Руководство по эксплуатации «Датчики избыточного давления STEK-CAN» (РЭ 406222.015 )
ООО «НПФ «СТЭК»
УТВЕРЖДАЮ:
В части раздела «Поверка» Заместитель директора Пензенский ЦСМ»
УТВЕРЖДАЮ:
А.А. Данилов
г.
Директор ООО44ПФ «СТЭК»

Пенза. 2016 г.
406222.015 РЭ
стр.2
СОДЕРЖАНИЕ
|
1 |
Описание и работа |
3 |
|
1.1 |
Назначение |
3 |
|
1.2 |
Технические характеристики |
5 |
|
1.3 |
Комплектность |
7 |
|
1.4 |
Устройство и принцип работы |
7 |
|
1.5 |
Маркировка |
8 |
|
2 |
Использование изделия по назначению |
8 |
|
2.1 |
Требования безопасности |
8 |
|
2.2 |
Требования к измеряемой среде |
8 |
|
2.3 |
Подготовка к работе и монтаж |
8 |
|
2.4 |
Использование датчика |
12 |
|
3 |
Техническое обслуживание |
13 |
|
4 |
Поверка |
13 |
|
5 |
Транспортирование и хранение |
20 |
|
6 |
Гарантия |
20 |
Приложение А Типовые и присоединительные размеры
Приложение БФорма и пример заполнения протокола поверки
Приложение ВИспользование для настройки и поверки датчика программноаппаратных средств фирмы IXXAT
Приложение Г Использование для настройки и поверки датчика программноаппаратных средств фирмы ICPDAS
406222.015 РЭ стр.3
Настоящее руководство по эксплуатации (далее - РЭ) содержит сведения о назначении, области применения, конструкции и принципе действия датчиков избыточного давления, типа STEK-CAN, их основные технические и эксплуатационные характеристики, а также сведения, необходимые для правильной эксплуатации.
Техническое совершенствование датчиков может приводить к непринципиальным расхождениям между текстом настоящего РЭ, конструкцией и схемой датчиков.
1ОПИСАНИЕ И РАБОТА
1.1Назначение
Датчик избыточного давления STEK-CAN интерфейсом CAN (далее - датчик) предназначен для непрерывного преобразования давления жидких и газообразных сред (авиационное топливо ТС-1, РТ, Т2 по ГОСТ 10227-86, масла ИПМ-10, ВНИИНП 50-1-4У, МК8, МС-8П, МС-8РК, дизельное топливо, тормозная жидкость, керосин, бензин, природный газ, воздух, газообразные продукты сгорания углеводородных топлив, масел и др.), совместимых с нержавеющей сталью, в цифровой выходной сигнал и применяется в системах автоматического контроля, регулирования и управления технологическими процессами.
Использование датчиков с пределами измерений до 6 кПа допускается только в нейтральных (неагрессивных) газовых средах. Датчики с пределами измерений от 6 кПа до 6 МПа допускается использовать как в нейтральных, так и в агрессивных средах, по отношению к которым материал защитной оболочки является коррозионностойким.
В соответствии с ГОСТ 22520-85 датчик является:
-
- по числу преобразуемых входных и выходных сигналов - одноканальными;
-
- по зависимости выходного сигнала от входного - с линейной зависимостью;
-
- по возможности перестройки диапазона измерения - однопредельным, неперенастраиваемым.
В соответствии с ГОСТ Р 52931-2008 датчики:
-
- по наличию информационной связи предназначены для информационной связи с другими изделиями;
-
- по виду энергии носителя сигналов в канале связи являются электрическими;
-
- в зависимости от эксплуатационной законченности относятся к изделиям третьего порядка;
-
- по метрологическим свойствам являются средствами измерений.
Измерение избыточного давления осуществляется в Паскалях (Па), в миллиметрах водяного столба (мм вод.ст.), в килопаскалях (кПа), в мегапаскалях (МПа), в килограмм-силе на квадратный сантиметр (кгс/см2) или, в других единицах давления по требованиям Заказчика.
Датчик по степени защиты от воздействия окружающей среды является пыле-, водозащищенным, соответствует коду IP54 по ГОСТ 14254.
Датчик СТЭК-CAN предназначен для работы в диапазоне температур от минус 50 до плюс 60 оС.
Датчик имеет свидетельство об утверждении типа средств измерений RU.C.ХХ.ХХХ.Х №ХХХХХ от ХХ.ХХ.2016г.Зарегистрирован в Государственном реестре средств измерений под № ХХХХХ-16.
Датчик является устройством, несодержащим источников кратковременных индустриальных радиопомех, и не подлежит испытаниям на соответствие требованиям ГОСТ Р51318.22.
Датчик поставляется классов точности 0,15; 0,25; 0,5; 1 на различные диапазоны измерений давления.
Обозначение датчика при заказе должно соответствовать вариантам исполнения согласно Таблице 1.
406222.015 РЭ
Таблица 1
|
Наименова ние |
Датчик избыточного Давления |
|
STEK-CAN |
Поз.1
|
КоД |
Диапазон и еДиницы измерений |
|
0,16 |
Цифровое значение верхнего предела измерения исходя из |
|
ряда:0,16; 0,25; 0,4; 0,6; 1,0; 1,6; 2,5; 4; 6; 10; 16; 25; 40; 60; | |
|
1000 |
100; 160; 250; 400; 600; 1000 |
Поз.2
|
Код |
Единица измерения |
|
Ра |
Паскали |
|
mm |
Миллиметры водяного столба (мм вод.ст.) |
|
kPa |
Килопаскали |
|
MPa |
Мегапаскали |
|
kgf |
Килограмм-силы на квадратный сантиметр (кгс/см2) |
|
bar |
Бары |
|
psi |
Фунт-силы на квадратный дюйм |
Поз.3
|
КоД |
Класс точности, погрешность в процентах |
|
0,15 |
0,15 % |
|
0,25 |
0,25 % |
|
0,5 (*} |
0,5 % |
|
1,0 |
1 % |
Поз.4
|
КоД |
Присоединительные размеры |
|
М20х1,5(*) |
Штуцер М20х 1,5 |
|
М24х1,5 |
Штуцер М24х 1,5 |
|
М36х1,5 |
Штуцер М36 х 1,5 |
|
М12х1 |
Штуцер М12х1 |
|
М12х1,25 |
Штуцер М12х1,25 |
|
М12х1,5 |
Штуцер М12х1,5 |
|
G ^"-A |
Штуцер G ^"-A |
|
G %"-A |
Штуцер G %"-A |
|
М10х1,5 |
Штуцер М10х1,5 |
Поз.5
STEK-CAN - 10 - kgf- 0,15 - М20х1,5 (Пример обозначения)
Примечания:
1. Допускается отсутствие кодов обозначения после третьей позиции, в этом случае код каждой отсутствующей позиции принимается соответствующим коду, помеченному в таблице 1 знаком - (*), например, STEK- CAN -1,0-МРа-0,5- М20х1,5 соответствует обозначению
STEK-CAN-1,0-MPa.
2. Допускается использование в кодах Поз.5 других обозначений присоединительных размеров, согласованных с изготовителем.
406222.015 РЭ
1.2 Технические характеристики
-
1.2.1 Номинальная статистическая характеристика датчика должна иметь вид:
Y- Y
Y = —---H x P + YH, (1)PH
B
где Р- значение измеряемого избыточного давления;
Y- значение выходного сигнала датчика, соответствующее значению измеряемого избыточного давления Р;
Yh,Yb- соответственно нижнее и верхнее предельные значения выходного сигнала датчика;
РВ - верхний предел измерений избыточного давления.
Примечание - Нижний предел измерений датчика соответствует нулевому значению избыточного давления.
-
1.2.2 Верхний предел измерений избыточного давления выбирается из ряда:
-
• 100; 160; 250; 400; 600; 1000 мм вод.ст.
-
• 1; 1,6; 2,5; 4; 6; 10; 16; 25; 40; 60; 100 кПа;
-
• 0,16;0,25; 0,4; 0,6; 1; 1,6; 2,5; 4; 6 М2Па;
-
• 1; 2,5; 4; 6; 10; 16; 25; 40; 60 кгс/см2.
-
1.2.3 Пределы допускаемой основной приведенной погрешности, пределы допускаемой приведенной погрешности нелинейности и вариация выходного сигнала датчиков для различных классов точности представлены в таблице 2.
Таблица 2
|
Класс точ ности |
Пределы допускаемой основной приведенной погрешности,% |
Пределы допускаемой приведенной погрешности нелинейности,% |
Вариация выходного сигнала % |
|
0,15 |
± 0,15 |
± 0,1 |
± 0,1 |
|
0,25 |
± 0,25 |
± 0,15 |
± 0,1 |
|
0,5 |
± 0,5 |
± 0,25 |
± 0,2 |
|
1 |
± 1 |
± 0,3 |
± 0,3 |
Примечания:
-
1 Нормирующим значением для метрологических характеристик, представленных в таблице 2является диапазон изменения выходного сигнала датчика (численно это = Yb- Yн ).
-
2 Датчики малых давлений, с пределами измерений менее 6 кПа, классов точности 0,15 и 0,25 не изготавливаются.
-
3 Погрешность нелинейности датчика нормируется в диапазоне от Р1 до верхнего предела измерений РВ избыточного давления, при этом значение Р1 определяется в зависимости от РВ по таблице 3.
Таблица 3
|
Рв |
0,16; 1,6; 16; 160 |
0,25; 2,5; 25; 250 |
0,4; 4; 40; 400 |
0,6; 6; 60; 600 |
1; 10; 100; 1000 |
|
Р1 |
Рв /4 |
Рв /5 |
Рв /4 |
Рв /4 |
Рв /5 |
-
1.2.4 Пределы допускаемой дополнительной приведенной погрешности, вызванной отклонением температуры окружающего воздуха от нормальной на каждые 10 °С, в рабочем диапазоне температур составляют, %:
а) свыше 25 до 60 оС:
-
- для датчиков класса точности 0,15 ± 0,08;
-
- для датчиков класса точности 0,25; 0,5 ± 0,2;
-
- для датчиков класса точности 1 ± 0,4;
406222.015 РЭ
б) от минус 20 включительно до 21 оС:
-
- для датчиков класса точности 0,15 ± 0,15;
-
- для датчиков класса точности 0,25 ± 0,2;
-
- для датчиков класса точности 0,5 ± 0,4;
-
- для датчиков класса точности 1 ± 1;
в) от минус 50 до минус 20 оС:
-
- для датчиков класса точности 0,15; 0,25 ± 0,2;
-
- для датчиков класса точности 0,5 ± 0,2;
-
- для датчиков класса точности 1 ± 1.
Примечание - Для датчиков малых давлений, с пределами измерений менее 6 кПа, дополнительная температурная погрешность в диапазоне температур ниже минус 20 оС не нормируется.
-
1.2.5 Диапазон изменения выходного цифрового сигнала по интерфейсу CAN составляет от 0 до 10000 безразмерных единиц в десятичной форме (0000-2710 в шестнадцатиричной форме).
Примечания:
-
1. Выходной цифровой сигнал может иметь значения более 10000 безразмерных единиц, если входное давление превышает верхний предел измерений.
-
2. Выходной цифровой сигнал может иметь отрицательные значения. Признаком отрицательного значения выходного сигнала является наличие единицы в старшем бите полученных по интерфейсу CAN данных, т.е. значения более 32767 (при переводе в десятичную систему) являются отрицательными. Чтобы определить отрицательное значение необходимо вычесть из значения, полученного по интерфейсу CAN число 65536.
-
1.2.6 Питание датчиков осуществляется от источника электрического постоянного тока напряжением от 9 до 42 В.
-
1.2.7 Потребляемый ток, без учета потребления CAN-интерфейса, не более 25 мА при питании датчика от 9 В и не более 10 мА при питании датчика от 42 В.
-
1.2.8 Время готовности датчика к работе с момента включения питания не более 120 с.
-
1.2.9 Время установления выходного сигнала при скачкообразном изменении измеряемой величины, составляющем 90 % диапазона измерений, не более 5 с.
-
1.2.10 Электрическое сопротивление изоляции между цепями и корпусом датчика не менее:
-
- 20 МОм при температуре окружающего воздуха (23 ± 2) °С и относительной влажности до 80 % (в нормальных условиях применения);
-
- 5 МОм при верхнем значении температуры окружающего воздуха в рабочих условиях применения и относительной влажности не более 80 %;
-
- 1 МОм при относительной влажности окружающего воздуха (95 ± 3) %, и температуре (35 ± 2) °С.
-
1.2.11 Электрическая прочность изоляции цепей питания датчика выдерживает в течение 1 мин действие испытательного напряжения частотой от 45 до 65 Гц практически синусоидальной формы с действующим значением:
-
- 500 В в нормальных условиях применения;
-
- 300 В при относительной влажности окружающего воздуха (95 ± 3) %, и температуре (35 ± 2) °С.
-
1.2.12 Датчик сохраняет прочность и герметичность при избыточном давлении, составляющем 150 % от верхнего предела измерений.
-
1.2.13 Датчик выдерживает воздействие перегрузки испытательным давлением, составляющем 150 % от верхнего предела измерений, в течение 15 минут.
-
1.2.14 Датчик сохраняет метрологические характеристики, представленные в графах 2, 3 и 4 таблицы 2, после воздействия переменного давления, изменяющегося от (20-30) до (70-80) % верхнего предела измерений, с числом циклов - 20 000.
1.2.15Датчик по устойчивости к механическим воздействиям соответствует исполнению N4 по ГОСТ Р 52931-2008.
406222.015 РЭ стр.7
-
1.2.16 Датчик СТЭК-СЛ^стойчив к воздействию температуры окружающей среды в диапазоне от минус 50 до 60 оС.
-
1.2.17 Датчик СТЭК-CAN устойчив к воздействию относительной влажности 95 % при температуре 35 оС.
-
1.2.18 Электрическое подключение датчика осуществляется посредством разъемов или клемм с характеристиками по требованию Заказчика.
-
1.2.19 Датчик обеспечивают непрерывную работу в рабочих условиях.
-
1.2.20 Масса, г, не более 250.
-
1.2.21 Габаритные размеры, мм, не более 150x50x35
-
1.2.22 Степень защиты оболочки датчика соответствует коду IP54 по ГОСТ 14254.
-
1.2.23 Требования к надежности:
средняя наработка на отказ датчика не менее 200000 ч;
назначенный срок службы датчика 15 лет.
Примечания:
-
1 Критерием отказа является выход основной приведенной погрешности датчика за регламентированные пределы.
-
2 Датчик - изделие одноканальное, однофункциональное, невосстанавливаемое и не-ремонтируемое в условиях эксплуатации.
1.3 Комплектность
-
1.3.1 В комплект поставки датчика должны входить изделие и документация согласно таблице 4.
Таблица 4
|
Наименование |
Кол |
Примечание |
|
Датчик избыточного давления |
1 |
В соответствии с вариантом исполнения. |
|
Уплотнительная шайба |
1 | |
|
Розетка кабельная |
0 или 1 |
DIN 43650 Лили по согласованию с Потребителем |
|
Руководство по эксплуата- ции406222.015 РЭ |
1 |
При поставке датчиков в один адрес высылается один экземпляр руководства на каждые 10 шт. изделий, если иное не оговорено в заказе. |
|
Формуляр406222.015 ФО |
1 |
1.4 Устройство и принцип работы
-
1.4.1 Принцип действия датчика основан на преобразовании избыточного давления контролируемой среды, воздействующей на мембрану чувствительного элемента, в цифровой сигнал, пропорциональный механической деформации мембраны от приложенного измеряемого давления.
-
1.4.2 Датчик представляет собой моноблочную конструкцию, включающую в себя чувствительный элемент, преобразователь сигнала и интерфейс CAN, которые расположены в стальном герметичном корпусе. Для подсоединения к магистрали давления на одном торце корпуса расположен резьбовой штуцер с гайкой«под ключS27». На другом торце корпуса расположен электрический разъем.
-
1.4.3 Чувствительным элементом датчика является мембрана на основе термокомпен-сированноготензомоста.При воздействии измеряемого давления на мембрану изменяется сопротивление тензомоста, что приводит к появлению выходного электрического сигнала. Обра-
406222.015 РЭ стр.8
ботка сигнала осуществляется с помощью интегральной микросхемы специального назначения ASIC и схемы преобразования в цифровой сигнал интерфейса CAN. ASIC представляет собой специальную программируемую прецизионную КМОП интегральную микросхему с хранением данных в СППЗУ, аналоговым и цифровым выходным сигналом.
-
1.4.4 Градуирование датчика выполняется на предприятии-изготовителе с занесением параметров в СППЗУ интегральной микросхемы.
1.4.5В датчике отсутствуют элементы регулировки, поскольку компоненты, используемые в датчике, обладают долговременной стабильностью, позволяющей ему в описанных в настоящем документе условиях эксплуатации сохранять метрологические характеристики в течение всего срока службыбез изменения градуировки.
1.5 Маркировка
-
1.5.1 На заводском шильдике датчика, укрепленном на корпусе, указаны:
- товарный знак предприятия-изготовителя ;
- обозначение датчика;
- заводской номер по системе нумерации предприятия-изготовителя .
-
1.5.2 Маркировка датчика выполнена ясно, четко, разборчиво и устойчива в течение всего срока службы.
-
1.5.3 Обозначение датчика соответствует таблице 1.
-
2 ИСПОЛЬЗОВАНИЕ ИЗДЕЛИЯ ПО НАЗНАЧЕНИЮ
2.1 Требования безопасности
-
2.1.1 Замену, монтаж и демонтаж датчика осуществлять при отсутствии давления в магистралях или через быстродействующие муфты (miniMeb ).
-
2.1.2 Все работы по замене, монтажу и демонтажу датчика осуществлять только при отключенном электрическом питании.
-
2.1.3 Не допускается эксплуатация датчика в системах, рабочее давление которых превышает верхние пределы измерений, а также в средах, агрессивных по отношению к материалам, контактирующих с измеряемой средой.
-
2.1.4 Использование датчиков с пределами измерений до 6 кПа допускается только в нейтральных (неагрессивных) газовых средах. Датчики с пределами измерений от 6 кПа до 6 МПа допускается использовать как в нейтральных, так и в агрессивных средах, по отношению к которым материал защитной оболочки является коррозионностойким.
2.2 Требования к измеряемой среде
-
2.2.1 Датчики с пределами измерений до 6 кПа допускается применять только в газовых средах, которые не содержат щелочных компонентов.
Примечание. Газовые смеси, содержащие щелочь, например, пары дизельного топлива или трансформаторного масла,приводят к «разбуханию» силиконового геля-герметика, защищающего тензоэлементнизкопредельного(до 6 кПа)датчика. В связи с этим метрологические характеристики низкопредельных датчиков могут выйти за пределы допускаемых значений значительно раньше гарантированных сроков службы.
-
2.2.2 Датчики с пределами измерений от 6 кПа до 6 МПа допускается использовать как в газовых, так и в жидких - как в нейтральных, так и в агрессивных средах, по отношению к которым материал защитной оболочки тензоэлементаявляется коррозионностойким.Для датчиков с классом точности 0,15 и 0,25 - это нержавеющая сталь 316L, для датчиков с классом точности 0,5 и 1,0 - это керамика Al2O3.
2.3 Подготовка к работе и монтаж
-
2.3.1 Внешний осмотр.
406222.015 РЭ стр.9
При внешнем осмотре датчика следует обратить внимание на отсутствие механических повреждений и следов коррозии, а также «засора» входного отверстия датчиков.
-
2.3.2 Указания по установке и монтажу.
-
- установка датчика на изделия - присоединительным штуцером вниз;
-
- пространственное расположение датчика должно обеспечивать положительный угол наклона датчика к плоскости установки;
-
- предотвратить попадание климатических осадков или конденсируемой влаги на электроконтакты датчиков.
При установке и эксплуатации датчика избыточного давления следует принять меры к устранению возможности «закупоривания» дренажного отверстия (воздухозаборногосквозного отверстия между выводом 1 и 3 вилки блочнойэлектросоединителя).
Примечание. «Закупоривание» дренажного отверстия из-за тепла, выделяемого электронными компонентами датчика,может привести к изменению давления, воздействующего на обратную сторону мембраны чувствительного элемента. В связи с этим метрологические характеристики датчиков могут выйти за пределы допускаемых значений.
Весь электрический монтаж должен отвечать местным правилам и проводиться подготовленным персоналом.
При использовании в сложных условиях применять экранированный кабель. В случае удлинения кабеля датчика, необходимо соединить экран кабеля с корпусом, сохранив герметичность кабельного ввода.
После монтажа проверяют герметичность соединения датчика с магистралью при максимальном рабочем давлении, а также работоспособность датчика следующим образом:
-
- при подаче напряжения питания и отсутствии давления выходной сигнал датчика должен соответствовать нижнему значению диапазона его измерения;
-
- при подаче давления от нуля до верхнего предела измерений должно наблюдаться изменение выходного сигнала от нижнего до верхнего значения его диапазона.
-
- значение избыточного давления рабочей среды, применяемого для проверки герметичности, а также при проведении других технологических работ, не должен превышать верхний предел измерений датчика, указанного в 1.2.2 настоящего РЭ более, чем на 50%.
Не допускаются механическиенадавливания на мембрану чувствительного элемента твердыми приспособлениями(с целью проверки работоспособности датчика по изменению выходного сигнала). Следы, оставшиеся на мембране чувствительного элемента, автоматически прекращают гарантийные обязательства Изготовителя.
-
2.3.3 Подключение датчика.
Схема подключения датчика должна соответствовать рисунку 1.
Схема подключения датчиков может быть изменена, в том числе и в соответствии с требованиями Заказчика. Конкретная схема подключения для конкретного типа датчика указывается в формуляре.
ИП - источник питания постоянного тока с напряжением от 9 до 42В
СУ/ИМ-CAN - система управления с интерфейсом CAN или интерфейсный модуль CAN для подключения к ПК
Рисунок 1
-
2.3.4 Указания по настройке интерфейса CAN датчика.
В приложениях В и Г содержатся описания по использованию программно-аппаратных средств модулей USB-to-CAN фирм «IXXAT»u«ICPDAS»cooTBeTCTeeHHO.
При производстве, если в договоре на поставку отдельно не оговорено с Заказчиком, в датчик запрограммированы следующие параметры интерфейса CAN:
-
- скорость обмена по интерфейсу CAN - 25 кбит/с;
-
- идентификатор датчика - 0.
2.3.4.1При необходимости изменения идентификатора, скорости обмена или верхнего предела измерения следует выполнить следующие действия:
-
- выключить питание датчика и через 5-10 с включить питание датчика;
-
- в течение одной секунды отправить по интерфейсу CAN сообщение следующего вида:
Идентификатор
RTR
DLC
DAT7
DAT6
DAT5
DAT4
DAT3
DAT2
DAT1
DAT0
7FFh
0
8
0
0
0
0
7Fh
2Dh
14h
8Ch
ВНИМАНИЕ! При выполнении следующего абзаца должны быть рассчитаны и заполнены все байты DAT7-DAT0. Байты DAT7-DAT4 заполняются поп.2.3.4.2. Байты DAT3-DAT1 заполняются поп.2.3.4.3. Байт DAT0 заполняется поп.2.3.4.4.
- невыключая питание записать настроечные данные, отправив по интерфейсу CAN сообщение следующего вида:
|
Идентификатор |
RTR |
DLC |
DAT7 |
DAT6 |
DAT5 |
DAT4 |
DAT3 |
DAT2 |
DAT1 |
DAT0 |
|
0 |
0 |
8 |
ИДЕНТИФИКАТ |
ОР |
СКОРОСТЬ |
ВПИ | ||||
Примечание - Если изменение параметров (скорости обмена и идентификатора) по п. 2.3.4. не проводилось, то датчик будет иметь следующие параметры интерфейса CAN:
-
- скорость обмена по интерфейсу CAN - 25 кБод;
-
- идентификатор датчика - 0.
-
2.3.4.2 Заполнение настроечных байтов DAT7-DAT4
Настроечные байты DAT7-DAT4 содержат будущий идентификатор датчика
Идентификатор - число от 0h до 7FEh для 11-ти битных идентификаторов иличисло от 80000000h до 9FFFFFFFh для 29-ти битных идентификаторов.
Примечание - Для 29-ти битных идентификаторов старший бит должен быть всегда установлен в 1.
Примерзаписиидентификатора 777:
|
Идентификатор |
RTR |
DLC |
DAT7 |
DAT6 |
DAT5 |
DAT4 |
DAT3 |
DAT2 |
DAT1 |
DAT0 |
|
0 |
0 |
8 |
0 |
0 |
07 |
77 |
х |
х |
х |
х |
-
2.3.4.3 Заполнение настроечных байтов DAT3-DAT1
Настроечные байты DAT3-DAT1 содержат данные о будущей скорости обмена датчика.
В приложении Д приведены значения настроечных байт DAT3-DAT1 для часто используемых скоростей.
Настроечные байты DAT3uDAT2 содержат значение скорости обмена в кбит/с.
Пример записи скорости обмена 125 кбит/с:
|
Идентификатор |
RTR |
DLC |
DAT7 |
DAT6 |
DAT5 |
DAT4 |
DAT3 |
DAT2 |
DAT1 |
DAT0 |
|
0 |
0 |
8 |
х |
х |
х |
х |
00 |
7D |
х |
х |
При переводе из шестнадцатеричной системы в десятичную получаем 007Dh = 125.
Если ни одна из наиболее часто используемых скоростей не подходит, то необходимо рассчитать значение настроечных байт DAT3-DAT1следующим образом:
- предположим, что нам необходима скорость 160 кбит/с;
- первым шагом находим постоянную скорости путем деления частоты модуля CANHa
требуемую скорость:
1600000О

(2);
где BRP - предделитель частоты модуля CAN, может принимать значения от 1 до 64; QUANT - время передачи одного бита, может принимать значения от 5 до 25;
16000000 - частота модуля CAN в герцах;
160000 - скорость обмена в бит/с.
- выбираем значение QUANT, так чтобы при делении найденной постоянной времени
получилось целое число, допустим QUANT = 10:

(3);
- для нахождения старшей тетрады настроечного байта DAT1 (75£и1)необходимо задать точку выбора (точку семплирования), которая в большинстве случаев составляет от 60 до 90%;
-выберем точку семплирования в 80%, что бы при дальнейшем расчете получились це-
лые числа:
1
- находим младшую тетраду настроечного байта DAT1(TSEG2) по формуле: 
(4);
(5);
- находим настроечный байт DAT1 путем объединения старшей (TSEG1) и младшей
(TSEG2) тетрад:

(6);
- переводим скорость обмена и значение, полученное по формуле 6, в шестнадцатеричную систему исчисления:
скорость 160 кбит/с будет представлена как 00A0h, т.е. DAT3 = 00h, DAT2 = A0h;DAT1 = 97 = 61h.
-
2.3.4.4 Заполнение настроечного байта DAT0
Настроечный байт DAT0 содержит Верхний предел измерения (ВПИ) датчика.
Данный байт рассчитывается следующим образом:
- по п.1.2.2 выбирается верхний предел диапазона измерений, на который рассчитан датчик и умножается на 10;
- переводим полученное число в шестнадцатеричную систему исчисления. Пример расчета DAT0:
10 (кгс/см2)х10 = 100 = 64h;
1.0 (МПа)х10 = 10 = 0Ah.
2.3.6 Перечень возможных неисправностей и методы их устранения. Возможные неисправности и методы их устранения приведены в таблице 5.
406222.015 РЭ стр.12
Таблица 5
|
Неисправность |
Причина |
Метод устранения |
|
Выходной сигнал отсутствует |
Обрыв в линиях цепи питания или цепи нагрузки |
Найти и устранить обрыв |
|
Короткое замыкание в линиях цепи питания или цепи нагрузки |
Найти и устранить короткое замыкание | |
|
Выходной сигнал не меняется |
Засорилась магистраль подвода давления или приемная камера датчика |
Найти и устранить засор |
|
Выходной сигнал нестабилен или имеет недопустимую погрешность |
Нарушена герметичность магистрали подвода давления |
Найти и устранить негерметичность |
|
Окислены контакты электрического соединения |
Отключить питание и зачистить контакты | |
|
Засорено дренажное отверстие или дренажный зазор датчика с блочной стороны электроразъема |
Очистить дренажное отверстие или дренажный зазор | |
|
На горизонтальной поверхности вокруг штырей внутри блочной вилки или вокруг гнёзд кабельной розеткивозникла паразитная проводимость, обусловленная наличием влаги, загрязнений или известкового налета |
Очистить и осушить поверхности вокруг штырей или гнёзд разъемов |
2.3.7 Датчик является невосстанавливаемым и неремонтируемым в условиях эксплуатации изделием и при выходе из строя подлежит отправке напредприятие-изготовитель для ремонта или замены.
2.4 Использование датчика
-
2.4.1 При подаче питания на датчик, в течение первой секунды интерфейс CAN настроен со следующими параметрами:
-
- скорость обмена по интерфейсу CAN - 25 кбит/с;
-
- идентификатор датчика - 0.
По истечении одной секунды интерфейс датчика настраивается на параметры (скорость обмена и идентификатор) запрограммированные по п.2.3.4.
Данная функция введена для того, что бы при ошибочном задании скорости или идентификатора можно было восстановить способность датчика обмениваться данными по интерфейсу CAN.
Так же данная функция будет полезной, если имеется датчик с неизвестными (или утерянными) параметрами (скорость обмена и идентификатор) интерфейса CAN.
-
2.4.2 Считывание значения измеряемого давления.
Для считывания с датчика значения измеряемого давления необходимо отправить по интерфейсу CAN сообщение следующего вида:
|
Идентификатор |
RTR |
DLC |
|
XXXXh |
1 |
0 |
После того, как датчик получил удаленный запрос он формирует ответное сообщение следующего вида:
|
Идентификатор |
RTR |
DLC |
ERR |
DAT1 |
DAT0 |
|
см. выше |
0 |
3 |
0/1 |
0-255(FFh) |
0-255(FFh) |
где:DLC - количество байт передаваемых данных;
ERR - значение 1 при отсутствии ответа от микросхемы ASIC, иначе 0; DAT1, DAT0 - старший и младший байты измеряемого давления.
406222.015 РЭ стр.13
Для вычисления значения измеряемого давления можно использовать следующую формулу:
Ризм= PBx(256xDAT1+DAT0)/10000, (7)
где Рв- верхний предел измерений избыточного давления.
3 ТЕХНИЧЕСКОЕ ОБСЛУЖИВАНИЕ
-
3.1 Общие указания.
-
3.1.1 При эксплуатации датчику необходимо техническое обслуживание с периодичностью не реже 1 раза в 3 года, включающее в себя следующие операции:
-
-
- очистка от загрязнений, влаги и известкового налета торцевых поверхностей разъемных электросоединителей (особенно вокруг штырей блочных и кабельных частей разъёма);
-
- очистка дренажного отверстия или дренажного зазора с блочной стороны разъёма.
-
3.1.2 Датчик градуируется на предприятии-изготовителе. Корректировка выходных параметров Потребителем производиться не может.
-
3.1.3 При эксплуатации датчика проводят планово-предупредительные осмотры, во время которых проверяют:
-
- надежность подключения и отсутствие повреждения электрических кабелей и разъемов;
-
- герметичность подключения датчиков к магистрали давления;
-
- отсутствие вмятин и видимых механических повреждений корпуса датчика. Осмотр и устранение выявленных недостатков следует проводить при отключенном
электропитании и давлении.
4. ПОВЕРКА.
4.1 Общие сведения
-
4.1.1 Настоящий раздел устанавливает методику выполнения поверки датчика давления STEK-CAN классов точности 0,15; 0,25; 0,5; 1.
-
4.1.2 Интервал между поверками (межповерочный интервал):
-
- для датчика класса точности 0,15 - 2 года;
-
- для датчика класса точности 0,25; 0,5 и 1 - 4 года.
-
4.11.3 Настоящая методика может быть применена при калибровке датчика STEK-CAN классов точности 0,15; 0,25; 0,5; 1.
4.2 Операции поверки
4.2.При проведении поверки должны выполняться операции, указанные в таблице 6.
Таблица 6.
|
№ п/п |
Наименование операции |
Номер пункта методики |
|
1 |
Внешний осмотр |
4.8.1 |
|
2 |
Опробование |
4.8.2 |
|
3 |
Проверка основной приведенной погрешности |
4.8.3 |
|
4 |
Проверка приведенной погрешности нелинейности |
4.8.4 |
|
5 |
Проверка вариации выходного сигнала |
4.8.5 |
4.3 Средства поверки
-
4.3.1 При проведении поверки должны использоваться средства измерений и оборудование, указанные в таблице 7.
-
4.3.2 Средства измерений, применяемые при поверке, должны быть поверены.
4.4 Требования к квалификации поверителей
-
4.4.1 Поверка датчиков должна выполняться специалистами, аттестованными в качестве поверителей в установленном порядке.
406222.015 РЭ стр.14
4.5 Требования безопасности
-
4.5.1 При проведении поверки должны быть соблюдены все требования безопасности в соответствии с ГОСТ 12.3.019-80
-
4.5.2 Запрещается создавать давление, превышающее верхний предел измерений датчика и рабочих мер давления.
-
4.5.3 Запрещается снимать поверяемый датчик с устройства, создающего давление без сброса давления.
-
4.5.4 Источником опасности при монтаже и эксплуатации датчика являются электрический ток и давление измеряемой среды.
-
4.5.5 При всех работах со средствами измерений необходимо соблюдать следующие меры предосторожности:
- перед каждым подключением к сети питания необходимо проверить исправность сетевого шнура и заземления;
- устранение дефектов , замена датчика, присоединение и отсоединение кабелей должно проводиться только при отключенном питании (вилка сетевого шнура должна быть вынута из розетки) и при полном отсутствии избыточного давления.
-
4.5.6 К работе с приборами допускаются лица, аттестованные для работы с напряжением до 1000 В, прошедшие инструктаж о мерах безопасности при работе с электроизмерительными приборами и изучившие руководство по эксплуатации приборов.
406222.015 РЭ
Таблица 7
|
Средства поверки |
Метрологические и технические характеристики |
Рекомендуемый тип |
№ Г ос-реестра |
|
1 Манометр избыточного давления грузопоршневой |
Диапазон измеряемого давления от 0,04 до 0,6 МПа. Класс точности 0,02 (для поверки датчиков класса точности 0,15) или класс точности 0,05 (для поверки датчиков класса точности 0,25; 0,5; 1). |
МП-6 |
16115-97 |
|
2 Манометр избыточного давления грузопоршневой |
Диапазон измеряемого давления от 0,1 до 6 МПа. Класс точности 0,02 (для поверки датчиков класса точности 0,15) или класс точности 0,05 (для поверки датчиков класса точности 0,25; 0,5; 1). |
МП-60 |
16026-97 |
|
3 Микроманометр |
Верхний предел измерений 250 мм вод.ст. Класс точности 0,02. |
МКВ-250-0,02 |
968-74 |
|
4 Задатчик избыточного давления |
Диапазон выходного давления от 1 до 160 кПа, основная погрешность ± 0,02 %(для поверки датчиков класса точности 0,15) или ± 0,05 % (для поверки датчиков класса точности 0,25; 0,5; 1) |
«Воздух-1,6» |
10610-00 |
|
5 Помпа воздушнопоршневая |
Диапазон формируемых избыточных давлений воздуха от 0 до 100 кПа; 1 МПа |
Элемер PV-210 |
- |
|
6 Источник питания постоянного тока |
Выходное напряжение постоянного тока от 0 до 50 В, выходной ток от 0 до 1 А, основная погрешность измерений выходного напряжения ± 0,3 В. |
Б5-78/2 |
29625-05 |
|
7 Барометр-анероид метеорологический |
Диапазон измерений от 80 до 106 кПа. Погрешность измерений ± 0,2 кПа. |
БАММ-1 |
5738-76 |
|
8 Гигрометр психрометрический |
Диапазон измерений влажности от 20 до 90 %, погрешность ± 7 %. Диапазон измерений температуры от 15 до 40 °С, погрешность ± 0,2 °С |
ВИТ-2 |
9364-08 |
|
9 Линейка измерительная металлическая |
Диапазон измерений от 0 до 300 мм. Цена деления 1 мм. Погрешность ± 0,2 мм. |
ГОСТ 427-75 |
18756-99 |
|
10 Персональный компьютер, преобразователь интерфейса CAN или другой, выполняющий аналогичную функцию |
CAN-адаптер-ICPDAS |
- | |
|
Примечания: Допускается применение средств измерений и оборудования, не приведенных в столбце 3 настоящей таблицы, но обеспечивающих контроль метрологических характеристик поверяемого датчика с требуемыми характеристиками. | |||
4.6 Условия поверки
-
4.6.1 При проведении поверки должны соблюдаться следующие условия:
- температура окружающего воздуха (23 ± 2) °С;
- относительная влажность воздуха до 80 %;
-
- атмосферное давление (84 - 106) кПа (630 - 795) мм рт.ст.;
-
- вибрация, тряска, удары, наклоны и магнитные поля (кроме земного), влияющие на работу датчика, должны быть исключены.
-
4.6.2 Датчик должен быть установлен в рабочее положение с соблюдением указаний в технической документации. Уровень измерений давления датчиком должен находиться в одной горизонтальной плоскости с уровнем измерений давления рабочим эталоном давления с допус-
406222.015 РЭ стр.16
каемой погрешностью ± 2 мм (если используется гидравлическая система). При отсутствии технической возможности выполнения этого требования в показания поверяемого датчика вводится поправочный коэффициент, рассчитываемый по формуле:
k = 1 + P, * g x H , (8)
P
где Р — давление, измеряемое образцовым прибором, Па;
рЛ плотность рабочей среды, кг/м3;
gM — значение местного ускорения свободного падения, м/с2;
Н — разность высот между уровнями измерений эталонным и поверяемым приборами, м.
-
4.6.3 Используемая система, состоящая из соединительных линий, средств измерений и вспомогательного оборудования для задания и передачи измеряемого параметра должна быть проверена на герметичность.
4.7. Подготовка к поверке
-
4.7.1 Перед проведением поверки необходимо изучить эксплуатационную документацию на поверяемый датчик и используемые средства поверки.
-
4.7.2 Датчик должен быть выдержан в условиях, указанных в 4.6.1, не менее 3 часов.
-
4.7.3 Средства поверки заблаговременно включаются и прогреваются перед очередной операцией поверки (в соответствии со временем установления рабочего режима, указанным в их эксплуатационной документации).
-
4.7.4 Поверяемый датчик подключается к электрической измерительной цепи в соответствии с требованиями технической документации фирмы-изготовителя по соответствующей схеме, представленной в п.2.3.3.
-
4.7.5 Выполняется проверка герметичности гидравлической системы, предназначенной для проведения поверки, при значении давления, равном верхнему пределу измерений поверяемого датчика.
Гидравлическая система считается герметичной, если после 3-х минутной выдержки под давлением и в течение последующих 2-х минут в ней не наблюдается падения давления.
4.8 Проведение поверки
-
4.8.1 Внешний осмотр
При внешнем осмотре должно быть установлено соответствие датчика следующим требованиям:
-
- отсутствие следов коррозии, механических повреждений, неисправностей, сорванных ниток на резьбе присоединительного штуцера;
-
- целостность и надежность крепления электрического разъема или кабеля;
-
- наличие соответствующей маркировки (тип, зав. №, класс точности).
4.8.2Опробование.
4.8.2.1. Опробование датчика выполнять следующим образом
-
1) собрать для проверяемого датчика схему подключения электрических цепей, представленную в пункте 2.3.3;
-
2) подключить проверяемый датчик к системе подачи измеряемого давления в соответствии с требованиями настоящего документа;
-
3) включить электрическое питание датчика и прогреть в течение 1 минуты без подачи давления;
-
4) подать на датчик давление и, изменяя его от нуля до верхнего предела измерений и обратно, убедиться, что выходной сигнал датчика плавно изменяется от нижнего до верхнего предельного значения диапазона выходного сигнала.
-
4.8.3 Проверка основной погрешности
-
4.8.3.1 Проверка основной приведенной погрешности датчика проводится способом
406222.015 РЭ стр.17
установки по эталонному (образцовому) прибору номинальных значений измеряемой величины на входе датчика и определениемего выходного сигнала, в следующей последовательности:
-
1) собрать схему поверки в соответствии с рисунком 1;
-
2) включить источник питания ИП, предварительно выставив на нем напряжение (20 ± 5) В и ограничение тока 300 мА.
-
3) Проверка основной приведенной погрешности проводится при прямом и обратном ходе нагружения в 5-6 точках приблизительно равномерно распределенных в диапазоне измерений. Рекомендуемые точки для поверяемого датчика выбираются в зависимости от его верхнего предела измерений Рв по таблице 9;
Таблица 9
|
Верхний предел измерений датчика, Рв |
Ро |
Р1 |
Р2 |
Рз |
Р4 |
Р5 |
|
Отношение входного избыточного давления Р, к верхнему пределу Рв в поверяемой точке | ||||||
|
0,16; 1,6; 16 |
0 |
2/8 |
4/8 |
6/8 |
1 |
- |
|
0,25; 2,5; 25 |
0 |
1/5 |
2/5 |
3/5 |
4/5 |
1 |
|
0,4; 4; 40 |
0 |
2/8 |
4/8 |
6/8 |
1 |
- |
|
0,6; 6; 60 |
0 |
2/8 |
4/8 |
6/8 |
1 |
- |
|
1; 10; 100; 1000 |
0 |
1/5 |
2/5 |
3/5 |
4/5 |
1 |
-
4) Выполнить один цикл измерений (нагружения). При этом необходимо поочередно устанавливать на входе датчика избыточные давления, соответствующие точкам, регламентированным для него в таблице 9, от 0 до Рв, (прямой ход), а затем от Рв до 0 (обратный ход). В каждой i-ой проверяемой точке осуществить выдержку до окончания переходного процесса, после чего считать измеренное значение давления Yi, выполнив п.2.4.2;
-
5) Значение g oi основной приведенной погрешности в каждой i-точке определить
по формуле:

(9)
где:Yi - десятичное значение (цифровой код) выходного сигнала датчика в i-ой проверяемой точке;
РВ - верхний предел измерений избыточного давления;
Pi - эталонное значение избыточного давления в i-ой точке.
Результаты проверки считаются положительными, если в каждой поверяемой точке полученное значение основной приведенной погрешности Yoi не превышает 0,8 от её нормируемых пределов, указанных для датчиков соответствующего класса точности в графе 2 таблицы 2 пункта 1.2.3 настоящего РЭ.
-
4.8.4 Проверка погрешности нелинейности
-
4.8.4.1 Проверка приведенной погрешности нелинейности датчика проводится в следующей последовательности:
-
1) из полной совокупности результатов измерений, зафиксированных при выполнении 4.8.3, выбрать полученные при изменении входного избыточного давления от больших значений к меньшим (обратный ход). Точки, соответствующие нижнему и верхнему пределам измерений, из рассмотрения исключаются;
-
2) вычислить значение приведенной погрешности нелинейности gKi в каждой i-ой выбранной точке диапазона измерений: от минимального значения входного избыточного давления, при котором нормируется погрешность нелинейности, до верхнего предела измерений испытываемого датчика по формуле:
где: Pi - эталонное значение избыточного давления в i-ой точке;
406222.015 РЭ
РВ - верхний предел измерений избыточного давления.
P1 - минимальное избыточное давление, в котором нормируется погрешность нелинейности датчика; значение Р1 определяется в зависимости от РВ по таблице 3 (и соответствует точке Р1 таблицы 9);
YB, Y1,Y0, Yi - результат измерения выходного сигнала (цифровой код) проверяемого датчика при значении измеряемого избыточного давления РВ, P1 , Р0 и Pit соответственно.
Результаты проверки считаются положительными, если в каждой проверяемой точке полученное значение приведенной погрешности нелинейности ун не превышает 0,8 от её нормируемых пределов, указанных для датчиков соответствующего класса точности в графе 3 таблицы 2 пункта 1.2.3 настоящего РЭ.
-
4.8.5 Проверка вариации выходного сигнала
-
4.8.5.1 Проверка вариации выходного сигнала датчика выполняется в следующей последовательности:
-
1) вариация выходного сигнала проверяемого датчика определяется по результатам измерений, полученных при выполнении 4.8.3, для каждого проверяемого значения измеряемого избыточного давления, кроме значений, соответствующих нижнему и верхнему пределам измерений;
-
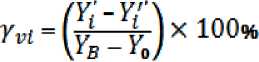
2) вычислить вариацию выходного сигнала gni, выраженную в процентах от диапазона изменения выходного сигнала, для каждой i-ой точки, выбранной согласно перечислению 1 настоящего пункта, по формуле:

где Yi',Yi"- результаты измерений выходного сигнала проверяемого датчика при одном и том же значении входного избыточного давления Pi при прямом и обратном ходе, соответственно;
Yo,YB - соответствуют обозначениям формул (9) и (10).
Результаты проверки считаются положительными, если в каждой проверяемой точке полученное значение вариации выходного сигнала gni, выраженной в процентах от диапазона изменения выходного сигнала, не превышает 0,8 от её нормируемых пределов, указанных для датчиков соответствующего класса точности в графе 4 таблицы 2 пункта 1.2.3 настоящего РЭ.
4.9 Оформление результатов поверки
-
4.9.1 При положительных результатах поверки оформляется свидетельство о поверке, при этом может также оформляться протокол поверки, рекомендуемая форма которого приведена в приложении Б.
-
4.9.2 При отрицательных результатах поверки выписывается извещение о непригодности.
-
4.9.3 Датчик, прошедший поверку с отрицательными результатами, в течение гарантийного срока эксплуатации направляется напредприятие-изготовитель для гарантийного ремонта, при отсутствия нарушений условий его эксплуатации, хранения, транспортирования и монтажа.
Примечание - Отрицательные результаты поверки, полученные при выполнении внешнего осмотра по пункту 4.8.1 настоящего РЭ, не являются основанием для направления датчика на предприятие-изготовитель для гарантийного ремонта.
406222.015 РЭ
5 Транспортирование и хранение.
-
5.1 Датчик транспортируется в упаковке предприятия-изготовителя всеми видами транспорта при условии защиты от прямого воздействия атмосферных осадков.
-
5.2 Климатические условия транспортирования не должны выходить за следующие пределы:
- температура окружающего воздуха от минус 50 до 120 °С;
- относительной влажности окружающего воздуха 95 % при температуре 35 °С .
5.3. Условия хранения датчикав упаковке предприятия-изготовителя, обеспечивающие установленную для датчика сохраняемость, не должны выходить за следующие пределы:
- температура окружающего воздуха от плюс 5 до плюс 40 ° С ;
- относительная влажность до 80 % при температуре плюс 25 °С .
-
5.4 Расстояние между стенами, полом помещения и упакованным датчиком должно быть не менее 100 мм. Хранить упакованный датчик на земляном полу не допускается. Расстояние между отопительными приборами помещения и упакованным датчиком должно быть не менее 0,5 м.
-
5.5 Распаковывание датчика, транспортировавшегося при температуре ниже 0 °С, необходимо производить в отапливаемом помещении, предварительно выдержав его в течение не менее 12 ч при температуре (20 ± 5) °С.
6 Гарантии изготовителя .
-
6.1 Предприятие-изготовитель гарантирует работу датчика при соблюдении потребителем условий эксплуатации, хранения, транспортирования и монтажа.
-
6.2 Гарантийный срок эксплуатации - 5 лет со дня ввода в эксплуатацию. Гарантийный срок хранения - 5,5 лет с момента изготовления.
-
6.3 В случае отказа датчика в период гарантийных обязательств потребитель должен выслать в адрес предприятия-изготовителя письменное извещение со следующими данными:
-
- обозначение датчика, заводской номер;
-
- дата выпуска и дата ввода в эксплуатацию;
-
- характер дефекта или неисправности.
-
6.4 Гарантийные обязательства прекращаются в случае нарушения условий эксплуатации, которые определяются по следующим признакам:
-
1) на торцевой поверхности вокруг штырей вилки блочной имеется загрязнение или известковый налет;
-
2) деформирован корпусили электросоединитель;
-
3) деформирована мембрана тензоэлемента от нажатия твердыми приспособлениями;
-
4) деформированы винты крепления разъема;
-
5) на этикетке поврежден порядковый номер, присвоенный предприятием-изготовителем.
-
6.5 Назначенный срок службы датчика 15 лет. Средняя наработка на отказ - 200000 часов при соблюдении правил эксплуатации.
Адрес предприятия-изготовителя: Россия, 440000, г. Пенза, ул. Пушкина 3, офис 408, ООО «НПФ «СТЭК». Тел.: (8412) 54-42-22, 52-22-33, факс: (8412) 68-24-10. E-mail:
stek@penzartc.ru, www.penzastek.ru.
Приложение А (Обязательное)
Типовые габаритные и присоединительные размеры датчиков
а)
max 150

M20x1,5
|
1 | |||||
|
ч |
» | ||||
|
i* |
к | ||||
|
I | |||||
|
z"-- ib— |
—'S -2 |
?"S | |||
Датчики малого давления, с пределами измерений до 6 кПа включительно
б)
Датчики с пределами измерений более 6 кПа
Примечание:
Штуцер показан условно (имеет варианты исполнения согласно таблице 1 РЭ)
Приложение Б
(Рекомендуемое)
ПРОТОКОЛ №_______
________ поверки датчика избыточного давления типа STEK-CAN_________ первичной, периодической
заводской № ________
Верхний предел измерений __________.
Диапазон изменения выходного сигнала: от _______ до ________
Класс точности ________
-
1 Место проведения поверки______________________________________________
-
2 Дата проведения поверки_______________________
-
3 Условия выполнения поверки ___________________________________________
-
4 Поверка проводилась с использованием следующих эталонных средств измерений:
5 Результаты поверки представлены таблице 1. Таблица 1
|
Наименование операции |
№ пункта раздела «Поверка» Руководства по эксплуатации 406222.015 РЭ |
Норма |
Результат проверки |
Вывод о результате проверки |
|
1 |
2 |
3 |
4 |
5 |
|
1 Внешний осмотр |
4.8.1 |
- |
- | |
|
2 Опробование |
4.8.2 |
- |
- | |
|
3 Проверка основной приведенной погрешности |
4.8.3 | |||
|
4 Проверка приведенной погрешности нелинейности |
4.8.4 | |||
|
5 Проверка вариации выходного сигнала |
4.8.5 | |||
|
Примечания:
| ||||
Таблица 2
|
№ поверяемой точки |
Входное избыточное давление, Pi, |
Расчетное значение выходного сигнала Ypi |
Полученный результат измерений Yi, |
Основная приведенная погрешность, goi, % |
Погреш ность нели-ней-ности, gm, % |
Вариация выходного сигнала датчика, % | |||
|
прямой ход |
обратный ход |
прямой ход |
обратный ход |
прямой ход |
обратный ход | ||||
|
1 |
2 |
3 |
4 |
5 |
6 |
7 |
8 |
9 |
10 |
|
0 | |||||||||
|
1 | |||||||||
|
2 | |||||||||
|
-- | |||||||||
|
N-1 | |||||||||
|
N | |||||||||
Поверитель_________________________________
Подпись, инициалы фамилия Дата
Наименование организации, осуществляющей поверку
Приложение В
(Обязательное)
Использование для настройки и поверки датчика программно-аппаратных средств фирмы IXXAT
В.1 Из комплекта поставки адаптера USB-to-CAN фирмы «IXXAT» установите драйверы для адаптера USB-to-CAN.
В.2 Подключите адаптер USB-to-CAN к ПК.
В.3 Запустите программу «MiniMon.exe».
В.4 Для настройки скорости обмена между датчиком и адаптером USB-to-CAN в про
грамме «MiniMon.exe» выберете пунк меню Options ^Configuration.
В.5 Должно появиться окно с настройками скорости обмена как на рисунке В.1.
Рисунок В.1
В.6 Из выпадающего списка «Baudrate» выберите требуемую скорость, нажмите «Ок» и перейдите к выполнению п. В.99.
В.7 Если необходимая скорость отсутствует в списке, например 25 кбит/с, то необходимо нажать кнопку «Calculator».
В.8 Должно появиться окно как на рисунке В.2.
Рисунок В.2
406222.015 РЭ стр.24
В.9 В\\о.\е«ВаиЛга1е
(kb/7 л;)»ввестинеобходимуюскоростьвкбит/синажатькнопку«Са/с7//а/е». В таблице ниже выбираем одну из строк и нажимаем кнопку «Ok». Нажимаем кнопку «Ok».
В.10 Для того, чтобы получить с датчика значение измеряемого давления необходимо сформировать сообщение удаленного запроса. Заполнить поля сообщения в окне, как показано на рисунке В.3.В поле «Identifier» введите 0, поле «Ext» оставьте пустым, в поле «Rtr» поставьте крестик.
В.11 Для отправки сообщения наведите курсор «мыши» на изображение «монитора» и нажмите левую кнопку «мыши». В окне сообщений должно появиться два новых события, как показано на рисунке В.4.
|
Time / IDmSec |
Identifier |
Format |
Flags |
Data | |
|
М272Э.4В |
OStd |
Hr Self |
Remote reauest DUG = C | ||
|
DD:27:29.4S |
OStd |
00 00 01 | |||
Рисунок В.4
В.12 В полученном сообщении из трех байт «00 00 01» два последних байта содержат значения измеряемого давления.
В.13 Для того чтобы сбросить параметры интерфейса CANk заводским настройкам (скорость обмена 25 кбит/с, идентификатор 0) необходимо сформировать сообщение, как показано на рисунке В.5. В поле «Identifier» введите 7FF, поле «Ext» оставьте пустым, поле «Rtr» оставьте пустым, в поле «Data» введите 000000007F2D148C. В течение одной секунды после подачи питания отправить его выполнив В.11.
В.14 После сброса настроек интерфейса САЛдатчик принимает команды по настройке параметров интерфейса CAN. Для настройки интерфейса CAN необходимо сформировать и отправить сообщение как показано на рисунке В.6.В поле «Identifier» введите 0, поле «Ext» оставьте пустым, поле «Rtr» оставьте пустым, в поле «Data» введите 0000077700A06164.
В.15 После отправки датчик будет иметь идентификатор 777, скорость обмена интерфейса CAN 160 кбит/с и верхний предел измерения 10 кгс/см2.
В.16 Для того чтобы получить с датчика значение измеряемого давления необходимо сформировать сообщение удаленного запроса и отправить согласно В.11, предварительно настроив скорость обмена адаптера USB-to-CAN по п.п.В.7-В.9 на значение 160 кбит/с. Заполнить поля сообщения в окне как показано на рисунке В.7.В поле «Identifier» введите 777, поле «Ext» оставьте пустым, в поле «Rtr» поставьте крестик.
В.17 В ответ на запрос придет сообщение, как показано на рисунке В.8.
Рисунок В.8
Приложение Г
(Обязательное)
Использование для настройки и поверки датчика программно-аппаратных средств фирмы ICPDAS
Г.1 Из комплекта поставки адаптера USB-to-CAN фирмы «ICPDAT» установите драйве-рыдля адаптера USB-to-CAN.
Г.2 3anycmumenporpaMMy«CANConvertor» файл «icpdac.exe».
Г.3 Для настройки скорости обмена между датчиком и адаптером USB-to-CAN на задней стороне адаптера переведите переключатель в положение «Init». Подключите адаптер к ПК при помощи кабеля USB.
Г.4 В окне программы «CANConvertor» нажать кнопку «Connect».Должно появиться окно с настройками подключения адаптера USB-to-CAN к ПК, как показано на рисунке Г.1.
Рисунок Г.1
Г.5 В поле «COMPort» выбрать порт к которому подключен адаптер USB-to-CAN. Нажать кнопку «Ок». При этом должна стать активной вкладка «Settings», как показано на рисунке Г.2.
Г.6 Настроить адаптер USB-to-CAN на скорость обмена 25 кбит/с, для этого в окне программы «CANConvertor» в выпадающем списке «CANbusBaudrate» выберите параметр «User-defined».
Г.7 В поле «ClockMode» ввести значение 1. В поле «BitTiming 1» ввести значение 4E. В поле «BitTiming 2» ввести значение 0E. В поле «BitTiming 3» ввести значение 2E. Нажать кнопку «Calculate». Нажать кнопку «Setting». В появившемся окне нажать кнопку «Ок».
Г.8 В окне программы «CANConvertor» нажать кнопку «Disconnect». Отключить адаптер USB-to-CAN от ПК.На задней стороне адаптера переведите переключатель в положение «Normal».Подключите адаптер USB-to-CAN к ПК.
Г.9 В окне программы CANConvertor нажать кнопку «Connect». Должно появиться окно с настройками подключения адаптера USB-to-CAN к ПК, как показано на рисунке Г.1. В поле «COMPort» выбрать порт к которому подключен адаптер USB-to-CAN. Нажать кнопку «Ок». При этом должна стать активной вкладка «Test», как показано на рисунке Г.3.
Г.10 ВокнепрограммыCANConvertorустановитьфлаг «Use CAN Message».
406222.015 РЭ
Рисунок Г.2
Рисунок Г.3
Г.11 Для того чтобы получить с датчика значение измеряемого давления необходимо сформировать сообщение удаленного запроса. В окне программы заполнить поля:
ID(Hex) - 0;
MODE - 0;
RTR - 1.
Г.12 Нажать кнопку «Send». В окне «Receive» должно появиться сообщение «t0003000000». Последние четыре цифры могут отличаться, поскольку содержат информацию об измеренном давлении.
406222.015 РЭ стр.28
Г.13 Для того чтобы сбросить параметры интерфейса CANk заводским настройкам (скорость обмена 25 кбит/с, идентификатор 0) необходимо сформировать сообщение. В окне программы заполнить поля:
ID(Hex) - 7FF;
MODE - 0;
RTR - 0;
DCL - 8;
D1 - 00, D2 - 00, D3 - 00, D4 - 00, D5 - 7F, D6 - 2D, D7 - 14, D8 - 8C.
Г.14 В течение одной секунды после подачи питания отправить сообщение, нажав кнопку «Send».
Г.15 После сброса настроек интерфейса САЛ'датчик принимает команды по настройке параметров интерфейса CAN. Для настройки интерфейса CAN необходимо сформировать и отправить сообщение.В окне программы заполнить поля:
ID(Hex) - 0;
MODE - 0;
RTR - 0;
DCL - 8;
D1 - 00, D2 - 00, D3 - 07, D4 - 77, D5 - 00, D6 - A0, D7 - 61, D8 - 64.
Г.16 Нажать кнопку «Send». После отправки датчик будет иметь идентификатор 777, скорость обмена интерфейса CAN 160 кбит/с и верхний предел измерения 10 кгс/см2.
Г.17 Перенастройте адаптер USB-to-CAN на скорость обмена 160 кбит/с. Для этого в окне программы CANConvertor нажать кнопку «Disconnect».Отключить адаптер USB-to-CAN от ПК.На задней стороне адаптера переведите переключатель в положение «Init». Подключите адаптер USB-to-CAN к ПК.
Г.18 Выполнить Г.4-Г.10. В п.Г.7 в поле «ClockMode» ввести значение 1, в поле «BitTim-ing 1» ввести значение 08, в поле «BitTiming 2» ввести значение 0E, в поле «BitTiming 3» ввести значение 7E.
Г.19 ДлянастройкиадаптераUSB-to-CANна произвольную скорость обмена обратитесь к файлуCAN_Converter_users_manual_en_v1.0.pdf, который идет в комплект поставки.
Г.20 Для того чтобы получить с датчика значение измеряемого давления необходимо сформировать сообщение удаленного запроса. В окне программы заполнить поля:
ID(Hex) - 777;
MODE - 0;
RTR - 1.
Г.21 Нажатькнопку «Send». В окне «Receive» должно появиться сообщение «t7773000000». Последние четыре цифры соответствуют измеренному значению входного избыточного давления. При нулевом давлении эти цифры могут отличаться от 0000 в пределах допускаемой погрешности датчика. Онимогут отличаться от идеальных значений в пределах допускаемой погрешности датчика. При нулевом входном давлении цифры должны быть близки к значению 0000 hex, при давлении равном верхнему предельному значению они должны быть близки к значению 2710 hex (в десятичной форме это 10000).
ПриложениеД
(Обязательное)
Значение настроечных байт DAT3-DAT1
В таблице Д.1 приведены значения настроечных байт DAT3-DAT1 для часто используемых скоростей обмена по интерфейсу CAN.
Таблица Д.1
|
Настроечные байты DAT3,DAT2 |
Настроечный байт DAT1 |
Точка выборки, % | |
|
Скорость, кбит/с |
Старшая mempagaDATI (TSEG1) |
Младшая mempagaDATI (TSEG2) | |
|
dec/hex |
dec/hex |
dec/hex | |
|
10 /000A |
15 / F |
7 |
68,0 |
|
20 /0014 |
15 / F |
2 |
85,0 |
|
25 /0019 |
12 / C |
1 |
87,5 |
|
50 /0032 |
12 / C |
1 |
87,5 |
|
80 /0050 |
15 / F |
2 |
85,0 |
|
100 / 0064 |
12 / C |
1 |
87,5 |
|
125/007D |
12 / C |
1 |
87,5 |
|
200 / 00C8 |
15 / F |
2 |
85,0 |
|
250 / 00FA |
12 / C |
1 |
87,5 |
|
500 / 01F4 |
12 / C |
1 |
87,5 |
|
800 / 0320 |
7 / 7 |
0 |
90,0 |
|
1000 / 03E8 |
5 / 5 |
0 |
70,0 |
