Методика поверки «Преобразователи давления ДДЭ 060» (МП Вт 2.832.060 )
УТВЕРЖДАЮ
АО «НИИФИ»

Преобразователи давления
ДДЭ 060
МЕТОДИ КА П ОВЕРКИ
Вт 2.832.060 МП
/V Ь.(ЬЧ98.*2- 1£> СодержаниеПриложение А Формы таблиц для регистрации результатов поверки
Вводная частьНастоящая методика по поверке распространяется на преобразователи давления
ДДЭ 060, предназначенные для измерения избыточного статико-динамического давления жидких и газообразных неагрессивных сред.
Межповерочный интервал - 2 года.
1 Операции поверки1.1 При проведении поверки должны выполняться операции, указанные в таблице 1. Таблица 1
|
Наименование операции |
Номер пункта методики по поверке |
Проведение операции при | |
|
первичной поверке |
периодической поверке | ||
|
1 Проверка внешнего вида, маркировки, габаритных и установочных размеров |
6.1 |
да |
да |
|
2 Контроль величины начального выходного сигнала преобразователя давления в НКУ |
6.2 |
да |
да |
|
3 Определение допускаемой основной приведенной погрешности |
6.3 |
да |
да |
-
1.2 При получении отрицательного результата при проведении любой операции поверка прекращается.
-
2.1 При проведении поверки рекомендуется применять средства поверки, указанные в таблице 2.
Таблица 2
|
Наименование и тип основного или вспомогательного средства поверки |
Основные метрологические характеристики |
|
1 Источник напряжения постоянного тока Б5-8 |
Диапазон задаваемых напряжений от 0,1 до 49,9 В, погрешность ±10,5% (UycT±0,l%Umax) В |
|
2 Ампервольтомметр цифровой Ф-30 |
Класс точности измеряемого напряжения (0,2/0,01-005/0,02) |
|
ЗМанометр избыточного давления МП-60 |
Диапазон измерений (0,1 - 6) МПа; класс точности 0,05 |
-
2.2 Допускается замена средств поверки, указанных в таблице 2, другими средствами поверки с равным или более высоким классом точности.
-
3.1 При проведении поверки необходимо соблюдать общие требования безопасности по ГОСТ 12.3.019-80 и требования на конкретное поверочное оборудование.
-
4.1 Все операции при проведении поверки, если нет особых указаний, должны проводиться в нормальных климатических условиях:
-
- температура окружающего воздуха от 15 до 35 °C;
-
- относительная влажность воздуха от 45 до 75 %;
-
- атмосферное давление от 86 до 106 кПа (от 645 до 795 мм рт. ст.).
Примечание - При температуре воздуха выше 30 °C относительная влажность воздуха не должна превышать 70 %.
5 Подготовка к поверке-
5.1 Перед проведением поверки испытательные установки, стенды, аппаратура и электроизмерительные приборы должны иметь формуляры (паспорта) и соответствовать стандартам или техническим условиям на них.
-
5.2 Не допускается применять средства поверки, срок обязательных поверок которых истек.
-
5.3 Предварительный прогрев контрольно-измерительных приборов должен соответствовать требованиям технических описаний и инструкций по эксплуатации на них.
-
5.4 Контрольно-измерительные приборы должны быть надежно заземлены с целью исключения влияния электрических полей на результаты измерений.
-
5.5 Все операции по поверке, если нет особых указаний, проводить после прогрева преобразователя напряжением питания в течение 5 мин.
-
5.6 В процессе поверки преобразователя менять средства измерений не рекомендуется.
-
5.7 Порядок проведения испытаний должен соответствовать порядку изложения видов испытаний в таблице 1.
-
6.1 Проверка внешнего вида, маркировки, габаритных и установочных размеров.
-
6.1.1 Контроль внешнего вида и маркировки преобразователя проводить визуальным осмотром с использованием чертежа Вт 2.832.060 СБ. При проверке внешнего вида руководствоваться следующими требованиями.
-
6.1.2 Внешний вид преобразователей должен соответствовать требованиям чертежей.
Не допускается:
-
- наличие на поверхности преобразователя вмятин, царапин, забоин глубиной более
0,4 мм.
-
6.1.3 При проверке маркировки руководствоваться следующими требованиями.
На корпусе каждого преобразователя должно быть отчетливо выгравировано:
-
- ДДЭ 060 - шифр преобразователя;
-
- предел измерения;
-
- заводской номер (шестизначное число).
Результаты поверок считать положительными, если внешний вид преобразователя соответствует требованиям п. 6.1.2, маркировка - требованиям п.6.1.3.
Результаты проверок записать в таблицу по форме таблицы А. 1.
-
6.2 Контроль величины начального выходного сигнала преобразователя давления в НКУ
-
6.2.1 Собрать схему согласно рисунку 1. Подать питание на преобразователь (6 ± 0,06) В.
-
6.2.2 Измерить начальный выходной сигнал Uo с учетом знака до второго знака после запятой.
-
6.2.3 Подать плавно на преобразователь номинальное давление Р1Юм< измерить значение выходного сигнала U и определить выходное напряжение UH по формуле U„ = U - Uo- Измерить выходное напряжение с точностью до второго знака после запятой.

Соединение приборов измерительных между собой проводить, используя провод МГТФ 0,12 ТУ 16.505.185-71 длиной не более 2 м.
Рисунок 1 - Схема для контроля величины начального выходного сигнала
-
6.2.4 Плавно снять давление, выключить питание. Разобрать схему.
Результаты измерений записать в таблицу А. 1.
-
6.2.5 Результаты испытаний считать положительными, если величина начального выходного сигнала не должна превышать ±5 мВ; величина номинального выходного сигнала находится в пределах (100 ± 10) мВ.
6.3 Определение допускаемой основной приведенной погрешности
6.3 1 Собрать схему согласно рисунку 1. Подать питание на преобразователь (6 ± 0,06) В.
-
6.3.2 Разбить диапазон измерений с постоянным шагом изменения входного напряжения (Р, МПа), числом фиксированных значений входного сигнала в цикле градуирования (числом точек градуирования) ) m > 8.
-
6.3.3 Подать давление согласно точкам градуирования и снять 4 раза зависимость вы-ходного напряжения при прямом ходе (повышение давления) Р и обратном ходе (пониже-
иБ.
ние давления) 7'. Результаты измерений записать в таблицу А.2.
-
6.3.4 Выключить питание, разобрать схему.
-
6.3.5 Используя результаты градуирования провести обработку результатов измерений для определения коэффициентов функции преобразования <7^, аи приведенной основной погрешности у0-
Исходные данные для расчета:
-
- степень полинома;
-
- нормирующее значение - N;
-
- функция преобразования U(P) = + аР + а^Р ;
-
- коэффициент, учитывающий доверительную вероятность -К = 1,96.
-
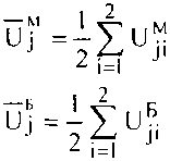
6.3.6 Для каждой точки градуирования j вычислить среднее значение выходного — м
сигнала со стороны меньших значений давления Uj и со стороны больших значений
давления Uj по формулам:

(2)
(3)
где i = 1, 2- номер цикла градуирования;
Uj- — значения выходного сигнала в каждой точке градуирования при прямом ходе, В; Uj; - значения выходного сигнала в каждой точке градуирования при обратном ходе, В.
-
6.3.7 Определить действительное значение выходного сигнала, соответствующее средней градуировочной характеристике, для каждой точки градуирования j по формуле:
U,=ifuM+uH (4)
J 2< -i
-
6.3.8 Вычислить нормирующее значение выходного сигнала N по формуле:
N = Ub-(Jh (5)
где Ub - значение выходного сигнала при верхнем значении диапазона измерений Рв, В; Uh - значение выходного сигнала при нижнем значении диапазона измерений Рн, В.
-
6.3.9 Рассчитать коэффициенты индивидуальной функции преобразования системы, заданной по формуле
U(P) = <70+<7,-Р + <72-Р2 (6)
где С1г1 - коэффициент статической характеристики преобразования, В;
67, - коэффициент статической характеристики преобразования, В/мм рт.ст.;
672 - коэффициент статической характеристики преобразования, В/ мм рт.ст.;
Р - измеряемая величина разности давлений, мм рт.ст.
-
6.3.10 Определить допускаемое значение основной приведенной погрешности по результатам градуирования по п.6.3.3 по формуле:
m 2п {
Z-Z и,;
Уо = ±1,96
j=l \ ] №(2
(7)
2
где Do6pp = °°р-р приведенное значение дисперсии выходного сигнала,
3N2
Р
обусловленной р-м средством градуирования, для которого нормировано предельное значение погрешности Добр.р;
U(.M'E) - значения кода выходного сигнала в каждой i-ой точке для каждого i-ro цикла J1
градуирования, В;
а = а , с^, а? - коэффициенты функции преобразования, определяемые по
данным двух циклов градуирования;
L=2 - степень полинома, в виде которого представлена функция преобразования;
Р, - значение давления в каждой j-ой точке градуирования, мм рт.ст..
m = 9 - количество градуировочных точек;
п = 2 - количество циклов градуирования;
N - нормирующее значение выходного сигнала, вычисленное по формуле (5), В.
-
6.3.11 Результаты расчета допускаемой основной приведенной погрешности занести в таблицу А.2.
-
6.3.12 Результаты испытаний считать положительными, если допускаемая основная приведенная погрешность находится в пределах ±1 % .
7.1 Результаты поверки оформить в соответствии с Приказом Министерства промышленности и торговли РФ от 2 июля 2015 г. № 1815 «Об утверждении Порядка проведения поверки средств измерений, требования к знаку поверки и содержанию свидетельства о поверке».
Приложение А
Формы таблиц для регистрации результатов поверки
Таблица А. 1 - Результаты определения контролируемых параметров
Преобразователь давления ДДЭ 060__зав. №
|
Контролируемые параметры |
Значения параметров | |
|
Норма по ТУ |
Зарегистрированное значение | |
|
Внешний вид | ||
|
Маркировка | ||
|
Начальный выходной сигнал преобразователя давления в НКУ, мВ |
± 5 | |
|
Номинальный выходной сигнал преобразователя давления в НКУ, мВ |
100± 10 | |
|
Напряжение питания, В |
6 ± 0,06 | |
|
Предел допускаемой основной приведенной погрешности, % |
± 1 | |
Таблица А.2 - Результаты испытаний при определении градуировочной характеристики преобразователя давления
|
Входной сигнал, кгс/см2 |
Выходной напряжение UjjM и ЦрЬ, мВ | |||||||
|
1 цикл |
2 цикл |
3 цикл |
4 цикл | |||||
|
Ц,м |
с? |
тт и Uj2 |
и/ |
IT м |
и? |
uj4M |
Uj4b | |
|
Заводской № | ||||||||
|
0 | ||||||||
|
1 | ||||||||
|
2 | ||||||||
|
-» | ||||||||
|
4 | ||||||||
|
5 | ||||||||
|
Допускаемая основная приведенная погрешность, %, (Норма по ТУ ±1%) | ||||||||
9
