Методика поверки «КОМПЛЕКТ СРЕДСТВ ИЗМЕРЕНИЙ И ВСПОМОГАТЕЛЬНОГО ОБОРУДОВАНИЯ ДЛЯ ПОВЕРКИ СРЕДСТВ ИЗМЕРЕНИЙ ВЫСОТЫ НИЖНЕЙ ГРАНИЦЫ ОБЛАКОВ (ПЕРЕНОСНОЙ) (КПП-6)» (МП 254-0027-2014)

КОМПЛЕКТ СРЕДСТВ ИЗМЕРЕНИЙ И ВСПОМОГАТЕЛЬНОГО ОБОРУДОВАНИЯ ДЛЯ ПОВЕРКИ СРЕДСТВ ИЗМЕРЕНИЙ ВЫСОТЫ НИЖНЕЙ ГРАНИЦЫ ОБЛАКОВ (ПЕРЕНОСНОЙ) (КПП-6)
Методика поверки
МП 254-0027-2014
\6
Санкт-Петербург
2014 г.
Настоящая методика поверки распространяется на «Комплект средств измерений и вспомогательного оборудования для поверки средств измерений высоты нижней границы облаков (переносной) (КПП-6)» (далее - КПП-6), предназначенный для поверок средств измерений высоты нижней границы облаков (СИ ВНГО) с верхними пределами измерений до 3000 м, выполняемых по методам документа МИ 2713-2008.
Интервал между поверками -1 год.
КПП-6 состоит из следующих основных частей:
-
- дальномера лазерного Leica DISTO D5 (номер по ФИФ № 41142-09);
-
- замыкателя оптического;
-
- линии задержки ЛЗТ-2 (номер по ФИФ № 47457-11);
-
- осциллографа - мультиметра АКИП 4125/1 (номер по ФИФ № 54285-13);
-
- программно-вычислительного комплекс (ПВК);
-
- транспортировочного футляра.
Метрологические характеристики КПП-6 приведены в таблице А. 1 Приложения А.
1 Операции поверки-
1.1 При проведении поверки КПП-6 должны быть выполнены операции, указанные:
-
- в таблице 1 раздела «Методика поверки» руководства по эксплуатации на дальномер Leica DISTO D5;
-
- в таблице 1 методики поверки МП 2551-0065-2011 «Линия задержки ЛЗТ-2. Методика поверки».
-
2.1 При определении метрологических характеристик Leica DISTO D5, входящего в состав КПП-6 применяются следующие средства поверки:
-
- монохроматор с диапазоном измерений от 200 до 1000 нм, пределы допускаемой абсолютной погрешности ± 1 нм;
-
- ваттметр для ЛТА с диапазоном измерений от 0,001 до 1000 мВт, пределы допускаемой относительной погрешности ± 5,5 %;
-
- линейка измерительная 300 мм ГОСТ 427-75;
-
- набор контрольных линий (базисов), не менее трех, действительные длины которых равномерно располагаются в диапазоне измерений дальномера и определены с погрешностью не более ± 0,3 мм, например светодальномером типа СП ГОСТ 19223-90 или рулеткой 3 разряда ГОСТ Р 8.763;
-
- квадрант оптический КО-60 ТУЗ-3.1387-82;
-
- плита поверочная 3 кл. ГОСТ 10905-86;
-
- нивелир типа НЮ ГОСТ 10528-903.
-
2.2 При определении метрологических характеристик линии задержки ЛЗТ-2, входящей в состав КПП-6 применяются следующие средства поверки:
-
- источник временных сдвигов И1-8 с диапазоном измерений от 0 до 1,54 О4 нс, пределы допускаемой абсолютной погрешности ± 0,5 нс;
-
- осциллограф универсальный С1-104 с диапазоном измерений от 44 О’9 до 0,5 с;
-
- генератор импульсов Г5-78 с диапазоном измерений от 1 до 5 4 05 нс, пределы допускаемой абсолютной погрешности ± (0,14+0,5) нс, где t - измеренное значение времени импульса.
-
2.3 Все перечисленные средства измерений должны иметь необходимую эксплуатационную документацию, действующие свидетельства о поверке или оттиски клейм поверочных, нанесенных в установленных местах.
-
2.4 Допускается применение других средств поверки, обеспечивающих определение метрологических характеристик составных частей КПП-6 с требуемой точностью.
К проведению поверки допускаются лица, аттестованные в установленном порядке в качестве поверителей, с правом поверки гидрометеорологических приборов, а также освоившие «Правила техники безопасности при эксплуатации электроустановок потребителей», ознакомившиеся с руководством по эксплуатации на КПП-6.
4 Требования безопасностиПри проведении поверки дальномера Leica DISTO D5 должны быть соблюдены требования безопасности приведенные в п.4 раздела «Методика поверки» руководства по эксплуатации на дальномер Leica DISTO D5.
При проведении поверки линии задержки ЛЗТ-2 должны быть соблюдены требования безопасности приведенные в п. 3 методики поверки МП 2551-0065-2011 «Линия задержки ЛЗТ-2. Методика поверки».
5 Условия поверкиПри проведении поверки дальномера Leica DISTO D5 должны быть соблюдены условия поверки описанные в п. 5 раздела «Методика поверки» руководства по эксплуатации на дальномер Leica DISTO D5.
При проведении поверки линии задержки ЛЗТ-2 должны быть соблюдены условия поверки описанные в п.4 методики поверки МП 2551-0065-2011 «Линия задержки ЛЗТ-2. Методика поверки».
6 Подготовка к поверкеПодготовка к поверке дальномера Leica DISTO D5 осуществляется по п. 6 раздела «Методика поверки» руководства по эксплуатации на дальномер Leica DISTO D5.
Подготовка к поверке линии задержки ЛЗТ-2 осуществляется по п.5 методики поверки МП 2551-0065-2011 «Линия задержки ЛЗТ-2. Методика поверки».
7 Проведение поверкиПоверку дальномера Leica DISTO D5 выполнить по п. 7 раздела «Методика поверки» руководства по эксплуатации на дальномер Leica DISTO D5.
Поверку линии задержки ЛЗТ-2 выполнить по п. 6 методики поверки МП 25510065-2011 «Линия задержки ЛЗТ-2. Методика поверки».
8 Оформление результатов поверкиРезультаты поверки дальномера Leica DISTO D5 оформить согласно п.8 раздела «Методика поверки» руководства по эксплуатации на дальномер Leica DISTO D5.
Результаты поверки линии задержки ЛЗТ-2 оформить согласно п.7 методики поверки МП 2551-0065-2011 «Линия задержки ЛЗТ-2. Методика поверки».
Знак поверки наносится на «Свидетельство о поверке».
ПРИЛОЖЕНИЕ А
Метрологические характеристики КПП-6
Таблица А.1
Наименование характеристики |
Значение характеристики |
Значения высоты нижней границы облаков (ВНГО), воспроизводимые линией задержки (ЛЗТ-2), L„M, м (и соответствующие им значения времени задержки, т, нс) |
15(100), 30(200), 60 (400), 120 (800), 450 (3000), 900 (6000), 1800 (12000), 2400 (16000), 3000 (20000) |
Пределы допускаемой погрешности воспроизведения значений высоты нижней границы облаков ЛЗТ-2, м (и соответствующие им пределы допускаемой погрешности воспроизведения заданного времени задержки сигналов ЛЗТ-2, нс) |
±0,90(±6); ±1,80(±12); ±2,70(±18); ±3,60(±24); ±5,55(±37); ±13,80(±92); ±19,55(±133); ±48,75(±325); ±75,00(±500) |
Диапазон измерений дальномера типа Leica DISTO D5, м |
от 0,05 до 200 |
Пределы допускаемой абсолютной погрешности дальномера типа Leica DISTO D5
|
±1,0 ± (1+2,5x10'2xD) ± (1+10x10’2xD) ± (1+15x10’2xD) (D - измеряемое расстояние, м) |

(Раздел руководства по эксплуатации)
Настоящая методика поверки распространяется на дальномеры лазерные Leica DISTO D5 и Leica DISTO D8 (далее - дальномеры), выпускаемые фирмой «Leica Geosystems AG» (Швейцария) и устанавливает методику их первичной и периодической поверки.
Межповерочный интервал периодической поверки - 1 год.
Операции поверкиПри проведении поверки должны выполняться операции, указанные в таблице 1.
Таблица 1
№ п/п |
Наименование операции |
№ пункта документа по поверке |
Проведение операций при | |
первичной поверке |
периодической поверке | |||
1 |
Внешний осмотр |
7.1 |
Да |
Да |
2 |
Опробование |
7.2 |
Да |
Да |
3 3.1 |
Определение метрологических характеристик Определение длины волны лазерного излучения |
7.3 7.3.1 |
Да |
Нет |
3.2 |
Определение мощности лазерного излучения |
7.3.2 |
Да |
Нет |
3.3 ( |
Определение диаметра лазерного луща |
7.3.3 |
Да |
Нет |
3.4 ' |
Определение погрешности измерения расстояний |
7.3.4 |
Да |
Да |
3.5 |
Определение погрешности измерения углов наклона |
7.3.5 |
Да |
Да |
3.6 |
Определение места нуля датчика угла наклона |
7.3.6 |
Да |
Да |
3.7 |
Определение отклонения от параллельности оси датчика угла наклона и лазерного луча |
7.3.7 |
Да |
Да |
При проведении поверки должны применяться эталоны и вспомогательные средства поверки, приведенные в таблице 2.
Таблица 2
№ пункта документа по поверке |
Наименование эталонов, вспомогательных средств поверки и их основные метрологические и технические характеристики |
7.3.1 |
Монохроматор с диапазоном измерения 200.. 1000 нм, ПГ± 1 нм |
7.3.2 |
Ваттметр для ЛТА с диапазоном измерений 0,001..1000 мВт, ПГ ± 5,5% |
7.3.3 |
Линейка измерительная 300 мм ГОСТ 427-75 |
7.3.4 |
Набор контрольных линий (базисов), не менее трех, действительные длины которых равномерно располагаются в диапазоне измерения дальномера и определены с погрешностью не более ± 0,3мм, например: светодальномером типа СП ГОСТ 19223-90 или рулеткой 3 разряда МЙ 2060-90 |
7.3.5 |
Квадрант оптический КО-60 ГУЗ-3.1387-82 |
2
7.3.6 |
Плита поверочная 3 кл. ГОСТ 10905-86 |
7.3.7 |
Нивелир типа НЮ ГОСТ 10528-90 Динейка измерительная 300мм ГОСТ 427-75 |
Допускается применять другие средства поверки обеспечивающие определение метрологических характеристик с точностью удовлетворяющей требованиям настоящих методических указаний.
3. Требования к квалификации поверителейК проведению поверки допускаются лица изучившие эксплуатационные документы, имеющие достаточные знания и опыт работы и аттестованные в качестве поверителя органом Г осударственной метрологической службы.
4. Требования безопасностиПри проведении поверки, меры безопасности должны соответствовать требованиям по технике безопасности согласно эксплуатационной документации, правилам по технике безопасности действующие на месте проведения поверки и требованиям МЭК-825 « Радиационная безопасность лазерной продукции, классификация оборудования, требования и руководство для потребителей».
5. Условия поверки-
5.1 При проведении поверки должны соблюдаться в лаборатории следующие нормальные
условия измерений:
-
• температура окружающей среда ,°С......................... (20±10)
-
• относительная влажность воздуха,%............................................ не более 80
-
• атмосферное давление, кПа (мм рт.ст.)......................................84,0..106,7 (630..800)
-
-
• изменение температуры окружающей среды во время поверки, °С/ч.... не более 2
-
5.2 Полевые измерения (измерения на открытом воздухе) должны проводиться при отсутствии осадков и порывов ветра.
Перед проведением поверки должны быть выполнены следующие подготовительные работы:
-
• Проверить наличие действующих свидетельств о поверке на средства поверки;
-
• Дальномер и средства поверки привести в рабочее состояние в соответствии с их эксплуатационной документацией;
-
• Дальномер и средства поверки должны быть выдержаны на рабочих местах не менее 1 ч.
-
7. Проведение поверки
При внешнем осмотре должно быть установлено соответствие дальномера следующим требованиям:
-
• отсутствие коррозии, механических повреждений и других дефектов, влияющих на эксплуатационные и метрологические характеристики;
-
• наличие маркировки и комплектности согласно требованиям эксплуатационной документации;
При опробовании должно быть установлено соответствие дальномера следующим требованиям:
-
• отсутствие качки и смещений неподвижно соединенных деталей и элементов;
-
• работоспособность дальномера с использованием всех функциональных режимов.
-
• диапазон измерения расстояний и дискретность отсчетов измерения должны соответствовать эксплуатационной документации.
-
7.3. Определение метрологических характеристик
Длина волны лазерного излучения определяется с помощью монохроматора в соответствии с руководством по эксплуатации.
Длина волны лазерного излучения должна составлять 620.. 690 нм.
7.3.2 Определение мощности лазерного излученияМощность лазерного излучения определяется с помощью ваттметра в соответствии с руководством по эксплуатации. Мощность лазерного излучения не должна превышать 1 мВт.
733 Определение диаметра лазерного лучаДиаметр лазерного луча определяется с помощью линейки измерительной путем измерения диаметра светового пятна оставляемого лазерным лучом на мишени.
Диаметр лазерного луча не должен превышать 6 мм при удалении мишени на расстояние 10м, 30мм при удалении мишени на расстояние 50м и 60мм при удалении мишени на расстояние 100м.
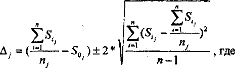
73.4 Определение погрешности измерения расстоянийПогрешность измерения расстояний определяется путем многократных (не менее 10) измерений не менее 3 контрольных (эталонных) линий, действительные длины которых равномерно расположены в диапазоне измерения дальномера. Погрешность измерения расстояний (каждой линии) вычисляется по формуле:

Л, - погрешность измерения j-й линии;
Sn, - эталонное(действительное) значениеj-й линии;
S - измеренное значение j-й линии i-м приемом.;
п. - число приемов измерений j-й линии.
За окончательный результат следует принять наибольшее абсолютное значение. Погрешность измерения расстоянии следует определять от каждой нулевой точки, которая, в зависимости от режима измерений может совпадать с передним краем корпуса дальномера,, с задним краем корпуса дальномера, с краем откидного ограничителя или с центром штативной резьбовой втулки.
Погрешность измерения расстояний не должна превышать ± 1,0 мм для расстояний до Юм, + (1+2,5х10'2 xD) мм для расстояний от 10 до 30 м, ± (1+10x10'2xD) мм для расстояний более 30 м и ±(1+15x10‘2xD) для режима измерение больших длин, где D-измеряемое расстояние, м.
7.3.5 Определение погрешности измерения углов наклонаПогрешность измерения углов наклона определяется с помощью квадранта и вычисляется по выражению:
Дугл = Вд -Вк, где
Дугл - погрешность измерения углов наклона;
Вд - угол наклона предметного столика поворотного устройства
измеренный дальномером;
Вк - угол наклона предметного столика поворотного устройства
измеренный квадрантом.
Следует выполнить определение погрешности измерения углов наклона с шагом 5° и наибольшее значение принять за окончательный результат.
4
Погрешность измерения углов наклона не должна превышать ±0,3° для DISTO D5 и ±0,1° для DISTO D8.
73.6 Определение места нуля датчика угла наклонаМесто нуля (МО) датчика угла наклона определяется на поверочной плите и вычисляется по выражению:
2
А» - угол наклона поверочной плиты измеренный дальномером;
Aigft - угол наклона поверочной плиты измеренный дальномером после поворота его на 180°.
Следует выполнить не менее трех определений места нуля и среднее арифметическое принять за окончательный результат.
Место нуля датчика угла наклона не должно превышать ±0.3° для DISTO D5 и ±0.1° для DISTO D8.
73.7 Определение отклонения от параллельности оси датчика угла наклона и лазерного луча.Отклонение от параллельности оси датчика угла наклона и лазерного луча определяется нивелиром. Следует привести дальномер в горизонтальное положение с учетом значения места нуля датчика угла наклона и отметить середину лазерного луча надвух марках, удаленных друг от друга на расстояние 10м. Совмещая нуль линейки измерительной с отметками, нивелиром определить между ними превышение.
Превышение не должно превышать ± 52 мм, что соответствует отклонению от параллельности оси датчика угла наклона и лазерного луча не более ±0,3° для DISTO D5 и от - 17 мм до +35 мм, что соответствует отклонению от параллельности оси датчика угла наклона и лазерного луча от -0,1° до +0,2° для DISTO D8.
8. Оформление результатов поверки-
8.1 Результаты поверки оформляются протоколом, составленным в виде сводной таблицы результатов поверки по каждому пункту раздела 7 настоящей методики поверки с указанием предельных числовых значений результатов измерений и их оценки по сравнению с предъявленными требованиями.
-
8.2 При положительных результатах поверки, дальномер признается годным к применению и на него выдается свидетельство о поверке установленной формы с указанием фактических результатов определения метрологических характеристик.
-
8.3 При отрицательных результатах поверки, дальномер признается непригодным к применению и на него выдается извещение о непригодности установленной формы с указанием основных причин.
Зам. руководителя ГЦИ СИ «МАДИ-ФОНД»
В.Б. Кучер
ПРИЛОЖЕНИЕ В
ВЕРЖДАЮ
СИ ФГУП $нделеев а»

2011 г.
.И.Ханов
ЛИНИИ ЗАДЕРЖКИ ЛЗТ-2
МЕТОДИКА ПОВЕРКИ
МП 2551-0065-2011
Руководитель лаборатории ГЦИ СИ

/
ФГУП «ВНИИМ им. Д.И.Менделеева»
В.П.Ковальков
г. Санкт-Петербург 2011г.
Настоящая методика поверки распространяется на линии задержки ЛЗТ-2 (далее ЛЗТ-2), предназначенные для измерений времени задержки импульсного сигнала и устанавливает методы и средства их первичной и периодической поверки.
Межповерочный интервал - 1 год.
1.Операции поверки
__________________________________________Таблица 1 I Номер пункта Проведение операции при__
Наименование операции |
документа о поверке |
Первичной поверке |
Периодической поверке |
Внешний осмотр |
6.1 |
-г |
-Г |
Опробование |
6.2 |
+ |
-Г : |
Определение метрологических характеристик при измерении: -времени задержки импульсного сигнала |
6.3.1 |
+ |
! 1 |
-
1.2 При отрицательных результатах одной из операций поверка прекращается.
_ v ,.'С..С ; li.i i.v>:sc.’л 1.
Таблица 2
Наименование средства поверки и вспомогательного оборудования |
Метрологические характеристики | |
Диапазон измерений |
Погрешность, класс | |
Источник временных сдвигов И1-8 |
(0-1,5-104) нс нс |
±0,5 нс |
Осциллограф универсальный С1-104 |
(4 • 10‘9-0,5) с |
кт.2 |
Генератор импульсов Г5-78 |
(1-5-10?) нс |
х(0,1 t-r0,5) нс, где 1- |
измеренное значение времени импульса
-
2.1 Средства измерений должны иметь действующие свидетельства о поверке.
-
3.Требования безопасности
При проведении поверки должны соблюдаться:
-
♦ требования безопасности по ГОСТ 12.3.019, ГОСТ 12.3.006;
-
♦ мрази..,; .cx.uноской iKcis.’icатации электро)егановок потребителей»:
-
♦ «Правила ТБ при эксплуатации электроустановок потребителей».
-
4.Условия поверки
При поверке должны быть соблюдены следующие условия:
-
♦ температура воздуха,°C 15 - 25:
-
♦ относительная влажность воздуха,% 30 - 80;
-
♦ атмосферное давление, rlla 900 - 1100.
-
5.Подготовка к поверке
-
5.1 К проведению поверки допускаются лица, прошедшие специальное обучение и имеющие право на проведение поверки, изучившие настоящую методику и эксплутационную документацию (далее ЭД), прилагаемую к ЛЗТ-2.
-
Перед началом проведения поверки ЛЗТ-2 должны работать не менее 10 минут.
Перед проведением поверки должны быть выполнены следующие подготовительные работы:
? — . i;’ч :sc:.'ku Ke.'-::s.;СК снос i'i! ^/31-2.
-
5.3 Проверка электропитания ЛЗТ-2.
-
6.Проведение поверки
-
6.1 .Внешний осмотр
-
При проведении внешнего осмотра должно быть установлено соответствие ЛЗТ-2 следующим требованиям:
-
6.1.1 ЛЗТ-2 не должны иметь механических повреждений или иных дефектов, влияющих на качество работы.
-
6.1.2 Регулировочные винты и контровочные гайки должны быть надежно затянуты, крепления деталей и узлов должны быть жесткими.
-
6.1.3 Соединения в разъемах питания ЛЗТ-2 должны быть надежными.
-
6.1.4 Маркировка ЛЗТ-2 должна быть целой, четкой, хорошо читаемой.
-
6.1.5 Контрольная индикация должна указывать на работоспособность ЛЗТ-2.
6.2.Опробование
Опробование ЛЗТ-2 должно осуществляться в следующем порядке:
-
6.2.1 Включить ЛЗТ-2 и проверить ее работоспособность.
-
6.2.2 Провести проверку работоспособности всех измерительных диапазонов.
6.3.Определение метрологических характеристик
-
6.3.1 Первичная и периодическая поверка ЛЗТ-2 проводится в лабораторных условиях в аккредитованном метрологическом центре в соответствии с методикой поверки.
-
6.3.2 Поверка канала измерений времени задержки импульсного сигнала выполняется в следующем порядке:
-
6.3.2.1 Соберите схему для поверки линии задержки ЛЗТ-2 согласно Приложения 1.
-
6.3.2.2 Подключите собранную схему и подготовьте ее к работе согласно ЭД.
-
6.3.2.3 Снимите значение времени задержки импульсного сигнала То для первого значения задержки импульсного сигнала с источника временных сдвигов И1-8. (Полный расчет погрешности
■ измерений линии задержки ЛЗТ-2 приведен в Приложении 2.)
-
6.3.2.4 Повторите измерения не менее 5 раз.
-
6.3.2.5 Проведите осреднение по 5 измерениям.
-
6.3.2.6 Повторите измерение времени задержки импульсного сигнала для остальных 8 диапазонов ЛЗТ-2, согласно п.п. 6.3.2.3 - 6.3.2.5.
-
6.3.2.7 Критерием положительного результата поверки линии задержки ЛЗТ-2 является:
А- ~6 для времени задержки 100 нс: Дт±12 для времени задержки 200 нс;
Дт —18 для времени задержки 400 нс; Дт±24 для времени задержки 800 нс;
Дт±37 для времени задержки 3000 нс; Дт±92 для времени задержки 6000 нс;
Дт±133 для времени задержки 12000-нс; Дт±325 для времени задержки 16000 нс; Дт±500 для времени задержки 20000 нс
7.Оформление результатов поверки
-
7.1 Результаты поверки вносят в протокол, форма которого приведена в Приложении 3.
-
7.2 Линия задержки ЛЗТ-2, удовлетворяющая требованиям настоящей методики поверки, признается годной и на нее оформляется свидетельство о поверке установленного образца.
-
7.3 Линия задержки ЛЗТ-2, не удовлетворяющая требованиям настоящей методики поверки, к эксплуатации не допускается, на нее оформляется извещение о непригодности с указанием причин.
СХЕМА
соединения приборов для поверки линии задержки ЛЗТ-2

РАСЧЕТ АБСОЛЮТНОЙ ПОГРЕШНОСТИ ИЗМЕРЕНИЙ ВРЕМЕНИ ЗАДЕРЖКИ
Расчет погрешности определения времени задержки производится по формулам (1), (2), (3).

где Дк - относительная погрешность частоты источника временных сдвигов И1-8,
То - величина измеряемого времени интервала, нс,
Дс5. • Асб ~ погрешность совмещения визирной отметки и фронта входного и задержанного импульсов, нс, соответственно, рассчитывают по формуле (2),
Ачз, - Дуб - погрешность за счет установки уровня на фронте входного и задержанного импульсов, нс, соответственно, рассчитывают по формуле (3),
Д5 - абсолютная составляющая погрешности установки задержки, нс где р - скорость развертки, мм/нс,


(2)
К - чувствительность тракта вертикального отклонения, мм/В,
S - крутизна изображения сигнала в точке совмещения, мм/нс;
ч К (1,5-10-2-0 4-0,05)
Л' =-------,-----------. (•>)
где К - ч\ вс гы-;ддьность тракта вертикального отклонения, мм/В,
и - величина уровня измерений сигнала, В,
S - крутизна изображения сигнала в точке совмещения, мм/нс
Учитывая, что составляющая погрешности из-за нестабильности источника временных сдвигов ТК*ТО и абсолютная составляющая погрешности установки задержки тг значительно меньше предела допускаемой погрешности, при расчете погрешности они не учитываются. В самом деле: в условиях поверки относительная погрешность частоты источника временных сдвигов не превышает ±10'э в течение года, а величина измеряемого интервала не превышает 20000 нс, то Тк*То=1’10‘5*20000=0,2 нс; абсолютная составляющая погрешности установки определяется суммой составляющих погрешностей изменения временного положения задержанного импульса равных:
±0,05 нс - в диапазоне (0-0,9) нс
хО.Ю нс - в диапазоне (>0,9-90) нс
-0.25 нс - в диапазоне (>90-20000) нс
то есть Тг=0,05+0,1т0,25=0,4 нс.
Форма протокола поверки
Линия задержки ЛЗТ-2 заводской номер______________
Дата ввода в эксплуатацию «_____»_____________20__года
Место установки______________________________________________________________-__
Результаты поверки
-
1. Внешний осмотр
-
1.1 Замечания__________________________________________________________________________________________
-
1.2 Выводы________________________________________________________________________________
-
-
2. Опробование
-
2.1 Замечания__________________________________________________________________________________
-
2.2В ывод ы___
-
3. Определение метрологических характеристик линии задержки ЛЗТ-2.
3.5 Погрешность измерений времени задержки импульсного сигнала.
-
3.5.1 Замечания_______________________________________________________________________________
-
3.5.2 Выводы _________________________________________________________________
На основании полученных результатов линия задержки ЛЗТ-2 признается:____________________
Для эксплуатации до «___»
20___года.
Поверите.’’:._______
Подпись
ФИО.
' Дата поверки
«____»________________20___года.
6