Методика поверки «ГАЗОАНАЛИЗАТОРЫ ФП34» (МРБ МП. 2559-2016)
СОГЛАСОВАНО

А ■
УТВЕРЖДАЮ

МЕТОДИКА ПОВЕРКИ
ГАЗОАНАЛИЗАТОРЫ ФП34
МРБМП. -2016
< р • (ЬЧ 4 €>РАЗРАБОТАНО

Настоящая методика распространяется на газоанализаторы ФП 34 (далее -газоанализаторы), предназначенные для измерения объемной доли метана (СНд), пропана (СзНя), кислорода (Ог), диоксида углерода (СО2) и массовой концентрации оксида углерода (СО) и сероводорода (H2S) на промышленных и гражданских объектах, где возможно образование взрывоопасных и отравляющих газовых смесей, а также недостаток кислорода, представляющих угрозу здоровью и жизнедеятельности персонала, и устанавливает методы и средства поверки.
Газоанализаторы подлежат обязательной поверке в органах государственной метрологической службы при выпуске из производства, после ремонта и в процессе эксплуатации.
Периодическая поверка газоанализаторов проводится через межповерочный интервал, который составляет не более 6 месяцев (при применении в сфере законодательной метрологии) для Республики Беларусь.
Периодическая поверка газоанализаторов, поставляемых на экспорт, производится согласно нормативным документам страны-импортера.
Периодическая поверка газоанализаторов, поставляемых в Россию, проводится согласно нормативным техническим правовым актам Российской Федерации. Межповерочный интервал составляет 12 месяцев.
-
1 ОПЕРАЦИИ ПОВЕРКИ
-
1.1 При проведении поверки выполняются операции, указанные в таблице 1.
-
Таблица 1
Наименование операции |
Номер пункта |
Обязательность проведения операции при поверке | |
первичной |
периодической | ||
Внешний осмотр |
6.1 |
Да |
Да |
Опробование - проверка функционирования |
6.2 |
Да |
Да |
Определение метрологических характеристик: | |||
- определение основной абсолютной погрешности измерения |
6.3.1 |
Да |
Да |
- определение основной приведенной погрешности измерения |
6.3.2 |
Да |
Да |
- определение основной относительной погрешности измерения |
г | ||
- проверка номинального времени установления показаний (то.9) |
6.3.3 |
Да |
Да |
-
1.2 Если при проведении той или иной операции поверки получен отрицательный результат, дальнейшая поверка прекращается.
Таблица 2
Номер пункта методики поверки |
Наименование, тип, марка основного или вспомогательного средства поверки, обозначение нормативного документа, регламентирующего технические требования и (или) метрологические характеристики и основные технические характеристики/ |
6.3.1 - 6.3.3 < |
ГСО-состава СИ»-воздух, СНд-азот, СзН8 -воздух, СзН8 -азот, СО-воздух, О2 -азот, COj - воздух, H2S - воздух |
Поверочный нулевой газ (ПНГ) - азот в баллоназ под давлением или азот особой чистоты по ГОСТ 9293-74 | |
Секундомер механический.Зкл. по ТУ 25-1819.0021-90 или ТУ 25-1894.003-90 | |
Вентиль точной регулировки ВТР, АПИ4.463.002 | |
Трубка поливинилхлоридная (ПВХ), 6x15 мм, ТУ 64-2-286-79 | |
4.1 |
Термогигрометр «Testo-625» Диапазон измерения относительной влажности (5-95)%. Диапазон измерения температуры (-10 ■*■ + 60) °C. |
4.1 |
Барометр-анероид БАММ-1 по ТУ 2504-1797-75, ц.д. |
Примечание
При изготовлении ГСО свыше 50% НКПР - применять азот.
Допускается применять средства, не приведенные в перечне, но обеспечивающие определение метрологических характеристик с требуемой точностью.
Все средства поверки должны иметь действующие свидетельства о поверке. ГСО в баллонах под давлением должны иметь действующие паспорта.
Соотношение погрешности средства поверки и погрешности поверяемого газоанализатора должно составлять не более 1:3, (в отдельных случаях 1:2,5).
дении поверки и регламентных

иНЫЙ Mh
-
5 ПОДГОТОВКА К ПОВЕРКЕ
-
5.1 Перед проведением поверки выполняют следующие подготовительные работы:
-
-
- готовят газоанализатор к работе в соответствии с требованиями руководства по эксплуатации;
-
- проверяют наличие паспортов и сроки годности ГСО;
-
- баллоны с ГСО выдерживают в помещении, где проводится поверка, до выравнивания их температуры с температурой помещения;
-
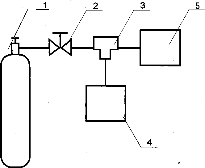
- проводят сборку газовой системы, схема которой приведена в приложении А (рисунок А1.). Сборка газовой системы ведется гибкой поливинилхлоридной трубкой.
-
6 ПРОВЕДЕНИЕ ПОВЕРКИ
-
6.1 Внешний осмотр
-
При внешнем осмотре газоанализатора устанавливают;
-
- исправность органов управления;
-
- наличие маркировки, соответствующей требованиям РЭ;
-
- отсутствие механических повреждений и нарушений покрытий, влияющих на работоспособность.
Результат считается положительным при выполнении данных требований.
-
6.2 Опробование
-
6.2.1 Проверка функционирования
-
Проверку функционирования газоанализатора проводят в процессе тестирования при включении в соответствии с руководством по эксплуатации. На экран должны выводиться значения концентрации по каждому блоку датчика, единицы измерения, вид газа, сообщения о неисправностях, и т.д..
Результаты проверки считают положительными, если все технические тесты завершились успешно.
-
6.3 Определение метрологических характеристик
Определение основной погрешности проводится с использованием ГСО, содержащим поверочный компонент в трех точках диапазона измерений. Номинальное содержание определяемого компонента, соответствующее точкам диапазона измерений, и пределы допускаемых отклонений от него приведены в таблице 3.
Таблица 3
Номер ГСО |
Содержание, соответствующее точкам диапазона измерений, % |
1 |
10±10 |
2 |
50±10 |
3 |
90±10 |
-
6.3.1 Определение основной абсолютной погрешности объемной доли определяемого компонента.
Подачу ГСО, находящихся в баллонах под давлением проводят следующим образом:
-
- собирают газовую схему, которая изображена в приложении А (рисунок А.1), с использованием ПВХ трубки;
-
- вентилем точной регулировки устанавливают расход газовой смеси таким образом, чтобы по ротаметру фиксировался небольшой сброс избытка ГСО;
Определение основной абсолютной погрешностид} блоку датчика при поочередной подаче на входы блбкфа № 1-2-3.
Основную абсолютную погрешность в к;
по формуле:
гг последовательно по каждому КойчГСО в последовательности
vA7 \
й точке диапазона i
и с
;енны^
[ерени^-рдсечитывйв /Жтдез к ин*орм^н. I .. нормативно»
ме
А- Сфп-Сгссъ
(1)
где Сфп - измеренное значение объемной доли (показания на ЖКИ газоанализатора) при подаче ГСО, %;
Сгсо - действительное значение объемной доли определяемого компонента в ГСО.
Результаты измерения считают положительными, если значения основной абсолютной погрешности не превышают значений, указанных в таблице Б. 1 и Б.2 (Приложение Б).
-
6.3.2 Определение основной относительной погрешности определяемого компонента.
Определение основной относительной погрешности проводят по схеме, указанной в Приложении А (рисунок А.1), последовательно по каждому блоку датчика при поочередной подаче на входы блоков датчиков ГСО в последовательности № 1-2-3.
’ По результатам измерений, полученным в каждой точке измерения, определяют основную погрешность измерительного блока датчика.
Значение основной относительной погрешности в каждой точке диапазона измерений рассчитывают по формуле:
Сфп - Сгсо
5= ---------100%, (2)
Сгсо
Результаты считают положительными, если полученные значения основной относительной погрешностей не превышают значений, указанных в таблице Б.2 (Приложение Б).
-
6.3.3 Проверка номинального времени установления показаний (то,9)
Допускается проводить определение времени установления показаний одновременно с определением основной погрешности по п. 6.3.1,6.3.2 в следующем порядке:
-
1) на вход газоанализатора подают ГСО № 3 (таблица 3, соответственно поверяемому блоку датчика), фиксируют установившиеся показания газоанализатора; t
-
2) вычисляют значение, равное 0,9 установившихся показаний газоанализатора;
-
3) подают на вход газоанализатора ГСО№3, включают секундомер и фиксируют время достижения значения, рассчитанного в п.2).
Результаты испытания считают положительными, если номинальное время установления показаний для измерительных каналов не превышает значений, указанных в таблице Б.1 и Б.2 (Приложение Б).
-
7 ОФОРМЛЕНИЕ РЕЗУЛЬТАТОВ ПОВЕРКИ
г
-
7.1 Результаты поверки оформляются протоколом.
При положительных результатах поверки на газоанализаторы после первичной поверки наносится знак поверки и делается отметка о поверке в паспорте, после периодической наносится знак поверки, и выдается свидетельство о поверке установленной формы (Приложение Г ТКП 8.003-2011).
-
7.2 Газоанализаторы не удовлетворяющие требованиям настоящей методики, к применению не допускаются. На них выдают извещени пригодности с указанием причин по форме (Приложение Д ТКП 8.003-2011). При эт<й свидетельство аннулируется.
ки подлежит погашению, а
Приложение А
Схема
подачи газовоздушной смеси на газоанализатор ФП34

-
1 - Баллон с ГСО
-
2 - Редуктор кислородный БКО-50-2
-
3 - Трубка (тройник) ТС-Т-6
4-Газоанализатор
5 - Ротаметр РМ-А-0,063Г
Рисунок А.1

I

V’
Приложение Б
Диапазоны измерений (показаний), пределы допускаемой основной погрешности, номинальное время установления показаний и температурный диапазон измерений (показаний), пределы допускаемой дополнительной погрешности в диапазонах температур эксплуатации газоанализаторов с оптическими датчиками
Таблица № Б.1
Тип датчика |
Наименование определяемого компонента |
Температурный диапазон измерения (показания), °C |
Диапазоны измерений (показаний) определяемого компонента |
Пределы допускаемой основной погрешности, |
Номинальное время установления показаний, с |
Пределы допускаемой дополнительной погрешности в диапазонах температур эксплуатации |
объемная доля, % | ||||||
Оптический -—■“......< С "X. о • '<• \ < \?ч |
Метан (СНд) |
от минус 40 до плюс 50 |
от 0 до 5,0 (отОдоЮО) |
±0,1 об. д, % или ±5% от показаний, что больше |
30 |
±0,2 об. д., % или ±10 % от показаний, что больше в диапазоне от минус 10° С до плюс 40° С; ±0,4 об. д., % или ±20 % от показаний, что больше в диапазонах от минус 40° С до минус 10° С и от плюс 40° С до плюс 50° С; |
Метан (СНд) |
от минус 40 до плюс 50 |
от 0 до 5,0 | ||||
от 5,0 до 100 | ||||||
^Диоксид углерода (СО2) |
от минус 10 до плюс 50 |
от 0 до 2,5 * |
±0,2 об.д.,% или ±10 % от показаний, что больше в диапазоне от минус 10° С до плюс 40° С; | |||
Пропан (С3Н8) |
от минус 40 до плюс 50 |
от 0 до 2,0 (отОдоЮО) |
±0,05 об.д., % или ±5 % от показаний, что больше |
±0,08 об.д.,% или ±10 % от показаний, что больше в диапазоне от минус 10° С до плюс 40° С; ±0,16 об. д., % об. или ±20 % от показаний, что больше в диапазоне от минус 40° С до минус 10° С и от плюс 40° С до плюс 50° С; |
Продолжение приложения Б
Таблица № Б.2
Тип датчика |
Наименование определяемого компонента |
Температурный диапазон измерений (показаний), °C |
Диапазон измерений (показаний) определяемого компонента |
Пределы допускаемой основной погрешности |
Номинальное время установления показаний, с |
Пределы допускаемой дополнительной погрешности в диапазонах температур эксплуатации на каждые 10° С | ||
объемная доля, % |
массовая концентрация, мг/м3 |
абсолютной |
относительной | |||||
Электро- |
Оксид углерода (СО) |
от минус 30 |
- |
от 0 до 30 |
±7,5 мг/м3 |
- |
30 |
0,5 от пределов |
^хиь(ич£-ский |
до плюс 50 (от минус 40 до плюс 50) |
от 30 до 120 |
±25 % |
основной погрешности | ||||
Ж |
й Кислород (О2) ■; U И /; |
от минус 30 до плюс 50 (от минус 40 до плюс 50) |
от 0 до’25,0 (от 0 до 30,0) |
±0,5 об. доли, % |
30 | |||
Сероводород (H2S) |
от минус 30 до плюс 50 (от минус 40 до плюс 50) |
от 0 до 10 |
±2,5 мг/м3 |
30 |

ТРЕБОВАНИЯ БЕЗОПАСНОСТИ
При проведении поверки соблюдают следующие требования безопасности.
-
3.1 Помещение, в котором проводят поверку, должно быть оборудовано приточновытяжной вентиляцией. Концентрации вредных веществ в воздухе рабочей зоны должны соответствовать требованиям ГОСТ 12.1.005-88.
-
3.2 При работе с чистыми газами и поверочными газовыми смесями в баллонах под давлением необходимо соблюдать «Правила устройства и безопасной эксплуатации сосудов, работающих под давлением».
-
3.3 При работе с газоанализатором, необходимо соблюдать требования безопасности, изложенные в ТИПА на них.
УСЛОВИЯ ПОВЕРКИ
-
4.1 При проведении поверки должны соблюдаться следующие условия:
-
- температура окружающего воздуха, °C (20 ± 5)
-
- относительная влажность воздуха, % от 30 до 80
-
- атмосферное давление, кПа от 84 до 106,7
Концентрации вредных веществ в воздухе рабочей зоны не должны превышать предельно-допустимые концентрации, приведенные j 12.1.005-88.
Колебания температуры окружающего во
работ не должны превышать ±5 °C.