Методика поверки «ФОТОМЕТР КФК» (МП БШ 2.853.033)
УТВЕРЖДАЮ
Сергиево-
ФБУ «ЦСМ

2016
области»
Е.А. Павлюк
УТВЕРЖДАЮ
Зам.
генерального директора -

2016
С.К. Балакин
ФОТОМЕТР КФК Методика поверки БШ 2.853.033 МП л и G43G0-/6
Инв. № подл Подл, и лата Взам ина № Инв № дубл Подл и лата
2016
Главный конструктор по МТ и ПОПН
ОАО «ЗОМЗ», ,
А-М.Панин
«______»_____________2016
Главный метролог
OAQ «ЗОМЗл-
Г Т.М.Савина
2016

Настоящая методика поверки предназначена для проведения первичной и периодической поверки фотометра КФК БШ 2.853.033 ТУ.
Периодическая поверка фотометров в случае их использования для измерений меньшего числа величин, по отношению к указанным в разделе «Метрологические и технические характеристики» описания типа, допускается по отдельным величинам измерений на основании письменного заявления владельца фотометра, оформленного в произвольной форме.
Соответствующая запись должна быть сделана в свидетельстве о поверке фотометра.
Интервал между поверками - 2 года.


Изм |
Лист |
№докум. |
Подп. |
Дата |
Разраб. |
Новак | |||
Пров. |
Малютин |
ж | ||
Н. контр. |
Родионова | |||
Утв. |
Панин |
БШ 2.853.033 МП
Лит. |
Лист | ||
А |
2 |
Листов
10
Инв. № подл. Подп. и дата Взам. инв. № Инв. № дубл. | Подп. и дата
1 ОПЕРАЦИИ ПОВЕРКИ
При проведении поверки должны выполняться операции, указанные в таблице 1. Таблица 1 - Операции поверки
№ п/п |
Операции поверки |
Номер пункта методики поверки |
Проведение операций при поверке | ||
первичной (внеочередной) |
периодической | ||||
1 |
Внешний осмотр |
6.1 |
+ |
+ | |
2 |
Опробование |
6.2 | |||
2.1 |
Определение идентификационных данных программного обеспечения |
6.2.1 |
± |
± | |
2.2 |
Определение изменения показаний |
6.2.2 |
+ |
± | |
3 |
Определение метрологических характеристик |
6.3 | |||
3.1 |
Определение абсолютной погрешности измерений спектральных коэффициентов направленного пропускания (СКНП) |
6.3.1 |
+ |
+ | |
3.2 |
Определение абсолютной погрешности измерений оптической плотности |
6.3.2 |
+ |
+ | |
3.3 |
Определение среднего квадратического отклонения случайной составляющей абсолютной погрешности измерений СКНП |
6.3.3 |
+ |
+ | |
3.4 |
Определение среднего квадратического отклонения случайной составляющей абсолютной погрешности измерений оптической плотности |
6.3.4 |
+ |
± | |
3.5 |
Проверка показаний фотометра по контрольным светофильтрам «К-1» и «К-2» |
6.3.5 |
+ |
+ |
При несоответствии характеристик поверяемого фотометра установленным требованиям по любому из пунктов таблицы 1 его к дальнейшей поверке не допускают и последующие операции не проводят, за исключением оформления результатов по п. 7.
2.1 При проведении поверки должны применяться средства поверки, указанные в таблице 2.
Таблица 2 - Средства поверки.
№ п/п
методики
поверки
6.2.2
Наименование и тип средств поверки
Метрологические характеристики
6.3.1 -6.3.4
Секундомер типа
СОПпр___________
Набор мер КНФ-1М-15 (ГР № 37858-08)
Изм. |
Лист |
№ докум. |
Подп. |
Дата |
ТУ 25-1894.003-90
КТ 2, емкость шкалы 60 мин_____________________
Диапазон коэффициентов пропускания (0,01-0,93) в диапазоне длин волн (400-780) нм, пределы абсолютной погрешности ±0,0025.
Диапазон оптической плотности (0,03-2,0) в диапазоне длин волн (400-780) нм, пределы абсолютной погрешности ±0,004 Б в диапазоне (0,030,5) Б, ±0,015 Б в диапазоне (0,51-1,09) Б, ±0,15 Б в диапазоне (1,1-2,0) Б

Примечания.
-
1 Допускается применение других средств поверки, имеющих характеристики, соответствующие ГОСТ 8.557-2007.
-
2 Все средства измерений должны быть исправны и поверены.
К поверке допускают лиц, уполномоченных на поверку средств измерений.
-
4 ТРЕБОВАНИЯ БЕЗОПАСНОСТИ
-
4.1 К поверке фотометра допускаются лица, изучившие руководство по эксплуатации фотометра и «Межотраслевые правила по охране труда (правила безопасности) при эксплуатации электроустановок».
-
Инв. № подл. I Подп. и дата I Взам. инв. № I Инв. № дубл. I Подп. и дата
-
5.1 При проведении поверки должны быть соблюдены нормальные условия :
температура окружающей среды....................(плюс 20±5) °C
атмосферное давление.................................(101,3±4) кПа
..................................(760±30) мм рт. ст.
относительная влажность воздуха...................(65±15) %
напряжение питания сети..............................(220±22) В
-
5.2 До проведения поверки фотометр должен быть выдержан на рабочем месте не менее 2 часов.
В случае, если фотометр находился при температуре ниже плюс 10 °C, то время выдержки должно быть не менее 24 часов.
-
5.3 Все работы с поверяемым фотометром проводятся согласно его руководства по эксплуатации.
-
5.4 Набор мер перед его использованием должен быть подготовлен в соответствии с инструкцией, приведенной в справочном приложении А.
-
6.1 Внешний осмотр
При внешнем осмотре должно быть установлено соответствие фотометра следующим требованиям:
-
- предъявленный к первичной поверке фотометр должен быть полностью укомплектован в соответствии с его паспортом; при эксплуатации допускается поверка при неполном комплекте;
-
- фотометр не должен иметь механических повреждений, влияющих на его нормальную работу;
-
- на каждом фотометре должны быть указаны шифр фотометра, номер фотометра, товарный знак предприятия-изготовителя, знак утверждения типа.
Фотометры, имеющие дефекты, бракуются.
Изм. |
Лист |
№ докум. |
Подп. |
Дата |

-
6.2 Опробование
-
6.2.1 Определение идентификационных данных программного обеспечения (ПО).
Для определения идентификационных данных программного обеспечения необходимо войти в тестовый режим. Для этого включают фотометр с предварительно нажатой на цифровой клавиатуре кнопкой F1. На экране фотометра должны отобразится: название программы, номер версии, контрольная сумма программы, которые должны соответствовать значениям, приведенным в таблице 3.
Таблица 3 - Идентификационные данные программного обеспечения фотометра
Идентификационные данные (признаки) |
Значение |
Идентификационное наименование ПО |
Фотометр КФК |
Номер версии (идентификационный номер) ПО |
V 1.9 |
Цифровой идентификатор ПО (контрольная сумма - CR-Смем и CRCnpor) |
0xDllDB22B |
Инв. № подл. Подп. и дата Взам. инв. № Инв. № дубл. Подп. и дата
В случае если идентификационные данные программного обеспечения не соответствуют указанным, для данного фотометра может быть выполнена только его калибровка по настоящей методике поверки.
-
6.2.2 Определение изменения показаний.
-
6.2.2.1 Перед проведением поверки должны быть выполнены следующие подготовительные операции:
-
- фотометр подсоединяют к источнику питания - сети 220 В, 50 Гц - согласно руководству по эксплуатации;
-
- после включения тумблера СЕТЬ на экране фотометра отображаются: символ завода-изготовителя, название фотометра "КФК", проверка прибора с обратным отсчетом времени. Затем выдается звуковой сигнал и на экране появится последний режим измерений, использованный перед выключением фотометра.
Фотометр выдерживают во включенном состоянии 15 мин.
-
6.2.2.2 Определение изменения показаний.
По истечении времени 15 минут нажимают кнопку Esc. На экране появится сообщение "Введите режим". Кнопками «+», «-» выбирают режим "измерение т". Затем нажимают кнопку Ent. Для изменения длины волны нажимают кнопку Ent, на экране появится сообщение "Выберите длину волны". Кнопками «+», «-» выбирают длину волны 525 нм и нажимают кнопку Ent. Затем последовательно нажимают кнопки F4, F2 (при пустом кюветном отделении), на индикаторе должен отобразиться отсчет N] = (100,0 ± 0,1). Если отсчет «100» отобразился с большим отклонением, повторно нажимают кнопки F4, F2.
Фотометр выдерживают 5 минут. По истечении указанного времени снова нажимают кнопку F2 и снимают отсчет N2.
Изменение показаний определяют как разность отсчетов (N1-N2).
Изменение показаний должно быть не более ±1,0 % в течение 5 минут.
Изм. |
Лист |
№ докум. |
Подп. |
Дата |
БШ 2.853.033 МП
Лист
Инв. № подл. Подп. и дата Взам. инв. № Инв. № дубл. Подп. и дата
6.3 Определение метрологических характеристик
-
6.3.1 Определение абсолютной погрешности измерений СКНП.
Определение абсолютной погрешности проводят измерением коэффициентов пропускания светофильтров набора КНФ-1М-15, имеющих коэффициенты пропускания, близкие к 90; 75; 50; 30; 10; 5; 1 %.
Фотометр подготавливают к работе согласно п. 6.2.2.1.
Выбирают режим измерения коэффициента пропускания т и длину волны 400 нм согласно п.6.2.2.2.
Затем при пустом кюветном отделении последовательно нажимают кнопки F4, F2, на индикаторе должен отобразиться отсчет «100,0 ± 0,1». Если отсчет «100» отобразился с большим отклонением, повторно нажимают кнопки F4, F2.
В кюветное отделение, по центру, вплотную к дальней стороне, устанавливают светофильтр из набора КНФ-1М-15, имеющий коэффициент пропускания, близкий к 90 %, нажимают кнопку F2 и снимают отсчет. Операцию проводят три раза. Коэффициент пропускания определяют как среднее арифметическое из полученных результатов.
Абсолютную погрешность А определяют по формуле
(!)
где тср - среднее арифметическое значение коэффициента пропускания светофильтра, измеренное фотометром;
т0 - действительное значение коэффициента пропускания светофильтра, указанное в свидетельстве о поверке (сертификате калибровки) на набор КНФ-1М-15.
Проверку с другими светофильтрами набора проводят аналогично.
Абсолютная погрешность для всех результатов измерений СКНП не должна превышать ± 1 %.
-
6.3.2 Определение абсолютной погрешности измерений оптической плотности. Определение абсолютной погрешности проводят измерением оптической плотности
светофильтров набора КНФ-1М-15, имеющих оптические плотности, близкие к 0,04; 0,13; 0,3; 0,5; 1,0; 1,3; 2 Б.
Фотометр подготавливают к работе согласно п. 6.2.2.1.
Выбирают режим "измерение D" и длину волны 400 нм согласно п.6.2.2.2.
Затем при пустом кюветном отделении последовательно нажимают кнопки F4, F2, на индикаторе должен отобразиться отсчет «0.000 ± 0.001 Б». При большем разбросе градуировку необходимо повторить нажатием кнопок F4, а затем F2.
В кюветное отделение, по центру, вплотную к дальней стороне, устанавливают светофильтр из набора КНФ-1М-15, имеющий оптическую плотность, близкую к 0,13 Б, нажимают кнопку F2 и снимают отсчет. Операцию проводят три раза. Определяют среднее арифметическое из полученных результатов.
Абсолютную погрешность А определяют по формуле
A=|Pc,-Da| , (2)
где Dcp - среднее арифметическое значение оптической плотности светофильтра, измеренное фотометром;
БШ 2.853.033 МП |
Лист | |||||
6 | ||||||
Изм. |
Лист |
№ докум. |
Подп. |
Дата |
D,) - действительное значение оптической плотности светофильтра, указанное в свидетельстве о поверке (сертификате калибровки) на набор КНФ-1М-15.
Проверку с другими светофильтрами набора проводят аналогично.
Абсолютная погрешность для всех результатов измерений оптической плотности не
должна превышать:
-
- в диапазоне от 0,03 до 0,50 Б .........................................±0,015 Б;
-
- в диапазоне от 0,51 до 1,09 Б ..........................................±0,045 Б;
-
- в диапазоне от 1,10 до 2,00 Б ......................................... ±0,45 Б.
-
6.3.3 Определение среднего квадратического отклонения случайной составляющей абсолютной погрешности измерений СКНП.
Определение среднего квадратического отклонения случайной составляющей абсолютной погрешности проводят измерением коэффициента пропускания светофильтра из набора КНФ-1М-15, имеющего коэффициент пропускания, близкий к 75 %.
По методике п. 6.3.1 измерения проводят 10 раз.
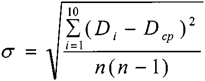
Среднее квадратическое отклонение о случайной составляющей абсолютной погрешности определяют по формуле
10
-Тср)2z = l_____________и
77 ( 77 - 1) ’ (3)
Инв. № подл. I Подп. и дата I Взам. инв. № I Инв. № дубл. I Подп. и дата
где п = 10 - количество измерений;
т, - результат отдельного измерения коэффициента пропускания;
тср ~ среднее арифметическое значение десяти измерений коэффициента пропускания.
Значение среднего квадратического отклонения случайной составляющей абсолютной погрешности измерений СКНП должно быть не более 0,15 %.
-
6.3.4 Определение среднего квадратического отклонения случайной составляющей абсолютной погрешности измерений оптической плотности.
Определение среднего квадратического отклонения случайной составляющей абсолютной погрешности проводят измерением оптической плотности светофильтра из набора КНФ-1М-15, имеющего оптическую плотность, близкую к 0,13 Б.
По методике п. 6.3.2 измерения проводят 10 раз.
Среднее квадратическое отклонение о случайной составляющей абсолютной погрешности определяют по формуле


где n = 10 - количество измерений;
D, - результат отдельного измерения оптической плотности;
Dcp - среднее арифметическое значение десяти измерений оптической плотности.
Изм. |
Лист |
№ докум. |
Подп. |
Дата |
БШ 2.853.033 МП
Лист
Инв. № подл. Подп. и дата Взам. инв. № Инв. № дубл. Подп. и дата
Значение среднего квадратического отклонения случайной составляющей абсолютной погрешности измерений оптической плотности должно быть не более 0,005 Б.
6.3.5 Проверка показаний фотометра по контрольным светофильтрам «К-1» и «К-2».
После поверки фотометра, при получении положительных результатов, проводится проверка показаний фотометра по контрольным светофильтрам «К-1» и «К-2» из комплекта фотометра.
Перед проведением измерений светофильтров они должны быть подготовлены в соответствии с инструкцией по чистке светофильтров, приведенной в справочном приложении А.
Проверку проводят по методике п. 6.3.1 на длине волны 525 нм.
Показания фотометра по контрольным светофильтрам определяют как среднее арифметическое из трех значений коэффициентов пропускания данных светофильтров, измеренных на фотометре.
Полученные значения сравнивают со значениями, указанными в паспорте фотометра.
Если полученные значения отличаются от значений, указанных в паспорте, более чем на ± 0,3 %, следует внести новые значения в п. 2.14 паспорта фотометра.
7 ОФОРМЛЕНИЕ РЕЗУЛЬТАТОВ ПОВЕРКИ
-
7.1 Результаты измерений, полученные в процессе поверки, оформляют рабочими записями произвольной формы. Допускаются компьютерные записи, формирование и хранение результатов поверки.
-
7.2 Положительные результаты поверки оформляют свидетельством о поверке в соответствии с действующими нормативными документами.
Знак поверки наносится на верхнюю крышку фотометра.
При первичной поверке заполняется раздел 8 Паспорта БШ 2.853.033 ПС без оформления свидетельства.
-
7.3 При несоответствии результатов поверки требованиям любого из пунктов настоящей методики фотометр к дальнейшей эксплуатации не допускают и выдают извещение о непригодности в соответствии с действующими нормативными документами. В извещении указывают причину непригодности.
Изм. |
Лист |
№ докум. |
Подп. |
Дата |
БШ 2.853.033 МП
Лист
Инв. № подл. Подп. и дата Взам. инв. № Инв. № дубл. Подп. и дата
ПРИЛОЖЕНИЕ А (Справочное)
ИНСТРУКЦИЯ ПО ЧИСТКЕ СВЕТОФИЛЬТРОВЧистка светофильтров заключается в удалении с их рабочих поверхностей следов жира, пыли, ворсинок и прочих загрязнений.
-
1 Для чистки светофильтров используются следующие растворители, инструменты, материалы:
-
- спирт этиловый ректификованный по ГОСТ Р51652-2000;
-
- деревянная палочка с заостренным концом, изготовленная из дерева, не содержащего смолы (березы, дуба, осины и пр.);
-
- вата оптической промышленности по ТУ 17 РФ 10.1-11891-92;
-
- коробка для хранения обезжиренной ваты;
-
- подставка с замшей для наматывания ваты на палочку;
-
- стеклянная посуда с притертой или завинчивающейся пробкой для хранения спирта;
-
- батистовые обезжиренные салфетки;
-
- беличья кисточка;
-
- подставка для палочек и кисточки;
-
- резиновая груша;
-
- стеклянный колпачок для предохранения от пыли и грязи инструментов и материалов.
-
2 Перед чисткой светофильтров делают влажную уборку рабочего места, приготавливают необходимые для чистки инструменты и материалы, моют руки теплой водой с мылом.
-
3 На конец палочки наматывают вату с помощью подставки, обтянутой замшей, батистом или бязью, при этом следят за тем, чтобы конец палочки не был оголен, так как им можно поцарапать поверхность светофильтра.
-
4 Рабочие поверхности светофильтра протирают сначала навернутым на палочку ватным тампоном, смоченным спиртом, затем салфеткой.
Для протирки пользуются только внутренней поверхностью салфетки, к которой не прикасались пальцы.
Если после первой чистки на поверхности светофильтра образовались разводы, то чистку повторяют, сменив ватный тампон.
-
5 Перед установкой светофильтра в держатель с его рабочих поверхностей удаляют пыль и ворсинки обезжиренной беличьей
кисточкой или сдувают резиновой грушей.
-
6 Для чистки семи светофильтров с обеих сторон необходимо 10 см3 спирта.
БШ 2.853.033 МП
Лист
9
Изм.
Лист
№ докум.
Подп.
Дата
Инв. № подл. Подп. и дата Взам. инв. № Инв. № дубл. Подп. и дата
Изм. |
Номера листов (страниц) |
Всего листов (страниц) в докум. |
№ докум. |
Входящий В сопроводительного докум. и дата |
Подп. |
Дата | |||
изменённых |
заменённых |
новых |
аннулированных | ||||||
БШ 2.853.033 МП |
Лист | |||||
10 | ||||||
Изм. |
Лист |
№ докум. |
Подп. |
Дата |