Методика поверки «Изделия ПС-161 ТСЮИ.461531.014» (МП 84-15-03)
УТВЕРЖДАЮ
Первый заместитель генерального директора - заместитель но
ИНСТРУКЦИЯ
Изделия ПС-161 ТСЮИ.461531.014
Методика поверки
84-15-03 МП
4 .b.G4A7S-t&2016 г.
1 ОБЩИЕ СВЕДЕНИЯ-
1.1 Настоящая методика поверки распространяется на изделия ПС-161 ТСЮИ.461531.014 (далее - приемники) и устанавливает методы и средства их первичной и периодической поверок.
-
1.2 Интервал между поверками - 5 лет.
-
2.1 Перед проведением поверки изделия провести внешний осмотр и операции подготовки его к работе.
-
2.2 Метрологические характеристики приемников, подлежащие определению в процессе проверке, и операции поверки приведены в таблице 1.
Таблица 1
|
Наименование операции |
Номер пункта методики поверки |
Проведение операции при | |
|
первичной поверке (после ремонта) |
периодической поверке | ||
|
1 Внешний осмотр |
8.1 |
да |
да |
|
2 Опробование |
8.2 |
да |
да |
|
3 Определение (контроль) метрологических характеристик: | |||
|
3.1 Определение абсолютной погрешности измерения координат |
8.3 |
да |
да |
|
3.2 Определение абсолютной погрешности измерения скорости |
8.4 |
да |
да |
|
3.3 Определение абсолютной погрешности синхронизации формируемой шкалы времени (ШВ) к ШВ UTC(SU), UTC(USNO) |
8.5 |
да |
да |
3 СРЕДСТВА ПОВЕРКИ
-
3.1 Рекомендуемые средства поверки, в том числе рабочие эталоны и средства измерений, приведены в таблице 2.
Вместо указанных в таблице 2 средств поверки допускается применять другие аналогичные средства поверки, обеспечивающие определение метрологических характеристик с требуемой погрешностью.
-
3.2 Все средства поверки должны быть исправны, применяемые при поверке средства измерений и рабочие эталоны должны быть поверены и иметь свидетельства о поверке с неистекшим сроком действия на время проведения поверки или оттиск поверительного клейма на изделии или в документации.
Таблица 2
|
Номер пункта методики |
Наименование рабочих эталонов или вспомогательных средств поверки; номер документа, регламентирующего технические требования к рабочим эталонам или вспомогательным средствам; разряд по государственной поверочной схеме и (или) метрологические и основные технические характеристики средств поверки |
|
8.3-8.5 |
Комплекс навигационный метрологический специального назначения КПА НАП (среднее квадратическое отклонение случайной составляющей погрешности формирования беззапросной дальности до НКА ГЛОНАСС и GPS 0,1 м, среднее квадратическое отклонение случайной составляющей погрешности |
|
Номер пункта методики |
Наименование рабочих эталонов или вспомогательных средств поверки; номер документа, регламентирующего технические требования к рабочим эталонам или вспомогательным средствам; разряд по государственной поверочной схеме и (или) метрологические и основные технические характеристики средств поверки |
|
формирования скорости изменения беззапросной дальности до НКА ГЛОНАСС и GPS 0,001 м/с, пределы допускаемой абсолютной аппаратурной погрешности (по уровню вероятности 0,997) синхронизации внутренней ШВ к шкале координированного времени UTC (SU) ± 50 нс) |
4 ТРЕБОВАНИЯ К КВАЛИФИКАЦИИ ПОВЕРИТЕЛЕЙ
-
4.1 К проведению поверки приемников допускается инженерно-технический персонал со среднетехническим или высшим радиотехническим образованием, имеющим опыт работы с радиотехническими установками, ознакомленный с руководством по эксплуатации (РЭ) и документацией по поверке и имеющие право на поверку.
-
5.1 При проведении поверки должны быть соблюдены все требования безопасности в соответствии с ГОСТ 12.3.019-80 «ССБТ. Испытания и измерения электрические. Общие требования безопасности».
-
6.1 Поверку проводить при следующих условиях:
20 ± 5 (293 ± 5);
65 ± 15;
100 ±4 (750 ±30);
220 ± 4,4;
50 ±0,5;
5.
-
- температура окружающего воздуха, °C (К)
-
- относительная влажность воздуха, %
-
- атмосферное давление, кПа (мм рт. ст.)
-
- параметры питания от сети переменного тока:
-
- напряжение, В
-
- частота, Гц
-
- содержание гармоник, %, не более
-
6.2 При проведении операций поверки на открытом воздухе должны соблюдаться условия, указанные в РЭ на поверяемое изделие и средства поверки.
-
7.1 Поверитель должен изучить РЭ поверяемого изделия и используемых средств поверки.
-
7.2 Перед проведением операций поверки необходимо:
-
- проверить комплектность поверяемого изделия (наличие интерфейсных кабелей, шнуров питания и пр.);
-
- проверить комплектность рекомендованных (или аналогичных им) средств поверки, заземлить (если это необходимо) требуемые рабочие эталоны, средства измерений и включить питание заблаговременно перед очередной операцией поверки (в соответствии со временем установления рабочего режима, указанным в РЭ).
При внешнем осмотре проверить:
-
- отсутствие внешних механических повреждений и неисправностей, влияющих на работоспособность поверяемого приемника;
-
- исправность органов управления.
Результаты внешнего осмотра считать положительными, если отсутствуют внешние механические повреждения и неисправности, влияющие на работоспособность поверяемого приемника, органы управления находятся в исправном состоянии.
8.2 ОпробованиеОпробование (проверку функционирования) изделия провести следующим образом.
-
8.2.1 Расположить антенный блок изделия в месте с минимальным затенением радиовидимости верхней полусферы земного пространства.
-
8.2.2 Присоединить изделие к персональной электронно-вычислительной машине (ПЭВМ) через последовательный интерфейс RS-232.
-
8.2.3 Включить изделие путем подачи напряжения постоянного тока (9-36) В от источника питания.
-
8.2.4 На ПЭВМ с использованием интерфейсного программного обеспечения убедиться в наличии приема навигационных сигналов ГНСС и признака решения навигационной задачи.
-
8.2.5 Результаты опробования считать положительными, если выполнены требования, установленные в п.п. 8.2.4.
-
8.3.1 Для определения погрешности измерений координат использовать имитатор сигналов ГНСС из состава КПА НАП. Собрать схему измерений в соответствии со схемой на рисунке 1.

Рисунок 1 Схема измерений
-
8.3.2 Подготовить сценарий имитации с параметрами, приведенными в таблице 3, при
этом контролировать, чтобы значение геометрического фактора ухудшения не превышало 4. Таблица 3
|
Формируемые спутниковые навигационные сигналы |
ГЛОНАСС в частотных диапазонах L1 и L2 (коды СТ, ВТ) и GPS (код С/А без SA) в частотном диапазоне L1 |
|
Формирование сигналов МДПС |
да |
|
Продолжительность |
150 мин. (120 мин. стоянка, 30 мин. движение) |
|
Количество каналов: ГЛОНАСС (L1+L2) GPS |
8 8 |
|
Параметры среды распространения навигационных сигналов: тропосфера ионосфера |
присутствуют |
|
Координаты в системе координат WGS-84 (стоянка):
|
60°00'000000 N 030°00'000000 Е 100,00 18,00 |
|
Продолжительность стоянки |
120 мин |
|
Скорость движения (прямолинейное, равномерное, на север) |
12,86 м/с |
|
Продолжительность движения |
30 мин. |
|
Расхождение между шкалами времени ГЛОНАСС, GPS, UTC, UTC(SU) |
отсутствует |
-
8.3.3 Подготовить имитатор сигналов к работе в соответствии с требованиями технической документации. Запустить сценарий имитации.
-
8.3.4 Настроить изделие на работу по сигналам ГНСС ГЛОНАСС. Осуществить запись результатов измерений широты (В), долготы (L), высоты (Н) и составляющих вектора скорости (VB, VL, VH) в течение выполнения сценария имитации.
-
8.3.5 Определить систематическую составляющую погрешности определения координат в плане (широты и долготы) и высоты по формулам (1), (2), например, для координаты В (широты):
= (1)
(2)
;v J=1
где ВШ1 - значение координаты В, формируемое имитатором, угл. сек;
B(j) - значение координаты В в j-ый момент времени, угл. сек;
N - количество измерений.
Аналогичным образом определить систематическую составляющую погрешности определения координаты L (долготы) и высоты.
-
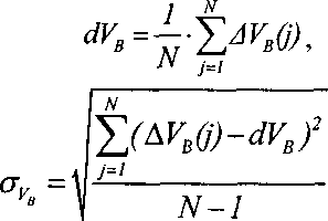
8.3.6 Определить среднее квадратическое отклонение (СКО) случайной составляющей погрешности определения координат по формуле (3), например, для координаты В (широты):
Аналогичным образом определить СКО случайной составляющей погрешности определения координаты L (долготы) и высоты Н.
-
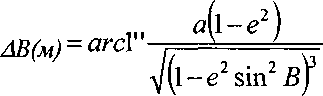
8.3.7 Перевести значения погрешностей определения координат в плане (широты и долготы) из угловых секунд в метры по формулам (4), (5):
- для широты:
• ЛВ(угл .с),
(4)
- для долготы:
1tl a(l-e2)cosB
ДЦм)= arc\ . v -ДЦугл. с), (5)
7(1 -е2 sin2
где а - большая полуось эллипсоида, м;
е - первый эксцентриситет эллипсоида;
1" = 0,000004848136811095359933 радиан (arc 1").
Для приближенных расчетов можно применять следующие формулы:
ДВ(м)=30,92-ЛВ(угл. с); ЛЬ(м)-30,92-ДЦугл. c)-cosB.
-
8.3.7 Определить погрешность (по уровню вероятности 0,95) определения координат в плане и высоты по формулам (6) и (7):
17п — -\1 dB + dL + ств + сг^ , (6)
л„=±(|<да|+2о-„). (7)
-
8.3.8 Запустить сценарий имитации.
-
8.3.9 Настроить аппаратуру на работу по сигналам ГНСС GPS. Осуществить запись результатов измерений широты (В), долготы (L), высоты (Н) и составляющих вектора скорости (Vb, Vl, Vh,) в течение выполнения сценария имитации.
-
8.3.10 Выполнить действия по п.п. 8.3.5-8.3.7.
-
8.3.11 Запустить сценарий имитации.
-
8.3.12 Настроить аппаратуру на работу по сигналам ГНСС ГЛОНАСС и GPS. Осуществить запись результатов измерений широты (В), долготы (L), высоты (Н) и составляющих вектора скорости (Vb, Vl, Vh,) в течение выполнения сценария имитации.
-
8.3.13 Выполнить действия по п.п. 8.3.5-8.3.7.
-
8.3.14 Результаты поверки считать положительными, если значения погрешности измерения координат в плане не превышает:
-
- при работе по сигналам ГНСС ГЛОНАСС -15 м;
-
- при работе по сигналам ГНСС GPS -11м
-
- при работе по сигналам ГНСС ГЛОНАСС и GPS -10 м; измерений высоты находятся в границах:
-
- при работе по сигналам ГНСС ГЛОНАСС - ± 25 м;
-
- при работе по сигналам ГНСС GPS - ± 16 м
-
- при работе по сигналам ГНСС ГЛОНАСС и GPS - ± 15 м.
-
8.4 Определение абсолютной погрешности измерения скорости
-
8.4.1 Для определения погрешности измерения составляющих вектора скорости использовать результаты измерений Vb, Vl, Vh, полученные при выполнении действий по п. 8.3.
-
8.4.2 Определить систематическую составляющую погрешности и среднее квадратическое отклонение случайной составляющей погрешности определения каждой составляющей вектора скорости по формулам (8) - (10), например для Vb:
-
4VB(j) = VB(j)-VBuM, (8)

(9)
(Ю)где Vbum ~ значение составляющей вектора скорости, формируемое имитатором, м/с;
VB(j) ~ измеренное значение составляющей вектора скорости в j-ый момент времени, м/с;
N- количество измерений.
-
8.4.3 Определить погрешность (по уровню вероятности 0,95) измерений скорости в плане по формуле (11):
^„=±(^/ + ^+2Х+<). (11)
-
8.4.4 Определить погрешность (по уровню вероятности 0,95) измерений скорости по высоте по формуле (12):
Яг,=±(К| + 2о-г,)- (12)
-
8.4.5 Результаты поверки считать положительными, если значения погрешности (по уровню вероятности 0,95) измерения скорости находятся в границах ± 0,05 м/с в плане и ± 0,08 м/с по высоте.
8.5.1 Определение абсолютной погрешности синхронизации формируемой ШВ со ШВ UTC (SU) и ШВ UTC(USNO) (при доверительной вероятности 0,95) при работе по сигналам КНС ГЛОНАСС и GPS проводить с использованием частотомера универсального CNT-90 и приемника-компаратора VCH-320 из состава КПА НАП по схеме, приведенной на рисунке 2. Разместить блок антенный (БА) на открытой площадке для обеспечения радионавигационных сигналов из верхней полусферы.
Рисунок 2
-
8.5.2 Включить изделие, настроить на работу в режиме «Навигация на стоянке» по сигналам ГНСС ГЛОНАСС.
-
8.5.3 Включить и подготовить к работе частотомер универсальный CNT-90 в соответствии с руководством по эксплуатации. Подключить на вход «CHANNEL 1» частотомера универсального CNT-90 импульсный сигнал с выхода «1 Гц» VCH-320, на вход «CHANNEL 2» частотомера универсального CN-90 подать сигнал с выходного разъема «1 Гц» изделия. Частотомер перевести в режим измерения временных интервалов.
-
8.5.4 При проведении измерений необходимо учитывать задержки сигналов времени в соединительных кабелях от VCH-320 к частотомеру универсальному CNT-90, от приемника к частотомеру универсальному CNT-90.
-
8.5.5 Провести измерения расхождения между импульсными сигналами 1 Гц опорного стандарта частоты и VCH-320 и изделия AT=[Tutc(su) - Tjpps] в течение не менее 2 часов.
-
8.5.6 Рассчитать значение абсолютной погрешности синхронизации формируемой ШВ приемника с ШВ UTC(SU) по формуле (13):
ДТ’ = (T(jtc(su) ~ T]pps ’
(13)
где Дт - уточненная поправка к ШВ системы ГЛОНАСС относительно ШВ UTC(SU), при синхронизации ШВ приемника с ШВ UTC(SU); разность ШВ UTC(SU) и UTC(USNO) при синхронизации ШВ приемника с ШВ UTC(USNO); разность ШВ UTC(SU) и ШВ ГЛОНАСС при синхронизации ШВ приемника с ШВ ГЛОНАСС; разность ШВ UTC(SU) и ШВ GPS при синхронизации ШВ приемника с ШВ GPS, в соответствии с бюллетенем Е, публикуемым ГМЦ ГСВЧ (ftp://ftD.vniiftri.ru/Atomic Time/SU/BULLETINS/E).
-
8.5.7 Определить систематическую погрешность:
ДГ=—УДГ, (14)
где N - количество измерений
-
8.5.8 Определить СКО результата измерений расхождения ШВ:

(15)
8.5.9 Погрешность (по уровню вероятности 0,95) привязки формируемой шкалы времени
|
определить по формуле: |
Паг=±(|д7’| + 2-адг). (16) |
8.5.10 Настроить изделие на работу по сигналам ГЛОНАСС/GPS. Выполнить действия по п. 8.5.3-8.5.9.
-
8.5.11 Настроить изделие на работу по сигналам ГНСС GPS. Выполнить действия по п.
8.5.3-8.5.9.
-
8.5.12 Настроить изделие на работу в режиме «Навигация в движении» по ГНСС ГЛОНАСС. Выполнить действия по п. 8.5.3-8.5.9.
сигналам сигналам сигналам сигналам сигналам сигналам
-
8.5.13 Настроить изделие на работу в режиме «Навигация в движении» по ГНСС GPS. Выполнить действия по п. 8.5.3-8.5.9.
-
8.5.14 Настроить изделие на работу в режиме «Навигация в движении» по ГНСС ГЛОНАСС/GPS. Выполнить действия по п. 8.5.3-8.5.9.
-
8.5.15 Настроить изделие на работу в режиме «Время ГНСС ГЛОНАСС. Выполнить действия по п. 8.5.3-8.5.9.
на твердой точке» по
на твердой точке» по
на твердой точке» по
-
8.5.16 Настроить изделие на работу в режиме «Время ГНСС GPS. Выполнить действия по п. 8.5.3-8.5.9.
-
8.5.17 Настроить изделие на работу в режиме «Время ГНСС ГЛОНАСС/GPS. Выполнить действия по п. 8.5.3-8.5.9.
-
8.5.18 Результаты испытаний считать положительными, если значения абсолютной погрешности (по уровню вероятности 0,95) синхронизации формируемой ШВ со ШВ UTC (SU) и ШВ UTC(USNO) находятся в границах:
-
- в режиме «Навигация на стоянке» ± 75 нс при работе по сигналам ГНСС ГЛОНАСС, ± 65 нс при работе по сигналам ГНСС GPS, ± 55 нс при работе по сигналам ГНСС ГЛОНАСС/GPS;
-
- в режиме «Навигация в движении» ± 160 нс при работе по сигналам ГНСС ГЛОНАСС, ± 140 нс при работе по сигналам ГНСС GPS, ± 140 нс при работе по сигналам ГНСС ГЛОНАСС/GPS;
-
- в режиме «Время на твердой точке» ± 60 нс при работе по сигналам ГНСС ГЛОНАСС, ± 50 нс при работе по сигналам ГНСС GPS, ± 50 нс при работе по сигналам ГНСС
ГЛОНАСС/GPS.
-
9.1 При положительных результатах поверки оформить «Свидетельство о поверке» в соответствии с приложением 1 к «Порядку проведения поверки средств измерений, требований к знаку поверки и содержанию свидетельства о поверке», утвержденному приказом Министерства промышленности и торговли РФ от 2 июля 2015 г. № 1815. На «Свидетельство о поверке» нанести знак поверки.
-
9.2 При отрицательных результатах поверки оформляется Извещение о непригодности к применению с указанием причин согласно приложению 2 к «Порядку проведения поверки средств измерений, требований к знаку поверки и содержанию свидетельства о поверке», утвержденному приказом Министерства промышленности и торговли РФ от 2 июля 2015 г. № 1815.
Начальник отдела № 84 ФГУП «ВНИИФТРИ»

А.М. Каверин
9
