Методика поверки «ТЕПЛОСЧЕТЧИКИ КАСКАД-КМТ-42» (МП РИТМ.400800.002Д1)
ФЕДЕРАЛЬНОЕ ГОСУДАРСТВЕННОЕ УНИТАРНОЕ ПРЕДПРИЯТИЕ ВСЕРОССИЙСКИЙ НАУЧНО-ИССЛЕДОВАТЕЛЬСКИЙ ИНСТИТУТ МЕТРОЛОГИЧЕСКОЙ СЛУЖБЫ
(ФГУП «ВНИИМС»)
директора по качеству
Н.В. Иванникова
УТВЕРЖДАЮ
ФГУП «ВНИИМС»
2015 г.
ТЕПЛОСЧЕТЧИКИ КАСКАД-КМТ-42
Методика поверки
РИТМ.400800.002Д1
2015
Настоящая методика поверки распространяется на теплосчетчики КАСКАД-КМТ-42, изготавливаемые АО «Каскад», г. Черкесск, и устанавливает методы их первичной и периодической поверок.
Для теплосчетчиков КАСКАД-КМТ-42 установлен поэлементный метод поверки. Первичной поверке подвергают теплосчетчики КАСКАД-КМТ-42 (далее - теплосчетчики) при выпуске из производства. Периодической поверке подвергают теплосчетчики, находящиеся в эксплуатации.
При этом составные части теплосчетчиков подвергают поверке отдельно с периодичностью, установленной в нормативных документах на методики поверки соответствующих составных частей.
Поверку теплосчетчиков после ремонта или замены составной части теплосчетчика проводят в объеме первичной поверки.
Периодическая поверка проводится только по реально используемым измерительным каналам теплосчетчика. При этом делают соответствующую запись в свидетельстве о поверке.
Интервал между поверками теплосчетчиков - 4 года.
-
1 ОПЕРАЦИИ ПОВЕРКИ
-
1.1 При проведении поверки теплосчетчиков выполняют операции, перечисленные в таблице 1.
-
Таблица 1
|
Наименование операции |
Номер пункта методики |
При первичной поверке |
При периодической поверке |
|
Поверка составных частей |
6.1 |
Да |
Да |
|
Внешний осмотр |
6.2 |
Да |
Да |
|
Опробование |
6.3 |
Да |
Да |
|
Определение погрешности |
6.4 |
Да |
Нет |
|
Определение идентификационных данных программного обеспечения |
6.5 |
Да |
Да |
-
1.2 При получении отрицательного результата в процессе выполнения любой из операций поверки теплосчетчик бракуют и его поверку прекращают.
-
2 СРЕДСТВА ПОВЕРКИ
-
2.1 При проведении поверки теплосчетчика применяют средства измерений и вспомогательное оборудование, указанные в методиках поверки соответствующих составных частей теплосчетчика.
-
2.2 Все средства поверки должны иметь действующие свидетельства о поверке и оттиски поверительного клейма.
-
-
3 ТРЕБОВАНИЯ БЕЗОПАСНОСТИ
-
3.1 Помещение для проведения поверки должно соответствовать правилам техники безопасности и производственной санитарии.
-
3.2 При проведении поверки необходимо соблюдать правила техники безопасности при эксплуатации электроустановок и требования безопасности, определенные в эксплуатационных документах оборудования, используемого при поверке.
-
3.3 Монтаж и демонтаж составных частей теплосчетчика следует проводить при отсутствии избыточного давления в трубопроводе.
-
3.4 К работе следует допускать лиц, прошедших инструктаж по технике безопасности и имеющих удостоверение о проверке знаний. Специалист, осуществляющий поверку, должен иметь квалификационную группу по электробезопасности не ниже третьей.
-
-
4 УСЛОВИЯ ПОВЕРКИ
При проведении поверки теплосчетчика соблюдают следующие условия (если иное не указано в методиках поверки его составных частей):
-
- температура окружающего воздуха: от 15 °C до 25 °C;
-
- относительная влажность воздуха: от 35% до 80%;
-
- напряжение питания: по руководствам по эксплуатации поверяемых приборов.
-
5 ПОДГОТОВКА К ПОВЕРКЕ
Перед проведением поверки выполняют подготовительные работы, изложенные в документации на составные части теплосчетчика.
-
6 ПРОВЕДЕНИЕ ПОВЕРКИ
-
6.1 Поверка составных частей
-
Поверку составных частей теплосчетчика выполняют отдельно в объеме и последовательности по НД на методику поверки соответствующей составной части теплосчетчика.
Результаты поверки считают положительными, если выполняются критерии годности, изложенные в методике поверки этой составной части теплосчетчика.
-
6.2 Внешний осмотр
-
6.2.1 При внешнем осмотре теплосчетчика устанавливают:
-
-
- соответствие комплектности теплосчетчика его паспорту;
-
- наличие непросроченных свидетельств о поверке (других документов, подтверждающих прохождение первичной или периодической поверки) каждой составной части теплосчетчика;
-
- наличие и целостность пломб изготовителей на составных частях теплосчетчика, согласно их эксплуатационной документации и описаниям типа;
-
- отсутствие механических повреждений, влияющих на работоспособность составных частей теплосчетчика и электрических линий связи между ними.
Результаты внешнего осмотра считают положительными, если выполняются вышеперечисленные условия.
-
6.2.2 При первичной поверке для теплосчетчиков проверяют соответствие диапазонов измерений первичных преобразователей расхода, температуры, давления и значений диапазонов измерений расхода, температуры, давления, приведенных в паспорте теплосчетчика.
Результаты проверки считают положительными, если диапазоны измерений теплосчетчика, приведенные в паспорте, соответствуют диапазонам измерений первичных преобразователей, приведенных в документации на преобразователи.
-
6.2.2 При первичной поверке для теплосчетчиков, в состав которых входят комплекты термопреобразователей сопротивления, дополнительно проверяют минимальную разность температур для комплектов термопреобразователей сопротивления.
Результаты проверки считают положительными, если минимальная разность температур для комплектов термопреобразователей сопротивления не более минимальной разности температур, указанной в паспорте теплосчетчика.
-
6.2.3 При первичной поверке теплосчетчиков для каждого измерительного канала объема/массы теплоносителя дополнительно проверяют отношение верхнего предела диапазона измерений объемного расхода (Gb) к нижнему пределу диапазона измерений объемного расхода (Gh).
Результаты проверки считают положительными, если отношение Gb/Gh не менее 50.
-
6.3 Опробование
-
6.3.1 Опробование составных частей теплосчетчика проводится в соответствии с требованиями соответствующих разделов методик поверки на составные части при проведении их поверки.
-
Результаты опробования считают положительными, если выполняются требования методик поверки на составные части теплосчетчика.
-
6.4 Определение погрешности
-
6.4.1 Определение погрешности теплосчетчика при измерении температуры.
-
6.4.1.1 Определение погрешности теплосчетчика при измерении температуры проводят расчетным путем.
-
6.4.1.2 Определение погрешности теплосчетчика при измерении температуры проводят для каждого канала измерений температуры, указанного в паспорте на теплосчетчик.
-
6.4.1.3 Определение погрешности теплосчетчика при измерении температуры проводят при максимальной и минимальной температуре измеряемой среды по формуле:


-
-
где
Д/j- пределы абсолютной погрешности первичного преобразователя температуры (с учетом основной и дополнительной погрешностей), °C;
Пределы погрешности первичных преобразователей температуры, диапазоны измерений температуры, диапазон температуры окружающей среды приведены в паспорте на теплосчетчик.
-
6.4.1.4 Результаты поверки считают положительными, если рассчитанная по формуле (1) погрешность At не более (0,6+0,004-|t|), где t - температура измеряемой среды, °C.
-
6.4.2 Определение погрешности теплосчетчика при измерении давления.
-
6.4.2.1 Определение погрешности теплосчетчика при измерении давления проводят расчетным путем.
-
6.4.2.2 Определение погрешности теплосчетчика при измерении давления проводят для каждого канала измерения давления, указанного в паспорте на теплосчетчик.
-
6.4.2.3 Определение погрешности теплосчетчика при измерении давления проводят при максимальном и минимальном давлении по формуле:

-
(2)
где
уРх - пределы приведенной к диапазону измерений погрешности первичного преобразователя давления (с учетом основной и дополнительной погрешностей), %.
Пределы погрешности первичных преобразователей давления, диапазоны измерений давления, диапазон температуры окружающей среды приведены в паспорте на теплосчетчик.
-
6.4.2.4 Результаты поверки считают положительными, если погрешность уР, рассчитанная по формуле (2), не более погрешности, указанной в паспорте на теплосчетчик.
-
6.4.3 Определение погрешности счетчика при измерении объема воды.
-
6.4.3.1 Определение погрешности теплосчетчика при измерении объема воды проводят расчетным путем.
-
6.4.3.2 Определение погрешности теплосчетчика при измерении объема воды проводят для каждого канала измерений объема воды, указанного в паспорте на теплосчетчик.
-
6.4.3.3 Определение погрешности теплосчетчика при измерении объема воды проводят при максимальном, минимальном и переходном (при его наличии у первичного преобразователя расхода) расходах воды по формулам:
-
а) при применении первичного преобразователя расхода (количества) с импульсным выходом
SG = 8GX\ (3)
б) при применении первичного преобразователя расхода (количества) с частотным выходом
<5G = ^O,O52+<5G2 ; <4)
где
5GX - пределы относительной погрешности первичного преобразователя расхода (с учетом основной и дополнительной погрешностей), %.
Пределы погрешности первичных преобразователей расхода, диапазоны измерений расхода, диапазон температуры окружающей среды приведены в паспорте на теплосчетчик.
-
6.4.3.4 Результаты поверки считают положительными, если рассчитанная по формулам (3) и (4) погрешность не более пределов погрешности, приведенных в таблице 2.
Таблица 2.
|
Исполнение теплосчетчика |
Пределы относительной погрешности |
|
КАСКАД-КМТ-42-1 |
±(1+0,01-Gb/G), но не более ±3,5 % |
|
КАСКАД-КМТ-42-2 |
±(2+0,02-Gb/G), но не более ±5 % |
Примечания:
Gb - верхний предел диапазона измерений объемного расхода, м3/ч; G - объемный расход, м3/ч.
-
6.4.4 Определение погрешности теплосчетчика при измерении тепловой энергии в закрытых водяных системах теплоснабжения.
-
6.4.4.1 Определение погрешности теплосчетчика при измерении тепловой энергии в закрытых водяных системах теплоснабжения проводят для каждого канала измерений теплосчетчика при измерении тепловой энергии в закрытых водяных системах теплоснабжения, указанного в паспорте на теплосчетчик, при минимальной и максимальной разности температур в подающем и обратном трубопроводах.
-
-
6.4.4.3 Определение погрешности теплосчетчика при измерении тепловой энергии в закрытых водяных системах теплоснабжения проводят путем расчета погрешности измерений разности температур воды в подающем и обратном трубопроводах по формулам
а) при применении комплекта термопреобразователей сопротивлений
А/ (5)
ар = ^--100%;
б) при применении первичных преобразователей температуры

(6)
где
Д/Р1 - пределы абсолютной погрешности комплекта термопреобразователей сопротивлений при измерении разности температур, °C;
tp - разность температур в подающем и обратном трубопроводах, °C;
, Д/2 - пределы абсолютной погрешности первичных преобразователей температуры при измерении температуры, соответственно, в подающем и обратном трубопроводах, °C.
Пределы погрешности первичных преобразователей разности температур, температуры, диапазоны измерений разности температуры и температуры приведены в паспорте на теплосчетчик.
-
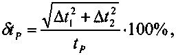
6.4.4.4 Результаты поверки считают положительными, если рассчитанная по формулам (5) и (6) погрешность не более погрешности (0,5+3/рл//^р), где tpMiN - минимальная разность температур для теплосчетчика. Минимальная разность температур для теплосчетчика приведена в паспорте на теплосчетчик.
6.5 Проверка идентификационных данных программного обеспечения.
-
6.5.1 С помощью программы обслуживания считать из тепловычислителя идентификационные данные ПО: идентификационное наименование, номер версии и цифровой идентификатор.
Таблица 3 - Идентификационные данные ПО тепловычислителей
|
Идентификационные данные |
Значение |
|
1 |
2 |
|
Идентификационное наименование |
КМТ42 |
|
Номер версии |
01.00.ХХ.ХХ* |
|
Цифровой идентификатор |
36C3 |
|
*-Х = 0...9 | |
-
6.5.2 Результат проверки считают положительным, если полученные идентификационные данные ПО соответствуют указанным в таблице 3.
-
7 ОФОРМЛЕНИЕ РЕЗУЛЬТАТОВ ПОВЕРКИ
-
7.1 При положительных результатах поверки оформляют свидетельство о поверке и делают отметку в паспорте.
-
7.2 Результаты поверки оформляют протоколом произвольной формы.
-
7.3 Пломбирование составных частей теплосчетчика после поверки производится в соответствии с документацией на составные части теплосчетчика.
-
7.4 При отрицательных результатах периодической поверки теплосчетчика выдают извещение о непригодности.
-
7
