Методика поверки «ХРОМАТОГРАФЫ ГАЗОВЫЕ ORTHODYNE МОДЕЛИ FID 5ХХ, FID 6ХХ» (Код не указан!)
УТВЕРЖДАЮ
Н.В. Иванникова
директора по качеству
ФГУП «ВНИИМС»
2016 г.
ХРОМАТОГРАФЫ ГАЗОВЫЕ ORTHODYNE МОДЕЛИ FID5XX, F1D6XX
Методика поверки
Москва 2016 г.
Настоящая .методика распространяется на хроматографы газовые Orthodyne модели FID 5ХХ. FID 6ХХ фирмы «Orthodyne S.A.». Бельгия (далее - хроматографы) и устанавливает методику их первичной и периодической поверок.
Интервал между поверками 1 год.
1 ОПЕРАЦИИ ПОВЕРКИ1.1 При проведении поверки выполняют операции, указанные в таблице 1. Таблица 1
|
Наименование операции |
Номер пункта методических указаний |
Обязательное проведение операции | |
|
при выпуске и после ремонта |
при эксплуата ции | ||
|
Внешний осмотр |
6.1 |
да |
да |
|
Опробование: |
6.2 |
да |
да |
|
- проверка идентификационных данных ПО. |
6.2.1 |
да |
да |
|
- определение уровня флуктуационных шумов и предела детектирования |
6.2.2 |
да |
да* |
|
Определение метрологических характеристик: |
6.3 |
да |
да |
|
- определение относительного среднего квадратического отклонения выходного сигнала; |
6.3.1 |
да |
да1 |
|
- определение относительного изменения выходного сигнала за 24 часа непрерывной работы; |
6.3.2 |
да |
да1 |
|
- определение показателей точности результатов измерений. |
6.3.3 |
нет |
да2 |
11 При отсутствии НД на методику' измерений, утвержденной в установленном по
рядке по ГОСТ 8.563 - 2009.
2)При наличии НД на методику измерений.
2 СРЕДСТВА ПОВЕРКИ-
- ГСО № 10532-2014 состава газовой смеси СНд/азот. номинальное значение объемной доли метана 1 млн'1.
-
- ГСО № 10532-2014 состава газовой смеси СО/азот, номинальное значение объемной доли СО 1 млн'1 (только для модификаций моделей хроматографов с метанатором (блоком UMTR).
-
- термометр лабораторный ТЛ4-Б2, ГОСТ 28498-90, диапазон измерений от 0°С до 50°С, цена деления 0,1°С;
-
- психрометр аспирационный МВ-4М. ТУ25.1607.054-85;
-
- барометр-анероид БАММ-1 по ТУ 25-11.1513-79.
Допускается применять другие средства поверки, в том числе ГСО газовых смесей не ниже 2-го разряда других производителей (с другими номерами ГСО), метрологические характеристики которых не хуже указанных.
3 УСЛОВИЯ ПОВЕРКИ И ПОДГОТОВКА К НЕЙ-
3.1 При проведении поверки соблюдают следующие условия:
-температура окружающего воздуха,°С 20 ± 2
- изменение температуры окружающего воздуха за время
проведения измерений, °C, не более ± ]
-
- относительная влажность, % от 30 до 90
-
- атмосферное давление. кПа 101,3 ± 4
-
- напряжение питания. В 220 ± 4,4
-
- частота напряжения питания, Гц 50 ± 0,5
-
3.2 Подготовительные работы и измерения выполняют в соответствии с Руководством по эксплуатации хроматографа.
Доступ к хроматограмме - в соответствии с Разделом 7.4 РЭ.
-
3.3 Баллоны с газовыми смесями выдерживают при комнатной температуре не менее 24 часов.
-
4.1 Поверителем хроматографа может быть физическое лицо - сотрудник органа Государственной метрологической службы или юридического лица, аккредитованного на право поверки и прошедший аттестацию в порядке, установленном порядке.
-
4.2 Поверитель должен пройти специальную подготовку по поверке и калибровке хроматографических приборов и иметь соответствующее свидетельство.
-
4.3 Поверитель должен быть ознакомлен с эксплуатационными документами на поверяемый хроматограф.
-
5.1 Работы с хроматографом проводят в соответствии с требованиями безопасности, приведенными в эксплуатационной документации.
-
5.2 При поверке хроматографа соблюдают действующие «Правила устройства электроустановок» (ПУЭ), «Правила эксплуатации электроустановок потребителей» (ПЭЭП), «Межотраслевые правила по охране труда (правила безопасности) при эксплуатации электроустановок» (ПОТ РМ-016-2001), «Правила устройства и безопасной эксплуатации сосудов, работающих под давлением».
-
5.3 Источниками опасности хроматографа являются:
-
• токоведущие части, находящиеся под напряжением;
-
• газовые магистрали высокого давления (0,4 МПа);
-
• газообразный водород.
-
5.4 Все составные части хроматографа, имеющие силовые цепи, должны быть заземлены.
-
5.5 При работе с водородом, проведении анализов горючих, вредных и агрессивных веществ должны соблюдаться меры пожарной безопасности и правила техники безопасности, предусмотренные в специальных инструкциях, разрабатываемых потребителем в соответствии со спецификой применяемых веществ.
-
6.1 Внешний осмотр
При внешнем осмотре устанавливают:
-
- соответствие комплектности хроматографа паспортным данным;
-
- четкость маркировки;
-исправность механизмов и крепежных деталей.
-
6.2 Опробование
-
6.2.1 Проверка идентификационных данных ПО хроматографа газового Orthodyne модели FID 5ХХ, FID 6ХХ.
По запросу в меню Info/About Chromdyne на экране должно отображаться идентификационное наименование и версия ПО (рис. 1)
Рис. 1 - Отображение идентификационных данных ПО
Результат проверки считают положительным, если отображаемые идентификационные данные соответствуют следующим значениям:
|
Идентификационное наименование ПО Номер версии (идентификационный номер) ПО Цифровой идентификатор ПО |
Chromdyne Не ниже 3.14.14 10AFB2E1 |
(цифровой идентификатор проверяют только для версии 3.14.14. расчет с помощью Dataman S4 Software Windows Version 2.17).
-
6.2.2 Проверку уровня флуктуационных шумов нулевого сигнала и предела детектирования проводят с применением ГСО состава газовой смеси СНд/азот для модифика-
ций моделей хроматографов без метанагора (блока UMTR), и ГСО состава газовой смеси СО/азот для модификаций моделей хроматографов с меганатором (блок UMTR).
-
6.2.2.1 Уровень флуктуационных шумов нулевого сигнала принимают равным амплитуде повторяющихся колебаний нулевого (без ввода пробы) сигнала с периодом не более 20 с.
Запись шумов производят в течение 10 мин (снимают хроматограмму без ввода пробы). Определяют амплитуду шумов Дх, В.
-
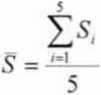
6.2.2.2 Для определения предела детектирования вводят в хроматограф пять раз контрольную газовую смесь. Находят среднее значение площади пика по формуле (1)

(Г)
где S, - результат i-того измерения площади пика компонента. мкВ с Предел детектирования Стщ. г/с, определяют по формуле (2).

2Д, G
S
(2)
где G - масса контрольного компонента, г;
-
5 - среднее арифметическое значение площади пика компонента. мкВ с;
При использовании газовой пробы массу контрольного компонента G, г, определяют по формуле (3)
0,01 -РЛ/СУГ
(3)
Я (/ + 273)
где Иг- объем газовой пробы, см3, ("loop" по спецификации хроматографа);
Р -давление газовой пробы (атмосферное), Па;
Л/ - молярная масса определяемого вещества, г/моль;
С- объемная доля контрольного компонента в газовой смеси (по паспорту), %;
R -газовая постоянная. R = 8.3 10ь(Па- см3)/(моль град);
t - температура окружающей среды. °C.
Уровень флуктуационных шумов и предел детектирования должны соответствовать значениям, указанным в НД на хроматографы.
6.3 Определение метрологических характеристик
-
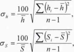
6.3.1 Определение среднего квадратического отклонения выходного сигнала.
Соответствующий стандартный образец (вводят в хроматограф не менее 5 раз, измеряют значения выходных сигналов (время удерживания, площадь и высота пика) и вычисляют их среднее арифметическое значение (X) по формуле (1).
Значения относительных СКО выходных сигналов, % определяют по формулам (4 -6)
юо ОТо7п-1

-
(5)
-
(6)
где t,h,S - средние значения выходных сигналов (времени удерживания, высоты и площади пика i-того компонента).
и - число измерений. п = 5.
Значение относительного среднего квадратического отклонения выходного сигнала, %, не должно превышать 1 %,
-
6.3.2 Определение относительного изменения выходного сигнала за 24 часа непрерывной работы.
Условия измерений - в соответствии с п.3.1. Проводят операции, описанные в п. 6.3.1.
-
6.3.3 Через 24 часа непрерывной работы повторяют измерения по п. 6.3.1. Относительное изменение выходного сигнала за 24 часа непрерывной работы
хроматографа рассчитывают по формуле (7)
Y _ V
^=-^—•100 (7)
где X и X, . средние значения выходного сигнала вначале работы и через 24 часа непрерывной работы соответственно, с (мкВ-c, мкВ).
Значение относительного изменения выходных сигналов (площадей пиков) не должно превышать 5%.
-
6.3.4 При проведении периодической поверки хроматографов, эксплуатируемых по НД на методики измерений, отвечающим требованиям ГОСТ Р 8.563-2009. проверяют показатели точности результатов измерений в соответствии с процедурами и нормативами контроля, регламентированными в НД на методику измерений.
-
7.1 Результаты поверки хроматографа заносят в протокол.
-
7.2 Положительные результаты поверки хроматографа оформляют выдачей свидетельства. Знак поверки наносят на переднюю панель хроматографа.
-
7.3 Хроматографы, не удовлетворяющие требованиям настоящей рекомендации, к эксплуатации не допускают. Хроматографы изымают из обращения, свидетельство о поверке изымают и выдают извещение о непригодности с указанием причин.
-
7.4 После ремонта хроматографы подвергают поверке.
Н.с. ФГУП «вниимс»

Е.Г. Оленина
Начальник отдела

Ш.Р. Фаткудинова
