Методика поверки «Хроматограф газовый промышленный специализированный модели 370ХА Emerson Analyical, Inc., США» (МП 242-1954-2015)

гп. Шестаков
16.06. 2015 г.
ЛАСОВАНО разФыый директор I ИЭмёрсон» \\
nerson» LLC
УТВЕРЖДАЮ директора Менделеева»

Ю.А. Кустиков
16.06*2015 г
Хроматограф газовый промышленный специализированный модели 370ХА
Методика поверки
МП 242-1954-2015
•г-.р.64085'Ч6
Руководитель отдела

ФГУП «ВНИИ . Менделеева»
Л.А. Конопелько

Санкт - Петербург 2015 г.
Настоящая методика поверки распространяется на хроматографы газовые промышленные специализированные модели 370ХА (далее хроматограф), предназначенные для непрерывного автоматического измерения молярной доли компонентов газа горючего природного, попутного нефтяного газа и продуктов его переработки (ГГП) в соответствии с ГОСТ 31371.7-2008 с последующим расчетом значений физико-химических показателей проб ГГП по ГОСТ 31369-2008:
изготовленные на следующих заводах «Emerson Process Management/Rosemount Analytical, Inc.», США и «Emerson Process Management Ltd, Rosemount Analytical», Великобритания.
Настоящая методика поверки устанавливает методы и средства первичной поверки хроматографа перед вводом в эксплуатацию, после ремонта и периодической поверки в процессе эксплуатации.
Интервал между поверками - 1 год.
1 ОПЕРАЦИИ ПОВЕРКИ1.1 При проведении поверки хроматографа должны быть выполнены операции, указанные в таблице 1.
Таблица 1.
N п/п |
Наименование операций |
Номер пункта методики |
1. |
Внешний осмотр |
6.1 |
2. |
Опробование. Определение разрешения двух соседних хроматографических пиков компонентов ГГП |
6.2 |
3. |
Определение соответствия программного обеспечения (ПО) |
6.3 |
4. |
Определение абсолютной погрешности хроматографа в рабочем диапазоне измерений |
6.4 |
5. |
Определение изменения выходного сигнала за 24 часа непрерывной работы хроматографа |
6.5 |
6. |
Определение основной погрешности аналогового выхода |
6.6 |
-
1.2 При отрицательных результатах поверки по какому-либо пункту настоящей методики дальнейшая поверка хроматографа прекращается, и он признается прошедшим поверку с отрицательным результатом.
-
1.3 Согласно МИ 2531-99 «ГСИ. Анализаторы состава веществ и материалов универсальные. Общие требования к методикам поверки в условиях эксплуатации» допускается проводить поверку хроматографа по методикам (методам) для определения состава и свойств углеводородных газовых смесей, аттестованным в соответствии с ГОСТ Р 8.563-2009 и внедренным на предприятии для данных моделей хроматографов.
-
2.1 Термометр ТЛ-2-4-Б2 по ГОСТ 28498-90. Диапазон измерений 0-50 °C, цена деления 0,1 °C.
-
2.2 Барометр-анероид М-110 ТУ 25.04-1799-75 (№3745-73 по Госреестру СИ РФ).
-
2.3 Психрометр аспирационный МВ-4-М или МВ-4-2М по ТУ 25-1607.054-85 (№10069-01 по Госреестру СИ РФ).
-
2.4 Миллиамперметр постоянного тока по ГОСТ 8711-78, класс точности 0,1, верхний предел измерений 30 мА.
-
2.5 Образцовая катушка сопротивления Р 331, класс точности 0,01, сопротивление 100 Ом.
-
2.6 Магазин сопротивлений Р 4831, класс точности 0,02/210-6, сопротивление до
-
111111,1 Ом.
-
2.7 Вольтметр универсальный Щ 31, предел допускаемой основной погрешности 0,015% при измерении тока 5 мА.
-
2.8 Поверочные газовые смеси (далее - ПГС) - стандартные образцы состава ГГП,
например, ГСО 9299-2009 (ИПГ-13), с диапазонами молярной доли компонентов,
приведенными в таблице 2.
Таблица 2.
Определяемый компонент |
Диапазон молярной доли компонентов (х), % |
Пределы допускаемой абсолютной погрешности ±Д (х)'\ % |
Смесь № 1 | ||
Метан (СНд) |
98,7 - 99,6 |
|
Этан (СгНб) |
0,020 - 0,08 |
0,02-х + 0,00008 |
Пропан (СзН8) |
0,010-0,04 |
0,03-х +0,00008 |
Изобутан (И-С4Н10) |
0,005-0,015 |
0,03-х +0,00008 |
н-Бутан (н-СдНю) |
0,005-0,015 |
0,03-х +0,00008 |
Изопентан (И-С5Н12) |
0,005-0,015 |
0,03-х + 0,00008 |
н-Пентан (Н-С5Н12) |
0,005-0,015 |
0,03-х + 0,00008 |
2,2-Диметилпропан (нео-С5Н12) |
0,005-0,015 |
0,03-х + 0,00008 |
Гексаны (СвНм) / Сб+высшие |
0,005-0,015 |
0,03-х + 0,00008 |
Диоксид углерода (СО2) |
0,005-0,015 |
0,03-х+ 0,0004 |
Азот/Иг) / Азот суммарно с кислородом (О2) и аргоном (Аг) |
0,25 - 0,75 |
0,02-х + 0,0004 |
Смесь № 2 | ||
Метан (СН4) |
49-74 |
|
Этан (С2Н6) |
10-15 |
0,02-х + 0,00008 |
Пропан (СзН8) |
3-6 |
0,03-х +0,00008 |
Изобутан (И-С4Н10) |
2,0-4 |
0,03-х +0,00008 |
н-Бутан (Н-С4Н10) |
2,0-4 |
0,03-х + 0,00008 |
Изопентан (И-С5Н12) |
0,4 - 2,0 |
0,03-х + 0,00008 |
н-Пентан (Н-С5Н12) |
0,4 - 2,0 |
0,03-х +0,00008 |
2,2-Диметилпропан (нео-С5Н12) |
0,03 - 0,05 |
0,03-х +0,00008 |
Гексаны (СбНм) / Сб+высшие |
0,4-1,5 |
0,03-х + 0,00008 |
Диоксид углерода (СО2) |
2,0-4 |
0,03-х +0,0004 |
Определяемый компонент |
Диапазон молярной доли компонентов (х), % |
Пределы допускаемой абсолютной погрешности ±Д (х)'\ % |
A30t(N2) / Азот суммарно с кислородом (О2) и аргоном (Аг) |
5-10 |
0,02-х + 0,0004 |
соответствует абсолютной расширенной неопределенности U(x), %, при коэффициенте охвата к = 2. 2> Формула применяется при определении молярной доли метана по разности. 3) Формула применяется при определении молярной доли метана впрямую. |
-
2.9 Допускается применение других средств поверки, допущенных к применению в установленном порядке и имеющих характеристики не хуже указанных.
-
2.10 Допускается проведение периодической поверки по одной (или нескольким) ГСО 9307-2009 (ПГМ-6) с молярной долей компонентов, близкой к значению молярной доли компонентов в анализируемом газе.
-
2.11 Все средства должны иметь действующие свидетельства о поверке, а ГСО -действующие паспорта.
-
3.1 При проведении поверки должны быть соблюдены следующие условия:
температура окружающей среды (20 ± 5) °C;
атмосферное давление от 84 до 106,7 кПа; относительная влажность воздуха от 30 до 80 %;
напряжение питания переменного тока 230 В ± 10 %; частота питания переменного тока (50 ± 1) Гц.
-
3.2 Напряжение линии питания должно быть устойчивым и свободным от скачков.
При проведении поверки должны быть соблюдены следующие требования:
-
- требования техники безопасности при эксплуатации баллонов со сжатыми газами должны соответствовать «Правила промышленной безопасности опасных производственных объектов, на которых используется оборудование, работающее под избыточным давлением», утвержденным постановлением №11 Госгортехнадзора России от 25.03.2014;
-
- помещение должно быть оборудовано приточно-вытяжной вентиляцией;
-
- в помещении запрещается пользоваться открытым огнем и курить;
-
- к поверке допускаются уполномоченное лицо имеющее удостоверение поверителя, изучившие настоящую методику поверки, эксплуатационную документацию на хроматографы, ознакомленные ГОСТ Р 52931-2008, ГОСТ 8.578-2014, знающие правила безопасной эксплуатации сосудов, работающих под давлением и имеющие квалификационную группу по электробезопасности не ниже III;
-
- для получения данных, необходимых для поверки, допускается участие в поверке оператора, обслуживающего хроматограф (под контролем поверителя).
Требования безопасности должны соответствовать рекомендациям, изложенным в Руководстве по эксплуатации хроматографа.
5 ПОДГОТОВКА К ПОВЕРКЕПри подготовке к поверке проводят следующие операции:
-
- выполняют мероприятия по обеспечению условий безопасности;
-
- выдерживают хроматограф и баллоны с поверочной газовой смесью при температуре поверки не менее 24 ч;
-
- подготавливают к работе средства поверки в соответствии с требованиями их эксплуатационной документации;
-
- обеспечивают условия проведения поверки согласно пункту 3 настоящей методики поверки;
-
- ознакомляются с эксплуатационной документацией на хроматограф, описанием программного обеспечения и настоящей методикой поверки;
-
- проверяют, что хроматограф подготовлен к работе согласно указаниям руководства по эксплуатации;
-
- проверяют дату проведения последней градуировки хроматографа, выполненной согласно ГОСТ 31371.7-2008 (в используемых градуировочных смесях молярная доля компонентов должна быть близка к молярной доле компонентов в поверочной смеси, а время, прошедшее после последней градуировки, не должно превышать 24 ч). Если после последней градуировки прошло 24 часа, а также при первичной поверке и после ремонта хроматографа проводят градуировку согласно ГОСТ 31371.7-2008. ПГС - стандартные образцы состава ГГП, например, ГСО 9299-2009 (ИПГ-13), с диапазонами молярной доли компонентов, приведенными в таблице 2.
-
6 ПРОВЕДЕНИЕ ПОВЕРКИ
-
6.1.1 При внешнем осмотре проверяют:
-
- отсутствие внешних механических повреждений (царапин, вмятин и др.), влияющих на работоспособность хроматографа;
-
- правильность установки прибора;
-
- соответствие комплектации хроматографа, согласно технической документации на него;
-
- правильность подключения технологических газов и соответствие их характеристик требованиям по чистоте;
-
- четкость маркировки хроматографа, согласно технической документации на него;
-
- исправность средств управления, настройки и коррекции.
Считают, что хроматограф выдержал внешний осмотр, если он соответствуют перечисленным выше требованиям.
6.2 Опробование. Определение разрешения двух соседних хроматографических пиков компонентов ГГП-
6.2.1 Определение разрешения двух соседних хроматографических пиков компонентов ГГП проводят после выхода хроматографа на режим. Условия измерений должны соответствовать п. 3 данной методики.
Определение проводят с использованием поверочной газовой смеси № 2 (таблица 2).
Примечание - Допускается периодическую поверку проводить с использованием одной или нескольких поверочных газовых смесей с молярной долей компонентов, близкой к содержанию молярной доли компонентов в анализируемом газе. Отличие значений молярной доли компонентов в анализируемом газе и поверочной смеси не должно превышать значений, приведенных в таблице 3.
Проверку разрешения двух соседних хроматографических пиков проводят для следующих пар компонентов:
-
- азот / (азот + кислород +аргон) - метан;
Примечание-В зависимости от состава ПГС проверку разрешения двух соседних хроматографических пиков проводят либо для пары (азот + кислород +аргон) - метан, либо для пары азот - метан;
-
- метан - диоксид углерода;
-
- изобутан - н-бутан.
-
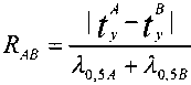
6.2.2 На вход хроматографа подают ПГС и продувают линию подачи газа. Запускают смесь и регистрируют хроматограмму.
Разрешение двух соседних пиков компонентов вычисляют по формуле

где: вРемена удерживания компонентов А и В, разрешение RAB
(1)
которых определяется, с;
1о,5А, Хо,5в - значения ширины пиков А и В на половине высоты, с.
Считают, что хроматограф выдержал поверку по п. 6.2, если вычисленное значение разрешения двух соседних хроматографических пиков компонентов ГГП не менее:
6.3 Определение соответствия программного обеспечения
Определение соответствия программного обеспечения MON2020 (далее ПО MON2020) проводят по номеру версии Firmware (идентификационного номера) и контрольной сумме расчетного модуля (CRC - коды) программного обеспечения.
Для визуализации параметров работы хроматографов используется программное обеспечение MON2020. Номер версии и CRC-коды выводятся в информационном окне «System». Открытие этой экранной формы осуществляют из основного рабочего окна программы «MON2020». В таблице диалогового окна «System» в графе «Firmware Version» должна отображается версия программного обеспечения, а также CRC-код (см. рис. 1).
Считают, что хроматограф выдержал поверку по п. 6.3, если данные диалогового окна «System», номер версии и контрольная сумма расчетного модуля (CRC-код) ПО «Emerson», соответствуют данным, номеру и CRC -коду, приведенным на рисунке 1.
2Д MON2020 - Connected to GC name not set (Ethernet Port. 192.168.135.100)
Minimize All Maximize All Restore АП Close АП

Analyzer Name______________
System Description____
Site Id___________________________
Company Name_________
Location_________
Model_____________________
Serial N ember______________
Analytical Module Serial Number Firmware Version ____________
Standard Component Table Version tor GPA Standard Component Table Version for ISO CGM FCAL Archive___
ГПМ WAI
Рисунок 1 - Вид таблицы диалогового окна «System», номер версии Firmware 1.1.3
В случае изменения установленного программного обеспечения, номер версии и CRC - код ПО, указанные в диалоговом окне «System», сравнивают с номером версии и контрольной суммой, приведенными в документации на новое программное обеспечение.
6.4 Определение абсолютной погрешности хроматографа в рабочем диапазоне измерений-
6.4.1 Определение абсолютной погрешности хроматографа в рабочем диапазоне измерений проводят после выхода хроматографа на режим. Условия измерений должны соответствовать п. 3 данной методики. Определение абсолютной погрешности хроматографа в рабочем диапазоне измерений проводят с использованием поверочных газовых смесей №1 и №2 ГСО 9299-2009 (ИПГ-13). Диапазоны молярной доли компонентов ГГП приведены в таблице 2.
Примечание - Допускается периодическую поверку проводить с использованием одной или нескольких поверочных газовых смесей с молярной долей компонентов, близкой к содержанию молярной доли компонентов в анализируемом газе. Отличие значений молярной доли компонентов в анализируемом газе и поверочной смеси не должно превышать значений, приведенных в таблице 3.
Таблица 3.
Значение молярной доли компонента в пробе, % |
Относительное отклонение значений молярной доли компонента в градуировочной газовой смеси и в пробе, %, не более |
От 0,001 до 0,1 включ. |
±100 |
Св. 0,1 до 1 включ. |
±50 |
Св. 1 до 10 включ. |
±10 |
Св. 10 до 50 включ. |
±5 |
Св. 50 до 100 включ. |
±3 |
-
6.4.2 В хроматограф подают поверочную газовую смесь №1, продувают линию подачи газа и проводят измерения в соответствии с методикой измерения ГОСТ 31371.7-2008. Проводят измерения стандартного образца не менее 2 раз.
-
6.4.3 По отчетам программного обеспечения о результатах измерения молярной доли компонентов для каждого измерения рассчитывают значение абсолютной погрешности по формуле
Д7,=х/й-х7,, (2)
где: Xjd - действительное значение молярной доли /-го компонента, указанное в паспорте на ГСО-ПГС, %
ху, - измеренное значение молярной доли у-го компонента, %.
За абсолютную погрешность хроматографа принимают максимальное по модулю значение Д, рассчитанное по формуле (2).
-
6.4.4 Операцию по п.п. 6.4.2 - 6.4.3 повторяют для ПГС №2.
-
6.4.5 Считают, что хроматограф выдержал поверку по п. 6.4, если полученное значение абсолютной погрешности Д 7 для каждой поверочной смеси не превышает пределов, вычисляемых по формулам таблицы 4.
Таблица 4.
Наименование компонента |
Пределы допускаемой абсолютной погрешности ± Д, % |
Метан |
0,0023 -х + 0,292) -0,0187-х ± 1,883) |
Этан |
0,04-х + 0,00026 |
Пропан |
0,06-х + 0,00024 |
Наименование компонента |
Пределы допускаемой абсолютной погрешности ± А, % '* |
Изобутан |
0,06-х + 0,00024 |
н-Бутан |
0,06-х + 0,00024 |
Изопентан |
0,06-х + 0,00024 |
н-Пентан |
0,06-х + 0,00024 |
2,2-Диметилпропан |
0,06-х + 0,00024 |
Гексаны (Сб+высшие)^ |
0,06-х + 0,00024 |
Диоксид углерода |
0,06-х + 0,0012 |
Азот / Азот суммарно с кислородом и аргоном |
0,04-х+ 0,0013 |
соответствует абсолютной расширенной неопределенности результата измерения молярной доли компонента U(x), %, при коэффициенте охвата к=2.
х - измеренное значение молярной доли компонента газа. |
-
6.5.1 Определение изменения выходного сигнала за 24 часа непрерывной работы хроматографа проводят после выхода хроматографа на режим. Определение проводят с использованием двух поверочных газовых смесей, указанных в таблице 2.
Пр имечание - Допускается периодическую поверку проводить с использованием одной поверочной газовой смеси с молярной долей компонентов, близкой к содержанию молярной доли компонентов в анализируемом ГГП. Отличие значений молярной доли компонентов в анализируемом газе и поверочной смеси не должно превышать значений, приведенных в таблице 3.
-
6.5.2 На вход хроматографа подают поверочную газовую смесь №1, продувают линию подачи газа и проводят измерения в соответствии с методикой измерения ГОСТ 31371.7-2008. Смесь вводят в хроматограф не менее 2 раз. Вычисляют среднеарифметическое значение результата измерения молярной доли компонентов, х]Х, поверочной смеси.
-
6.5.3 Операцию по п. 6.5.2 проводят для ПГС №2.
-
6.5.4 Через 23 ч непрерывной работы хроматографа повторяют измерения по п. 6.5.2 и 6.5.3 данной методики. Вычисляют среднеарифметическое значение результата измерения молярной доли компонентов, х 24, через 23 ч непрерывной работы хроматографа.
-
6.5.5 Проверяют приемлемость полученных результатов измерения. Проверку приемлемости двух измерений проводят по значению расхождения г
г, =|ху1-х,24| (3)
где xJ} - среднеарифметическое значение результата измерения молярной доли компонента полученное непосредственно после градуировки хроматографа по ГОСТ 31371.7-2008;
х 24 — среднеарифметическое значение результата измерения молярной доли компонента полученное через 23 ч непрерывной работы хроматографа.
Примечание - При определении изменения выходного сигнала за 24 часа непрерывной работы хроматографа допускается использовать результаты, полученные при определении абсолютной погрешности хроматографа в рабочем диапазоне измерений по пункту 6.4 данной методики.
Считают, что хроматограф выдержал поверку по п. 6.5, если для каждого у-го компонента поверочной смеси полученные значения расхождения г7 не превышают пределов допускаемых значений 7?^ , вычисляемых по формуле


(4)
где U0J - относительная приписанная расширенная неопределенность результата измерений рассчитанная по ГОСТ 31371.7-2008;
иг0^ад - относительная расширенная неопределенность значения молярной доли /-го компонента в поверочной смеси, % рассчитанная по Приложению Б ГОСТ 31371.7-2008.
6.6 Определение основной погрешности аналогового выходаОпределение основной погрешности аналоговых выходов выполняется только в том случае, если данные сигналы используются для передачи информации в вычислители расхода или систему управления.
Определение основной погрешности аналоговых выходов при первичной поверке выполняется по заявке покупателя хроматографа.
-
6.6.1 Определение основной погрешности аналогового выходного сигнала каждого передаваемого параметра хроматографа в рабочем диапазоне измерений проводят после выхода хроматографа на режим. Условия измерений должны соответствовать п. 3 данной методики.
-
6.6.2 Проводят настройку аналогового выхода каждого передаваемого параметра (молярная доля компонентов и вычисленные физико-химические показатели проб газа) в соответствии с п. 3.7 Руководства пользователя по программному обеспечению MON 2020. При этом диапазоны измерений выбирают минимально возможные на основании анализа диапазона изменений содержания компонентов газа и расчетных физико-химических величин за год.
-
6.6.3 Подключают сигнальный кабель аналоговых выходов в клеммной колодке ТВ 10 хроматографа в соответствии руководством по эксплуатации хроматографа газового промышленного специализированного модели 370ХА п. 3.12.4.
-
6.6.4 На вход хроматографа подают поверочную газовую смесь, продувают линию подачи газа и проводят измерения в соответствии с методикой измерения ГОСТ 31371.7-2008 в режиме единичного измерения. После окончания цикла анализа регистрируют величину аналогового выходного сигнала измеряемых параметров на соответствующих клеммах разъема аналоговых выходов. Измерение выходного сигнала допускается проводить по миллиамперметру или по падению напряжения на образцовом сопротивлении.
-
6.6.5 Операцию измерения ПГС повторяют.
-
6.6.6 Рассчитывают значение измеряемого параметра на основании измерений выходного сигнала по формуле:
nji = П„ + (/, - 4) • (Пв - П„)/16,
(5)
где rijt -рассчитанное значение выходного сигнала в ед. измерения параметра;
Iji - измеренное значение тока аналогового сигнала измеряемого параметра;
Пв - значение верхней границы диапазона измерения параметра;
Пн - значение нижней границы диапазона измерения параметра.
На основании полученных результатов измерения молярной доли компонентов и физикохимических параметров для каждой пробы рассчитывают значение абсолютной погрешности по формуле:

(6)
где njd - действительное значение параметра, указанное в паспорте на ГСО-ПГС, %;
riji -значение параметра, полученного по формуле (5).
За абсолютную погрешность хроматографа принимают максимальное по модулю значение, рассчитанное по формуле (2).
Считают, что хроматограф выдержал поверку по п. 6.6, если полученное значение абсолютной погрешности не превышает пределов, вычисляемых по формулам таблицы 4 и по формулам таблиц М2, М3 Приложения М ГОСТ 31369-2008.
7 ОФОРМЛЕНИЕ РЕЗУЛЬТАТОВ ПОВЕРКИ-
7.1 При проведении поверки составляется протокол результатов измерений. Форма протокола приведена в Приложении А.
-
7.2 Хроматограф, удовлетворяющий требованиям настоящей методики поверки, признают годным к применению и выдают свидетельство о поверке согласно Приказу Минпромторга России от 02.07.2015 №1815 «Об утверждении Порядка проведения поверки средств измерений, требования к знаку поверки и содержанию свидетельства о поверке» (далее Приказ Минпромторга России от 02.07.2015 №1815).
-
7.3 При отрицательных результатах поверки аннулируют предыдущее свидетельство о поверке, эксплуатацию хроматографа запрещают и выдают извещение установленной формы согласно Приказу Минпромторга России от 02.07.2015 №1815 с указанием причин непригодности.
-
7.4 Знак поверки хроматографа газового промышленного специализированного модели 370ХА наносится на свидетельство о поверке.
ФОРМА ПРОТОКОЛА ПОВЕРКИ
Хроматографа газового промышленного специализированного модели 370ХА
Зав. №__________________________________________________________________________
в комплектации с___________________________________________________________________
Принадлежит_______________________________________________________________
ИНН владельца_____________________________________________________________
Дата выпуска______________________________
Дата поверки______________________________
Условия поверки:
температура окружающего воздуха___°C;
атмосферное давление______________кПа;
относительная влажность_____________%.
Документ, по которому проведена поверка___________________________________________
Средства поверки___________________________________________________________________
РЕЗУЛЬТАТЫ ПОВЕРКИ
-
1. Результаты внешнего осмотра________________________________________________________
-
2. Результаты определения степени газохроматического разделения компонентов ГГП_____
-
3. Результаты определения соответствия ПО__________________________________________
-
4. Результаты определения абсолютной погрешности хроматографа_____________________
-
5. Результаты определения изменения выходного сигнала за 24 часа непрерывной работы хроматографа
-
6. Результаты определения основной погрешности аналогового выхода
Заключение_____________________
Поверитель: должность, ФИО______________________________________________________
(подпись)
11