Методика поверки «ГСИ.Датчики давления Метран-75» (МП 4212-023-2011)
1
государственный комитет российской федерации по стандартизации, метрологии и сертификацииВСЕРОССИЙСКИЙ НАУЧНО-ИССЛЕДОВАТЕЛЬСКИЙ ИНСТИТУТ МЕТРОЛОГИЧЕСКОЙ СЛУЖБЫ

В.Н.Яншин
2011 г.
РЕКОМЕНДАЦИЯ
Государственная система обеспечения единства измерений
Датчики давления Метран-75
МЕТОДИКА ПОВЕРКИ
МП 4212-023-2011
20Н
Настоящая рекомендация распространяется на датчики давления Метран-75, выпускаемые в соответствие с ГОСТ 22520-85 и по технической документации промышленной группы «МЕТРАН».
Датчики предназначены для непрерывного преобразования значений измеряемых величин давления абсолютного, давления избыточного, разрежения, давления-разрежения в выходной аналоговый сигнал постоянного тока (4...20)мА или (и) в выходной цифровой сигнал в стандарте протоколов HART.
Рекомендация устанавливает методику первичной и периодической поверок датчиков давления Метран-75.
1 ОПЕРАЦИИ ПОВЕРКИ
-
1.1 При проведении первичной и периодической поверок должны быть выполнены следующие операции:
Внешний осмотр - п. 5.1.
Опробование - п. 5.2.
Проверка идентификационных данных ПО - п.5.3
Определение основной погрешности датчика - п. 5.4
Определение вариации выходного сигнала - п. 5.5.
2 СРЕДСТВА ПОВЕРКИ
-
2.1 При проведении поверки применяют следующие эталонные средства и
вспомогательное оборудование, указанные в таблице 1.
Таблица 1
Наименование средства и поверки и обозначения НТД |
Основные метрологические и технические характеристики средства поверки |
Манометр абсолютного давления МПА-15 |
Пределы абсолютной допускаемой основной погрешности: ±6,65 Па в диапазоне 0...20 кПа; ±13,3 Па в диапазоне 20... 133 кПа. Пределы относительной допускаемой основной погрешности: ±0,01 % от действительного значения измеряемого давления в диапазоне: 133 кПа...400 кПа |
Микроманометр МКМ-4 |
Класс точности 0,01 Диапазон измерений 0,1...4,0 кПа |
Микроманометр МКВ-250 |
Пределы измерений О...2,5 кПа Абсолютная погрешность ±0,5 Па |
Рабочий эталон давления РЭД 2,5; Манометр грузопоршневой МП-2,5 1 разряда |
Пределы относительной допускаемой основной погрешности: ±0,005 %; ±0,01 % в диапазоне измерений 25 кПа...0,25 МПа |
Мановакууметр грузопоршневой МВП-2,5 по ГОСТ 8291-83 |
Пределы измерений избыточного давления 0..Д25 МПа; в т.ч. вакуумметрического давления 0...0,1 МПа; предел допускаемой основной погрешности: ±0,05 % |
Рабочий эталон давления РЭД 6; Манометр грузопоршневой МП-6 1 разряда |
Пределы допускаемой основной погрешности: ±0,005 %; ±0,01 %; ±0,02 % в диапазоне измерений 0,06...0,6 МПа |
Рабочий эталон давления РЭД 60; Манометр грузопоршневой МП-60 1 разряда |
Пределы допускаемой основной погрешности: ±0,005 %; ±0,02 % в диапазоне измерений 0,6...6 МПа |
Рабочий эталон давления РЭД 600; Манометр грузопоршневой МП-600 1 разряда |
Пределы допускаемой основной погрешности: ±0,005 %; ±0,02 % в диапазоне измерений 6...60 МПа |
Калибратор давления пневматический Метран-504 Воздух |
Верхние пределы измерений 4...400 кПа пределы допускаемой основной относительной погрешности ±0,015 % от измеряемого давления |
/Лал M1S/2O2. Мм/.
Продолжение таблицы 1
Калибратор давления пневматический Метран-506 Воздух |
Верхние пределы измерений 10... 1000 кПа, пределы допускаемой основной погрешности ±0,015 % от измеряемого давления |
Рабочий эталон давления РЭД 2500; Манометр грузо поршневой МП-2500 1 разряда |
Пределы допускаемой основной погрешности: ±0,005 %; ±0,01 %; ±0,02 % в диапазоне измерений 25...250 МПа |
Барометр М 67 |
Пределы измерений: 610-900 мм рт. ст. Погрешность измерений ±0,8 мм рт. ст. |
Вакуумметр теплоэлектрический ВТБ-1 |
Пределы измерений: 0,002-750 мм рт. ст. |
Образцовая катушка сопротивления Р331 |
Класс точности 0,005 Сопротивление 100 Ом |
Магазин сопротивлений Р 4831 |
Класс точности 0,02/2*10‘6 Сопротивление до 111111,1 Ом |
Цифровой вольтметр Щ 1516 |
Класс точности 0,015. Верхний предел измерений 5 В |
Потенциометр постоянного тока Р 363-1 |
Класс точности 0,001 Верхний предел измерений 2,121111 В |
Вольтметр универсальный Щ31 |
Пределы допускаемой основной погрешности ±0,015 % при измерении тока 5 мА |
Источник постоянного тока Б 5-8 |
Наибольшее значение напряжения 50 В. Допускаемые отклонения: ±0,5 % от установленного значения |
Термометр ртутный стеклянный лабораторный по ГОСТ 215-73 |
Предел измерений 0-55 °C. Цена деления шкалы 0,1 С. Предел допускаемой погрешности ±0,2 °C |
Манометр МТИ и вакуумметр ВТИ для точных измерений |
Классы точности 0,6 и 1. Пределы измерений от 0...0,1 до 0...160 МПа |
Разделительный сосуд |
- |
Стальной баллон малой и средней емкости по ГОСТ 949-73 с газообразным техническим азотом по ГОСТ 9293-74 |
- |
Газовый баллонный редуктор по ГОСТ 6268-78 |
- |
Запорные игольчатые вентили по ГОСТ 23230-78 |
- |
Модем HART/RS232 |
Датчик сигналов HART в сигналы интерфейса RS232 для связи датчика с персональным компьютером через его стандартный последовательный порт |
Портативный HART-коммуникатор «Метран-650» или НС-475 фирмы Rosemount |
Устройство для связи с датчиком по цифровому каналу и для обмена данными по HART-протоколу |
Персональный компьютер |
Компьютер под управлением Windows ХР и выше. Наличие USB порта |
Pressure Controller /Calibrator DHI PPC3-700K |
Избыточное и абсолютное давление от 3 до 700 кПа. Пределы допускаемой основной погрешности ±0,008 % от измеряемого давления |
Продолжение табл. 1
Pressure Controller 1/Calibrator DHIPPC-10M |
Избыточное и абсолютное давление от 10 кПа до ЮМПа. Пределы допускаемой основной погрешности ±0,008% от измеряемого давления |
Мера электрического сопротивления однозначная МС3050 |
Сопротивление 250 Ом. Класс точности 0,001 |
Мультиметр HP Agilent 34401А |
Пределы допускаемой погрешности ±0,006% |
-
2.2 Эталоны, применяемые при поверке, должны быть поверены и иметь действующие свидетельства о поверке. Вспомогательные средства измерений должны иметь действующее свидетельство о поверке или клеймо, удостоверяющее ее проведение.
-
2.3 Допускается применять средства поверки, не предусмотренные перечнем, приведенным в табл. 1, при условии обеспечения ими условий и проведения поверки в соответствии с разделами 4 и 5.
3 ТРЕБОВАНИЯ БЕЗОПАСНОСТИ
-
3.1. При проведении поверки должны быть соблюдены требования безопасности по работе с приборами для измерений давления и с электроизмерительными приборами, а также требования по безопасности эксплуатации применяемых средств поверки, указанных в НТД на эти средства.
-
4 УСЛОВИЯ ПОВЕРКИ И ПОДГОТОВКА К НЕЙ
-
4.1. При проведении поверки должны быть соблюдены следующие условия:
-
1) Температура окружающего воздуха, ° С : 23+2
-
2) Относительная влажность окружающего воздуха, %: 30... 80
-
3) Давление в помещении, где проводят поверку, (далее - атмосферное давление),
кПа (мм рт. ст.): 84... 106,7 (630...800)
-
4) Напряжение питания постоянного тока, В: 10.5.. .36
-
5) Сопротивление нагрузки, включая эталонное сопротивление, в соответствии с технической документацией на датчик.
Рабочая среда для датчиков с верхними пределами до 2,5 МПа включительно -воздух или нейтральный газ, более 2,5 МПа - жидкость; допускается использовать жидкость при поверке датчиков с верхними пределами измерений от 0,4 до 2,5 МПа при условии обеспечения тщательного заполнения системы жидкостью.
Допускается использовать воздух или нейтральный газ при поверке датчиков давления с верхними пределами измерений более 2,5 МПа при условии обеспечения соответствующих правил безопасности.
Колебания давления окружающего воздуха, вибрация, тряска, удары, наклоны, магнитные поля и другие возможные воздействия на датчик при его поверке не должны приводить к выходу за допускаемые значения метрологических характеристик.
Импульсную линию, через которую подают измеряемое давление, допускается соединять с дополнительными емкостями, вместимость каждой из которых должна
находиться в пределах от 1 до 50 литров.
Пульсация напряжения не должна превышать + 0,5% значения напряжения питания, если иное не указано в технической документации.
-
4.2. Перед проведением поверки должны быть выполнены следующие подготовительные работы:
-
- датчики должны быть выдержаны при температуре, указанной в п. 4.1, не менее 3 час, если иное не указано в технической документации;
-
- выдержка датчика перед началом испытаний после включения питания должна быть не менее 30 сек, если иное не указано в технической документации;
-
- датчики должны быть установлены в рабочее положение с соблюдением указаний в технической документации;
-
- система, состоящая из соединительных линий, эталона и вспомогательных устройств, необходимых для задания и передачи измеряемой величины, должна быть проверена на герметичность в соответствии с пп. 4.2.1 - 4.2.4.
-
4.2.1. Проверка герметичности системы для поверки датчиков давления, разрежения с верхними пределами измерений менее 0,1 МПа, абсолютного давления с верхними пределами измерения более 0,25 МПа приводится при значениях давления или разрежения, равных верхнему пределу измерений поверяемого датчика.
Проверку герметичности системы для поверки датчиков в интервале избыточного давления - разрежения проводят при давлении, равном верхнему пределу измерений избыточного давления.
Проверку герметичности системы для поверки датчиков в диапазоне разрежения с верхним пределом измерений 100 кПа проводят при разрежении, равном 0,9 - 0,95 значения атмосферного давления.
Проверку герметичности системы для поверки датчиков абсолютного давления с верхними пределами измерений менее 0,25 МПа проводят по методике и при давлении, указанных в п. 4.2.3.
-
4.2.2. При проверке герметичности системы, предназначенной для поверки датчиков, указанных в п. 4.2.1, на место поверяемого датчика устанавливают датчик, герметичность которого проверена, или любое другое средство измерений, имеющее погрешность (приведенную к значениям давления, указанным в п. 4.2.1) не более 2,5% и позволяющее заметить изменение давления на величину 0,5% заданного значения давления..
Далее создают давление, указанное в п. 4.2.1, и отключают источник давления. Если в качестве эталонного СИ применяют грузопоршневой манометр, его колонку и пресс также отключают.
Систему считают герметичной, если после трехминутной выдержки под давлением, равным верхнему пределу измерений, в течение последующих 2 мин. в ней не наблюдают падение давления (разрежения), если иное не указано в технической документации.
Допускается изменение давления (разрежения), обусловленное изменением температуры окружающего воздуха и изменением температуры измеряемой среды.
-
4.2.3. Проверку герметичности системы, предназначенной для поверки датчиков абсолютного давления с верхними пределами измерений 0,25 МПа и менее, осуществляют следующим образом, если иное не указано в технической документации.
В системе с вакуумметром для измерений малых абсолютных давлений создают давление не более 0,07 кПа. Предварительно на место подключаемого датчика устанавливают средство измерений, отвечающее тем же требованиям, что и при поверке по п. 4.2.2. Поддерживают указанное давление в течение 2-3 мин. Отключают устройство, создающее абсолютное давление, и, при необходимости, образцовое СИ (например, колонки грузопоршневого манометра). После выдержки системы в течение 3 мин. изменение давления не должно превышать 0,5% верхнего предела измерении поверяемого датчика. Допускается поправка при изменении температуры окружающего воздуха и рабочей среды
-
4.2.4. Если система предназначена для поверки датчиков с разными значениями верхних пределов измерений, проверку герметичности рекомендуют проводить при давлении (разрежении), соответствующем наибольшему из этих значений.
5.ПРОВЕДЕНИЕ ПОВЕРКИ
-
5.1. Внешний осмотр.
При внешнем осмотре должно быть установлено:
-
- соответствие его внешнего вида технической документации и отсутствие видимых дефектов;
-
- наличие инструкции по эксплуатации, если это предусмотрено при поверке датчика, паспорта или документа, его заменяющего;
-
- наличие цифровых индикаторов и (или) других показывающих выходных устройств, предусмотренных технической документацией на датчик;
-
- наличие на корпусе датчика таблички с маркировкой, соответствующей прилагаемому паспорту или документу, его заменяющему;
-
- наличие возможности регулировки нуля по всем выходным устройствам (механически или программно).
-
5.2. Опробование.
-
5.2.1. При опробовании проверяют работоспособность датчика, функционирование корректора нуля (по всем выходным устройствам), герметичность датчика. При первичной поверке функционирование корректора допускается проверять в процессе изготовления датчика.
-
5.2.2. Работоспособность датчика проверяют, изменяя измеряемое давление от нижнего до верхнего предельного значения. При этом должно наблюдаться изменение выходного сигнала на всех выходных устройствах.
Для датчиков, калиброванных в интервале избыточное давление - разрежение, работоспособность проверяют только при избыточном давлении, для датчиков разрежения с верхним пределом измерений 0,1 МПа - при изменении разрежения до значения 0,9 атмосферного давления.
-
5.2.3. Функционирование корректора нуля проверяют, задав одно (любое) значение измеряемого давления. Воздействуя на корректор нуля, проверяют наличие изменения выходного сигнала на всех выходных устройствах. Возвращая корректор нуля в прежнее положение (если это допускает конструкция датчика) проверяют наличие изменения выходного сигнала в противоположную сторону на всех выходных устройствах.
-
5.2.4. Проверку герметичности датчика рекомендуется совмещать с операцией определения основной погрешности (п.5.4.8).
Методика проверки герметичности датчика аналогична методике проверки герметичности системы (пп. 4.2.1-4.2.4) со следующими особенностями:
-
1) Изменение давления или разрежения определяют по изменению выходного сигнала или показаний на цифровом дисплее поверяемого датчика, включенного в систему (п.4.2.2);
-
2) В случае обнаружения негерметичности системы с поверяемым датчиком следует проверить отдельно систему и датчик.
-
5.3. Проверка идентификационных данных ПО
-
5.3.1. В качестве идентификатора ПО принимается версия (идентификационный номер) программного обеспечения.
Методика заключается в проверке номера версии ПО датчика по HART-протоколу. Подробное меню датчика с указанием пункта о версии ПО представлено в Руководстве по эксплуатации.
-
5.3.2. Датчики считаются прошедшими поверку с положительным результатом, если идентификатор ПО соответствует значению, указанному в паспорте на датчик.
-
5.3.3. Если данные требования не выполняются, то датчик считается непригодным к применению, к эксплуатации не допускается, выписывается свидетельство о непригодности, дальнейшие пункты методики не выполняются.
-
5.4. Определение основной погрешности.
-
5.4.1. Основную погрешность определяют следующими способами:
-
1) По эталону на входе датчика устанавливают номинальные значения входной измеряемой величины (давления), а по другому эталону измеряют соответствующие значения выходного аналогового сигнала (тока или напряжения). При поверке датчика по его цифровому сигналу к выходу подключают приемное устройство, поддерживающее соответствующий цифровой коммуникационный протокол для считывания информации при установленных номинальных значениях входной измеряемой величины;
-
2) В обоснованных случаях по эталону на выходе датчика устанавливают номинальные значения выходного аналогового сигнала (тока или напряжения) или устанавливают номинальные значения цифрового сигнала датчика, а по другому эталону измеряют соответствующие значения входной величины (давления).
Примечания:
-
1 При определении основной погрешности датчика показания его цифрового дисплея не учитываются.
-
2 Поверка датчиков с несколькими выходными сигналами, соответствующими одной и той же входной измеряемой величине, производится по одному из этих сигналов (аналоговому или цифровому), если иное не предусмотрено технической документацией на поверяемый датчик.
-
5.4.2. Эталоны давления включаются в схему поверки датчиков в соответствии с их руководством по эксплуатации.
-
5.4.3. Устанавливают следующие критерии достоверности поверки:
Рвам - наибольшая вероятность ошибочного признания годным датчик, который в действительности является дефектным экземпляром;
($м)ва - отношение наибольшего возможного модуля основной погрешности экземпляра датчика, который может быть ошибочно признан годным, к пределу допускаемой основной погрешности.
Допускаемые значения критериев достоверности поверки принимают равными: Рвам=0,20; (6м)ва max =1,25.
-
5.4.4. Устанавливают следующие параметры поверки:
m - число проверяемых точек в диапазоне измерений, ш>=5; в обоснованных случаях и при отсутствии эталонных средств измерений с необходимой дискретностью воспроизведения измеряемой величины допускается уменьшать число поверяемых точек до 4 или 3;
п - число наблюдений при экспериментальном определении значений погрешности в каждой из проверяемых точек при прямом и обратном ходах, п=1; в обоснованных случаях допускается увеличивать число наблюдений в поверяемых точках до 3 или 5, принимая при этом среднеарифметическое значение результатов наблюдений за достоверное значение в данной точке;
ук - абсолютная величина отношения контрольного допуска к пределу допускаемой основной погрешности;
оср - отношение предела допускаемого значения погрешности эталонов, применяемых при поверке, к пределу допускаемого значения основной погрешности поверяемого датчика.
Значения ук и ар выбирают по таблице 2 в соответствии с принятыми критериями достоверности поверки.
-
5.4.5. Выбор эталонов для определения основной погрешности поверяемых датчиков осуществляют, исходя из технических возможностей и технико-экономических предпосылок с учетом критериев достоверности поверки 5.4.3 и таблицы 2.
Таблица 2
Параметры и критерии достоверности поверки
ctp |
0,2 |
0,25 |
0,33 |
0,4 |
0,5 |
Ук |
0,94 |
0,93 |
0,91 |
0,82 |
0,70 |
Р вам |
0,20 |
0,20 |
0,20 |
0,10 |
0,05 |
(5м)ва |
1,14 |
1.18 |
1,24 |
1,22 |
1,20 |
Примечание - Таблица 2 составлена в соответствии с принятыми в 5.4.3 критериями достоверности поверки согласно МИ 187-86 "ГСИ. Критерии достоверности и параметры методик поверки " и МИ 188-86 "ГСИ. Установление значений параметров методик поверки".
Вместо использования значений таблицы 2, допускается ук рассчитывать по формуле 20 из МИ 188-86 (ук= (5м)ва- сср). При этом, для проверки условия Рвам < 0,20, проверяют выполнения условия ук < 1- 0,28*оср.
-
5.4.6. При выборе эталонов для определения погрешности поверяемого датчика для каждой поверяемой точки должны быть соблюдены следующие условия:
1) При поверке по способам 1 и 2 (5.4.1) и определении значений выходного сигнала в мА
f д Д Л
z-^+j—ч- хЮ0<ар*у, (1)
ХА max Xmax Ао J
где Др - предел допускаемой абсолютной погрешности эталона, контролирующего входную величину давления, кПа, МПа;
Ртах - верхний предел измерений (или диапазон измерений) поверяемого датчика, кПа, МПа;
Д1 - предел допускаемой абсолютной погрешности эталона, контролирующего электрический выходной сигнал, мА;
Imax и Io - соответственно верхнее и нижнее предельные значения выходного сигнала, мА;
у - предел допускаемой основной погрешности поверяемого датчика, % диапазона измерений.
Для датчиков с нижним предельным значением измеряемой величины, численно равным нулю, диапазон измерения численно равен верхнему пределу измерений. Основная погрешность датчика, выраженная в процентах от диапазона измерений, численно равна основной погрешности, выраженной в процентах от диапазона изменения выходного сигнала датчика.
2) При поверке по способам 1 и 2 (5.4.1) и определении значений выходного сигнала в мВ или В по падению напряжения на эталонном сопротивлении:
Л х100<арху5 об J
-^-+———+—ь Un, Umax-U0 R,
(2)
где Др - предел допускаемой абсолютной погрешности эталона, контролирующего входную величину давления, кПа, МПа;
Ртах - верхний предел измерений (или диапазон измерений) поверяемого датчика, кПа, МПа;
Ди - предел допускаемой абсолютной погрешности эталона, контролирующего электрический выходной сигнал по падению напряжения на эталонном сопротивлении, мВ или В;
Umax, Uo - соответственно верхнее и нижнее предельные значения выходного сигнала, мВ или В;
Umax=Imax х Ro6; Uo=Io х Ro6;
Ar - предел допускаемой абсолютной погрешности эталонного сопротивления Ro6, Ом;
Ro б - значение эталонного сопротивления, Ом;
-
3) При поверке датчиков с цифровым выходным сигналом
Г А
р
р
X. А max /
*100 <арху,
(3)
<А) //■ ту? ж м. &
где Др - предел допускаемой абсолютной погрешности, применяемого эталона давления, кПа, МПа;
Ртах - верхний предел измерений (или диапазон измерений) поверяемого датчика, кПа, МПа.
5.4.7 Расчетные значения выходного сигнала поверяемого датчика для заданного номинального значения входной измеряемой величины определяют по формулам (4-8):
1) Для датчиков с линейно возрастающей зависимостью выходного сигнала постоянного тока (I) от входной измеряемой величины (Р)
................................(4)
где 1р - расчетное значение выходного сигнала постоянного тока (мА);
Р - номинальное значение входной измеряемой величины (кПа, МПа); для датчиков, калиброванных в диапазоне от избыточного давления до разрежения, значение давления Р в области разрежения подставляется в формулу (4) со знаком минус;
Рп - нижний предел измерений поверяемого датчика, кПа, МПа;
Pm - верхний предел измерений поверяемого датчика, кПа, МПа;
Io, Im - соответственно нижнее и верхнее предельные значения выходного сигнала преобразователя, мА.
Для стандартных условий калибровки нижний предел измерений всех поверяемых датчиков равен нулю.
2) Для датчиков с линейно убывающей зависимостью выходного сигнала постоянного тока от входной измеряемой величины
..................................<5)
2 ш 1 п
-
4) Для датчиков с выходным сигналом постоянного тока, значения которого контролируют по падению напряжения на эталонном сопротивлении Rot (Ом, кОм)
Up = Rst • Ip,.......................................(6)
где Up - расчетное значение падения напряжения на эталонном сопротивлении, мВ, В;
1р - расчетное значение выходного сигнала постоянного тока, определяемое по формулам (4, 5).
-
5) Для датчиков с выходным информационным сигналом в цифровом формате и линейной функцией преобразования входной измеряемой величины (давления, Р) расчетные значения выходного сигнала (Рр) совпадают с номинальными значениями входной измеряемой величины (Р):
Рр = Р,..................................................................(7)
или могут определяться в процентах (N) от диапазона измерений
N = —100, ...................................................(8)
Рт
где Р, Pm, - соответственно номинальное значение входной измеряемой величины и верхний предел измерений или диапазон измерений поверяемого датчика.
-
5.4.8. Поверку датчиков с программным обеспечением выбора функции преобразования входной измеряемой величины в соответствии с одним из видов (п.5.4.7.) следует производить при программной установке линейно возрастающей зависимости выходного сигнала, если иное не предусмотрено технической документацией на датчик.
После выполнения поверки датчик может быть перепрограммирован в соответствии с требуемой функцией преобразования входной измеряемой величины.
Перед определением основной погрешности соблюдают требования п.4.2 и, при необходимости, корректируют значения выходного сигнала, соответствующие нижнему и верхнему предельным значениям измеряемой величины. Эту корректировку выполняют после подачи и сброса измеряемой величины, значения которой устанавливают:
-
- для датчиков, калиброванных в интервале избыточного давления-разрежения, - в пределах (50.. .100)% от верхнего предела измерений в области избыточного давления;
-
- для датчиков абсолютного давления с верхним пределом измерений до
0,25 МПа включительно - в пределах от атмосферного давления до (80... 100)% верхнего предела измерений;
-для остальных датчиков - в пределах (80... 100)% верхнего предела измерений
При периодической поверке и в случае ее совмещения с операцией проверки герметичности датчика корректировку значений выходного сигнала выполняют после выдержки датчика при давлении (разрежении) в соответствии с условиями п.4.2.2.
-
5.4.9. Основную погрешность определяют при m значениях измеряемой величины (п.5.4.4.), достаточно равномерно распределенных в диапазоне измерений, в том числе при значениях измеряемой величины, соответствующих нижнему и верхнему предельным значениям выходного сигнала.
Интервал между значениями измеряемой величины не должен превышать: 30% диапазона измерений при ш = 5 (основной вариант поверки); 40% диапазона измерений при ш = 4 и 60% диапазона измерений при ш = 3.
Основную погрешность определяют при значении измеряемой величины, полученном при приближении к нему как со стороны меньших значений (при прямом ходе), так и со стороны больших значений (при обратном ходе).
При периодической поверке основную погрешность определяют в два цикла: до корректировки диапазона изменения выходного сигнала и после корректировки диапазона. Второй цикл допускается не проводить, если основная погрешность Уд < ук • у .
При поверке датчиков с верхним пределом измерений в области разрежения, равном 0,1 МПа допускается устанавливать максимальное значение разрежения в < -90 кПа. Расчетное значение выходного сигнала при установленном значении разрежения определяют по формуле (4).
При поверке датчиков абсолютного давления с верхними пределами измерений 0,1 МПа и выше основную погрешность допускается определять по методике, изложенной в п. 5.4.10 с соблюдением условий, изложенных в п.п, 5.4.8, 5.4.9.
5.4.10 Определение основной погрешности датчиков абсолютного давления с верхними пределами измерений 0,25 МПа (допускается 0,1 МПа) и выше допускается проводить с использованием эталонов избыточного давления (например, МВП - 2,5; «Метран-506 Воздух»; МП - 6; МП - 60 и др.).
В этом случае поверку выполняют при подаче избыточного давления и разрежения, расчетные значения которых определяют с учетом действительного значения атмосферного давления в помещении, где проводят поверку.
Расчетные значения выходного сигнала датчика с линейно возрастающей функцией преобразования определяют, например, по формуле
для датчика с токовым выходным сигналом
1р=Ц+(.Ц-1о)^^-..................................(9)
пф)
где Рб - атмосферное давление в помещении, где проводят поверку, МПа;
Рт(а) - верхний предел измерений датчика абсолютного давления, МПа;
Р(+) - избыточное давление, подаваемое в датчик, МПа;
Р(-) - разрежение, создаваемое в датчике, МПа. Значения разрежения подставляют в формулу со знаком минус.
Расчетные значения избыточного давления и разрежения, подаваемые в датчик,
вычисляют по формулам
Р(+) = Ра-Рб ...............................................................(10)
Р(-)=Рб-Ра .................................................................... (И)
Здесь Ра - номинальное значение абсолютного давления - входная величина датчика, МПа.
Вблизи нуля абсолютного давления датчик поверяют, создавая на его входе разрежение в пределах (0,90 - 0,95)Рб.
Расчетные значения выходного сигнала при атмосферном давлении на входе датчика абсолютного давления определяют по формуле
Максимальное значение избыточного давления Рт(+) , при котором расчетное значение выходного сигнала Ip = Im, определяют по формуле
При поверке датчиков абсолютного давления значение атмосферного давления Рб определяют с погрешностью не более, чем
Д б < а ■ у ......................( 14 )
6 р ' 100
где Дб - абсолютная погрешность, МПа;
ар, у - то же, что в п.п.5.4.4, 5.4.6;
Рт(а) - верхний предел измерений поверяемого датчика.
Для датчиков с выходным сигналом в цифровом формате расчетные значения выходного сигнала определяют по формуле
Рр = Рб+ Р(±)..........................................(15)
Обозначения - см. формулу (9).
В зависимости от верхних пределов измерений поверяемых датчиков их основную погрешность определяют при ш значениях измеряемой величины в
соответствии с табл.З и с учетом требований п.5.4.9. Таблица 3
Верхние пределы измерений, МПа |
Число поверяемых точек , m | |
В области Ра < Рб |
В области Ра > Рб | |
од |
3 |
- |
0,16 |
2 |
2 |
0,25 |
1 |
3 |
От 0,4 до 2,5 |
1 |
4 |
Свыше 2,5 |
- |
5 |
Перед поверкой корректором «нуля» датчика устанавливают начальное значение выходного сигнала при нижнем предельном значении измеряемого абсолютного давления. Допускается устанавливать корректором «нуля» расчетное значение выходного сигнала, соответствующее разрежению (0,90 - 0,95)Рб. При этом расчетное значение выходного сигнала определяют по формуле (9). Для верхних пределов измерений более 0,16 МПа допускается устанавливать выходной сигнал на расчетное значение, определяемое по формуле (12) при атмосферном давлении.
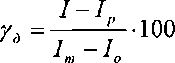
5.4.11 Основную погрешность уз в % нормирующего значения (п.5.4.6) вычисляют по приведенным ниже формулам.
При поверке датчиков по способу 1 (п.5.4.1):



(17)
(18)
где I - значение выходного сигнала постоянного тока, полученное экспериментально при номинальном значении измеряемой величины, мА;
U - значение падения напряжения на эталонном сопротивлении или значение выходного сигнала постоянного напряжения, полученное экспериментально при номинальном значении входной измеряемой величины (давления), мВ или В;
Р - значение выходного сигнала датчика в цифровом формате, полученное экспериментально при номинальном значении измеряемой величины;
Остальные обозначения те же, что в формулах (1, 2, 7).
При поверке датчиков по способу 2 (5.4.1):

(19)
где Р - значение входной измеряемой величины (давления), полученное экспериментально при номинальном значении выходного сигнала, кПа, МПа;
Рном - номинальное значение измеряемой величины при номинальном значении выходного сигнала, кПа, МПа;
Pm - верхний предел измерений (или диапазон измерений), кПа, МПа.
Вычисления уб выполняют с точностью до третьего знака после запятой, если иное не указано в технической документации.
-
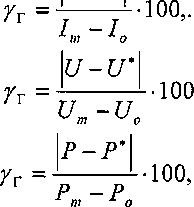
5.5. Определение вариации выходного сигнала
-
5.5.1. Вариацию выходного сигнала определяют при каждом поверяемом значении измеряемой величины, кроме значений, соответствующих нижнему и верхнему пределам измерений, по данным, полученным экспериментально при определении основной погрешности (п.5.4).
-
5.5.2. Вариацию выходного сигнала уг в % нормирующего значения (п.5.4.6) вычисляют по приведенным ниже формулам.
При поверке датчиков по способу 1 (п.5.4.1):
7-7*

(20)
(21)
где I, I* - значения выходного сигнала постоянного тока, полученные экспериментально при одном и том же номинальном значении входной измеряемой величины при прямом и обратном ходе соответственно, мА;
U, U* - значения падения напряжения на эталонном сопротивлении или значение выходного сигнала постоянного напряжения, полученные экспериментально при одном и том же номинальном значении входной измеряемой величины при прямом и обратном ходе соответственно, мВ, В;
Р, Р* - значения выходного сигнала датчика в цифровом формате, полученные экспериментально при одном и том же номинальном значении входной измеряемой величины при прямом и обратном ходе соответственно.
Остальные обозначения те же, что в формулах (1,2, 7).
При поверке преобразователей по способу 2 (5.4.1):
I р _ р* I
/г =L—1-100,.......................................................(23)
-‘■т
где Р, Р* - значения входной измеряемой величины (давления), полученные экспериментально при прямом и обратном ходе и при одном и том же номинальном значении выходного сигнала, кПа, МПа;
Pm - то же, что в формуле (19).
-
5.6. Результаты поверки датчиков
-
5.6.1. Датчик признают годным при первичной поверке, если на всех поверяемых точках модуль основной погрешности |уа[ < ук • |у[, а значение вариации уг в каждой точке измерений не превышает предела ее допускаемого значения.
-
5.6.2. Датчик признают негодным при первичной поверке, если хотя бы в одной поверяемой точке модуль основной погрешности |уа[ > ук • |у|, или значение вариации уг превышает предел ее допускаемого значения.
-
5.6.3. Датчик признают годным при периодической поверке, если на всех поверяемых точках при первом или втором цикле поверки выполняются условия, изложенные в п.5.5.1.
-
5.6.4. Датчик признают негодным при периодической поверке:
-
- если при первом цикле поверки хотя бы в одной поверяемой точке модуль основной погрешности |уа| > (5м)ва шах • |у| или значение вариации уг превышает предел ее допускаемого значения;
-
- если при втором цикле поверки хотя бы в одной поверяемой точке модуль основной погрешности |уа| > ук • |у| или значение вариации уг превышает предел ее допускаемого значения.
Обозначения: (бм)вашах - по п.5.4.3; ук - по п.5.4.4; у - по п.5.4.6.
-
5.6.5. Допускается вместо вычислений по экспериментальным данным значений основной погрешности уа и вариации уг устанавливать их соответствие предельно допускаемым значениям.
5.6.6 Вариацию выходного сигнала датчиков не определяют, если предел ее допускаемого значения не превышает 0,5 предела допускаемой основной погрешности.
6. ОФОРМЛЕНИЕ РЕЗУЛЬТАТОВ ПОВЕРКИ
-
6.1. Положительные результаты первичной поверки датчиков оформляют соответствующими записью и клеймом в паспорте или оформляют свидетельство о поверке, заверенное поверителем и удостоверенное оттиском клейма.
6*2. Положительные результаты периодической поверки датчиков оформляют выдачей свидетельства о поверке или соответствующей записью (отметкой) в паспорте.
6.3. При отрицательных результатах поверки датчики бракуют. При периодической поверке выдают извещение о непригодности.
ПРИЛОЖЕНИЕ: схемы включения датчиков при поверке.
ИНФОРМАЦИОННЫЕ ДАННЫЕ
-
1. Настоящая рекомендация разработана промышленной группой «МЕТРАН» и Всероссийским научно-исследовательским институтом метрологической службы ( ВНИИМС ) Госстандарта России.
Исполнители: А.Я.Юровский и А.И.Гончаров.
-
2. Утверждена ВНИИМС 18.04.2011г
Приложение к МП 4212-023-2011
(обязательное)
Схемы включения датчиков при поверке
Схема 1 включения датчика с аналоговым выходным сигналом постоянного тока
4-20 мА при измерении выходного сигнала непосредственно миллиамперметром.

Р - входная измеряемая величина;
Д - поверяемый датчик;
G - источник питания постоянного тока (например, указанный в п. 2.1, таблице 1, если иное не указано в технической документации);
А - цифровой миллиамперметр или универсальный вольтмиллиамперметр;
R - нагрузочное сопротивление, например, резистор МЛТ или магазин сопротивлений, указанный в таблице 1 (п. 2.1); значение сопротивления - в соответствии с условиями поверки (п. 4.1).
Схема 2 включения датчика с аналоговым выходным сигналом постоянного тока 4-20 мА при измерении выходного сигнала по падению напряжения на эталонном сопротивлении.

V - цифровой вольтметр, указанный, например, в табл.1;
Rot - эталонное сопротивление, например, образцовая катушка сопротивления или мера электрического сопротивления, указанные в таблице 1;
R1 - нагрузочное сопротивление - например, указанный в таблице 1 магазин сопротивлений; сумма значений сопротивлений Rot + Rl = R , где значение R сопротивления нагрузки при поверке указано в п. 4.1.
Схема 3 включения датчика с цифровым выходным сигналом на базе протокола HART и считывании информации по цифровому каналу при помощи портативного коммуникатора или при помощи другого HART-мастера.

to -TEST—) | ||
соми | ||
д |


Н - портативный HART-коммуникатор (например, один из указанных в п. 2.1, таблице 1) или другое цифровое устройство, поддерживающее коммуникационный HART-протокол.
Остальные обозначения указаны в схеме 1.