Методика поверки «Образец контрольный с искусственным дефектом «11010WR60A»» (Код не указан!)
Заместитель директора арийский ЦСМ»

оепЕРАПЬНОЕ
А.Г. Учайкин 0 3______2016 г.
ИСПЬЛА^
ЦАР1ЛИЗП»
ГОСУДАРСТВЕННАЯ СИСТЕМА ОБЕСПЕЧЕНИЯ ЕДИНСТВА ИЗМЕРЕНИЙ
Образец контрольный с искусственным дефектом «11010WR60A»
МЕТОДИКА ПОВЕРКИ
л р.г. Йошкар-Ола 2016 г.
СОДЕРЖАНИЕ
5. ТРЕБОВАНИЯ К КВАЛИФИКАЦИИ ПОВЕРИТЕЛЕЙ
ПРИЛОЖЕНИЕ Б « ФОРМА ПРОТОКОЛА ПОВЕРКИ»
1. ОБЩИЕ ПОЛОЖЕНИЯНастоящая методика распространяется на Образец контрольный с искусственным дефектом (ИД) «11010WR60A» заводской № 15112472271ОА (далее образец), предназначенного для воспроизведения геометрических параметров наружного дефекта (длины, глубины и ширины) и используется для настройки условной чувствительности и проверки оборудования вихретоковой дефектоскопии блоков цилиндров.
Образец подлежит поверке с периодичностью, устанавливаемой потребителем с учётом режимов и интенсивности эксплуатации, но не реже одного раза в два года.
2 НОРМАТИВНЫЕ ССЫЛКИВ настоящей методике использовались ссылки на следующие нормативные документы:
РМГ 51-2002 «ГСИ. Документы на методики поверки средств измерений. Основные положения».
ГОСТ 12.2.003-91 «Система стандартов безопасности труда. Оборудование производственное. Общие требования безопасности».
3. ОПЕРАЦИИ ПОВЕРКИ
При проведении поверки выполняют операции, указанные в таблице 1.
Таблица 1 - Операции поверки
Наименование операции |
Номер пункта НД по поверке |
Обязательность проведения операции при | |
первичной поверке |
периодической поверке | ||
1 |
2 |
3 |
4 |
1. Подготовка к проведению поверки |
8 |
Да |
Да |
2. Внешний осмотр |
9.1 |
Да |
Да |
3. Определение пределов допускаемой абсолютной погрешности воспроизведения длины, ширины и глубины искусственного дефекта (ИД) |
Да |
Да | |
4. Оформление результатов поверки |
И |
Да |
Да |
4. СРЕДСТВА ПОВЕРКИ
При проведении поверки применяют следующие средства поверки (эталоны, средства измерений и вспомогательные устройства):
линейка измерительная металлическая, (0 - 1000) мм;
весы лабораторные ВМ 24001, НПВ = 24 кг; ПГ ± 3 г;
микроскоп инструментальный ИМЦ 150X50, Б. Предел допускаемой основной погрешности ±3 мкм при отсчете от нулевого положения в диапазоне измерений (0-25) мм;
приспособление в виде плоского зеркала для изменения хода лучей;
индикатор часового типа ИЧ-10 с ценой деления 0,01 мм КТ 0;
стойка С11-28-125-125;
плита поверочная шлифовальная тип 1000x630 КТ 1.
Примечания:
-
1. Допускается применение других средств поверки с метрологическими характеристиками, обеспечивающими в соответствии с вышеуказанными нормативными документами требуемую точность измерений.
-
2. Все СИ, применяемые при поверке, должны быть утвержденного типа и поверены.
5 ТРЕБОВАНИЯ К КВАЛИФИКАЦИИ ПОВЕРИТЕЛЕЙ
-
5.1 К проведению поверки образца допускают персонал организаций, аккредитованных в области обеспечения единства измерений на право поверки СИ в соответствии с установленным
порядком, изучивших настоящую методику поверки и паспорт на образец, имеющих опыт работы по поверке геометрических средств измерений.
-
6. ТРЕБОВАНИЯ БЕЗОПАСНОСТИ
-
6.1 При проведении поверки должны быть соблюдены требования безопасности, установленные ГОСТ 12.2.003-91, а также требования безопасности на средства поверки и вспомогательное оборудование, изложенные в документах, содержащих методику поверки, и/или в эксплуатационной документации на данные средства поверки и вспомогательное оборудование.
-
-
7. УСЛОВИЯ ПОВЕРКИ
-
• температура окружающего воздуха, °C
5-25;
30-80;
84-106,7 (630-800).
-
• относительная влажность окружающего воздуха, %
-
• атмосферное давление, кПа (мм рт. ст.)
8 ПОДГОТОВКА К ПОВЕРКЕ
-
8.1 Для проведения поверки поверителю должны быть предоставлены копии следующих документов:
-
- паспорт на образец;
-
- описание типа на образец;
-
8.2 Перед проведением поверки ИД образца очищается от пыли и грязи хлопчатобумажной салфеткой, смоченной спиртом или бензином, затем продувается воздухом от резиновой груши.
9. ПРОВЕДЕНИЕ ПОВЕРКИ
9.1 Внешний осмотр-
9.1.1 Проверяют целостность ИД и отсутствие видимых повреждений.
При наличии несоответствий по п. 9.1.1, влияющих на метрологические характеристики (далее - MX) образца, дальнейшие операции по поверке прекращаются, в случае невозможности их устранения в процессе поверки, бракуется, выписывается извещение о непригодности.
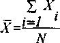
9.2 Определение пределов допускаемой абсолютной погрешности воспроизведения длины, ширины и глубины искусственного дефекта (ИД).При определении пределов допускаемой абсолютной погрешности воспроизведения длины, ширины и глубины ИД проводят многократные измерения (N=5 измерений) геометрических размеров ИД согласно схемам, приведенным на рис. 1-2.
Находят среднее значение результата из 5 измерений по формуле (1):
N

вычисляют стандартное отклонение результатов измерений sr по формуле (2):

наблюдатель

Схема измерений ширины и длины искусственного дефекта на микроскопе

Рис. 2
Схема измерений глубины искусственного дефекта с помощью индикатора часового типа
Пределы допускаемой абсолютной погрешности воспроизведения длины, ширины и глубины ИД
^сумм вычисляют по формуле (3)
&сумм

(3)
где К =2 для доверительной вероятности Р=0,95;
Д в случае измерения ширины и глубины ИД равна допускаемой абсолютной погрешности микроскопа, а в случае измерения глубины ИД - допускаемой абсолютной погрешности индикатора часового типа.
Результаты проверки считают удовлетворительными, если пределы допускаемой абсолютной погрешности воспроизведения размера ИД не превышают для:
-длины ±0,1 мм;
-
- ширины ±0,2 мм;
-
- глубины ±0,1 мм
-
11.1 На основании положительных результатов поверки по пунктам раздела 9, выдают свидетельство о поверке, оформленное в соответствии с Приложением к приказу Минпромторга № 1815 от 02.07.2015 г. «Порядок проведения поверки средств измерений, требования к знаку поверки и содержанию свидетельства о поверке».
-
11.2 При отрицательных результатах поверки образец признается непригодной к дальнейшей эксплуатации и на него выдается извещение о непригодности, оформленное в соответствии с действующим законодательством РФ об обеспечении единства измерений.
Приложение А
(обязательное)
Форма протокола поверки
Протокол поверки
образца контрольного с искусственным дефектом «11010WR60A».
1. Наименование организации, проводящей поверку | |
2. Адрес организации, проводящей поверку | |
3. Место проведения поверки | |
4. Дата проведения поверки | |
5. Полное наименование образца |
Образец контрольный с искусственным дефектом «11010WR60A» |
6. Заводской № образца |
151124722710А |
7. Методика поверки |
Образец контрольный с искусственным дефектом «11010WR60A». Методика поверки |
8. Условия проведения поверки | |
Температура окружающей среды | |
Атмосферное давление | |
Относительная влажность воздуха |
9. Эталоны и вспомогательные устройства, применяемые при поверке
№ п/п |
Тип |
Заводской № |
№ свидетельства о поверке |
Дата поверки |
1. | ||||
2. | ||||
3. |
Вывод:
-
11. Определение пределов допускаемой абсолютной погрешности воспроизведения длины, ширины и глубины искусственного дефекта (ИД).
Таблица 2 Результаты измерений и вычислений
Xi, мм |
X |
N , _Ч2 S = +1{-------------- г ЛМ |
^сумм ~^^Sr + 3 |
Измерение длины ИД. N=5; Р=0,95; К=2; Д= 0,003 мм | |||
Измерение ширины ИД N=5; Р=0,95; К=2; Д= 0,003 мм | |||
Измерение глубины ИД N=5; Р=0,95; К=2; Д= 0,008 мм | |||
Вывод:
Общий вывод:
Поверитель:_____________________________________________________
Ф. И. О., подпись