Методика поверки «Дозаторы пипеточные, одно- и многоканальные, "Лайт"» (МП 2301-0040-2008)
УТВЕРЖДАЮ
Зам. Руководителя ГЦИ СИ

Е _ я I
а> «
*1*
^«ятие .Вс
НИИМ им. Д.И. Менделеева»
В.С. Александров
» января 2008 г
Дозаторы пипеточные, одно- и многоканальные, «Лайт»МЕТОДИКА ПОВЕРКИ
МП 2301-0040-2008
Руководитель научно-исследовательского
отдела госэталонов в области механических измерений ГЦИ СИ «ВНИИМ им. Д.И. Менделеева»

Н. Г. Домостроева
Санкт-Петербург
2008
СОДЕРЖАНИЕ
Настоящая методика поверки распространяется на дозаторы пипеточные, одно- и многоканальные, «Лайт», выпускаемые ЗАО «Термо Фишер Сайентифик», г. Санкт-Петербург, и устанавливает методы и средства их первичной и периодических поверок.
Дозаторы пипеточные, одно- и многоканальные, «Лайт» с фиксированными (ДПОФ) и переменными (ДПОП и ДПМП) объемами доз предназначены для дозирования жидкостей, динамическая вязкость которых не превышает 1,3x10'3 Па-с и могут применяться в клинико-диагностических и бактериологических лабораториях медицинских учреждений, а также в научно-исследовательских медицинских учреждениях и в других областях народного хозяйства. Межповерочный интервал - 1 год.
-
1 ОПЕРАЦИИ И СРЕДСТВА ПОВЕРКИ
-
1.1 При проведении поверки должны быть выполнены следующие операции и применены средства измерений с характеристиками, указанными в табл. 1.
-
Таблица 1
Наименование операции |
Номер пункта методик и |
Средства поверки и их технические характеристики |
Обязательность проведения операции при первичной и периодической поверке |
1. Внешний осмотр |
5.1 |
да | |
2. Опробование |
5.2 |
да | |
3.1 Определение значения систематической составляющей основной относительной погрешности |
5.3 |
вода бидистиллированная по ГОСТ 6709-72; весы лабораторные специального класса точности по ГОСТ 24104-2001; термометр с диапазоном измерения от 0 до 50 °C с погрешностью не более ±0,1 °C; барометр с диапазоном измерения от 80 до 160 кПа с погрешностью не более ± 200 Па; стаканчик СВ 19/19 по ГОСТ 7148. | |
да | |||
3.2 Определение значения среднеквадратичного отклонения (СКО) случайной составляющей относительной погрешности |
5.4 |
да |
Примечание: Средства поверки, на которые дана ссылка в таблице 1, могут быть заменены аналогичными, обеспечивающими требуемую точность и пределы измерений.
-
1.2 Пределы допускаемых значений метрологических характеристик дозаторов приведены в таблице 2.
Таблица 2
Наименование модификаций дозаторов |
Диапазон объемов дозирования, мкл |
Дискретность установки, мкл |
Число каналов |
Пределы допускаемой систематической составляющей основной относительной погрешности при температуре (20 ± 2) °C, % |
Предел допускаемого среднеквадратичного отклонения случайной составляющей относительной погрешности, % |
ДПОФ-1-1 |
1 |
1 |
±8,0 |
7,0 | |
ДПОФ-1-5 |
5 |
1 |
±5,0 |
5,0 | |
ДПОФ-1-Ю |
10 |
1 |
±2,5 |
3,0 | |
ДПОФ-1-25 |
25 |
1 |
±2,0 |
3,0 | |
ДПОФ-1-50 |
50 |
1 |
±2,0 |
2,5 | |
ДПОФ-1-100 |
100 |
1 |
± 1,5 |
2,0 | |
ДПОФ-1-250 |
250 |
1 |
±1,5 |
2,0 | |
ДПОФ-1-500 |
500 |
1 |
±1,0 |
1,0 | |
ДПОФ-1-ЮОО |
1000 |
1 |
±1,0 |
1,0 | |
ДПОП-1-1-Ю |
1...10 |
0,02 |
1 |
±(8,0...2,5) |
(7,0...3,0) |
ДПОП-1-2-20 |
2...20 |
0,02 |
1 |
±(8,0...2,0) |
(6,0...3,0) |
ДПОП-1-10-100 |
10...100 |
0,2 |
1 |
±(2,5...1,5) |
(3,0...2,0) |
ДПОП-1-20-200 |
20...200 |
0,2 |
1 |
±(2,0...1,5) |
(3,0...2,0) |
ДПОП-1-100-1000 |
100...1000 |
1,0 |
1 |
±(1,5...1,0) |
(2,0...1,0) |
ДПОП-1-1000-10 000 |
1000...10 000 |
20,0 |
1 |
±1,0 |
1,0 |
ДПМП-8-1-10 |
1...10 |
0,02 |
8 |
±(8,0...2,5) |
(7,0...3,0) |
ДПМП-8-5-50 |
5...50 |
0,02 |
8 |
±(5,0...2,0) |
(5,0...2,5) |
ДПМП-8-30-300 |
30...300 |
0,2 |
8 |
±(2,0... 1,5) |
(3,0...2,0) |
ДПМП-8-50-300 |
50...300 |
0,2 |
8 |
±(2,0... 1,5) |
(2,5...2,0) |
ДПМП-12-1-10 |
1...10 |
0,02 |
12 |
±(8,0...2,5) |
(7,0...3,0) |
ДПМП-12-5-50 |
5...50 |
0,02 |
12 |
±(5,0...2,0) |
(5,0...2,5) |
ДПМП-12-30-300 |
30...300 |
0,2 |
12 |
±(2,0...1,5) |
(3,0...2,0) |
ДПМП-12-5 0-3 00 |
50...300 |
0,2 |
12 |
±(2,0... 1,5) |
(2,5...2,0) |
ДПМП-16-5-50 |
5...50 |
0,02 |
16 |
±(5,0...2,0) |
(5,0...2,5) |
-
2 ТРЕБОВАНИЯ БЕЗОПАСНОСТИ
При проведении поверки должны соблюдаться правила, определяемые:
-
- правилами безопасности труда, действующими на объекте, на котором проводится поверка;
-
- правилами безопасности при эксплуатации поверяемого устройства и используемых образцовых средств измерений, приведенных в эксплуатационной документации;
-
- правилами технической эксплуатации и правил техники безопасности при работе на электроустановках.
-
3 УСЛОВИЯ ПОВЕРКИ
-
3.1 При проведении поверки должны быть соблюдены следующие условия:
-
-
- температура воздуха в помещении должна быть (20 ± 2) °C;
-
- атмосферное давление (101,3 ± 4) кПа;
-
- относительная влажность воздуха (65 ± 15) %.
-
3.2 До начала испытаний дозаторы, посуда и би дистиллированная должны быть выдержаны в помещении, где проводятся испытания, не менее 2 часов.
-
3.3 Место проведения испытаний должно быть защищено от воздействия прямых солнечных лучей.
-
4 ПОДГОТОВКА К ПОВЕРКЕ
-
4.1 При подготовке к проведению поверки должны быть выполнены следующие операции:
-
весы должны быть подготовлены (проведена юстировка) согласно эксплуатационной документации;
дозаторы должны быть подготовлены согласно эксплуатационной документации.
-
5 ПРОВЕДЕНИЕ ПОВЕРКИ
-
5.1 Внешний осмотр
-
При внешнем осмотре должно быть установлено соответствие дозаторов следующим требованиям:
-
- комплектность должна соответствовать требованиям эксплуатационной документации;
-
- отсутствие механических повреждений и неисправностей, мешающих нормальной работе;
-
- надписи и обозначения должны быть четкими и соответствовать эксплуатационной документации;
-
- наконечники должны быть ровные, отверстия для выдачи дозы не должно иметь облоя.
-
5.2 Опробование
При опробовании необходимо проверить работоспособность дозаторов в соответствии с эксплуатационной документации.
-
5.3 Определение метрологических характеристик
Определение систематической составляющей основной относительной погрешности и СКО случайной составляющей относительной погрешности проводят в начале и в конце
диапазона дозирования. В случае многоканальных дозаторов определение проводят для любых двух крайних каналов.
5.3.1. Устанавливают стеклянный стаканчик с крышкой, наполовину заполненный биди-стиллированной водой на стол рядом с весами.
-
5.3.2 Устанавливают на дозаторах начальное значение дозируемого объема и скорость дозирования.
-
5.3.3 Надевают наконечник на посадочный корпус дозатора (для дозаторов ДПМП наконечник надевают на каждый проверяемый канал) и выполняют забор воды с цель формирования дозы данного объема, для чего опускают наконечник дозатора в стеклянный стакан с биди-стиллированной водой на глубину от 3 до 5 мм, нажимают (однократно) на операционную кнопку, вынимают дозатор с наполненным наконечником из воды. При заборе воды ось дозатора не должна отклоняться от вертикального положения более чем на угол, равный 10 °.
-
5.3.4 Убедившись, что после выполнения первого цикла дозирования в течение 30 с не происходит истечение воды из наконечника, первую сформированную дозу сливают, нажав и удерживая операционную кнопку. Для возврата в исходное положение операционную кнопку отпускают.
-
5.3.5 Повторно выполняют забор воды дозатором для формирования следующей дозы, сливают сформированную дозу в стаканчик или бюкс массой не более 2 г, установленный на грузоприемной платформе весов.
-
5.3.6 Взвешивают сформированную дозу воды и фиксируют показания весов.
-
5.3.7 Операцию формирования дозы, определения ее массы повторяют не менее 10 раз.
-
5.3.8 Используя результаты взвешивания, определяют для каждого канала дозирования в каждой из проверяемых точек диапазона дозирования среднее арифметическое объема дозы V, (мкл) по формуле
п п
к„=-—=-—. (1)
и п - р
где - объем г -ой дозы в j -том значении выбранного объема дозирования, мкл;
п- число измерений (и = 10);
Л/у - масса / -ой дозы воды, сформированная каналом дозатора в j -ой точке диапазона, мг;
р- плотность бидистиллированной воды, значение которой при температуре от + 14 до + 23 °C принимается равным 0,998 мг/мкл.
-
5.3.9 Используя полученное значение Vcp, определяют значение систематической составляющей основной относительной погрешности дозаторов 8п, (%) для каждого проверяемого канала по формуле
V -V
s ^р.---^.юо, (2)
у НОМ
где VHOM - номинальное значение объема дозы, мкл.
-
5.3.10 Повторяют операции по п.5.3.2-5.3.9 для конца диапазона.
-
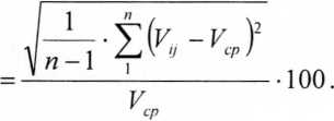
5.3.11 СКО случайной составляющей основной относительной погрешности рассчитывают по формуле
S,

Значения систематической составляющей основной относительной погрешности для каждого канала дозирования и СКО случайной составляющей основной относительной погрешности не должны превышать значений по таблице 2.
-
6 ОФОРМЛЕНИЕ РЕЗУЛЬТАТОВ ПОВЕРКИ
-
6.1 Положительные результаты поверки должны оформляться в соответствии с правилами ПР 50.2.006-94 «ГСИ. Порядок проведения поверки средств измерений».
-
В свидетельстве о поверке могут быть указаны наибольшие по абсолютной величине значения метрологических характеристик, полученные при поверке.
-
6.2 В случае отрицательных результатов поверки дозаторы к выпуску и применению не допускаются, выдаётся извещение о непригодности в соответствии с ПР 50.2.006-94.