Методика поверки «Система измерений количества и параметров свободного нефтяного газа на котельную ОБП ЦППН УПНГ ООО «Башнефть-Полюс»» (МП 2812/5-311229-2015)

Регистрационный № RA.RU.311229 выдан 30.07.2015 г.
«УТВЕРЖДАЮ»
Технический директор
ООО Центр Метрологии «СТП»
И.А. Яценко
« ЗТ »______/Й_________2015 г.
\ У
Государственная система обеспечения единства измерений
Система измерений количества и параметров свободного нефтяного газа на котельную ОБП ЦППН УПНГ ООО «Башнефть-Полюс»
МЕТОДИКА ПОВЕРКИ
МП 2812/5-311229-2015
4
г. Казань
2015
СОДЕРЖАНИЕ
-
1.1 Настоящая методика поверки распространяется на систему измерений количества и параметров свободного нефтяного газа на котельную ОБП ЦППН УПНГ ООО «Башнефть-Полюс», заводской № СИКГ 1016, изготовленную и принадлежащую ООО «Башнефть-Полюс», г. Нарьян-Мар, и устанавливает методику первичной поверки до ввода в эксплуатацию и после ремонта, а также методику периодической поверки в процессе эксплуатации.
-
1.2 Система измерений количества и параметров свободного нефтяного газа на котельную ОБП ЦППН УПНГ ООО «Башнефть-Полюс» (далее - СИКГ) предназначена для измерений объемного расхода (объема) свободного нефтяного газа (далее - газа) при рабочих условиях и приведения объемного расхода (объема) газа к стандартным условиям по ГОСТ 2939 -63.
-
1.3 Принцип действия СИКГ заключается в непрерывном измерении, преобразовании и обработке при помощи системы обработки информации (далее - СОИ) входных сигналов, поступающих по измерительным каналам (далее ИК) от измерительных преобразователей (далее - ИП) расхода, давления, температуры.
-
1.4 СИКГ состоит из одной измерительной линии (далее - ИЛ), на которой установлены:
-
- расходомер-счетчик вихревой 8800DR. DN 50 (Госреестр № 14663-06);
-
- датчик температуры 644 (Госреестр № 39539-08);
-
- преобразователь давления измерительный 3051TG (Госреестр № 14061-10).
-
1.5 СОИ СИКГ включает:
-
- вычислитель УВП-280А.01 (Госреестр № 18379-09);
-
- преобразователи измерительные тока и напряжения с гальванической развязкой (барьеры искрозащиты) KFD2-STC4-Ex2 (Госреестр № 22153-08).
-
1.6 Расчет объемного расхода (объема) газа при стандартных условиях выполняется вычислителем УВП-280А.01 на основе объемного расхода газа при рабочих условиях, плотности газа при стандартных условиях и плотности газа при рабочих условиях.
-
1.7 СИКГ представляет собой единичный экземпляр измерительной системы, спроектированной для конкретного объекта из компонентов серийного отечественного и импортного изготовления. Монтаж и наладка СИКГ осуществлены непосредственно на объекте эксплуатации в соответствии с проектной документацией СИКГ и эксплуатационными документами ее компонентов.
-
1.8 Поверка СИКГ проводится поэлементно:
-
- поверка средств измерений (далее - СИ), входящих в состав СИКГ, осуществляется в соответствии с их методиками поверки;
-
- ИК СИКГ поверяют на месте эксплуатации СИКГ в соответствии с настоящей методикой поверки;
-
- метрологические характеристики СИКГ определяют расчетным методом в соответствии с настоящей методикой поверки.
-
1.9 Интервал между поверками СИ. входящих в состав СИКГ, - в соответствии с описаниями типа на эти СИ.
-
1.10 Интервал между поверками СИКГ - 3 года.
При проведении поверки должны быть выполнены операции, приведенные в таблице 2.1.
Таблица 2.1 - Операции поверки
№ п/п |
Наименование операции |
Номер пункта методики поверки |
1 |
Проверка технической документации |
7.1 |
2 |
Внешний осмотр |
7.2 |
№ п/п |
Наименование операции |
Номер пункта методики поверки |
3 |
Опробование |
7.3 |
4 |
Определение метрологических характеристик СИКГ |
7.4 |
5 |
Оформление результатов поверки |
8 |
3 СРЕДСТВА ПОВЕРКИ
-
3.1 При проведении поверки СИКГ применяют эталоны и СИ, приведенные в таблице
3.1.
Таблица 3.1 - Основные эталоны и СИ
Номер пункта методики |
Наименование и тип основного и вспомогательного средства поверки и метрологические и основные технические характеристики средства поверки |
5.1 |
Барометр-анероид М-67 с пределами измерений от 610 до 790 мм рт.ст., погрешность измерения ± 0,8 мм рт.ст., по ТУ 2504-1797-75. |
5.1 |
Психрометр аспирационный М3 4, пределы измерений влажности от 10 % до 100 %, погрешность измерения ± 5 %. |
5.1 |
Термометр ртутный стеклянный ТЛ-4 (№ 2) с пределами измерений от 0 °C до 55 °C по ГОСТ 28498-90. Цена деления шкалы 0,1 °C. |
7.4 |
Калибратор многофункциональный MC5-R-IS: диапазон воспроизведения силы постоянного тока от 0 до 25 мА, пределы допускаемой основной погрешности воспроизведения ±(0,02 % показания + 1 мкА). |
-
3.2 Допускается использование других эталонов и СИ, по своим характеристикам не уступающих указанным в таблице 3.1.
-
3.3 Все применяемые СИ должны иметь действующие поверительные клейма или свидетельства о поверке.
-
4.1 При проведении поверки должны соблюдаться следующие требования:
-
- корпуса применяемых СИ должны быть заземлены в соответствии с их эксплуатационной документацией;
-
- ко всем используемым СИ должен быть обеспечен свободный доступ для заземления, настройки и измерений;
-
- работы по соединению вспомогательных устройств должны выполняться до подключения к сети питания;
-
- обеспечивающие безопасность труда, производственную санитарию и охрану окружающей среды;
-
- предусмотренные «Правилами технической эксплуатации электроустановок потребителей» и эксплуатационной документацией оборудования, его компонентов и применяемых средств поверки.
-
4.2 К работе по поверке должны допускаться лица:
-
- достигшие 18-летнего возраста;
-
- прошедшие инструктаж по технике безопасности в установленном порядке;
-
- изучившие эксплуатационную документацию на СИКГ, СИ, входящие в состав СИКГ, и средства поверки.
При проведении поверки должны соблюдаться следующие условия:
-
- температура окружающего воздуха, °C (20±5)
-
- относительная влажность, % от 30 до 80
-
- атмосферное давление, кПа от 84 до 106,7
Перед проведением поверки выполняют следующие подготовительные операции:
-
- проверяют заземление СИ, работающих под напряжением;
-
- эталонные СИ и СОИ СИКГ выдерживают при температуре, указанной в разделе 5, не менее 3-х часов, если время их выдержки не указано в инструкции по эксплуатации;
-
- эталонные СИ и СОИ СИКГ устанавливают в рабочее положение с соблюдением указаний эксплуатационной документации;
-
- осуществляют соединение и подготовку к проведению измерений эталонных СИ и СОИ СИКГ в соответствии с требованиями эксплуатационной документации.
-
7.1.1 При проведении проверки технической документации проверяют:
-
- наличие руководства по эксплуатации СИКГ;
-
- наличие паспорта СИКГ;
-
- наличие свидетельства о предыдущей поверке СИКГ (при периодической поверке);
-
- наличие паспортов (формуляров) СИ, входящих в состав СИКГ;
-
- наличие действующих свидетельств о поверке СИ, входящих в состав СИКГ.
-
7.1.2 Результаты поверки считают положительными при наличии всей технической документации по п. 7.1.1.
-
7.2.1 При проведении внешнего осмотра СИКГ контролируют выполнение требований технической документации к монтажу СИ, измерительно-вычислительных и связующих компонентов СИКГ.
-
7.2.2 При проведении внешнего осмотра СИКГ устанавливают состав и комплектность СИКГ.
-
7.2.3 Проверку выполняют на основании сведений, содержащихся в паспорте на СИКГ. При этом контролируют соответствие типа СИ, указанного в паспортах на СИ, записям в паспорте на СИКГ.
-
7.2.4 Результаты проверки считают положительными, если внешний вид, маркировка и комплектность СИКГ соответствуют требованиям технической документации.
7.3 Опробование СИКГ
7.3.1 Подтверждение соответствия программного обеспечения СИКГ-
7.3.1.1 Подлинность программного обеспечения (далее - ПО) СИКГ проверяют сравнением номера версии ПО с номером версии, зафиксированным при испытаниях в целях утверждения типа и отраженным в описании типа СИКГ.
-
7.3.1.2 Проверку идентификационных данных СИКГ проводят в следующей последовательности:
-
- нажимать кнопку «Ф2» на лицевой панели вычислителя УВП-280А.01;
-
- в появившемся меню выбирать раздел «информация»;
-
- нажать кнопку «Ф1» на лицевой панели вычислителя УВП-280А.01;
-
- полученный номер версии ПО сравнить с исходными, представленными в таблице 7.1.
Таблица 7,1 - Идентификационные данные ПО СИКГ
Идентификационные данные (признаки) |
Значение |
Идентификационное наименование ПО |
УВП-280.01 |
Номер версии (идентификационный номер) ПО |
1.23 |
Цифровой идентификатор ПО |
- |
Алгоритм вычисления цифрового идентификатора ПО |
- |
-
7.3.1.3 Проверяют возможность несанкционированного доступа к ПО СИКГ и наличие авторизации (введение логина и пароля), возможность обхода авторизации, проверка реакции ПО СИКГ на неоднократный ввод неправильного логина и (или) пароля (аутентификация).
-
7.3.1.4 Результаты опробования считают положительными, если номер версии ПО СИКГ совпадает с номером версии, приведенными в таблице 7.1 настоящей методики поверки, а также исключается возможность несанкционированного доступа к ПО СИКГ и обеспечивается аутентификация.
-
7.3.2.1 Приводят СИКГ в рабочее состояние в соответствие с технической документацией фирмы-изготовителя на нее. Проверяют прохождение сигналов калибратора, имитирующих измерительные сигналы. Проверяют на мониторе автоматизированного рабочего места (далее - АРМ)оператора СИКГ показания по регистрируемым в соответствии с конфигурацией СИКГ параметрам технологического процесса.
-
7.3.2.2 Результаты опробования считаются положительными, если при увеличении/уменыпении значения входного сигнала соответствующим образом изменяются значения измеряемой величины на мониторе АРМ оператора СИКГ.
Примечание - Допускается проводить проверку работоспособности СИКГ одновременно с определением метрологических характеристик по п. 7.4 настоящей методики поверки.
-
7.4 Определение метрологических характеристик СИКГ
-
7.4.1.1 Отключить первичный ИП ИК и к соответствующему каналу, включая барьер искрозащиты, подключить калибратор, установленный в режим имитации сигналов силы постоянного тока, в соответствии с инструкцией по эксплуатации.
-
7.4.1.2 С помощью калибратора задать электрический сигнал силы постоянного тока. В качестве реперных точек принимаются точки 4 мА, 8 мА, 12 мА, 16 мА, 20 мА.
-
7.4.1.3 Считать значения входного сигнала с дисплея вычислителя УВП-280А.01 и в каждой реперной точке вычислить приведенную погрешность у1, %, по формуле
у, = -100%, (1)
Алах Anin
где I изм |
- значение тока, соответствующее показанию измеряемого параметра СИКГ в z-ой реперной точке, мА; |
эт |
- показание калибратора в z-ой реперной точке, мА; |
I - максимальное значение границы диапазона аналогового сигнала силы постоянного тока (от 4 до 20 мА), мА;
т - минимальное значение границы диапазона аналогового сигнала силы min
постоянного тока (от 4 до 20 мА), мА.
-
7.4.1.4 Если показания СИКГ можно просмотреть только в единицах измеряемой величины, то при линейной функции преобразования значение 1^, мА, вычисляется по
формуле

min




min

9
(2)
где Amax, - максимальное и минимальное значения измеряемого параметра, X соответствующие максимальному и минимальному значениям границы
диапазона входного аналогового сигнала силы постоянного тока (от 4 до 20 мА);
X - измеренное значение измеряемого параметра.
-
7.4.1.5 Результаты поверки считаются положительными, если рассчитанная основная приведенная погрешность преобразования входного аналогового сигнала силы постоянного тока (от 4 до 20 мА) в каждой реперной точке не выходит за пределы ±0,12 %.
-
7.4.2.1 Основная приведенная погрешность ИК давления уИКР, %, определяется по формуле
У ИКР =
где ур - основная приведенная погрешность преобразователя давления, %;
- основная приведенная погрешность преобразования входного аналогового сигнала силы постоянного тока (от 4 до 20 мА), рассчитанная поп.7.4.1.
-
7.4.2.2 Результаты поверки считаются положительными, если рассчитанная основная приведенная погрешность ИК давления не выходит за пределы ±0,14 %.
-
7.4.3.1 Основная абсолютная погрешность ИК температурыАж7., °C, определяется по
формуле
(4)
AffKT
/ 7. . ч\2 | |||
+ 1 |
а,2± |
/1 ' Vmax ^min ) Ч 100% ? |
> |
где д - основная абсолютная погрешность преобразователя температуры, °C;
у - основная приведенная погрешность преобразования входного аналогового сигнала силы постоянного тока (от 4 до 20 мА), рассчитанная поп.7.4.1;
/тах - максимальное значение диапазона измерения температуры, °C;
rmin - минимальное значение диапазона измерения температуры, °C.
-
7.4.3.2 Результаты поверки считаются положительными, если рассчитанная основная абсолютная погрешность ИК температуры не выходит за пределы ±0,58 °C.
-
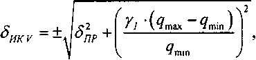
7.4.4.1 Основная относительная погрешность ИК объемного расхода (объема) в рабочих условиях 8ИКУ , %, определяется по формуле
max л min
(5)
где л иПР |
- относительная погрешность преобразователя объемного расхода по токовому выходному сигналу, %; |
Г/ |
- основная приведенная погрешность преобразования входного аналогового сигнала силы постоянного тока (от 4 до 20 мА), рассчитанная поп.7.4.1; |
Яmax |
- максимальное значение диапазона измерения объемного расхода (объема) в рабочих условиях, м3/ч, соответствующее максимальному значению диапазона выходного сигнала преобразователя объемного 7 из 10 |
расхода;
gmin - минимальное значение диапазона измерения объемного расхода (объема) в рабочих условиях, м3/ч, соответствующее минимальному значению диапазона выходного сигнала преобразователя объемного расхода.
-
7.4.4.2 Результаты поверки считаются положительными, если рассчитанная относительная погрешность ИК объемного расхода (объема) в рабочих условиях не выходит за пределы ±2,5 %.
-
7.4.5.1 Относительная погрешность измерения объемного расхода (объема) газа, приведенного к стандартным условиям, 8V , %, определяется по формуле
(6)
где § - относительная погрешность СИКГ при измерении расхода в рабочих
условиях, %;
-
3 — относительная погрешность определения плотности газа при
Рс стандартных условиях, %;
-
8 - относительная погрешность определения плотности газа при рабочих
" условиях, %;
3 - относительная погрешность УВП-280А.01 при вычислении объемного
расхода (объема) газа, приведенного к стандартным условиям, %;
8г - относительная погрешность УВП-280А.01 при определении интервала времени, %.
-
7.4.5.2 Относительная погрешность СИКГ при измерении расхода в рабочих условиях определяется по формуле
(Т)
где 8К„ - БИ осн. |
- пределы основной относительной погрешности барьера искрозащиты при передаче унифицированного токового сигнала, %; |
3 - пределы дополнительной относительной погрешности барьера
искрозащиты при передаче токового сигнала, вызванной отклонением
$выч. ’ |
температуры окружающей среды от нормальной, %; - пределы основной относительной погрешности вычислителя при преобразовании аналогового сигнала в цифровое значение измеряемого параметра, %. |
7.4.5.3 Относительная погрешность определения плотности газа при стандартных условиях определяется по формулам:
- при расчете плотности газа при стандартных условиях по компонентному составу
8 =±
Рс

5
(8)
где з - относительная погрешность метода определения плотности при Рсм стандартных условиях по ГСССД МР 113-03, %;
- относительный коэффициент чувствительности плотности газа при стандартных условиях к изменению содержания z-ro компонента газа;
8 - относительная погрешность измерения молярной доли z-ro газа, %;
Х1
- при определении плотности газа при стандартных условиях в испытательной лаборатории по ГОСТ 17310-2002

•100%,
(9)


где R, г |
- воспроизводимость и сходимость метода определении плотности газа при стандартных условиях, кг/м3; |
Рс |
- плотность газа при стандартных условиях, кг/м3. |
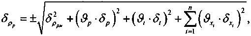
7.4.5.4 Относительная погрешность определения плотности газа при рабочих условиях определяется по формуле
где j - относительная погрешность метода определения плотности при рабочих Ррм условиях, %;
& - относительный коэффициент чувствительности плотности газа при
рабочих условиях к изменению давления газа;
8 - относительная погрешность СИКГ при измерении давления газа, %;
- относительный коэффициент чувствительности плотности газа при рабочих условиях к изменению температуры газа;
8t - относительная погрешность СИКГ при измерении температуры газа, %;
&х - относительный коэффициент чувствительности плотности газа при
рабочих условиях к изменению содержания z-ro компонента газа;
8х - относительная погрешность измерения молярной доли z-ro газа, %.
-
7.4.5.5 Относительная погрешность СИКГ при измерении давления газа определяется по формуле
где
Ри
/ V / \
Рв-Рн
1 Р )
ч Ризм у
Ра
2
(хр осн. + Урдоп. + /БИ осн. + У БИ доп. +/выч.)‘|‘
2 - ¥
____Р атах Рamin . | QQ
к/б Ратах + Pamin у
избыточное давление газа, МПа;
\2(
<Р) <
Х°,5
(И)
Р - абсолютное давление газа, МПа;
рв - верхний предел диапазона измерения избыточного давления, МПа;
рн - нижний предел диапазона измерения избыточного давления, МПа;
риы ~ измеренное значение избыточного давления, МПа;

YР доп.
YБИ осн.
YБИ доп.
выч.
пределы основной приведенной погрешности преобразователя давления, %;
пределы дополнительной приведенной погрешности преобразователя давления, вызванной отклонением температуры окружающей среды от нормальной, %;
пределы основной приведенной погрешности барьера искрозащиты при передаче токового сигнала, %;
пределы дополнительной приведенной погрешности барьера искрозащиты при передаче токового сигнала, вызванной отклонением температуры окружающей среды от нормальной, %;
пределы основной приведенной погрешности вычислителя при преобразовании аналогового сигнала в цифровое значение измеряемого параметра, %;
ра - атмосферное давление газа, МПа;
р - максимальное значение атмосферного давления, МПа; р - минимальное значение атмосферного давления, МПа.
7.4.5.6 Относительная погрешность СИКГ при измерении температуры определяется по формуле

газа
(12)
где /к - верхний предел диапазона измерения температуры, °C;
-
- нижний предел диапазона измерения температуры, °C;
t - температура газа, °C;
Д, - пределы основной абсолютной погрешности преобразователя
температуры, °C;
Д,„„п - пределы дополнительной абсолютной погрешности преобразователя
температуры, °C;
ДЛ7/ - пределы основной абсолютной погрешности барьера искрозащиты при
передаче токового сигнала, °C;
-
- пределы дополнительной абсолютной погрешности барьера искрозащиты при передаче токового сигнала, вызванной отклонением температуры окружающей среды от нормальной, °C.
-
7.4.5.7 Относительный коэффициент чувствительности определяется по формуле
s, =fr
(13)
' "У
где
частная производная функции f по v,.
Если неизвестна математическая взаимосвязь величины у с величиной у, или дифференцирование функции f затруднено, значение частной производной f рассчитывают по формуле
' Ду,
-
7.4.5.8 Допускается проводить расчет относительной погрешности измерения объемного расхода (объема) газа, приведенного к стандартным условиям, с использованием модуля «ГОСТ Р 8.740-2011» программного комплекса «Расходомер ИСО».
-
7.4.5.9 Результаты поверки считаются положительными, если рассчитанная относительная погрешность измерения объемного расхода (объема) газа, приведенного к стандартным условиям, вычисленная по формуле (6), не выходит за пределы ±5,0 %.
-
8.1 При положительных результатах поверки оформляют свидетельство о поверке СИКГ в соответствии с приказом Минпромторга России от 2 июля 2015 г. №1815 «Об утверждении Порядка проведения поверки средств измерений, требования к знаку поверки и содержанию свидетельства о поверке».
-
8.2 Отрицательные результаты поверки СИКГ оформляют в соответствии с приказом Минпромторга России от 2 июля 2015 г. №1815 «Об утверждении Порядка проведения поверки средств измерений, требования к знаку поверки и содержанию свидетельства о поверке». При этом выписывается «Извещение о непригодности к применению» СИКГ с указанием причин непригодности.
10из 10