Методика поверки «ГСИ. Система измерений количества и показателей качества нефти № 17 ПСП ЛПДС «Юргамыш»» (МП 0343-14-2015)
*
? , z JL
•• /*. .^«с ;/ ,^‘’К
1
ito
Федеральное государственное унитарное предприятие
«Всероссийский научно - исследовательский институт расходометрии» (ФГУП «ВНИИР»)

ИНСТРУКЦИЯ
Государственная система обеспечения единства измерений
Система измерений количества и показателей качества нефти № 17 ПСП ЛПДС «Юргамьпп»
Методика поверки
МП 0343-14-2015
Казань
2015
Настоящая инструкция распространяется на систему измерений количества и показателей качества нефти № 17 ПСП ЛПДС «Юргамыш» (далее - система) и устанавливает объём, порядок и методику проведения первичной и периодической поверок системы.
Интервал между поверками - 12 месяцев.
1 Операции поверкиПри проведении поверки выполняют операции, приведенные в таблице 1.
Таблица 1 - Операции поверки
Наименование операции |
Номер пункта документа по поверке |
Проведение операции при | |
первичной поверке |
периодической поверке | ||
Проверка комплектности технической документации |
6.1 |
Да |
Нет |
Подтверждение соответствия программного обеспечения системы |
6.2 |
Да |
Да |
Внешний осмотр |
6.3 |
Да |
Да |
Опробование |
6.4 |
Да |
Да |
Определение метрологических характеристик |
6.5 |
Да |
Да |
2 Средства поверки
-
2.1 Установка поверочная трубопоршневая (далее - ТПУ) с верхним пределом диапазона измерений объемного расхода 4000 м3/ч и пределами допускаемой относительной погрешности ± 0,1 %.
-
2.2 Средства поверки, указанные в нормативных документах (НД) на методики поверки СИ, входящих в состав системы, приведенных в таблице 2 настоящей инструкции.
-
2.3 Допускается применять другие аналогичные по назначению средства поверки средств измерений (СИ) утвержденных типов, если их метрологические характеристики не уступают указанным в данной инструкции.
При проведении поверки соблюдают требования, определяемые:
-
- в области охраны труда - Трудовым кодексом Российской Федерации от 30.12.2001 № 197-ФЗ;
-
- в области промышленной безопасности - Федеральным законом «О промышленной
безопасности опасных производственных объектов» № 116-ФЗ от 21.07.97 г., (с
изменениями), «Правила безопасности в нефтяной и газовой промышленности» (приказ Ростехнадзора № 101 от 12.03.2013), руководством по безопасности «Рекомендации по устройству и безопасной эксплуатации технологических трубопроводов», утвержденным Приказом № 784 от 27 декабря 2012 г., а также другими действующими отраслевыми НД;
-
- в области пожарной безопасности - Федеральным законом «О пожарной безопасности» № 69-ФЗ от 21 декабря 1994 г., (с изменениями), постановлением правительства РФ от 25 апреля 2012 г. № 390 «Правила противопожарного режима в РФ», СНиП 21.01-97 «Пожарная безопасность зданий и сооружений» с изменением № 2 от 2002 г., НПБ 88-2001 «Установки пожаротушения и сигнализации. Нормы и правила
Настоящая инструкция распространяется на систему измерений количества и показателей качества нефти № 17 ПСП ЛПДС «Юргамыш» (далее - система) и устанавливает объём, порядок и методику проведения первичной и периодической поверок системы.
Интервал между поверками - 12 месяцев.
1 Операции поверкиПри проведении поверки выполняют операции, приведенные в таблице 1.
Таблица 1 - Операции поверки
Наименование операции |
Номер пункта документа по поверке |
Проведение операции при | |
первичной поверке |
периодической поверке | ||
Проверка комплектности технической документации |
6.1 |
Да |
Нет |
Подтверждение соответствия программного обеспечения системы |
6.2 |
Да |
Да |
Внешний осмотр |
6.3 |
Да |
Да |
Опробование |
6.4 |
Да |
Да |
Определение метрологических характеристик |
6.5 |
Да |
Да |
2 Средства поверки
-
2.1 Установка поверочная трубопоршневая (далее - ТПУ) с верхним пределом диапазона измерений объемного расхода 4000 м3/ч и пределами допускаемой относительной погрешности ± 0,1 %.
-
2.1 Средства поверки, указанные в нормативных документах (НД) на методики поверки СИ, входящих в состав СИКН, приведенных в таблице 2 настоящей инструкции.
-
2.1 Допускается применять другие аналогичные по назначению средства поверки средств измерений (СИ) утвержденных типов, если их метрологические характеристики не уступают указанным в данной инструкции.
При проведении поверки соблюдают требования, определяемые:
-
- в области охраны труда - Трудовым кодексом Российской Федерации от 30.12.2001 № 197-ФЗ;
-
- в области промышленной безопасности - Федеральным законом «О промышленной безопасности опасных производственных объектов» № 116-ФЗ от 21.07.97 г., (с изменениями), «Правила безопасности в нефтяной и газовой промышленности» (приказ Ростехнадзора №101 от 12.03.2013), руководством по безопасности «Рекомендации по устройству и безопасной эксплуатации технологических трубопроводов», утвержденным Приказом № 784 от 27 декабря 2012 г., а также другими действующими отраслевыми НД;
-
- в области пожарной безопасности - Федеральным законом «О пожарной безопасности» № 69-ФЗ от 21 декабря 1994 г., (с изменениями), постановлением правительства РФ от 25 апреля 2012 г. № 390 «Правила противопожарного режима в РФ», СНиП 21.01-97 «Пожарная безопасность зданий и сооружений» с изменением № 2 от 2002 г., НПБ 88-2001 «Установки пожаротушения и сигнализации. Нормы и правила проектирования»; Федеральным законом № 123- ФЗ от 22.07.2008 г. «Технический регламент о требованиях пожарной безопасности»;
-
- в области соблюдения правильной и безопасной эксплуатации электроустановок -«Правила по охране труда при эксплуатации электроустановок» (утверждены Приказом Минтруда России от 24.07.2013 №328н); Приказ Минэнерго РФ от 13 января 2003 г. № 6 «Об утверждении Правил технической эксплуатации электроустановок потребителей»;
-
- в области охраны окружающей среды - Федеральным законом «Об охране окружающей среды» № 7-ФЗ от 12.03.2014 г.; Федеральным законом № 89-ФЗ от 24 июня 1998 года «Об отходах производства и потребления» и другими действующими законодательными актами на территории РФ.
При проведении поверки соблюдают условия в соответствии с требованиями НД на методики поверки СИ, входящих в состав системы.
Характеристики системы и параметры измеряемой среды при проведении поверки должны соответствовать требованиям, приведенным в таблице 2.
Соответствие параметров измеряемой среды, указанных в таблице 2, проверяют по данным актов приема-сдачи нефти.
Таблица2 - Характеристики системы и параметры измеряемой среды
Наименование характеристики |
Значение характеристики |
Измеряемая среда |
Нефть по ГОСТ Р 51858-2002 «Нефть. Общие технические условия» |
Диапазон измерений объемного расхода, м3/ч |
От 4500 до 12139 |
Избыточное давление измеряемой среды, МПа:
|
0,294 0,245 1,57 |
Параметры измеряемой среды | |
Температура измеряемой среды, °C |
От 11 до 29,5 |
Плотность измеряемой среды при температуре 20 °C и избыточном давлении, равном нулю, кг/м3 |
От 856 до 880 |
Вязкость кинематическая измеряемой среды в рабочем диапазоне температуры, мм2/с (сСт) |
От 8 до 35 |
Массовая доля воды, %, не более |
0,5 |
Массовая доля механических примесей, %, не более |
0,05 |
Массовая концентрация хлористых солей, мг/дм3, не более |
100 |
Содержание свободного газа, % |
Не допускается |
При подготовке к поверке проводят работы в соответствии с инструкцией по эксплуатации системы и НД на методики поверки СИ, входящих в состав системы.
6 Проведение поверки-
6.1 Проверка комплектности технической документации
Проверяют наличие действующих свидетельств о поверке и эксплуатационнотехнической документации на СИ, входящие в состав системы.
-
6.2 Подтверждение соответствия программного обеспечения (ПО) системы.
-
6.2.1 Проверяют соответствие идентификационных данных ПО системы сведениям, приведенным в описании типа на систему.
-
6.2.2 Определение идентификационных данных ПО комплекса измерительновычислительного ИМЦ-07 (далее - ИВК) проводят в соответствии с документом «Комплекс измерительно-вычислительный ИМЦ-07. Руководство оператора. РХ.7000.01.01 РО».
-
Для просмотра версии ПО, контрольной суммы и других сведений необходимо в строке меню выбрать «Контекстное меню» (3 вертикальных точки в правом верхнем углу экрана), затем выбрать пункт «О программе». На экране появится окно со сведениями о ПО ИВК (Рисунок 1).

Рисунок 1
-
6.2.3 Определение идентификационных данных ПО автоматизированного рабочего места (АРМ) оператора системы «Форвард» проводят в следующей последовательности:
-
- на главном окне программы необходимо нажать вкладку «О программе», находящуюся в левом верхнем углу экрана; в открывшемся окне приведены сведения о версии ПО;
-
- далее необходимо нажать вкладку «Модули»; в открывшемся окне приведены сведения о идентификационном наименовании модуля ПО и его контрольная сумма.
-
6.3 Внешний осмотр
При внешнем осмотре должно быть установлено соответствие системы следующим требованиям:
-
- комплектность системы должна соответствовать технической документации;
-
- на компонентах системы не должно быть механических повреждений и дефектов покрытия, ухудшающих внешний вид и препятствующих их применению;
-
- надписи и обозначения на компонентах системы должны быть четкими и соответствовать технической документации.
-
6.4 Опробование
-
6.4.1 Опробование проводят в соответствии с НД на методику поверку СИ, входящих в состав системы.
-
6.4.2 Проверяют действие и взаимодействие компонентов системы в соответствии с инструкцией по эксплуатации системы, возможность получения отчета.
-
6.4.3 Проверяют герметичность системы.
-
На элементах и компонентах системы не должно быть следов протечек нефти.
-
6.5 Определение метрологических характеристик
-
6.5.1 Определение метрологических характеристик СИ, входящих в состав системы, проводят в соответствии с НД, приведенными в таблице 3 с учетом требований,
-
предъявляемых к системе.
Таблица 3 - СИ и методики их поверки
Наименование СИ |
НД |
Преобразователи расхода жидкости ультразвуковые DFX-MM (далее - УПР) |
МИ 3265-2010 «Рекомендация. ГСИ. Ультразвуковые преобразователи расхода. Методика поверки на месте эксплуатации» |
Преобразователи вторичные серии Т модификации T32.1S |
МП 2411-0080-2012 «Преобразователи вторичные серии Т, модификаций T32.1S, T32.3S, фирмы «WIKA Alexandr Wiegand SE & Co. KG», Германия. Методика поверки» |
Т ермопреобразователи сопротивления серии TR модификации TR10-L |
ГОСТ 8.461-2009 «ГСИ. Термопреобразователи из платины, меди и никеля. Методика поверки» |
Преобразователи измерительные Rosemount 644 |
12.5314.000.00 МП «Преобразователи измерительные Rosemount 644, Rosemount 3144Р. Методика поверки» |
Т ермопреобразователи сопротивления платиновые серии 65 |
ГОСТ 8.461-2009 «ГСИ. Термопреобразователи из платины, меди и никеля. Методика поверки» |
Преобразователи давления измерительные IPT-10 |
МИ 1997-89 «Рекомендация. ГСИ. Преобразователи давления измерительные. Методика поверки» |
Преобразователи давления измерительные 3051 |
«Рекомендация. ГСИ. Преобразователи давления измерительные 3051. Методика поверки», утвержденная ГЦИ СИ ФГУП «ВНИИМС» в феврале 2010 г. |
Преобразователи плотности жидкости измерительные модели 7835 (далее - ПП) |
МИ 2816-2012 «Рекомендация. ГСИ. Преобразователи плотности поточные. Методика поверки на месте эксплуатации»; МИ 3240-2009 «Рекомендация. ГСИ. Преобразователи плотности жидкости поточные. Методика поверки» |
Влагомеры нефти поточные УДВН-1пм |
МИ 2366-2005 «Рекомендация. ГСИ. Влагомеры нефти типа УДВН. Методика поверки» |
Преобразователи плотности и вязкости жидкости измерительные модели 7829 |
МИ 3302-2010 «Рекомендация. ГСИ. Преобразователи плотности и вязкости жидкости измерительные модели 7827 и 7829. Методика поверки»; МИ 3119-2008 «Рекомендация. ГСИ. Преобразователи плотности и вязкости жидкости измерительные модели 7827 и 7829. Методика поверки на месте эксплуатации» |

Окончание таблицы 3 - СИ и методики их поверки
Наименование СИ |
нд |
ИВК |
МИ 3395-2013 «Рекомендация. ГСИ. Комплексы измерительно-вычислительные ИМЦ-07. Методика поверки» |
Манометры показывающие для точных измерений МПТИ |
5Ш0.283.421 МП «Манометры, вакуумметры и мановакуумметры показывающие для точных измерений МПТИ, ВПТИ и МВПТИ. Методика поверки» |
Термометры ртутные стеклянные лабораторные ТЛ-4 |
ГОСТ 8.279-78 «ГСИ. Термометры стеклянные жидкостные рабочие. Методика поверки» |
Расходомер ультразвуковой UFM 3030, установленный в блоке измерений показателей качества нефти, преобразователи давления измерительные 3051, предназначенные для измерения разности давлений подлежат калибровке не реже одного раза в год. При отсутствии методики калибровки калибровку проводят по методике поверки.
Все операции, связанные с подготовкой и проведением поверки, выполняют в соответствии с НД на методики поверки, приведенными в таблице 3.
-
6.5.2 Определение относительной погрешности системы при измерении массы брутто нефти.
Относительную погрешность системы при измерении массы брутто нефти 5МБ, %, в соответствии с ГОСТ Р 8.595-2004 «ГСП. Масса нефти и нефтепродуктов. Общие требования к методикам выполнения измерений» при косвенном методе динамических измерений и измерении объема нефти с применением УПР и плотности нефти с применением ПП, ареометра или лабораторного плотномера при приведении результатов измерений объема и плотности нефти к стандартным условиям проводят по формуле
5Мб = ± 1,1 х ^д.1 + О2 х(J2 + Д2 х104 х ДГ2) + Д2 х 104 х\Т2 + 52 , (1)
где 5V - относительная погрешность измерений объема нефти, %. За 5V принимают относительную погрешность УПР.
G - коэффициент, вычисляемый по формуле
+ (2)
1 + 2хДх7;
где /3 - коэффициент объемного расширения нефти, 1/°С (приложение А ГОСТ Р 8.595);
Tp,Tv - температура нефти на момент поверки при измерениях плотности и объема нефти соответственно, °C;
др - пределы допускаемой относительной погрешности измерений плотности нефти с применением ПП или ареометра, %, вычисляют по формуле
др=^-х100 (3)
Рmin
где Jp - пределы допускаемой абсолютной погрешности ПП или ареометра, кг/м3;
рт/п - нижний предел рабочего диапазона плотности нефти, кг/м3;
д.Тр, \Ту - абсолютные погрешности измерений температуры Тр, Ту ,°С;
dN - пределы допускаемой относительной погрешности преобразования входных электрических сигналов ИВК в значения массы брутто нефти, %.

Поверку УПР на месте эксплуатации в рабочем диапазоне измерений объемного расхода выполняют в автоматизированном режиме с применением ТПУ.
Значения относительных и абсолютных погрешностей составляющих формулы (1) подтверждают свидетельствами об утверждении типа СИ и действующими свидетельствами о поверке.
Относительная погрешность системы при измерении массы брутто нефти не должна превышать ± 0,25 %.
-
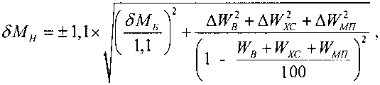
6.5.3 Определение относительной погрешности системы при измерении массы нетто нефти.
Относительную погрешность системы при измерении массы нетто нефти 6МН, %,
вычисляют по формуле

(4)
где ДЖд - абсолютная погрешность измерений массовой доли воды в лаборатории, %, вычисляют по формуле (7);
ДЖм/7 _ абсолютная погрешность измерений массовой доли механических примесей в нефти, %;
Д1ГХС - абсолютная погрешность измерений массовой доли хлористых солей в нефти, %, вычисляемая по формуле
4(^=0,1х^, (5)
Рн
где Д^хс - абсолютная погрешность измерений массовой концентрации хлористых солей в нефти, мг/дм3;
р„с - плотность нефти при условиях измерений <рхс, кг/м3.
WB - массовая доля воды в нефти, определенная в лаборатории, %;
- массовая доля механических примесей в нефти, %, определенная в лаборатории; Wxc - массовая доля хлористых солей в нефти, %, определенная в лаборатории и вычисляемая по формуле
Wxc=0.1^> (6)
Рн
где <рхс - массовая концентрация хлористых солей в нефти, мг/дм3, определенная в лаборатории.
Абсолютную погрешность измерений массовой доли воды, массовой концентрации хлористых солей и массовой доли механических примесей в нефти определяют в соответствии с ГОСТ Р 8.580-2001 «ГСИ. Определение и применение показателей точности методов испытаний нефтепродуктов».
Для доверительной вероятности Р = 0,95 и двух измерений соответствующего
показателя качества нефти абсолютную погрешность его измерений вычисляют по формуле
7т?2-г2х0,5
(Т)
где R и г - воспроизводимость и сходимость метода определения соответствующего показателя качества нефти, значения которых приведены в ГОСТ 2477-65 «Нефть и
« нефтепродукты. Метод определения содержания воды», ГОСТ 21534-76 «Нефть. Методы
определения содержания хлористых солей», ГОСТ 6370-83 «Нефть, нефтепродукты и присадки. Метод определения механических примесей».
Воспроизводимость R метода определения концентрации хлористых солей по ГОСТ 21534 принимают равной удвоенному значению сходимости г.
Относительная погрешность измерений массы нетто нефти не должна превышать ± 0,35 %.
Все операции, связанные с подготовкой и проведением поверки, выполняют в соответствии с НД на методики поверки, приведенными в таблице 3.
7 Оформление результатов поверки-
7.1 При положительных результатах поверки оформляют свидетельство о поверке системы по форме Приложения 1 к Порядку проведения поверки средств измерений, требований к знаку поверки и содержанию свидетельства о поверке, утвержденному приказом Минпромторга России от 2 июля 2015 г. № 1815.
На оборотной стороне свидетельства о поверке системы указывают диапазон измерений объемного расхода и пределы допускаемой относительной погрешности измерений массы (брутто, нетто) нефти.
-
7.2 При отрицательных результатах поверки систему к эксплуатации не допускают, свидетельство о поверке аннулируют и выдают извещение о непригодности по форме Приложения 2 к Порядку проведения поверки средств измерений, требованиям к знаку поверки и содержанию свидетельства о поверке, утвержденному приказом Минпромторга России от 2 июля 2015 г. № 1815.
9