носительной |
ляющей отно- | ||||||
|
погрешности, |
сительной по- | ||||||
|
% |
грешности, % | ||||||
|
7002 |
0,4-2 мкл |
201 |
8 |
0,037 |
0,4 |
±8 |
3 |
|
2 |
±5 |
3 | |||||
|
7102 |
0,4-2 мкл |
201 |
8 |
0,037 |
0,4 |
±8 |
3 |
|
2 |
±5 |
3 | |||||
|
7105 |
1 -5 мкл |
201 |
8 |
0,037 |
1 |
±8 |
2 |
|
5 |
±5 |
2 | |||||
|
Шприцы серии 1 000 | |||||||
|
1001 |
0,2-1 мл |
160 |
9 |
0,045 |
0,1 |
±1 |
1 |
|
1 |
±1 |
1 | |||||
|
1002 |
0,5-2,5 мл |
160 |
10 |
0,044 |
0,5 |
±1 |
1 |
|
2,5 |
±1 |
1 | |||||
|
1005 |
1-5 мл |
158 |
13 |
0,055 |
1 |
±1 |
1 |
|
5 |
±1 |
1 | |||||
|
1010 |
2-10 мл |
157 |
18 |
0,084 |
2 |
±1 |
1 |
|
10 |
±1 |
1 | |||||
|
1025 |
5-25 мл |
187 |
27 |
0,191 |
5 |
±1 |
1 |
|
25 |
±1 |
1 | |||||
|
1050 |
10-50 мл |
191 |
37 |
0,235 |
10 |
±1 |
1 |
|
50 |
±1 |
1 | |||||
|
1100 |
20-100 мл |
251 |
37 |
0,368 |
200 |
±1 |
1 |
|
100 |
±1 |
1 | |||||
|
Шприцы серии 1700 | |||||||
|
1701 |
2-10 мкл |
155 |
7 |
0,025 |
2 |
±5 |
2 |
|
10 |
± 1 |
1 | |||||
|
1702 |
5-25 мкл |
155 |
8 |
0,025 |
5 |
±2 |
2 |
|
25 |
± 1 |
1 | |||||
|
1705 |
10-50 мкл |
155 |
8 |
0,025 |
10 |
±1 |
1 |
|
50 |
±1 |
1 | |||||
|
1710 |
20-100 мкл |
155 |
8 |
0,025 |
20 |
±1 |
1 |
|
100 |
±1 |
1 | |||||
|
Обозна- |
Диапазон |
Размеры, мм, |
Масса |
Объем |
Пределы до- |
Предел допус- | |
|
чение |
объема до- |
не более |
шприца, |
дозы, |
пускаемой |
каемого сред- | |
|
шприца |
зирования |
Длина |
Диа- |
кг, не |
мкл |
системати- |
неквадра- |
|
метр |
более |
ческой со- |
тичного откло- | ||||
|
ставляющей |
нения случай- | ||||||
|
основной от- |
ной состав- | ||||||
|
носительной |
ляющей отно- | ||||||
|
погрешности, |
сительной по- | ||||||
|
% |
грешности, % | ||||||
|
1725 |
50-250 мкл |
155 |
8 |
0,025 |
50 |
±1 |
1 |
|
250 |
±1 |
1 | |||||
|
1750 |
100-500 мкл |
155 |
8 |
0,025 |
100 |
±1 |
1 |
|
500 |
±1 |
1 | |||||
|
Шприцы серии 1800 | |||||||
|
1801 |
2-10 мкл |
249 |
7 |
0,07 |
2 |
±5 |
2 |
|
10 |
± 1 |
1 | |||||
|
1802 |
5-25 мкл |
249 |
8 |
0,07 |
5 |
±2 |
2 |
|
25 |
± 1 |
1 | |||||
|
1805 |
10-50 мкл |
249 |
8 |
0,07 |
10 |
±1 |
1 |
|
50 |
±1 |
1 | |||||
|
1810 |
20-100 мкл |
249 |
8 |
0,07 |
20 |
±1 |
1 |
|
100 |
±1 |
1 | |||||
|
1825 |
50-250 мкл |
249 |
8 |
0,07 |
50 |
±1 |
1 |
|
25 |
±1 |
1 | |||||
2 ТРЕБОВАНИЯ БЕЗОПАСНОСТИ
При проведении поверки должны соблюдаться правила, определяемые:
-
- правилами безопасности труда, действующими на объекте, на котором проводится поверка;
-
- правилами безопасности при эксплуатации поверяемого устройства и используемых образцовых средств измерений, приведенных в эксплуатационной документации;
-
- правилами технической эксплуатации и правил техники безопасности при работе на электроустановках.
-
3 УСЛОВИЯ ПОВЕРКИ
-
3.1 При проведении поверки должны быть соблюдены следующие условия:
-
-
- температура воздуха в помещении должна быть (20 ± 5) °C;
-
- атмосферное давление (101,3 ± 4) кПа;
-
- относительная влажность воздуха (65 ± 15) %.
-
3.2 До начала поверки шприцы, посуда и бидистиллированная должны быть выдержаны в помещении, где проводятся испытания, не менее 2 часов.
-
3.3 Место проведения поверки должно быть защищено от воздействия прямых
солнечных лучей.
-
4 ПОДГОТОВКА К ПОВЕРКЕ
-
4.1 При подготовке к проведению поверки должны быть выполнены следующие операции:
-
весы должны быть подготовлены (проведена юстировка) согласно эксплуатационной документации;
шприцы должны быть подготовлены согласно эксплуатационной документации.
-
5 ПРОВЕДЕНИЕ ПОВЕРКИ
-
5.1 Внешний осмотр
-
При внешнем осмотре должно быть установлено соответствие шприцев следующим требованиям:
-
- комплектность должна соответствовать требованиям эксплуатационной документации;
-
- отсутствие механических повреждений и неисправностей, мешающих нормальной работе;
-
- надписи и обозначения должны быть четкими и соответствовать эксплуатационной документации;
-
- наконечники должны быть ровные.
-
5.2 Опробование
При опробовании необходимо проверить работоспособность шприцев в соответствии с эксплуатационной документации.
-
5.3 Определение метрологических характеристик
Определение систематической составляющей основной относительной погрешности и СКО случайной составляющей относительной погрешности проводят в начале и в конце диапазона дозирования.
5.3.1. Устанавливают стеклянный стаканчик с крышкой, наполовину заполненный бидистиллированной водой на стол рядом с весами.
-
5.3.2 Надевают наконечник на посадочный корпус шприца и выполняют забор воды с цель формирования дозы данного объема. При заборе воды ось шприца не должна отклоняться от вертикального положения более чем на угол, равный 10 °.
-
5.3.3 Убедившись, что после выполнения первого цикла дозирования в течение 30 с не происходит истечение воды из наконечника, первую сформированную дозу сливают.
-
5.3.4 Повторно выполняют забор воды шприцем для формирования следующей дозы, сливают сформированную дозу в стаканчик или бюкс массой не более 2 г, установленный на грузоприемной платформе весов.
-
5.3.5 Взвешивают сформированную дозу воды и фиксируют показания весов.
-
5.3.6 Операцию формирования дозы, определения ее массы повторяют не менее 10 раз.
-
5.3.7 Используя результаты взвешивания, определяют в каждой из проверяемых точек диапазона дозирования среднее арифметическое объема дозы V, (мкл) по формуле
_ _ ЁМ,
V = M-Z = -^--Z, (1)
п
где М - среднее значение массы, мг;
Vii - объем z -ой дозы в J -том значении выбранного объема дозирования, мкл;
п - число измерений (п =10);
Мц - масса i -ой дозы воды, сформированная в 7 -ой точке диапазона, мг;
Z - коэффициент коррекции, мл/мг (в соответствии с таблицей 4).
-
5.3.9 Используя полученное значение V, определяют значение систематической составляющей основной относительной погрешности шприцев $<> , (%)по формуле
8 0=---^-100,
(2)
0 у г ном
где VHOM - номинальное значение объема дозы, мкл.
Аналогично рассчитывают значение 80 по ф.(2) для середины и конца диапазона.
-
5.3.10 СКО случайной составляющей основной относительной погрешности рассчитывают по формуле
•100.
(3)
Значения систематической составляющей основной относительной погрешности для каждого канала дозирования и СКО случайной составляющей основной относительной погрешности не должны превышать значений по таблице 3.
Таблица 4 - Коэффициент коррекции Z (мкл/мг)
|
Температура воды, °C |
Атмосферное давление кПа | ||||||
|
80 |
85 |
90 |
95 |
100 |
101,3 |
105 | |
|
15,0 |
1,0017 |
1,0018 |
1,0019 |
1,0019 |
1,0020 |
1,0020 |
1,0020 |
|
15,5 |
1,0018 |
1,0019 |
1,0019 |
1,0020 |
1,0020 |
1,0020 |
1,0021 |
|
16,0 |
1,0019 |
1,0020 |
1,0020 |
1,0021 |
1,0021 |
1,0021 |
1,0022 |
|
16,5 |
1,0020 |
1,0020 |
1,0021 |
1,0021 |
1,0022 |
1,0022 |
1,0022 |
|
17,0 |
1,0021 |
1,0021 |
1,0022 |
1,0022 |
1,0023 |
1,0023 |
1,0023 |
|
17,5 |
1,0022 |
1,0022 |
1,0023 |
1,0023 |
1,0024 |
1,0024 |
1,0024 |
|
18,0 |
1,0022 |
1,0023 |
1,0023 |
1,0024 |
1,0025 |
1,0025 |
1,0025 |
|
18,5 |
1,0023 |
1,0024 |
1,0024 |
1,0025 |
1,0025 |
1,0026 |
1,0026 |
|
19,0 |
1,0024 |
1,0025 |
1,0025 |
1,0026 |
1,0026 |
1,0027 |
1,0027 |
|
19,5 |
1,0025 |
1,0026 |
1,0026 |
1,0027 |
1,0027 |
1,0028 |
1,0028 |
|
20,0 |
1,0026 |
1,0027 |
1,0027 |
1,0028 |
1,0028 |
1,0029 |
1,0029 |
|
20,5 |
1,0027 |
1,0028 |
1,0028 |
1,0029 |
1,0029 |
1,0030 |
1,0030 |
|
21,0 |
1,0028 |
1,0029 |
1,0029 |
1,0030 |
1,0031 |
1,0031 |
1,0031 |
|
21,5 |
1,0030 |
1,0030 |
1,0031 |
1,0031 |
1,0032 |
1,0032 |
1,0032 |
|
22,0 |
1,0031 |
1,0031 |
1,0032 |
1,0032 |
1,0033 |
1,0033 |
1,0033 |
|
22,5 |
1,0032 |
1,0032 |
1,0033 |
1,0033 |
1,0034 |
1,0034 |
1,0034 |
|
23,0 |
1,0033 |
1,0033 |
1,0034 |
1,0034 |
1,0035 |
1,0035 |
1,0036 |
|
23,5 |
1,0034 |
1,0035 |
1,0035 |
1,0036 |
1,0036 |
1,0036 |
1,0037 |
|
24,0 |
1,0035 |
1,0036 |
1,0036 |
1,0037 |
1,0037 |
1,0038 |
1,0038 |
|
24,5 |
1,0037 |
1,0037 |
1,0038 |
1,0038 |
1,0039 |
1,0039 |
1,0039 |
|
25,0 |
1,0038 |
1,0038 |
1,0039 |
1,0039 |
1,0040 |
1,0040 |
1,0040 |
|
25,5 |
1,0039 |
1,0040 |
1,0040 |
1,0041 |
1,0041 |
1,0041 |
1,0042 |
|
26,0 |
1,0040 |
1,0041 |
1,0041 |
1,0042 |
1,0042 |
1,0043 |
1,0043 |
|
26,5 |
1,0042 |
1,0042 |
1,0043 |
1,0043 |
1,0044 |
1,0044 |
1,0044 |
|
27,0 |
1,0043 |
1,0044 |
1,0044 |
1,0045 |
1,0045 |
1,0045 |
1,0046 |
|
27,5 |
1,0045 |
1,0045 |
1,0046 |
1,0046 |
1,0047 |
1,0047 |
1,0047 |
|
28,0 |
1,0046 |
1,0046 |
1,0047 |
1,0047 |
1,0048 |
1,0048 |
1,0048 |
|
28,5 |
1,0047 |
1,0048 |
1,0048 |
1,0049 |
1,0049 |
1,0050 |
1,0050 |
|
29,0 |
1,0049 |
1,0049 |
1,0050 |
1,0050 |
1,0051 |
1,0051 |
1,0051 |
|
29,5 |
1.0050 |
1.0051 |
1.0051 |
1.0052 |
1.0052 |
1.0052 |
1.0053 |
|
30,0 |
1,0052 |
1,0052 |
1,0053 |
1,0053 |
1,0054 |
1,0054 |
1,0054 |
6 ОФОРМЛЕНИЕ РЕЗУЛЬТАТОВ ПОВЕРКИ
-
6.1 Положительные результаты поверки должны оформляться выдачей свидетельства о поверке. Знак поверки наносят на свидетельство о поверке при первичной и периодической поверках.
В свидетельстве о поверке могут быть указаны наибольшие по абсолютной величине значения метрологических характеристик, полученные при поверке.
-
6.2 В случае отрицательных результатов поверки шприцы к применению не допускаются, выдаётся извещение о непригодности.
10
