Методика поверки «ГСИ. Осциллографы цифровые портативные RTH1002, RTH1004» (РТ-МП-3092-441-2016)
ФЕДЕРАЛЬНОЕ .АГЕНТСТВО ПО ТЕХНИЧЕС КОМУ РЕГУЛИРОВАНИЮ И МЕТРОЛОГИИ
ФЕДЕРАЛЬНОЕ БЮДЖЕТНОЕ УЧРЕЖДЕНИЕ
♦ ГОСУДАРСТВЕННЫЙ РЕГИОНАЛЬНЫЙ ЦЕНТР СТАНДАРТИЗАЦИИ. МЕТРОЛОГИИ И ИСПЫТАНИЙ В Г. МОСКВЕ»
(ФБУ *РОСТЕСТ-МОСКВА»)
УТВЕРЖДАЮ
Заместитель генерального директора -Москва"

'мА.
__Е. В. Морин
0 »/°я
016 г.
Государственная система обеспечения единства измерений
Осциллографы цифровые портативные RTH1002, RTH1004Методика поверки
РТ-М П-3092-441-2016 г. Москва
2016
-
1 ВВЕДЕНИЕ
-
1.1 Настоящая методика поверки распространяется на осциллографы цифровые портативные RTH1002, RTH1004 (далее - осциллографы) и устанавливает порядок и объем их первичной и периодической поверки.
-
1.2 Интервал между поверками - 12 месяцев.
-
-
2 ОПЕРАЦИИ ПОВЕРКИ
-
2.1 При поверке выполняют операции, представленные в таблице 1.
-
Таблица 1
Наименование операции |
Номер пункта документа по поверке |
Проведение операции при | |
первичной поверке |
периодической поверке | ||
1 Внешний осмотр |
8.1 |
+ |
+ |
2 Опробование |
8.2 |
+ |
+ |
3 Подтверждение идентификационных данных ПО |
8.3 |
+ |
+ |
4 Определение погрешности по частоте внутреннего опорного генератора |
8.4 |
+ |
+ |
5 Определение диапазона и погрешности установки коэффициента отклонения |
8.5 |
+ |
+ |
6 Определение диапазона и погрешности установки постоянного смещения |
8.6 |
+ |
+ |
7 Определение полосы пропускания |
8.7 |
+ |
+ |
8 Определение параметров в режиме мультиметра (только для осциллографа RTH1002) |
8.8 |
+ |
+ |
-
3 СРЕДСТВА ПОВЕРКИ
-
3.1 При проведении поверки используют средства измерений и вспомогательное оборудование, представленное в таблице 2.
-
Таблица 2
Наименование средства поверки |
Требуемые технические характеристики средства поверки |
Рекомендуемое средство поверки | |
Пределы измерений |
Пределы допускаемой погрешности | ||
Калибратор осциллографов |
Т: от 0,5 нс до 50 с иПост: от 3 мВ до 200 В UCK3: от 5 мВ до 2 В (от 10 Гц до 500 МГц) ТфР: не более 150 пс |
± 1-Ю’6 ± 0,5 % ± 10 % |
Калибратор осциллографов Fluke 9500В |
Калибратор универсальный |
ипОст:от 1 мВ до 1000 В UCK3: от 1 мВ до 1000 В (от 10 Гц до 10 кГц) R: от 10 Ом до 100 МОм С: от 1 нФ до 10 мФ |
± 0,01 % ± 0,01 % ± 0,03 % ± 0,03 % |
Калибратор многофункциональный Fluke 5522А |
-
3.2 Допускается использование других средств измерений и вспомогательного оборудования, имеющих метрологические и технические характеристики не хуже характеристик приборов, приведенных в таблице 2.
-
3.3 Применяемые средства поверки должны быть исправны, поверены и иметь действующие свидетельства о поверке (отметки в формулярах или паспортах).
-
4 ТРЕБОВАНИЯ К КВАЛИФИКАЦИИ ПОВЕРИТЕЛЕЙ
-
4.1 К проведению поверки осциллографа допускаются лица, имеющие высшее или среднее специальное образование, квалификационную группу по электробезопасности не ниже 4 с напряжением до 1000 В, прошедшие инструктаж по технике безопасности при работе с электронным измерительно-испытательным оборудованием, и опыт практической работы.
-
-
5 ТРЕБОВАНИЯ БЕЗОПАСНОСТИ
-
5.1 При проведении поверки должны быть соблюдены требования безопасности, предусмотренные «Правилами технической эксплуатации электроустановок потребителей», «Правилами техники безопасности при эксплуатации электроустановок потребителей», а также изложенные в руководстве по эксплуатации на приборы, в технической документации на применяемые при поверке рабочие эталоны и вспомогательное оборудование.
-
-
6 УСЛОВИЯ ПОВЕРКИ
-
6.1 Поверку проводить при следующих условиях:
-
-
- температура окружающего воздуха, °C 23 ± 5;
-
- относительная влажность воздуха, % 65 ± 15;
-
- атмосферное давление, кПа (мм рт. ст.) 100 ± 4 (750 ± 30);
-
- параметры питания от сети переменного тока:
-
- напряжение, В 220 ± 4,4;
-
- частота, Гц 50 ± 0,5.
-
7 ПОДГОТОВКА К ПОВЕРКЕ
-
7.1 Перед проведением поверки необходимо выполнить следующие подготовительные работы:
-
-
- выдержать приборы в условиях, указанных в п. 6.1, в течение 1 ч;
-
- выполнить операции, оговоренные в руководстве по эксплуатации на поверяемый осциллограф по его подготовке к поверке;
-
- выполнить операции, оговоренные в технической документации на применяемые средства поверки по их подготовке к измерениям;
-
- осуществить предварительный прогрев приборов для установления их рабочего режима в течение 30 мин.
-
8 ПРОВЕДЕНИЕ ПОВЕРКИ
При проведении внешнего осмотра установить соответствие осциллографа следующим требованиям:
-
- наличие маркировки, подтверждающей тип и заводской номер;
-
- наружная поверхность не должна иметь следов механических повреждений, которые могут влиять на работу прибора и его органов управления;
-
- разъемы должны быть чистыми;
-
- соединительные провода должны быть исправными;
-
- комплектность осциллографа должна соответствовать указанной в технической документации фирмы-изготовителя.
Подготовить осциллограф к работе в соответствии с технической документацией фирмы-изготовителя. Проверить отсутствие сообщений о неисправности в процессе загрузки осциллографа. Проверить работоспособность ЖКИ, диапазон перемещения линии развертки по вертикали.
Запустить процедуру внутренней самокалибровки, нажав П-Selfalignment.
Результаты опробования считать положительными, если органы управления исправно работают и процедура внутренней самокалибровки выполняется без ошибок.
8.3 Подтверждение идентификационных данных ПОИдентификационное наименование и номер версии программного обеспечения осциллографа отображаются при нажатии П-Maintenance.
Номер версии ПО должен соответствовать описанию ПО в технической документации на осциллограф.
8.4 Определение погрешности по частоте внутреннего опорного генератораСобрать измерительную схему в соответствии с рисунком 1.

Рисунок 1
Установить на калибраторе синусоидальный сигнал с частотой 10 МГц и амплитудой 1 В, подключить к каналу 1 осциллографа. На осциллографе нажать кнопку AUTOSET. Увеличивая коэффициент развертки осциллографа до 20 мс/дел, перевести его в строб-режим.
Измерить на осциллографе частоту сигнала биения между внешним сигналом и внутренним тактовым генератором осциллографа.
Результаты поверки по данной операции считать положительными, если частота биений не превышает 100 Гц.
8.5 Определение диапазона и погрешности установки коэффициента отклоненияСобрать измерительную схему в соответствии с рисунком 1, калибратор подключить к входу канала 1 осциллографа. Для напряжения ± 300 В вместо калибратора Fluke 9500 использовать калибратор Fluke 5522.
Выполнить следующие установки осциллографа:
-
- провести сброс настроек Preset;
-
- установить коэффициент развертки 200 мкс/дел;
-
- установить ACQUISITION: Acquisition Mode “High Resolution” (для КО < 0,05 В/дел -Acquisition Mode “Average”: Number of averages 16);
-
- включить MEAS: Measurement “Mean”;
-
- установить в канале 1 ограничение полосы пропускания 20 МГц.
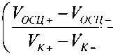
Последовательно установить на осциллографе коэффициенты отклонения из таблицы 3, а на выходе калибратора положительное и отрицательное напряжение постоянного тока в соответствии со вторым столбцом таблицы 3.
Показания осциллографа при измерении положительного и отрицательного напряжения записать как ¥осц+ и Уосц- соответственно.

откл

-1 -100%,
7
Таблица 3
У становленный коэффициент отклонения |
Напряжение на выходе калибратора, vK+/vK. |
Показания осциллографа, Уосц+ |
Показания осциллографа, Уосц- |
Погрешность коэффициента отклонения ЗКоткл, % |
Пределы допускаемой погрешности, % |
2 мВ/дел |
± 6 мВ |
±2,5 | |||
4 мВ/дел |
± 12 мВ |
±2,5 | |||
5 мВ/дел |
±15 мВ |
±2,5 | |||
10 мВ/дел |
± 30 мВ |
± 1,5 | |||
20 мВ/дел |
± 60 мВ |
± 1,5 | |||
40 мВ/дел |
± 120 мВ |
± 1,5 | |||
50 мВ/дел |
±150 мВ |
± 1,5 | |||
0,1 В/дел |
±0,3 В |
± 1,5 | |||
0,2 В/дел |
±0,6 В |
± 1,5 | |||
0,4 В/дел |
± 1,2 В |
± 1,5 | |||
0,5 В/дел |
± 1,5 В |
± 1,5 | |||
1 В/дел |
±ЗВ |
± 1,5 | |||
2 В/дел |
±6В |
± 1,5 | |||
4 В/дел |
± 12В |
± 1,5 | |||
5 В/дел |
± 15В |
± 1,5 | |||
10 В/дел |
±30 В |
± 1,5 | |||
20 В/дел |
±60 В |
± 1,5 | |||
40 В/дел |
± 120 В |
± 1,5 | |||
50 В/дел |
± 150 В |
± 1,5 | |||
100 В/дел |
±300 В |
± 1,5 |
Рассчитать погрешность коэффициента отклонения 8Коткл, используя следующее
соотношение:
где Уосц+, Уосц_ - показания осциллографа при измерении положительного и отрицательного напряжения;
Кк+, ?к-- установленное на выходе калибратора положительное и отрицательное напряжение постоянного тока.
Повторить процедуру для остальных каналов осциллографа, при этом выключать уже проверенный канал.
Результаты поверки по данной операции считать положительными, если диапазон установки коэффициентов отклонения соответствует всем позициям, а погрешность коэффициентов отклонения находится в пределах, указанных в таблице 3.
8.6 Определение диапазона и погрешности установки постоянного смещенияСобрать измерительную схему в соответствии с рисунком 1, калибратор подключить к входу канала 1 осциллографа.
Выполнить следующие установки осциллографа:
-
- провести сброс настроек Preset;
-
- установить коэффициент развертки 200 мкс/дел;
-
- установить ACQUISITION: Acquisition Mode “High Resolution” (для КО < 0,05 В/дел -Acquisition Mode “Average”: Number of averages 16);
-
- включить MEAS: Measurement “Mean”;
-
- установить в канале 1 ограничение полосы пропускания 20 МГц.
Последовательно установить на выходе калибратора положительное и отрицательное напряжение постоянного тока в соответствии со вторым столбцом таблицы 4, а также соответствующие коэффициент отклонения и смещение на осциллографе UCM.
Показания осциллографа при измерении положительного и отрицательного напряжения записать как Уосц+ и Уосц- соответственно.
Таблица 4
У становл енный коэффициент отклонения |
Напряжение на выходе калибратора, Vk+/Vk-(Ucm) |
Показания осциллографа, Уосц+ |
Показания осциллографа, Уосц- |
Погрешность установки смещения Л U см+/- |
Пределы допускаемой погрешности | |
2 мВ/дел |
±4В |
± 21,7 мВ | ||||
50 мВ/дел |
±4В |
± 26,5 мВ | ||||
100 мВ/дел |
±4В |
± 31,5 мВ | ||||
0,5 В/дел |
±4В |
± 71,5 мВ | ||||
1 В/дел |
±200 В |
± 1,1 В | ||||
10 В/дел |
±200 В |
±2В | ||||
20 В/дел |
±200 В |
• |
±3 В |
Рассчитать погрешность установки смещения \UCM, используя следующие соотношения:
Л Ucm+ = Уосц+ - Ук+
Л и<м- = Уосц- - Уц-
где: Уосц+, Уосц- - показания осциллографа при измерении положительного и отрицательного напряжения;
Ук+,Ук- - установленное на выходе калибратора положительное и отрицательное напряжение постоянного тока.
Повторить процедуру для остальных каналов осциллографа, при этом выключать уже проверенный канал.
Результаты поверки по данной операции считать положительными, если диапазон установки постоянного смещения соответствует всем позициям, погрешность установки смещения находится в пределах, указанных в таблице 4.
8.7 Определение полосы пропусканияСобрать измерительную схему в соответствии с рисунком 2.

Рисунок 2
Выполнить следующие установки осциллографа:
-
- провести сброс настроек Preset;
-
- установить коэффициент развертки 1 мкс/дел;
-
- установить ACQUISITION: Acquisition Mode “High Resolution”;
-
- включить MEAS: Measurement “Rise Time”;
Включить на калибраторе режим проверки ПХ, импульс положительной полярности уровень 1 В, режим работы на нагрузку 50 Ом, время нарастания импульса 500 пс для моделей RTH1002, RTH1004 и опций В221/241, время нарастания 150 пс для опций В223/В243, В224/244.
Регулируя уровень запуска, коэффициенты развертки и отклонения, добиться устойчивого отображения на экране осциллографа перепада напряжения положительной полярности. Записать измеренное значение в протокол как Тфр. [нс].
Повторить процедуру для остальных каналов осциллографа, при этом, выключать уже проверенный канал.
Результаты поверки по данной операции считать положительными, если время нарастания по всем каналам не превышает значений, указанных в таблице 5.
Таблица 5
Время нарастания переходной характеристики, нс, не более |
RTH1002, RTH1004 без опций |
5,8 |
Опции В221/241 |
3,5 | |
Опции В222/242 |
1,75 | |
Опции В223/243 |
1 | |
Опции В224/244 |
0,7 |
Собрать измерительную схему в соответствии с рисунком 3.

Рисунок 3
Выполнить следующие установки осциллографа:
-
- провести сброс настроек Preset;
-
- установить режим MODE: Meter;
-
- установить METER TYPE: V DC;
На калибраторе включить режим воспроизведения постоянного напряжения и установить постоянное напряжение в соответствии с таблицей 6, записать показания осциллографа Vdc.
Таблица 6
Верхний предел поддиапазона измерения |
Напряжение на выходе калибратора, Vr |
Показания осциллографа, vdc |
Погрешность измерения, В |
Пределы допускаемой погрешности |
1 В |
-0,1 в |
± 0,55 мВ | ||
1 В |
1 В |
± 1 мВ | ||
10 В |
-5 В |
± 5,5 мВ | ||
10В |
10В |
± 8 мВ | ||
100 В |
50 В |
± 0,055 В | ||
100 В |
-100 В |
± 0,08 В | ||
1000 В |
-200 В |
± 0,46 В | ||
1000 В |
1000 В |
± 1,1 В |
Рассчитать погрешность измерения постоянного напряжения по формуле:
Затем на осциллографе:
-
- установить режим MODE: Meter;
-
- установить METER TYPE: V AC;
На калибраторе включить режим воспроизведения переменного напряжения и установить переменное напряжение в соответствии с таблицей 7, записать показания осциллографа Vac.
Таблица 7
Верхний предел поддиапазона измерения |
Частота |
Напряжение на выходе калибратора, Vr |
Показания осциллографа, V г ас |
Погрешность измерения, В |
Пределы допускаемой погрешности |
1 В |
45 Гц |
1 В |
± 2,5 мВ | ||
1 В |
450 Гц |
1 В |
± 2,5 мВ | ||
1 В |
2 кГц |
1 В |
± 2,5 мВ | ||
1 В |
10 кГц |
1 В |
± 2,5 мВ | ||
10В |
20 Гц |
10В |
± 25 мВ | ||
10В |
200 Гц |
10В |
±25 В | ||
10В |
1 кГц |
10В |
± 25 мВ | ||
10 В |
5 кГц |
10В |
± 25 мВ | ||
100 В |
500 Гц |
100 В |
± 0,25 В | ||
100 В |
8 кГц |
100 В |
± 0,25 В | ||
100 В |
10 кГц |
100 В |
± 0,25 В | ||
1000 В |
45 Гц |
1000 В |
±2,5 В | ||
1000 В |
1 кГц |
1000 В |
±2,5 В | ||
1000 В |
10 кГц |
1000 В |
±2,5 В |
Рассчитать погрешность измерения переменного напряжения по формуле:
MJ = Г -V
ас ас к
Затем на осциллографе:
-
- установить режим MODE: Meter;
-
- установить METER TYPE: Resistance.
На калибраторе включить режим воспроизведения сопротивления и установить сопротивление в соответствии с таблицей 8, записать показания осциллографа R.
Таблица 8
Верхний предел поддиапазона измерения |
Сопротивление на выходе калибратора, Rk |
Показания осциллографа, R |
Погрешность измерения, Ом |
Пределы допускаемой погрешности |
1 кОм |
1 кОм |
± 1,1 Ом | ||
10 кОм |
10 кОм |
±11 Ом | ||
100 кОм |
100 кОм |
± 0,11 кОм | ||
1 МОм |
1 МОм |
± 1,1 кОм | ||
10 МОм |
10 МОм |
± 25 кОм | ||
100 МОм |
100 МОм |
±1,6 МОм |
Рассчитать погрешность измерения сопротивления по формуле:
AR = R-RKЗатем на осциллографе:
-
- установить режим MODE: Meter;
-
- установить METER TYPE: Capacitance;
На калибраторе включить режим воспроизведения емкости и установить емкость в соответствии с таблицей 9, записать показания осциллографа С.
Таблица 9
Верхний предел поддиапазона измерения |
Емкость на выходе калибратора, С к |
Показания осциллографа, С |
Погрешность измерения, Ф |
Пределы допускаемой погрешности |
10 нФ |
10 нФ |
±0,105 нФ | ||
100 нФ |
100 нФ |
± 1,05 нФ | ||
1 мкФ |
1 мкФ |
± 10,5 нФ | ||
10 мкФ |
10 мкФ |
±0,105 мкФ | ||
100 мкФ |
100 мкФ |
± 1,05 мкФ | ||
1 мФ |
1 мФ |
± 10,5 мкФ | ||
10 мФ |
10 мФ |
± 0,105 мФ |
Рассчитать погрешность измерения емкости по формуле:
дс = с-скРезультаты поверки по данному пункту считать положительными, если погрешности измерения напряжения постоянного тока, напряжения переменного тока, сопротивления и емкости не превышают предельных значений, указанных в таблицах 6, 7, 8 и 9.
-
9 ОФОРМЛЕНИЕ РЕЗУЛЬТАТОВ ПОВЕРКИ
-
9.1 Результаты измерений, полученные в процессе поверки, заносят в протокол произвольной формы.
-
9.2 При положительных результатах поверки выдается свидетельство о поверке в соответствии с приказом Министерства промышленности и торговли Российской Федерации №1815 от 02.07.2015.
-
Поверительное клеймо наносится на заднюю панель осциллографов цифровых портативных RTH1002, RTH1004 в соответствии с приказом Министерства промышленности и торговли Российской Федерации № 1815 от 02.07.2015.
-
9.3 При отрицательных результатах поверки, выявленных при внешнем осмотре, опробовании, или выполнении операций поверки, выдается извещение о непригодности в соответствии с приказом Министерства промышленности и торговли Российской Федерации №1815 от 02.07.2015.
Начальник лаборатории № 441
ФБУ «Ростест-Москва»
Нач. сектора № 1 лаборатории № 441
ФБУ «Ростест-Москва»

Осциллографы цифровые портативные RTH1002, RTH1004
Методика поверки РТ-МП-3092-441-2016
лист ю
листов 10