Методика поверки «Система автоматизированная информационно-измерительная коммерческого учета электроэнергии (АИИС КУЭ) АО «Атомэнергопромсбыт» (ФГУП «Горно-химический комбинат» (ФГУП «ГХК»))» (Код не указан!)
ФЕДЕРАЛЬНОЕ БЮДЖЕТНОЕ УЧРЕЖДЕНИЕ «ГОСУДАРСТВЕННЫЙ РЕГИОНАЛЬНЫЙ ЦЕНТР СТАНДАРТИЗАЦИИ, МЕТРОЛОГИИ И ИСПЫТАНИЙ В КУРСКОЙ ОБЛАСТИ»
(ФБУ «Курский ЦСМ»)
УТВЕРЖДАЮ
Руководитель ГЦИ СИ
Ермаков
« X 2016 г.
4Й ЦСМ»
Система автоматизированная информационно-измерительная коммерческого учета электроэнергии (АИИС КУЭ) АО «Атомэнергопромсбы г» (ФГУП «Горно-химический комбинат» (ФГУП «ГХК»)) Измерительные каналы.
Методика поверки
Д- р G47GI- 36
Курск
2016 г.
Содержание
Настоящая методика распространяется на измерительные каналы (далее - ИК) системы автоматизированной информационно-измерительной коммерческого учета электроэнергии (АНИС КУЭ) АО «Атомэнергопромсбыт» (ФГУП «Горно-химический комбинат» (ФГУП «ГХК»)) (далее - АПИС КУЭ), предназначенной для измерения активной и реактивной электроэнергии, потребленной за установленные интервалы времени отдельными технологическими объектами АО «Атомэнергопромсбыт» (ФГУП «Горно-химический комбинат» (ФГУП «ГХК»)), сбора, хранения, обработки и передачи полученной информации.
Перечень ИК и их метрологические характеристики приведены в приложении А.
1 ОБЩИЕ ПОЛОЖЕНИЯПоверке подлежит каждый ИК АИИС КУЭ, реализующий косвенный метод измерений электрической энергии. ИК подвергают поверке покомпонентным (поэлементным) способом с учетом положений раздела 8 ГОСТ Р 8.596.
Первичную поверку АИИС КУЭ выполняют после проведения испытаний АИИС КУЭ с целью утверждения типа. Допускается совмещение операций первичной поверки и операций, выполняемых при испытаниях типа.
Периодическую поверку АИИС КУЭ выполняют в процессе эксплуатации АИИС КУЭ.
Периодичность поверки (межповерочный интервал) АИИС КУЭ - раз в 4 года.
Измерительные компоненты АИИС КУЭ поверяют с межповерочным интервалом, установленным при утверждении их типа. Если очередной срок поверки измерительного компонента наступает до очередного срока поверки АИИС КУЭ, поверяется только этот компонент и поверка АИИС КУЭ не проводится. После поверки измерительного компонента и восстановления ИК выполняется проверка ИК в той его части и в том объеме, который необходим для того, чтобы убедиться, что действия, связанные с поверкой измерительного компонента, не нарушили метрологических свойств ИК (схема соединения, коррекция времени и т.п.).
Внеочередную поверку АИИС КУЭ проводят после ремонта системы, замены её измерительных компонентов, аварий в энергосистеме, если эти события могли повлиять на метрологические характеристики ИК. Допускается подвергать поверке только те ИК, которые подверглись указанным выше воздействиям, при условии, что собственник АИИС КУЭ подтвердит официальным заключением, что остальные ИК этим воздействиям не подвергались. В этом случае может быть оформлено дополнение к основному свидетельству о поверке АИИС КУЭ с соответствующей отметкой в основном свидетельстве.
2 ОПЕРАЦИИ ПОВЕРКИ
При проведении поверки выполняют операции, указанные в таблице 1. Таблица 1 — Операции поверки
|
Наименование операции |
Номер пункта НД по поверке |
Обязательность проведения операции при | |
|
первичной поверке |
периодической поверке | ||
|
1. Подготовка к поверке |
7 |
Да |
Да |
|
2. Внешний осмотр |
8.1 |
Да |
Да |
|
3. Поверка измерительных компонентов АИИС КУЭ |
8.2 |
Да |
Да |
|
4. Проверка счетчиков электрической энергии |
8.3 |
Да |
Да |
|
5. Проверка УСПД |
8.4 |
Да |
Да |
|
6. Проверка функционирования центрального компьютера АИИС КУЭ |
8.5 |
Да |
Да |
Продолжение таблицы 1
|
Наименование операции |
Номер пункта НД по поверке |
Обязательность проведения операции при | |
|
первичной поверке |
периодической поверке | ||
|
7. Проверка функционирования вспомогательных устройств |
8.6 |
Да |
Да |
|
8. Проверка нагрузки на вторичные цепи измерительных трансформаторов напряжения |
8.7 |
Да |
Да |
|
9. Проверка нагрузки на вторичные цепи измерительных трансформаторов тока |
8.8 |
Да |
Да |
|
10. Проверка падения напряжения в линии связи между вторичной обмоткой TH и счетчиков |
8.9 |
Да |
Да |
|
11. Проверка погрешности часов компонентов АИИС КУЭ |
8.10 |
Да |
Да |
|
12. Проверка отсутствия ошибок информационного обмена |
8.11 |
Да |
Да |
|
13. Проверка метрологических характеристик измерительных каналов АИИС КУЭ |
8.12 |
Да |
Да |
|
14. Подтверждение соответствия программного обеспечения |
9 |
Да |
Да |
|
15. Оформление результатов поверки |
10 |
Да |
Да |
При проведении поверки применяют средства измерений и вспомогательные устройства, в соответствии с методиками поверки, указанными в описаниях типа на измерительные компоненты АИИС КУЭ, а также приведенные в таблице 2.
Таблица 2 — Средства измерений и вспомогательные устройства
|
№ п/п |
Наименование |
|
1 |
Термометр, диапазон измерений от минус 40 до +50 °C, пределы допускаемой погрешности ±1 °C |
|
2 |
Вольтамперфазометр, диапазон измерения (0-10) А |
|
3 |
Средства измерений вторичной нагрузки ТТ в соответствии с утвержденным документом «Методика выполнения измерений мощности нагрузки трансформаторов тока в условиях эксплуатации» |
|
4 |
Средства измерений вторичной нагрузки TH в соответствии с утвержденным документом «Методика выполнения измерений мощности нагрузки трансформаторов напряжения в условиях эксплуатации» |
|
5 |
Средства измерений падения напряжения в линии соединении счетчика с TH в соответствии с утвержденным документом «Методика выполнения измерений падения напряжения в линии соединения счетчика с трансформатором напряжения в условиях эксплуатации» |
|
6 |
Переносной компьютер с ПО и оптический преобразователь для работы со счетчиками системы |
|
7 |
Приемник сигналов точного времени (например, радиочасы МИР РЧ-01) |
|
Примечание - Допускается применение других основных и вспомогательных средств поверки с метрологическими характеристиками, обеспечивающими требуемые точности измерений. | |
-
4.1 К проведению поверки АИИС КУЭ допускают поверителей, аттестованных в соответствии с ПР 50.2.012, изучивших настоящую рекомендацию и руководство по эксплуатации на АИИС КУЭ, имеющих стаж работы по данному виду измерений не менее 1 года.
-
4.2 Измерение вторичной нагрузки измерительных трансформаторов тока, входящих в состав АИИС КУЭ, осуществляется персоналом, имеющим стаж работы по данному виду измерений не менее 1 года, изучившим документ «Методика выполнения измерений мощности нагрузки трансформаторов тока в условиях эксплуатации» и прошедшим обучение по проведению измерений в соответствии с указанным документом. Измерение проводят не менее двух специалистов, один из которых должен иметь удостоверение, подтверждающее право работы на установках свыше 1000 В с группой по электробезопасности не ниже III.
-
4.3 Измерение вторичной нагрузки измерительных трансформаторов напряжения, входящих в состав АИИС КУЭ, осуществляется персоналом, имеющим стаж работы по данному виду измерений не менее 1 года, изучившим документ «Методика выполнения измерений мощности нагрузки трансформаторов напряжения в условиях эксплуатации» и прошедшим обучение по проведению измерений в соответствии с указанным документом. Измерение проводят не менее двух специалистов, один из которых должен иметь удостоверение, подтверждающее право работы на установках свыше 1000 В с группой по электробезопасности не ниже III.
-
4.4 Измерение потерь напряжения в линии соединения счетчика с измерительным трансформатором напряжения, входящими в состав АИИС КУЭ, осуществляется персоналом, имеющим стаж работы по данному виду измерений не менее 1 года, изучившим документ «Методика выполнения измерений потерь напряжения в линиях соединения счетчика с трансформатором напряжения в условиях эксплуатации» и прошедшим обучение по проведению измерений в соответствии с указанным документом. Измерение проводят не менее двух специалистов, один из которых должен иметь удостоверение, подтверждающее право работы на установках свыше 1000 В с группой по электробезопасности не ниже III.
-
5.1 При проведении поверки должны быть соблюдены требования безопасности, установленные ГОСТ 12.2.007.0, ГОСТ 12.2.007.3, «Правилами техники безопасности при эксплуатации электроустановок потребителей», «Правилами технической эксплуатации электроустановок потребителей», «Правилами по охране труда при эксплуатации электроустановок», а также требования безопасности на средства поверки, поверяемые трансформаторы и счетчики, изложенные в их руководствах по эксплуатации.
-
5.2 Эталонные средства измерений, вспомогательные средства поверки и оборудование должны соответствовать требованиям ГОСТ 12.2.003, ГОСТ 12.2.007.3, ГОСТ 12.2.007.7.
Условия поверки АИИС КУЭ должны соответствовать условиям ее эксплуатации, нормированным в технической документации, но не выходить за нормированные условия применения средств поверки.
7 ПОДГОТОВКА К ПОВЕРКЕ-
7.1 Для проведения поверки представляют следующую документацию:
руководство по эксплуатации АИИС КУЭ;
описание типа АИИС КУЭ;
свидетельства о поверке измерительных компонентов, входящих в ИК, и свидетельство о предыдущей поверке АИИС КУЭ (при периодической и внеочередной поверке);
паспорта-протоколы на ИК;
рабочие журналы АИИС КУЭ с данными по климатическим и иным условиям эксплуатации за межповерочный интервал (только при периодической поверке).
-
7.2 Перед проведением поверки выполняют следующие подготовительные работы:
проводят технические и организационные мероприятия по обеспечению безопасности поверочных работ в соответствии с действующими правилами и руководствами по эксплуатации применяемого оборудования;
средства поверки выдерживают в условиях и в течение времени, установленных в НТД на средства поверки;
все средства измерений, которые подлежат заземлению, должны быть надежно заземлены, подсоединение зажимов защитного заземления к контуру заземления должно производиться ранее других соединений, а отсоединение - после всех отсоединений.
-
8 ПРОВЕДЕНИЕ ПОВЕРКИ
-
8.1.1 Проверяют целостность корпусов и отсутствие видимых повреждений измерительных компонентов, наличие поверительных пломб и клейм.
-
8.1.2 Проверяют размещение измерительных компонентов, правильность схем подключения трансформаторов тока и напряжения к счетчикам электрической энергии; правильность прокладки проводных линий по проектной документации на АИИС КУЭ.
-
8.1.3 Проверяют соответствие типов и заводских номеров фактически использованных измерительных компонентов типам и заводским номерам, указанным в формуляре АИИС КУЭ.
-
8.1.4 Проверяют отсутствие следов коррозии и нагрева в местах подключения проводных линий.
Проверяют наличие свидетельств о поверке и срок их действия для всех измерительных компонентов: измерительных трансформаторов тока и напряжения, счетчиков электрической энергии, УСВ, УСПД. При обнаружении просроченных свидетельств о поверке измерительных компонентов или свидетельств, срок действия которых близок к окончанию, дальнейшие операции по поверке ПК, в который они входят, выполняют после поверки этих измерительных компонентов.
8.3 Проверка счетчиков электрической энергии-
8.3.1 Проверяют наличие и сохранность пломб поверительных и энергосбытовых организаций на счетчике и испытательной коробке. Проверяют наличие документов энергосбытовых организаций, подтверждающих правильность подключения счетчика к цепям тока и напряжения, в частности, правильность чередования фаз. При отсутствии таких документов или нарушении (отсутствии) пломб проверяют правильность подключения счетчиков к цепям тока и напряжения (соответствие схем подключения - схемам, приведенным в паспорте на счетчик). Проверяют последовательность чередования фаз с помощью вольтамперфазометра. При проверке последовательности чередования фаз действуют в соответствии с указаниями, изложенными в руководстве по его эксплуатации.
-
8.3.2 Проверяют работу всех сегментов индикаторов, отсутствие кодов ошибок или предупреждений, прокрутку параметров в заданной последовательности.
-
8.3.3 Проверяют работоспособность оптического порта счетчика с помощью переносного компьютера. Преобразователь подключают к любому последовательному порту переносного компьютера. Опрашивают счетчик по установленному соединению. Опрос счетчика считается успешным, если получен отчет, содержащий данные, зарегистрированные счетчиком.
-
8.3.4 Проверяют соответствие индикации даты в счетчике календарной дате (число, месяц, год). Проверку осуществляют визуально или с помощью переносного компьютера через оптопорт.
-
8.4.1 Проверяют наличие и сохранность пломб поверительных и энергосбытовых организаций на УСПД. При отсутствии или нарушении пломб проверяют правильность подсоединения УСПД.
-
8.4.2 Проверяют правильность функционирования УСПД в соответствии с его эксплуатационной документацией с помощью тестового программного обеспечения. Проверка считается успешной, если все подсоединенные к УСПД счетчики опрошены и нет сообщений об ошибках.
-
8.4.3 Проверяют программную защиту УСПД от несанкционированного доступа.
-
8.4.4 Проверяют правильность значений коэффициентов трансформации измерительных трансформаторов, хранящихся в памяти УСПД.
-
8.5.1 Проводят опрос текущих показаний всех счетчиков электроэнергии.
-
8.5.2 Проверяют глубину хранения измерительной информации в центральном сервере АИИС КУЭ.
-
8.5.3 Проверяют защиту программного обеспечения на ЭВМ АИИС КУЭ от несанкционированного доступа. Для этого запускают на выполнение программу сбора данных и в поле “пароль” вводят неправильный код. Проверку считают успешной, если при вводе неправильного пароля программа не разрешает продолжать работу.
-
8.5.4 Проверяют работу аппаратных ключей. Выключают компьютер и снимают аппаратную защиту (отсоединяют ключ от порта компьютера). Включают компьютер, загружают операционную систему и запускают программу. Проверку считают успешной, если получено сообщение об отсутствии «ключа защиты».
-
8.6.1 Проверка функционирования модемов.
Проверяют функционирование модемов, используя коммуникационные возможности специальных программ. Модемы считаются исправными в составе комплекса, если были установлены коммутируемые соединения и по установленным соединениям успешно прошел опрос счетчиков или УСПД.
Допускается автономная проверка модемов с использованием тестового программного обеспечения.
-
8.6.2 Проверка функционирования адаптеров интерфейса.
Подключают к адаптерам переносной компьютер с ПО, используя кабель RS-232. Проверка считается успешной, если удалось опросить все счетчики, подключенные к данному адаптеру.
8.7 Проверка нагрузки на вторичные цепи измерительных трансформаторов напряженияПри проверке мощности TH необходимо убедиться, что отклонение вторичного напряжения при нагруженной вторичной обмотке составляет не более ±10 % от Uhom-
Измеряют мощность нагрузки TH, которая должна находиться в диапазоне (0,25-1,0) Shom-
Измерение мощности нагрузки на вторичные цепи TH проводят в соответствии с аттестованной в установленном порядке методикой измерений.
Примечания
-
1 Допускается измерения мощности нагрузки на вторичных цепях TH не проводить, если такие измерения проводились при составлении паспортов-протоколов на данный измерительный канал в течение истекающего межповерочного интервала АИИС КУЭ. Результаты проверки считают положительными, если паспорт-протокол подтверждает выполнение указанного выше условия для TH.
-
2 Допускается мощность нагрузки определять расчетным путем, если известны входные (проходные) импедансы всех устройств, подключенных ко вторичным обмоткам измерительных трансформаторов.
Измеряют мощность нагрузки на вторичные цепи ТТ, которая должна находиться в диапазоне (0,25-1,0)Shom-
Измерение тока и вторичной нагрузки ТТ проводят в соответствии с аттестованной в установленном порядке методикой измерений.
Примечания
1 Допускается измерения мощности нагрузки на вторичных цепях ТТ не проводить, если такие измерения проводились при составлении паспортов-протоколов на данный измерительный канал в течение истекающего межповерочного интервала АИИС КУЭ. Результаты проверки считают положительными, если паспорт-протокол подтверждает выполнение указанного выше условия для ТТ.
2 Допускается мощность нагрузки определять расчетным путем, если известны входные (проходные) импедансы всех устройств, подключенных ко вторичным обмоткам ТТ.
8.9 Проверка падения напряжения в линии связи между вторичной обмоткой TH и счетчиковИзмеряют падение напряжения ил в проводной линии связи для каждой фазы по утвержденному документу «Методика выполнения измерений падения напряжения в линии соединения счетчика с трансформатором напряжения в условиях эксплуатации». Падение напряжения не должно превышать 0,25 % от номинального значения на вторичной обмотке TH.
Примечания
-
1 Допускается измерение падения напряжения в линии соединения счетчика с TH не проводить, если такие измерения проводились при составлении паспортов - протоколов на данный измерительный канал в течение истекающего межповерочного интервала АИИС КУЭ. Результаты проверки считают положительными, если паспорт-протокол подтверждает выполнение указанного выше требования.
-
2 Допускается падение напряжения в линии соединения счетчика с TH определять расчетным путем, если известны параметры проводной линии связи и сила электрического тока, протекающего через линию связи.
-
8.10.1 Проверка устройства синхронизации системного времени УСВ-2.
Включают радиочасы «МИР РЧ-01», принимающие сигналы спутниковой навигационной системы Global Positioning System (GPS), и сверяют показания радиочасов с показаниями часов УСПД, получающего сигналы точного времени от УСВ-2, установленного на уровне ИВК. Расхождение показаний радиочасов с часами УСПД не должно превышать значения, указанного в описании типа системы. Для снятия синхронизированных измерений рекомендуется использовать одновременное фотографирование экранов поверяемого и поверительного оборудования.
-
8.10.2 Проверка устройства синхронизации системного времени УСВ-3.
Включают радиочасы «МИР РЧ-01», принимающие сигналы спутниковой навигационной системы Global Positioning System (GPS), и сверяют показания радиочасов с показаниями часов сервера АО «Атомэнергопромсбыт», получающего сигналы точного времени от УСВ-3, установленного на уровне ИВК. Расхождение показаний радиочасов с часами сервера АО «Атомэнергопромсбыт» не должно превышать значения, указанного в описании типа системы. Для снятия синхронизированных измерений рекомендуется использовать одновременное фотографирование экранов поверяемого и поверительного оборудования.
-
8.10.3 Распечатывают журнал событий счетчика, сервера, расположенного в ЦСОИ ФГУП «Горно-химический комбинат» (ФГУП «ГХК») и УСПД выделив события, соответствующие сличению часов корректируемого и корректирующего устройств. Расхождение времени часов - указанных устройств в момент, предшествующий корректировке, не должно превышать предела допускаемого расхождения, указанного в описании типа АИИС КУЭ.
Операция проверки отсутствия ошибок информационного обмена предусматривает экспериментальное подтверждение идентичности числовой измерительной информации в счетчиках электрической энергии (исходная информация), и памяти центрального сервера.
В момент проверки все технические средства, входящие в проверяемый ИК, должны быть включены.
-
8.11.1 На центральном компьютере (сервере) АИИС КУЭ распечатывают значения активной и реактивной электрической энергии, зарегистрированные с 30-ти минутным интервалом за полные предшествующие дню проверки сутки по всем ИК. Проверяют наличие данных, соответствующих каждому 30-ти минутному интервалу времени. Пропуск данных не допускается за исключением случаев, когда этот пропуск был обусловлен отключением ИК или устраненным отказом какого-либо компонента АИИС КУЭ.
-
8.11.2 Распечатывают журнал событий счетчика, УСПД и сервера АИИС КУЭ и отмечают моменты нарушения связи между измерительными компонентами АИИС КУЭ. Проверяют сохранность измерительной информации в памяти УСПД и сервера на тех интервалах времени, в течение которого была нарушена связь.
-
8.11.3 Распечатывают на центральном компьютере (сервере) профиль нагрузки за полные сутки, предшествующие дню поверки. Используя переносной компьютер, считывают через оптопорт профиль нагрузки за те же сутки, хранящийся в памяти счетчика. Различие значений активной (реактивной) мощности, хранящейся в памяти счетчика (с учетом коэффициентов трансформации измерительных трансформаторов) и базе данных центрального сервера не должно превышать двух единиц младшего разряда учтенного значения.
-
8.11.4 Рекомендуется вместе с проверкой по п. 8.11.3 сличать показания счетчика по активной и реактивной электрической энергии строго в конце получаса (часа) и сравнивать с данными, зарегистрированными в центральном компьютере (сервере) АИИС КУЭ для того же момента времени. Для этого визуально или с помощью переносного компьютера через оптопорт считывают показания счетчика по активной и реактивной электрической энергии и сравнивают эти данные (с учетом коэффициентов трансформации измерительных трансформаторов), с показаниями, зарегистрированными в центральном компьютере (сервере) АИИС КУЭ. Расхождение не должно превышать две единицы младшего разряда.
-
8.12.1 Расчетными методами проверяют правильность значений характеристик погрешности измерительных каналов АИИС КУЭ, указанных в проекте описания типа АИИС КУЭ для государственного реестра средств измерений.
-
8.12.2 Границы интервала основной погрешности измерительного канала (ИК) электроэнергии рассчитывают для вероятности Р=0,95 для нормальных условий.
-
8.12.3 Границы интервала основной относительной погрешности ИК активной электроэнергии вычисляют по формуле (1):
^ИКОА = ^ТТ + $ТН + ^0 А + ^л + ^ос
где 3ИКОА - границы интервала основной относительной погрешности ИК активной электроэнергии в % для вероятности 0,95;
8п - предел допускаемой относительной погрешности по амплитуде трансформатора тока (ТТ) в %;
8ТН -предел допускаемой относительной погрешности по амплитуде трансформатора напряжения (TH) в %;
8в А - границы интервала относительной погрешности измерения активной электроэнергии обусловленной угловыми погрешностями измерительных трансформаторов в %;
8Л - предел допускаемой относительной погрешности, обусловленной потерями напряжения в линии связи между TH и счетчиком в %;
50с - предел допускаемой основной относительной погрешности счетчика электроэнергии в %.
Границы интервала суммарной абсолютной угловой погрешности О в минутах и границы интервала относительной погрешности ЗвА^ % определяются по формулам:
e = &
6вА =0,029 -O-tgcp (3)
где 9, и В,, - пределы допускаемых угловых погрешностей ТТ и TH в минутах, соответственно;
(р- угол сдвига между векторами первичных тока и напряжения в градусах.
-
8.12.4 Границы интервала погрешности ИК в рабочих условиях эксплуатации рассчитывают для вероятности 0,95. В качестве рабочих условий используют данные, указанные в МИ 2999, либо предусмотренные технической документацией на систему.
-
8.12.5 Границы интервала относительной погрешности ИК активной электроэнергии в рабочих условиях вычисляют по формуле (4):
^ик?А = ±М'^ + $е\+$л + $ос + X
где 8ИК? - границы интервала относительной погрешности ИК активной электроэнергии в % для вероятности 0,95;
Srr’$тн ’^вА’^л’$ос ~ те же величины, что и в формуле 1;
- предел относительной допускаемой дополнительной погрешности счетчика электроэнергии в рабочих условиях от i - ой влияющей величины;
ш - общее число влияющих величин.
-
8.12.6 Границы интервала основной относительной погрешности ИК реактивной электроэнергии вычисляют по формуле (5):
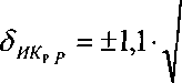
^ик0Р = ±U• 7 ^тт+^тн+^е?+^л+^ос (5)
где 8ИКо — границы интервала основной относительной погрешности ИК реактивной электроэнергии в % для вероятности 0,95;
с
вр - границы интервала относительной погрешности измерения реактивной электроэнергии, обусловленной угловыми погрешностями измерительных трансформаторов в %;
8вр =0,029 -6 -ctgO (6)
Остальные величины в формулах (5) и (6) те же, что в формулах (1) и (3).
-
8.12.7 Границы интервала относительной погрешности ИК реактивной электроэнергии в рабочих условиях вычисляют по формуле (7)

m
$ТТ + ^ТН +^0Р+^Л + ^ОС + X ^доп, СО
i=l
где все величины те же, что в формулах (1), (3), (4) и (6).
Примечание - Формулы (1), (4), (5) и (7) даны для случая, когда отклонение внешних влияющих величин от нормальных значений вызывает дополнительные погрешности только у счетчика электроэнергии, а составляющими погрешности измерения электроэнергии, обусловленными погрешностью задания интервала времени интегрирования электрической мощности, погрешностью передачи информации по ГОСТ 4.199, погрешностью обработки данных, можно пренебречь.
9 ПОДТВЕРЖДЕНИЕ СООТВЕТСТВИЯ ПРОГРАММНОГО ОБЕСПЕЧЕНИЯ-
9.1 Проводится проверка соответствия заявленных идентификационных данных программного обеспечения указанных в описании типа:
-
- наименование программного обеспечения;
-
- идентификационное наименование программного обеспечения;
-
- номер версии (идентификационный номер) программного обеспечения;
-
- цифровой идентификатор программного обеспечения (контрольная сумма исполняемого кода);
-
- алгоритм вычисления цифрового идентификатора программного обеспечения.
-
9.2 Проверка выполняется в соответствии с Р 50.2.077-2014 «ГСП. Испытания средств измерений в целях утверждения типа. Проверка защиты программного обеспечения» и ГОСТ Р 8.654-2015 «ГСП. Требования к программному обеспечению средств измерений. Основные положения».
-
9.2.1 Проверка документации в части программного обеспечения.
-
На испытания представляется документация на программное обеспечение: Руководство пользователя. Представленная техническая документация должна соответствовать ГОСТ Р 8.654-2015 «ГСП. Требования к программному обеспечению средств измерений. Основные положения».
-
9.2.2 Проверка идентификации программного обеспечения АПИС КУЭ
Убедиться, что идентификационное наименование и номер версии программного обеспечения соответствует заявленным (наименование ПО и его версия определяются после загрузки ПО в разделе «справка»).
Результат испытаний считать положительным, если Идентификационное наименование и номер версии программного обеспечения соответствует заявленному.
-
9.2.3 Проверка цифрового идентификатора программного обеспечения
На выделенных модулях ПО проверить Цифровые идентификаторы (например, с помощью программы Unreal Commander или FSUMM). Алгоритм вычисления цифрового идентификатора - MD5. Контрольные суммы исполняемого кода предоставляются Заказчиком на каждый выделяемый модуль ПО.
Проверка Цифрового идентификатора программного обеспечения происходит на ИВК (сервере), где установлено ПО «Пирамида 2000» и ПК «Энергосфера». Запустить менеджер файлов, позволяющий производить хэширование файлов или специализированное ПО, предоставляемое разработчиком. В менеджере файлов, необходимо открыть каталог и выделить файлы, указанные в проекте описания типа на АПИС КУЭ. Далее, запустив соответствующую программу, просчитать хэш. Получившиеся файлы в количестве, соответствующем выделенным файлам, содержат код MD5 в текстовом формате. Наименование файла MD5 строго соответствует наименованию файла, для которого проводилось хэширование.
Сведения об идентификационных данных (признаках) ПО СИ и методах его идентификации вносят в протокол испытаний в виде, представленном в таблице 3.
Таблица 3 - Форма для внесения сведений об идентификационных данных ПО
|
Идентификационные признаки |
Значение |
|
Идентификационное наименование ПО | |
|
Номер версии (идентификационный номер) ПО | |
|
Цифровой идентификатор ПО | |
|
Алгоритм вычисления цифрового идентификатора ПО |
Метрологические характеристики ИК АПИС КУЭ, указанные в таблицах А.2 и А.З нормированы с учетом ПО.
-
9.2.4 Проверка уровня защиты программного обеспечения от непреднамеренных и преднамеренных изменений.
-
9.2.4.1 Проверку уровня защиты ПО СИ от непреднамеренных и преднамеренных изменений (уровни низкий, средний, высокий) проводят на основании результатов исследований ПО СИ, выполненных по пп. 9.2.2-9.2.3, при этом учитывают необходимость применения специальных средств защиты метрологически значимой части ПО СИ и измеренных данных от преднамеренных изменений (см. таблицу 4).
-
Таблица 4 - Уровни защиты ПО СИ
|
Уровень защиты ПО СИ от непреднамеренных и преднамеренных изменений |
Описание |
|
низкий |
Не требуется специальных средств защиты метрологически значимой части ПО СИ и измеренных данных от преднамеренных изменений. |
|
средний |
Метрологически значимая часть ПО СИ и измеренные данные недостаточно защищены с помощью специальных средств защиты от преднамеренных изменений. |
|
высокий |
Метрологически значимая часть ПО СИ и измеренные данные достаточно защищены с помощью специальных средств защиты от преднамеренных изменений. |
-
9.2.4.2 Проверка защиты метрологически значимой части ПО СИ и измеренных данных от случайных или непреднамеренных изменений.
-
- на основе анализа документации определяется наличие (отсутствие) средств защиты метрологически значимой части ПО СИ и измеренных данных от изменения или удаления в случае возникновения непредсказуемых физических воздействий (например, наличие энергонезависимой памяти для хранения измеренных данных);
-
- на основе функциональных проверок, имитирующих непредсказуемые физические воздействия, убеждаются в действии средств защиты метрологически значимой части ПО СИ и измеренных данных от изменения или удаления в случае возникновения непредсказуемых физических воздействий;
-
- на основе анализа документации и проведения функциональных проверок, имитирующих различного рода ошибки или иные изменения случайного или непреднамеренного характера, проверяется их обнаружение и фиксация в журнале(ах) событий.
-
9.2.4.3 Проверка защиты метрологически значимой части ПО СИ и измеренных данных от преднамеренных изменений.
-
- проверка наличия специальных средств защиты метрологически значимой части ПО СИ и измеренных данных от преднамеренных изменений;
-
- проверка фиксации в журнале событий действий, связанных с обновлением (загрузкой) метрологически значимой части ПО СИ, изменением или удалением измеренных данных в памяти СИ, изменением параметров ПО СИ, участвующих в вычислениях и влияющих на результат измерений;
-
- проведение функциональных проверок, имитирующих наступление событий, подлежащих обнаружению и фиксации в журнале событий ПО СИ;
-
- проверка невозможности искажения либо несанкционированного удаления данных журнала событий без нарушения защиты иных средств защиты метрологически значимой части ПО СИ и измеренных данных от преднамеренных изменений;
-
- проверка соответствия полномочий пользователей, имеющих различные права доступа к функциям метрологически значимой части ПО СИ и измеренным данным;
-
- проверка наличия в конструкции СИ обеспечения защиты запоминающего устройства от несанкционированной замены.
-
9.2.4.4 Сведения о защите метрологически значимой части ПО СИ и измеренных данных от случайных или непреднамеренных изменений, о защите метрологические значимой части ПО СИ и измеренных данных от преднамеренных изменений, и об уровне защиты ПО СИ от непреднамеренных и преднамеренных изменений вносят в протокол испытаний.
На ИВК распечатывают данные по любому измерительному каналу за предыдущие сутки, выключают ИВК. Через 5 мин включают ИВК, распечатывают данные по этому же каналу за предыдущие сутки и сравнивают с ранее распечатанными данными, при этом данные должны быть идентичны.
На ИВК производят попытку удаления любого файла, вносимого в таблицу 3. при этом на экран монитора ИВК должно выдаваться сообщение о невозможности удаления файла.
-
9.2.4.5 Проверка уровня защиты ПО АНИС КУЭ от преднамеренных изменений:
-
- на ИВК производят попытку введения заведомо неверного пароля, при этом на экран ИВК должно выдаваться сообщение о невозможности доступа к программе;
-
- на ИВК производят копирование программ, вносимых в таблицу 3. С помощью редактора искажают содержимое 2-4 байта скопированных файлов, рассчитывают новое значение контрольных сумм измененных файлов, которое должно отличаться от внесенных в таблицу 3;
-
- на ИВК производят попытку замены файла на модифицированный, при этом на экран ИВК должно выдаваться сообщение о невозможности замены файла.
Результат проверки считается положительным, если выполняются требования настоящего пункта.
10 ОФОРМЛЕНИЕ РЕЗУЛЬТАТОВ ПОВЕРКИ-
10.1 На основании положительных результатов по пунктам раздела 8 выписывают свидетельство о поверке АИИС КУЭ в соответствии с Приказом Министерства промышленности и торговли РФ от 02 июля 2015г. №1815 «Об утверждении Порядка проведения поверки средств измерений, требований к знаку поверки и содержанию свидетельства о поверке». В приложении к свидетельству указывают перечень ИК.
-
10.2 При отрицательных результатах поверки АИИС КУЭ признается негодной к дать-нейшей эксплуатации и на нее выдают извещение о непригодности в соответствии с Приказом Министерства промышленности и торговли РФ от 02 июля 2015г. №1815 «Об утверждении Порядка проведения поверки средств измерений, требований к знаку’ поверки и содержанию свидетельства о поверке» с указанием причин.
Разработал:
Инженер по метрологии ФБУ «Курский ЦСМ»

А.Н. Андрющенко


Таблица А. 1 Состав 1-го, 2-го и 3-го уровней ИК АИИС КУЭ
3
4
|
Номер ИК на однолинейной схеме i |
Измерительные компоненты | ||||||
|
Наименование точки измерений |
тт |
TH |
Счётчик |
УСПД |
Сервер |
Вид электроэнергии | |
|
2 |
3 |
4 |
5 |
6 |
7 |
8 |
9 |
|
1.4 |
11-0 110/35/6 кВ, РУ-6 кВ 1 СШ, яч. №05 |
тпол-ю Кл.т. 0,5 600/5 Зав. № 11076 Зав. № 18996 |
СЭТ-4ТМ.03М.01 Кл.т. 0,5S/l,0 Зав. №0806111283 |
активная реактивная | |||
|
1.5 |
П-0 110/35/6 кВ, РУ-6 кВ 1 СШ, яч. №06 |
ТПЛ-10-М Кл.т. 0,5 300/5 Зав. № 3843 Зав. № 3844 |
НТМИ-6-66 Кл.т. 0,5 6000/100 Зав. № 2878 |
СЭТ-4ТМ.03М.01 Кл.т. 0,5S/l,0 Зав. № 0806111388 |
СИКОН С70 |
ИВК «икм-Пирамида» Зав. № 406 |
активная реактивная |
|
1.6 |
11-0 110/35/6 кВ, РУ-6 кВ 1 СШ, яч. №07 |
ТИФ Кл.т. 0,5 400/5 Зав. № 139677 Зав. № 141856 |
СЭТ-4ТМ.03М.01 Кл.т. 0,5S/l,0 Зав. №0805114172 |
Зав. № 05952 |
HP Proliant DL180 G6 Зав. № CZJ033031L |
активная реактивная | |
|
1.7 |
П-0 110/35/6 кВ, РУ-6 кВ 2 СШ, яч. №22 |
ТПФ Кл.т. 0,5 400/5 Зав. № 143079 Зав. № 165843 |
НТМИ-6-66 Кл.т. 0,5 6000/100 Зав. № 1713 |
СЭТ-4ТМ.03М.01 Кл.т. 0,5S/l,0 Зав. №0806111395 |
активная реактивная | ||
1Тродолжение таблипыЛ. 1
1
5
6
7
8
9
|
2 |
3 |
4 |
5 |
|
1.8 |
Г1-0 110/35/6 кВ, РУ-6 кВ 2 СШ, яч. №23 |
тпл-ю-м Кл.т. 0,5 400/5 Зав. №4016 Зав. №4015 | |
|
1.9 |
11-0 110/35/6 кВ, РУ-6 кВ 2 СШ, яч. №25 |
ТПФ Кл.т. 0,5 400/5 Зав. № 162449 Зав. № 141529 |
ПТМИ-6-66 Кл.т. 0,5 6000/100 Зав. № 1713 |
|
1.10 |
11-0 110/35/6 кВ, РУ-6 кВ 2 СШ, яч. №27 |
ТПФ Кл.т. 0,5 400/5 Зав. № 164933 Зав. № 142435 | |
|
1.11 |
П-0 110/35/6 кВ, РУ-6 кВ 3 СШ, яч. №41 |
ТВЛМ-10 Кл.т. 0,5 600/5 Зав. № 46542 Зав. №41092 | |
|
1.12 |
П-0 110/35/6 кВ, РУ-6 кВ 3 СШ, яч. №39 |
ТВЛМ-10 Кл.т. 0,5 600/5 Зав. № 50545 Зав. № 74216 |
НТМИ-6-66 Кл.т. 0,5 6000/100 Зав. № 2693 |
|
1.13 |
П-0 110/35/6 кВ, РУ-6 кВ 3 СШ, яч. №42 |
ТВК-10 Кл.т. 0,5 400/5 Зав. № 06489 Зав. № 06468 |
|
6 | |
|
СЭТ-4ТМ.03М.01 Кл.т. 0,5S/l,0 Зав. №0806111409 | |
|
СЭТ-4ТМ.03М.01 Кл.т. 0,5S/l,0 Зав. № 0806111280 | |
|
СЭТ-4ТМ.03М.01 Кл.т. 0,5S/l,0 Зав. №0806111496 | |
|
СЭТ-4ТМ.03М.01 Кл.т. 0,5S/l,0 Зав. №0806111332 | |
|
СЭТ-4ТМ.03М.01 Кл.т. 0,5S/l,0 Зав. №0806111353 | |
|
СЭТ-4ТМ.03М.01 Кл.т. 0,5S/l,0 Зав. № 0805114017 |
СИКОН
С70 Зав. №
05952
ивк «икм-Пирамида» Зав. № 406
HP Proliant
DL180 G6
Зав. №
CZJO33O31L
активная реактивная
активная
реактивная
активная
реактивная
активная реактивная
активная
реактивная
активная реактивная
Продолжение таблицы Л.1
|
1 |
2 |
3 |
4 |
5 |
|
и |
1.14 |
П-0 110/35/6 кВ, РУ-6 кВ 4 СШ, яч. №49 |
тол-сэщ-ю Кл.т. 0,5S 600/5 Зав. № 43354 Зав. № 16761 |
ЗНОЛ.06-10 Кл.т. 0,5 10000:^3/100:л/3 |
|
12 |
1.15 |
П-0 110/35/6 кВ, РУ-6 кВ 4 СШ, яч. №50 |
ТОЛ-СЭЩ-Ю Кл.т. 0,5 400/5 Зав. № 8374 Зав. № 8375 |
Зав. № 2000369 Зав. № 2000370 Зав. №2000358 |
|
13 |
1.16 |
РТП-131 6/0,4 кВ, РУ-6 кВ 1 СШ, яч.№6 |
ТЛМ-10 Кл.т. 0,5 150/5 Зав. № 6200 Зав. № 1621 |
НТМИ-6-66 Кл.т. 0,5 6000/100 Зав. № 11500 |
|
14 |
1.17 |
РТП-131 6/0,4 кВ, РУ-6 кВ 2 СШ, яч.№12 |
ТЛМ-10 Кл.т. 0,5 150/5 Зав. №6175 Зав. № 7270 |
НТМИ-6-66 Кл.т. 0,5 6000/100 Зав. № Т119 |
|
15 |
1.18 |
РГ1-138 6/0,4 кВ, РУ-6 кВ 1 СШ, яч.№3 |
ГИЛ-10 Кл.т. 0,5 100/5 Зав. № 1638 Зав. № 16229 |
НТМИ-6 Кл.т. 0,5 6000/100 Зав. № 456 |
|
6 |
7 |
8 |
9 | |
|
Меркурий 230 ART-00 PQRSIDN Кл.т. 0,5S/l,0 Зав. № 16838145 |
СИКОН С70 Зав. № 05952 |
ивк «икм-Пирамида» Зав. № 406 HP Proliant DL180 G6 Зав. № CZJO33O31L |
активная реактивная | |
|
Меркурий 230 ART-00 PQRSIDN Кл.т. 0,5S/l,0 Зав. № 16834827 |
активная реактивная | |||
|
СЭТ-4ТМ.03М.01 Кл.т. 0,5S/l,0 Зав. №0806111421 |
— |
активная реактивная | ||
|
СЭТ-4ТМ.03М.01 Кл.т. 0,5S/l,0 Зав. №0806111297 |
— |
активная реактивная | ||
|
СЭТ-4ТМ.03М.01 Кл.т. 0,5S/l,0 Зав. №0806111545 |
— |
активная реактивная |
11родолженис габлицы Л. 1
|
1 |
2 |
3 |
4 |
5 |
|
16 |
1.19 |
Р11-138 6/0,4 кВ, РУ-6 кВ 2 СШ, яч.№17 |
ТПЛ-10 Кл.т. 0,5 100/5 Зав. № 3359 Зав. № 14162 |
НТМИ-6 Кл.т. 0,5 6000/100 Зав. №2951 |
|
ТН-289 |
ТПЛ-10 Кл.т. 0,5 75/5 Зав. №0915 Зав. № 0907 |
НТМИ-6 | ||
|
17 |
1.20 |
6/0,4кВ, РУ-6 |
Кл.т. 0,5 | |
|
кВ СШ 6кВ, яч.№2 |
6000/100 Зав. № 10431 | |||
|
P1I-138 |
ТПЛ-10 Кл.т. 0,5 200/5 Зав. № 4435 Зав. № 4600 |
НТМИ-6 | ||
|
18 |
1.21 |
6/0,4кВ, РУ-6 |
Кл.т. 0,5 | |
|
кВ 2 СШ, яч.№15 |
6000/100 Зав. №2951 | |||
|
ТОЛ-35 |
3HOM-35-65 | |||
|
П-5 110/35/6 |
Кл.т. 0,5S |
Кл.т. 0,5 | ||
|
1.22 |
кВ, ОРУ-35кВ |
150/5 |
35000:^3/ 100:^3 | |
|
I ч |
1 СШ, яч. ВИТ- |
Зав. № 994 |
Зав. № 1096179 | |
|
50 |
Зав. № 993 |
Зав. № 1097523 | ||
|
Зав. № 989 |
Зав. № 1090055 | |||
|
20 |
1.23 |
11-5 110/35/6 кВ, РУ-6 кВ 3 СШ, яч.39 |
ТПЛ-10 Кл.т. 0,5 150/5 Зав. № 6196 Зав. № 14960 |
НТМИ-6 Кл.т. 0,5 6000/100 Зав. №917 |
|
6 |
7 |
8 |
9 | |
|
СЭТ-4ТМ.03М.01 Кл.т. 0,5S/l,0 Зав. №0806111054 |
— |
ивк «икм-Пирамида» Зав. № 406 HP Proliant DL180 G6 Зав. № CZJ033031L |
активная реактивная | |
|
СЭТ-4ТМ.03М.01 Кл.т. 0,5S/l,0 Зав. №0806111973 |
— |
активная реактивная | ||
|
СЭТ-4ТМ.03М.01 Кл.т. 0,5S/l,0 Зав. №0806111983 |
— |
активная реактивная | ||
|
СЭТ-4ТМ.03М.01 Кл.т. 0,5S/l,0 Зав. №0806111337 |
— |
активная реактивная | ||
|
СЭТ-4ТМ.03М.01 Кл.т. 0,5S/l,0 Зав. № 0806111295 |
— |
активная реактивная |
Продолжение таблицы АЛ_________
|
1 |
2 |
3 |
4 |
5 |
|
21 |
1.24 |
П-0 110/35/6кВ, РУ-6 кВ 1 СШ, яч.№02 |
тпол-ю Кл.т. 0,5 600/5 Зав. № 7505 Зав. № 2089 |
НТМИ-6-66 Кл.т. 0,5 |
|
22 |
1.25 |
П-0 110/35/6кВ, РУ-6 кВ 1 СШ, яч.№04 |
ТИОЛ-10 Кл.т. 0,5 600/5 Зав. №4153 Зав. № 2166 |
6000/100 Зав. № 2878 |
|
23 |
1.26 |
П-0 110/35/6кВ, РУ-6 кВ 2 СШ, яч.№24 |
ТИОЛ-10 Кл.т. 0,5 600/5 Зав. №7912 Зав. № 1521 |
НТМИ-6-66 Кл.т. 0,5 6000/100 Зав. № 1713 |
|
24 |
1.27 |
П-0 110/35/6кВ, РУ-6 кВ 3 СШ, яч.№35 |
ТВЛМ-10 Кл.т. 0,5 600/5 Зав. № 50546 Зав. № 74232 |
НТМИ-6-66 Кл.т. 0,5 6000/100 Зав. № 2693 |
|
25 |
1.28 |
PT1I-214 6/0,4кВ. РУ-0,4 кВ 1 СШ, яч№18 |
ТШП-0,66 Кл.т. 0,5S 300/5 Зав. № 1052164 Зав. № 1051177 Зав. № 1052153 |
— |
|
6 |
7 |
8 |
9 | |
|
СЭТ-4ТМ.03М.01 Кл.т. 0,5S/l,0 Зав. № 0806111437 |
СИКОН С70 Зав. № 05952 |
ивк «икм-Пирамида» Зав. № 406 ИР Proliant DL180 G6 Зав. № CZJO33O31L |
активная реактивная | |
|
СЭТ-4ТМ.03М.01 Кл.т. 0,5S/l,0 Зав. № 0806111033 |
активная реактивная | |||
|
СЭТ-4ТМ.03М.01 Кл.т. 0,5S/l,0 Зав. №0806111980 |
активная реактивная | |||
|
СЭТ-4ТМ.03М.01 Кл.т. 0,5S/l,0 Зав. № 0806111455 |
активная реактивная | |||
|
ПСЧ-4ТМ.05М.17 Кл.т. 0,5S/l,0 Зав. №0607110876 |
— |
активная реактивная |
11родолжение таблицы A.l
|
3 |
4 |
5 | |
|
1.29 |
ВРУ-0,4 кВ здания ул.Ленина, 54А, ввод от яч.З РТП-217 6/0,4 кВ |
— |
— |
|
1.30 |
ВРУ-0,4 кВ здания ул.Ленина, 54А, ввод от яч.11 РТП-217 6/0,4 кВ |
— |
— |
|
1.31 |
Т11-842 6/0,4кВ, РУ-0,4кВ 2 СШ, руб. №15 |
Т'ГИ Кл.т. 0,5 100/5 Зав. № Y5238 Зав. № Y5244 Зав. № Y5245 |
— |
|
1.32 |
П-9 110/бкВ, РУ-6 кВ 1 СШ, ян. №8 |
ТВ Л М-10 Кл.т. 0,5 200/5 Зав. № 64538 Зав. № 15273 |
НТМИ-6-66 Кл.т. 0,5 6000/100 Зав. № Г1ТТУР |
|
1.33 |
П-9 110/бкВ, РУ-6 кВ 3 СШ, яч. №24 |
ТВЛМ-10 Кл.т. 0,5 400/5 Зав. № 10548 Зав. № 10566 |
НТМИ-6-66 Кл.т. 0,5 6000/100 Зав. № ТРА |
|
ПСЧ-ЗТМ.05М.05 Кл.т. 1,0/2,0 Зав. №0704111731 |
— | |
|
ПСЧ-ЗТМ.О5М.О5 Кл.т. 1,0/2,0 Зав. №0706110305 |
— | |
|
ПСЧ-4ТМ.05М.17 Кл.т. 0,5S/l,0 Зав. №0607112873 |
— | |
|
СЭТ-4ТМ.03М.01 Кл.т. 0,5S/l,0 Зав. №0806111350 |
СИКОН С70 Зав. № 05953 | |
|
СЭТ-4ТМ.03М.01 Кл.т. 0,5S/l,0 Зав. №0806111385 |
ИВК «ИКМ-Пирамида» Зав. № 406
HP Proliant DL180 G6 Зав. № CZJ033031L
активная
реактивная
активная
реактивная
активная реактивная
активная
реактивная
активная
реактивная
|
Продолжение таблицы А. |
1 | ||
|
2 |
3 |
4 |
5 |
|
1.34 |
П-19 110/бкВ, РУ-6 кВ 1 СШ, яч. №22 |
ТПЛ-10 Кл.т. 0,5 150/5 Зав. №6010 Зав. № 23595 |
НТМИ-6 Кл.т. 0,5 6000/100 Зав. №312 |
|
1.35 |
П-19 110/бкВ, РУ-6 кВ 2 СШ, яч. №25 |
ТВЛМ-10 Кл.т. 0,5 150/5 Зав. № 75274 Зав. №73651 |
НТМИ-6 Кл.т. 0,5 6000/100 Зав. № 349 |
|
1.40 |
T1I-88 6/0,4 кВ, 2 с.ш. 0,4 кВ, ввод 'Г-2 |
ТШП-0,66 Кл.т. 0,5S 1500/5 Зав. № 1051659 Зав. № 1051658 Зав. № 1051663 |
— |
|
1.41 |
ВРУ-0,4 кВ магазина №30 "Русь" (ИП Васильцов В.К.) |
— |
— |
|
1.42 |
ШУ-1 0,4 кВ АЗС-23 |
— |
— |
|
6 |
7 |
8 |
9 | |
|
СЭТ-4ТМ.03М.01 Кл.т. 0,5S/l,0 Зав. №08061110622 |
— |
ивк «икм-Пирамида» Зав. № 406 HP Proliant DL180 G6 Зав. № CZJ033031L |
активная реактивная | |
|
СЭТ-4ТМ.03М.01 Кл.т. 0,5S/l,0 Зав. №0806111005 |
— |
активная реактивная | ||
|
ПСЧ-4ТМ.05М.17 Кл.т. 0,5S/l,0 Зав. №0607110785 |
— |
активная реактивная | ||
|
ПСЧ-ЗТМ.05М.05 Кл.т. 1,0/2,0 Зав. №0706110263 |
— |
активная реактивная | ||
|
ПСЧ-ЗТМ.05М.05 Кл.т. 1,0/2,0 Зав. №0706110326 |
— |
активная реактивная |
Продолжение таблицы А.1
|
1 |
......... 1 |
3 |
4 |
5 |
|
36 |
1.43 |
Т11-303 6/0,4кВ, ввод 0,4кВ Т-1 |
ТШП-0,66 Кл.г. 0,5S 600/5 Зав. № 1040224 Зав. № 1054307 Зав. № 1054306 |
— |
|
37 |
1.44 |
ГН-302 6/0,4кВ, ввод 0,4кВТ-1 |
ТШГ1-0,66 Кл.т. 0,5S 600/5 Зав. № 1039340 Зав. № 1039342 Зав. № 1040222 |
— |
|
38 |
1.45 |
ВРУ-0,4 кВ здания ул.Ленина, 54Г |
— |
— |
|
39 |
1.49 |
11омещение склад ЦСиП СП 1-1 0,4 кВ, авт.6 |
— |
— |
|
40 |
1.50 |
ВРУ-0,4 кВ ГК №28 |
— |
— |
|
41 |
1.51 |
Помещение склад ЦСиП С1Ц-1 0,4 кВ, авт.34 |
— |
— |
|
6 |
7 |
8 |
9 |
|
ПСЧ-4ТМ.05М.17 Кл.т. 0,5S/l,0 Зав. №0607110890 |
— |
ивк «икм-Пирамида» Зав. № 406 HP Proliant DL180 G6 Зав. № CZJ033031L |
активная реактивная |
|
Г1СЧ-4ТМ.05М.17 Кл.т. 0,5S/l,0 Зав. № 0607110771 |
— |
активная реактивная | |
|
ПСЧ-ЗТМ.05М.05 Кл.т. 1,0/2,0 Зав. №0706110319 |
— |
активная реактивная | |
|
ПСЧ-ЗТМ.О5М.О5 Кл.т. 1,0/2,0 Зав. №0704111661 |
— |
активная реактивная | |
|
ПСЧ-ЗТМ.05М.05 Кл.т. 1,0/2,0 Зав. №0704111675 |
— |
активная реактивная | |
|
ПСЧ-ЗТМ.05М.05 Кл.т. 1,0/2,0 Зав. №0704111753 |
— |
активная реактивная |
Продолжение таблицы А. 1
|
1 |
2 |
3 |
4 |
5 |
|
42 |
1.52 |
ВРУ-0,4 кВ ГК №53 |
— |
— |
|
43 |
1.53 |
ВРУ-0,4 кВ ГК №54/1 |
— |
— |
|
44 |
1.54 |
ВРУ-0,4 кВ ГК №54/2 |
— |
— |
|
45 |
1.55 |
ВРУ-0,4 кВ ГК №68 (М.А.Бобков) |
— |
— |
|
46 |
1.58 |
РЩ-1 0,4 кВ (об.310), с.ш. 0,4 кВ, АВ №6 |
— |
— |
|
47 |
1.60 |
ВРУ-0,4 кВ Г1ГК№104А- Ениссй |
— | |
|
48 |
1.61 |
ВРУ-0,4 кВ НГК "Локомотив" |
— |
— |
|
49 |
1.62 |
П-9 110/6кВ, РУ-6 кВ 3 СШ, яч. №24А |
ТЛМ-10 Кл.т. 0,5 1000/5 Зав. №6190 Зав. № 5839 |
НТМИ-6-66 Кл.т. 0,5 6000/100 Зав. № ТРА |
|
50 |
1.63 |
П-9 110/6кВ, РУ-6 кВ 4 СШ, яч. №23Б |
ТЛМ-10 Кл.т. 0,5 1000/5 Зав. № 2615 Зав. № 6202 |
НТМИ-6-66 Кл.т. 0,5 6000/100 Зав. № ПТХСТ |
|
6 |
7 |
8 |
9 | |
|
ПСЧ-ЗТМ.05М.05 Кл.т. 1,0/2,0 Зав. №0706110219 |
— |
ивк «икм-Пирамида» Зав. № 406 HP Proliant DI, 180 G6 Зав. № CZJ033031L |
активная реактивная | |
|
ПСЧ-ЗТМ.05М.05 Кл.т. 1,0/2,0 Зав. №0706110313 |
— |
активная реактивная | ||
|
ПСЧ-ЗТМ.05М.05 Кл.т. 1,0/2,0 Зав. №0706110320 |
— |
активная реактивная | ||
|
ПСЧ-ЗТМ.05М.05 Кл.т. 1,0/2,0 Зав. №0706110236 |
.— |
активная реактивная | ||
|
ПСЧ-ЗТМ.05М.05 Кл.т. 1,0/2,0 Зав. №0706110348 |
— |
активная реактивная | ||
|
ПСЧ-ЗТМ.05М.05 Кл.т. 1,0/2,0 Зав. №0706110347 |
— |
активная реактивная активная реактивная | ||
|
ПСЧ-ЗТМ.05М.05 Кл.т. 1,0/2,0 Зав. №0706110271 |
— | |||
|
СЭТ-4ТМ.03М.01 Кл.т. 0,5S/l,0 Зав. №0806111343 |
СИКОН С70 Зав. № 05953 |
ИВК «икм-Пирамида» Зав. № 406 HP Proliant DL180 G6 Зав. № CZJO33O31L |
активная реактивная | |
|
СЭТ-4ТМ.03М.01 Кл.т. 0,5S/l,0 Зав. № 0806111601 |
активная реактивная |
Продолжение таблицы Л.1
|
2 |
3 |
4 |
5 |
|
1.64 |
П-9 110/бкВ, РУ-6 кВ 1 СШ, яч. №37 |
ТОЛ-10-1 Кл.т. 0,5 1500/5 Зав. №58169 Зав. № 50216 |
НТМИ-6-66 Кл.т. 0,5 |
|
1.65 |
П-9 110/бкВ, РУ-6 кВ 1 СШ, яч. №39 |
ТЛМ-10 Кл.т. 0,5 600/5 Зав. №2182 Зав. № 1888 |
6000/100 Зав. № ПТТУР |
|
1.66 |
РУ-0,4 кВ здания ул.Ленина, 54, ввод от 1 с.ш. 0,4 кВ РТП-217 6/0,4 кВ |
ТШП-0,66 Кл.т. 0,5S 200/5 Зав. № 1051308 Зав. № 1051309 Зав. № 1051310 |
— |
|
1.67 |
РУ-0,4 кВ здания ул.Ленина, 54, ввод от 2 ели. 0,4 кВ РТП-217 6/0,4 кВ |
ТШП-0,66 Кл.т. 0,5S 200/5 Зав. № 1051302 Зав. № 1051303 Зав. № 1051304 |
— |
|
1.68 |
П-0 110/35/6 кВ, ОРУ ПОкВ, ВЛ с-290 |
ТФМ-110 Кл.т. 0,5 600/5 Зав. № 7901 Зав. № 7900 Зав. № 7899 |
НКФ110-83 Кл.т. 0,5 110000:д/3/100:^3 Зав. № 52901 Зав. № 57758 Зав. № 52860 |
|
6 |
7 |
8 |
9 | |
|
СЭТ-4ТМ.03М.01 Кл.т. 0,5S/l,0 Зав. №0806111323 |
СИКОН С70 Зав. № 05953 |
ивк «икм-Пирамида» Зав. № 406 HP Proliant DL180 G6 Зав. № CZJ033031L |
активная реактивная | |
|
СЭТ-4ТМ.03М.01 Кл.т. 0,5S/l,0 Зав. №0806111371 |
активная реактивная | |||
|
ПСЧ-4ТМ.05М.17 Кл.т. 0,5S/l,0 Зав. №0607110764 |
— |
активная реактивная | ||
|
ПСЧ-4ТМ.05М.17 Кл.т. 0,5S/l,0 Зав. №0607110792 |
— |
активная реактивная | ||
|
СЭТ-4ТМ.03М.01 Кл.т. 0,5S/l,0 Зав. №0806111945 |
СИКОН С70 Зав. № 05952 |
активная реактивная |
Продолжение таблшщА.1_______
|
1 2 3 |
4 |
5 |
|
П-0 110/35/6 56 1.71 кВ, РУ-6 кВ 2 СШ, яч. №21 |
ТИОЛ-10 Кл.т. 0,5 1500/5 Зав. № 3096 Зав. № 1470 |
НТМИ-6-66 Кл.т. 0,5 6000/100 Зав. № 1713 |
|
П-0 110/35/6 57 1.72 кВ, РУ-6 кВ 3 СШ. яч. №35Л |
ТИОЛ-10 Кл.т. 0,5 1500/5 Зав. № 2204 Зав. №2991 |
НТМИ-6-66 Кл.т. 0,5 6000/100 Зав. № 2693 |
|
6 |
7 |
8 |
9 | |
|
СЕ 303 Кл.т. 0,5S/l,0 Зав. № 009211069000014 |
СИКОН С70 Зав. № 05952 |
ивк «икм-Пирамида» Зав. № 406 HP Proliant DL180 G6 Зав. № CZJO33O31L |
активная реактивная | |
|
СЕ 303 Кл.т. 0,5S/l,0 Зав. № 009211069000224 |
активная реактивная |
Таблица А.2 — Метрологические характеристики ИК АИИС КУЭ (активная энергия)
|
Метрологические характеристики ИК | |||||||||
|
Номер ИК |
Диапазон тока |
Пределы допускаемой основной относительной по грешности, ( + 5),% |
Пределы допускаемой относительной погрешности в рабочих условиях, (±5),% | ||||||
|
coscp =1,0 |
coscp -0,9 |
coscp =0,8 |
coscp =0,5 |
coscp =1,0 |
coscp =0,9 |
coscp =0,8 |
coscp =0,5 | ||
|
ИК 12, 56, 57 |
Ihi<I,<1 ,2Тн] |
1,0 |
1,2 |
1,4 |
2,3 |
1,6 |
1,7 |
1,9 |
2,7 |
|
(ТТ 0,5; |
0,2 Thi<I]<Ihi |
1,2 |
1,4 |
1,7 |
3,0 |
1,7 |
1,9 |
2,2 |
3,3 |
|
TH 0,5; Сч 0,5S) |
0,05Thi<Ii<0,2Thi |
1,9 |
2,4 |
3,0 |
5,5 |
2,3 |
2,7 |
3,2 |
5,7 |
|
ИК 11 |
Ih]<Ii<1 ,2Thi |
1,0 |
1,2 |
1,4 |
2,3 |
1,6 |
1,7 |
1,9 |
2,7 |
|
(ТТ 0,5S; TH 0,5; Сч 0,5S) |
0,2Thi<I]<Ihi |
1,0 |
1,2 |
1,4 |
2,3 |
1,6 |
1,7 |
1,9 |
2,7 |
|
0,05Thi<Ii<0,2Thi |
1,2 |
1,5 |
1,8 |
3,2 |
1,7 |
2,0 |
2,2 |
3,5 | |
|
0,02Thi<Ii<0,05Thi |
2,1 |
2,6 |
3,1 |
5,5 |
2,5 |
2,9 |
3,3 |
5,7 | |
|
ИК 1-10, 13-18, го-24, 29-32, 49-52, 55 |
1н]<11<1,2Тн] |
1,0 |
1,2 |
1,4 |
2,3 |
1,6 |
1,7 |
1,9 |
2,7 |
|
0,2Тн]<1]<1н] |
1,2 |
1,4 |
1,7 |
3,0 |
1,7 |
1,9 |
2,2 |
3,3 | |
|
(ТТ 0,5; TH 0,5; Сч 0,5S) |
0,05 Тн]<1]<0,2Тн1 |
1,9 |
2,4 |
2,9 |
5,5 |
2,3 |
2,7 |
3,2 |
5,7 |
|
ИК 19 |
Ih]<Ii<1,2Thi |
1,0 |
1,2 |
1,4 |
2,3 |
1,6 |
1,7 |
1,9 |
2,7 |
|
(ТТ 0,5S; TH 0,5; Сч 0,5S) |
0,2Ihi<I]<Ihi |
1,0 |
1,2 |
1,4 |
2,3 |
1,6 |
1,7 |
1,9 |
2,7 |
|
0,05Тн]<11<0,2Тн1 |
1,2 |
1,4 |
1,7 |
3,0 |
1,7 |
1,9 |
2,2 |
3,3 | |
|
0,02 Ihi<Ii<0,05 Ihi |
2,1 |
2,6 |
3,1 |
5,5 |
2,5 |
2,9 |
3,3 |
5,7 | |
|
ИК 25,33, 36, 37, 53, 54 |
Ihi<Ii<1,2Ihi |
0,8 |
1,0 |
1,1 |
1,9 |
1,5 |
1,6 |
1,7 |
2,4 |
|
0,2Thi<I]<Ihi |
0,8 |
1,0 |
1,1 |
1,9 |
1,5 |
1,6 |
1,7 |
2,4 | |
|
(ТТ 0,5S; Сч 0,5S) |
0,05 • Ihi<Ii<0,2Thi |
1,0 |
1,3 |
1,5 |
2,7 |
1,6 |
1,8 |
2,0 |
3,1 |
|
0,02Th[<Ii<0,05Thi |
2,0 |
2,5 |
3,0 |
5,4 |
2,4 |
2,8 |
3,2 |
5,6 | |
|
ИК 28 |
Ihi<Ii<1 ,2Thj |
0,8 |
1,0 |
1,1 |
1,9 |
1,5 |
1,6 |
1,7 |
2,4 |
|
(ТТ 0,5; Сч 0,5S) |
0,2Ihi<Ii<Ih[ |
1,0 |
1,3 |
1,5 |
2,7 |
1,6 |
1,8 |
2,0 |
3,1 |
|
0,05Thi<I|<0,2Thi |
1,8 |
2,3 |
2,8 |
5,3 |
2,2 |
2,6 |
3,1 |
5,5 | |
|
' ИК26, 27, : 34,35,38- 48 |
Ih!<Ii<1,2Thi |
1,1 |
1,1 |
1-1 |
1,1 |
2,8 |
2,8 |
2,9 |
3,0 |
|
0,2Thi<I]<Ihi |
1,1 |
1.1 |
1,1 |
1,1 |
2,8 |
2,8 |
2,9 |
3,0 | |
|
I (Сч 1,0) |
0,05Ihi<Ii<0,2Ihi |
1,7 |
1.6 |
1,5 |
1,1 |
3,0 |
3,0 |
3,0 |
3,0 . |
Таблица А.З — Метрологические характеристики ИК АИИС КУЭ (реактивная энергия)
|
Номер ИК |
Диапазон тока |
Метрологические характеристики ИК | |||||
|
Пределы допускаемой основной относительной погрешности, (±3),% |
Пределы допускаемой относительной погрешности в рабочих условиях, (±3), % | ||||||
|
coscp =0,9 |
COS(p =0,8 |
COS(p =0,5 |
coscp =0,9 |
cos<p =0,8 |
coscp =0,5 | ||
|
ИК 12, 56, 57 |
Ihi<I]<1,2Th] |
2,8 |
2,1 |
1,6 |
4,2 |
3,8 |
3,4 |
|
(ТТ 0,5; TH 0,5; Сч 1,0) |
0,2Thi<Ii<Ihi |
3,6 |
2,6 |
1,8 |
4,8 |
4,1 |
3,5 |
|
0,05 • Ihi<Ii<0,2Thi |
6,6 |
4,6 |
2,8 |
7,3 |
5,6 |
4,1 | |
|
ИК И |
Ihi<Ii<1 ,2Thi |
2,8 |
2,1 |
1,6 |
4,2 |
3,8 |
3,4 |
|
0,2Thi<I]<Ihi |
2,8 |
2,1 |
1,6 |
4,2 |
3,8 |
3,4 | |
|
(ТТ 0,5S; TH 0,5; |
0,05Thi<Ii<0,2Th] |
3,9 |
2,8 |
1,9 |
5,0 |
4,2 |
3,6 |
|
Сч 1,0) |
0,02 Тн 1 <11 <0,05 Тн 1 |
6,6 |
4,6 |
3,0 |
7,3 |
5,6 |
4,2 |
|
ИК 1-10, 13-18, 20-24, 29-32, 49- |
Ihi<I]<1,2Th] |
2,8 |
2,1 |
1,6 |
4,2 |
3,8 |
3,4 |
|
52, 55 |
0,2Th]<I]<Ihi |
3,6 |
2,6 |
1,8 |
4,8 |
4,1 |
3,5 |
|
(ТТ0,5;ТН 0,5; Сч 1,0) |
0,05Thi<Ii<0,2Thi |
6,5 |
4,5 |
2,7 |
7,2 |
5,4 |
4,1 |
|
ИК 19 |
Ihi<Ii<1,2Thi |
2,8 |
2,1 |
1,6 |
4,2 |
3,8 |
3,4 |
|
0,2 Ihi<Ii<Ihi |
2,8 |
2,1 |
1,6 |
4,2 |
3,8 |
3,4 | |
|
(ТТ 0,5S; TH 0,5; |
0,05 Thi<Ii<0,2 Тн, |
3,6 |
2,6 |
1,8 |
4,8 |
4,1 |
3,5 |
|
Сч 1,0) |
0,02Thi<Ii<0,05Thi |
6,6 |
4,6 |
3,0 |
7,3 |
5,6 |
4,2 |
|
ИК 25,33,36, |
Ihi<Ii<1 ,2Thi |
2,4 |
1,8 |
1,4 |
4,0 |
3,6 |
3,3 |
|
37, 53,54 |
0,2Th]<Ii<Ihi |
2,4 |
1,8 |
1,4 |
4,0 |
3,6 |
3,3 |
|
0,054н1<11<0,2Тн1 |
3,3 |
2,4 |
1,7 |
4,6 |
3,9 |
3,4 | |
|
(ТТ 0,5S; Сч 1,0) |
0,02Thi<Ii<0,05Thi |
6,4 |
4,5 |
2,9 |
7,2 |
5,5 |
4,2 |
|
ИК28 |
Ihi<Ii<1,2Th] |
2,4 |
1,8 |
1,4 |
4,0 |
3,6 |
3,3 |
|
0,2Thj<Ii<Ihi |
3,3 |
2,4 |
1,7 |
4,6 |
3,9 |
3,4 | |
|
(ТТ 0,5; Сч 2,0) |
0,054н1<11<0,2Тн1 |
6,3 |
4,4 |
2,6 |
7,0 |
5,3 |
4,0 |
|
ИК 26, 27, 34, |
Ihi<Ii<1 ,2Thi |
2,2 |
2,2 |
2,2 |
5,6 |
5,5 |
5,3 |
|
35, 38-48 |
0,2Thi<I]<Ihi |
2,2 |
2,2 |
2,2 |
5,6 |
5,5 |
5,3 |
|
(Сч 2,0) |
0,05Thi<Ii<0,2Th] |
3,3 |
2,7 |
2,4 |
6,2 |
5,7 |
5,4 |
(обязательное)
Таблица Б.1 — Лист регистрации изменений ИК АНИС КУЭ
|
Наименование объекта |
Заменяемый ком понент |
Заменяющий компонент | ||
|
Тип |
Зав. номер |
Метрологические характеристики | ||
27
