Методика поверки «ГСИ. УСТАНОВКИ ИЗМЕРИТЕЛЬНЫЕ «МАССА»» (МП 0414-9-2016)
ФЕДЕРАЛЬНОЕ АГЕНТСТВО ПО ТЕХНИЧЕСКОМУ РЕГУЛИРОВАНИЮ И МЕТРОЛОГИИ
Федеральное государственное унитарное предприятие «Всероссийский научно-исследовательский институт расходометрии»
Государственный научный метрологический центр
ФГУП «ВНИИР»
ИНСТРУКЦИЯ
Государственная система обеспечения единства измерений
УСТАНОВКИ ИЗМЕРИТЕЛЬНЫЕ «МАССА»
Методика поверки
МП 0414-9-2016
ь.(Ь5002)--(&
г. Казань
2016
РАЗРАБОТАНА
ФГУП «ВНИИР»
ИСПОЛНИТЕЛИ
УТВЕРЖДЕНА
Шабалин А.С.
ФГУП «ВНИИР»
Настоящая рекомендация не может быть полностью или частично воспроизведена, тиражирована и (или) распространена без разрешения ФГУП «ВНИИР» и ОАО «Завод «Нефтегазмаш».
Настоящая инструкция распространяется на установки измерительные «МАССА» (далее -установки), производимые ОАО «Завод «Нефтегазмаш» по ТУ 3667-021-00136656-2007, и устанавливает методику и средства их первичной и периодической поверок.
Интервал между поверками - 4 года.
1. Операции поверкиПри проведении поверки выполняют операции, приведенные в таблице 1 Таблица 1
|
Наименование операции |
Номер пункта документа по поверке |
Проведение операции при | |
|
первичной поверке |
периодической поверке | ||
|
Проверка комплектности технической документации |
6.1 |
Да |
Нет |
|
Внешний осмотр |
6.2 |
Да |
Да |
|
Проверка идентификационных данных программного обеспечения (ПО) |
6.3 |
Да |
Да |
|
Опробование |
6.4 |
Да |
Да |
|
Определение метрологических характеристик (далее - MX) ИУ |
6.5 |
Да |
Да |
-
2.1 При проведении поверки установки могут быть применены следующие средства поверки:
-
- эталоны 1 -го разряда с диапазоном воспроизводимого массового расхода газожидкостной смеси, соответствующим рабочему диапазону поверяемой установки, с относительной погрешностью измерения массового расхода жидкой смеси от 0,5 до 1,0 %, с диапазоном воспроизводимого объемного расхода газа (воздуха), приведенного к стандартным условиям, соответствующим рабочему диапазону поверяемой установки, с относительной погрешностью измерения объемного расхода газа (воздуха) до 1,5 %.
-
- эталоны 2-го разряда с диапазоном воспроизводимого массового расхода газожидкостной смеси, соответствующим рабочему диапазону поверяемой установки, с относительной погрешностью измерения массового расхода жидкой смеси от 1,5 до 2,0 %, с диапазоном воспроизводимого объемного расхода газа (воздуха), приведенного к стандартным условиям, соответствующим рабочему диапазону поверяемой установки, с относительной погрешностью измерения объемного расхода газа (воздуха) от 3 до 5 %.
-
2.2 Допускается при проведении поверки применение Государственного первичного специального эталона единицы массового расхода газожидкостных смесей ГЭТ 195-2011.
-
2.3 Все эталонные средства измерений должны быть аттестованы в установленном порядке.
-
3.1 При проведении поверки соблюдают требования безопасности, действующие в помещениях, где проводится поверка, и требования безопасности, установленные в руководстве по эксплуатации на эталонные СИ и на поверяемую установку.
-
3.2 Требования к квалификации поверителей.
-
3.2.1 Поверка установки должна проводиться метрологической службой предприятия (организации), аккредитованной в установленном порядке.
-
3.2.2 Поверку установки должен выполнять поверитель, изучивший технологическую схему и принцип его работы.
-
3.2.3 Поверитель должен быть аттестован в соответствии с Приказом Минпромторга России от 02.07.2015 N 1815 «Об утверждении Порядка проведения поверки средств измерений, требования к знаку поверки и содержанию свидетельства о поверке»
-
-
4.1 При проведении поверки установки с применением эталонов (кроме мобильных эталонных установок, работающих на реальных измерительных средах) по ГОСТ Р 8.637-2013 «ГСП. Государственная поверочная схема для средств измерений массового расхода многофазных потоков» соблюдают следующие условия:
Таблица 2
|
№ п/п |
Наименование параметра |
Единицы измерения |
Количество |
|
1 |
Температура окружающего воздуха (внутри помещений ИУ) |
°C |
от + 15 до + 25 |
|
2 |
Относительная влажность воздуха |
% |
от 30 до 80 |
|
3 |
Атмосферное давление |
кПа |
от 84 до 106,7 |
-
4.2 Первичную поверку установки проводят в два этапа:
- контроль метрологических характеристик всех СИ, входящих в состав установки (поэлементным способом);
-
- определение допускаемой относительной основной погрешности при измерении массового расхода сырой нефти, массового расхода сырой нефти без учета воды, объемного расхода свободного нефтяного газа, приведенного к стандартным условиям, с применением эталонов, указанных в разделе 2.
-
4.3 Периодическую поверку установки проводят путем определения допускаемой относительной основной погрешности при измерении массового расхода сырой нефти, массового расхода сырой нефти без учета воды, объемного расхода свободного нефтяного газа, приведенного к стандартным условиям, с применением эталонов, указанных в разделе 2
-
4.4 Допускается выполнение периодической поверки поэлементным способом до ввода в эксплуатацию мобильных эталонных установок 2-го разряда по ГОСТ Р 8.637, работающих на реальных измерительных средах.
При подготовке к поверке проводят работы в соответствии с руководством по эксплуатации установки и эксплуатационными документами на средства измерений, входящие в состав установки. На поверку представляют установки после проведения настройки и калибровки.
6. Проведение поверки-
6.1 Проверка комплектности технической документации
Проверяют наличие эксплуатационно-технической документации на установку и СИ, входящие в состав установки.
-
6.2 Внешний осмотр
-
6.2.1 При внешнем осмотре устанавливают:
-
-
- отсутствие механических повреждений и дефектов, не позволяющих провести поверку;
-
- соответствие комплектности установку эксплуатационной документации;
-
- читаемость надписей и обозначений, их соответствие требованиям эксплуатационной документации.
-
6.3 Проверка идентификационных данных ПО
-
6.3.1 Чтобы определить идентификационные данные ПО установки, необходимо выполнить нижеперечисленные процедуры для контроллера, входящего в ее состав.
-
В главном меню на сенсорной панели установки нажать кнопку «Версия ПО». В открывшемся на сенсорной панели окне отобразится наименование и номер версии встроенного ПО контроллера.
-
6.3.2 Если полученные при этом идентификационные данные и идентификационные данные, указанные в описании типа установки, идентичны, то делают вывод о подтверждении соответствия идентификационных данных ПО. В противном случае результаты поверки признают отрицательными.
-
6.4 Опробование.
-
6.4.1 Опробование СИ, входящих в состав установки, проводят в соответствии с нормативными документами на их поверку.
-
6.4.2 Опробование установки проводят на эталоне 1-го или 2-го разрядов (при поверке в испытательной лаборатории), либо с применением эталона 2-го разряда на коллекторе скважины (при поверке на месте эксплуатации).
-
6.4.3 Опробование установки проводят путем изменения параметров потока и качественной оценки реакции на такое изменение.
-
6.4.4 Результаты опробования считают удовлетворительными, если при увеличении (уменьшении) значения параметров потока соответствующим образом изменялись показания установки.
-
6.5 Определение MX установки.
6.5.1. Определение MX установки проводят тремя способами:
-
- поэлементным способом;
-
- с помощью эталона 1-го или 2-го разрядов в испытательной лаборатории;
-
- с помощью эталона 2-го разряда на месте эксплуатации.
-
6.5.2 Допускается выполнение первичной и периодической поверок поэлементным способом в случаях, предусмотренных п. 4.3.
-
6.5.2.1 Поверка поэлементным способом осуществляется в соответствии с методиками поверок на средства измерений, входящие в состав установки.
-
6.5.3 Определение допускаемой относительной основной погрешности при измерении массового расхода сырой нефти, массового расхода сырой нефти без учета воды, объемного расхода свободного нефтяного газа, приведенного к стандартным условиям, с помощью эталона 1го или 2-го разрядов в испытательной лаборатории.1
Допускаемую относительную основную погрешность при измерении каждого параметра определяют сравнением значений каждого параметра, измеренного установкой, со значениями соответствующего параметра, измеренного эталоном 1-го или 2-го разрядов, используя в качестве измеряемой среды газожидкостную смесь из имитатора нефти, воды и газа (воздуха).
Для поверки установки на эталоне 1-го или 2-го разрядов создается газожидкостный поток с комбинацией из трех расходов смеси имитатора нефти и воды (Q^i, Q.»2, Q.«3) в трех различных объемных долях воды (10 %, 70 %, 95 %) и трех расходов газа (воздуха) (Q?i, Qa2, Q.-з). Расходы имитатора нефти и воды соответствуют минимальному, среднему и максимальному расходам, воспроизводимым на эталоне 1-го или 2-го разрядов.
Определение допускаемых основных относительных погрешностей измерений массового расхода сырой нефти, массового расхода сырой нефти без учета воды и объемного расхода газа (воздуха), приведенного к стандартным условиям, производится одновременно в каждой точке, соответствующей определенному расходу газожидкостной смеси (смеси имитатора нефти, воды и газа (воздуха)) с соответствующим соотношением компонентов. В каждой точке проводят три измерения.
-
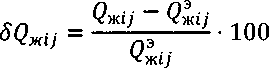
6.5.3.1 Допускаемую относительную основную погрешность z-ro измерения массового расхода сырой нефти SQ^j, %, ву-ой точке определяют по формуле

(1)
где i = l... 3;
Q-^ij - массовый расход жидкости (сырой нефти), измеренный установкой, т/ч;
Q^ij - массовый расход смеси имитатора нефти и воды, измеренный эталоном 1-го или 2-го разрядов, т/ч.
Значение допускаемой относительной основной погрешности измерений массы и массового расхода сырой нефти при каждом измерении не должно превышать ± 2,5 %.
-
6.5.3.2 Допускаемую относительную основную погрешность z-ro измерения массового расхода сырой нефти без учета воды 8QHjj, %, ву-ой точке определяют по формуле

(2)
где i = l... 3;
QHij - массовый расход нефти (сырой без учета воды), измеренный установкой, т/ч;
Qxjj - массовый расход имитатора нефти без учета воды, измеренный эталоном 1 -го или 2го разрядов, т/ч.
Значение допускаемой относительной основной погрешности измерений массы и массового расхода сырой нефти без учета воды при каждом измерении не должно превышать:
-
- при влагосодержании до70% ± 6,0 %;
-
- при влагосодержании свыше 70% до 95% ±15,0 %.
-
6.5.3.3 Допускаемую относительную основную погрешность z-ro измерения объемного расхода газа (воздуха), приведенного к стандартным условиям 8Qrij, %, в у-ой точке определяют по формуле
РА _ Qrij -1 AA
(3)
SQvij =-----100
^rij
где i = 1... 3;
Qrij - объемный расход газа (воздуха), приведенный к стандартным условиям, измеренный установкой, м3/ч;
Qfij - объемный расход газа (воздуха), приведенный к стандартным условиям, измеренный эталоном 1-го или 2-го разрядов, м3/ч.
Значение допускаемой относительной основной погрешности измерения объемного расхода газа (воздуха), приведенного к стандартным условиям, при каждом измерении не должно превышать ± 5 %.
Установка признается прошедшей поверку, если допускаемые основные относительные погрешности измерений не превышают величин, указанных в пунктах 6.5.3.1, 6.5.3.2, 6.5.3.3.
В случае если это условие для любого z-ro измерения не выполняется, проводят дополнительное измерение соответствующей величины и повторно определяют допускаемую относительную основную погрешность измерения соответствующей величины. Если после этого значение допускаемой относительной основной погрешности измерения соответствующей величины не удовлетворяет требованиям, изложенным в соответствующем пункте, то поверку прекращают до выявления и устранения причин невыполнения этих условий. После устранения причин повторно проводят серию из трех измерений соответствующей величины и определяют допускаемую относительную основную погрешность для каждого измерения. Если значения допускаемой относительной основной погрешности измерений вновь превышают значения, указанные в пунктах 6.5.3.1, 6.5.3.2 или 6.5.3.3, результаты поверки считают отрицательными.
-
6.5.4 Определение допускаемой относительной основной погрешности при измерении массового расхода сырой нефти, массового расхода сырой нефти без учета воды, объемного расхода свободного нефтяного газа, приведенного к стандартным условиям, с помощью эталона 2го разряда на месте эксплуатации.
Допускаемую относительную основную погрешность при измерении каждого параметра определяют при1 последовательном включении в поток установки и эталона 2-го разряда путем сравнения значений каждого параметра, измеренного установкой, со значениями соответствующего параметра, измеренного эталоном 2-го разряда, используя в качестве измеряемой среды реальный флюид, поступающий из скважин(ы).
Определение допускаемых основных относительных погрешностей измерений массового расхода сырой нефти, массового расхода сырой нефти без учета воды и объемного расхода газа, приведенного к стандартным условиям, производится одновременно на каждом скважинном флюиде с соответствующим соотношением компонентов. В каждой точке проводят три измерения.
-
6.5.4.1 Допускаемую относительную основную погрешность i-ro измерения массового
расхода сырой нефти SQ^j, %, в у-ой точке определяют по формуле

(4)
где i = l... 3;
Qxij - массовый расход жидкости (сырой нефти), измеренный установкой, т/ч;
- массовый расход жидкости (сырой нефти), измеренный эталоном 2-го разряда на месте эксплуатации, т/ч.
Значение допускаемой относительной основной погрешности измерений массы и массового расхода сырой нефти при каждом измерении не должно превышать ± 2,5 %.
-
6.5.4.2 Допускаемую относительную основную погрешность i-ro измерения массового расхода сырой нефти без учета воды 8QHij, %, ву-ой точке определяют по формуле


(5)
где i - 1... 3;
Qiiij ~ массовый расход нефти (сырой нефти без учета воды), измеренный установкой, т/ч;
Quij ~ массовый расход нефти (сырой нефти без учета воды), измеренный эталоном 2-го разряда на месте эксплуатации, т/ч.
Значение допускаемой относительной основной погрешности измерений массы и массового расхода сырой нефти без учета воды при каждом измерении не должно превышать:
-
- при влагосодержании до 70% ± 6,0%;
-
- при влагосодержании свыше 70% до 95% ± 15,0%.
-
6.5.4.3 Допускаемую относительную основную погрешность z-ro измерения объемного расхода газа, приведенного к стандартным условиям 8Qrij, %, в у-ой точке определяют по формуле

(6)
где i — 1... 3;
Qrij - объемный расход газа, приведенный к стандартным условиям, измеренный установкой, м3/ч;
Qftj - объемный расход газа, приведенный к стандартным условиям, измеренный эталоном 2-го разряда на месте эксплуатации, м3/ч.
Значение допускаемой относительной основной погрешности измерения объемного расхода газа, приведенного к стандартным условиям, при каждом измерении не должно превышать ± 5 %.
Установка признается прошедшей поверку, если допускаемые основные относительные погрешности измерений не превышают величин, указанных в пунктах 6.5.4.1, 6.5.4.2, 6.5.4.3.
В случае если это условие для любого z-го измерения не выполняется, проводят дополнительное измерение соответствующей величины и повторно определяют допускаемую относительную основную погрешность измерения соответствующей величины. Если после этого значение допускаемой относительной основной погрешности измерения соответствующей величины не удовлетворяет требованиям, изложенным в соответствующем пункте, то поверку прекращают до выявления и устранения причин невыполнения этих условий. После устранения причин повторно проводят серию из трех измерений соответствующей величины и определяют допускаемую относительную основную погрешность для каждого измерения. Если значения допускаемой относительной основной погрешности измерений вновь превышают значения, указанные в пунктах 6.5.4.1, 6.5.4.2 или 6.5.4.3, результаты поверки считают отрицательными.
7. Оформление результатов поверки-
7.1 Результаты поверки оформляют протоколом произвольной формы.
-
7.2 При положительном результате поверки оформляют свидетельство о поверке в соответствии с Приказом Минпромторга России от 02.07.2015 N 1815 «Об утверждении Порядка проведения поверки средств измерений, требования к знаку поверки и содержанию свидетельства о поверке» и допускают установку к эксплуатации.
-
7.3 При отрицательном результате поверки выясняют и устраняют причины отрицательного результата или проводят калибровку установки в соответствии с эксплуатационной документацией. Затем проводят повторную поверку в соответствии с данным документом.
При отрицательных результатах повторной поверки установку к эксплуатации не допускают, свидетельство о поверке аннулируют, выдают извещение о непригодности согласно Приказу Минпромторга России от 02.07.2015 N 1815 «Об утверждении Порядка проведения поверки средств измерений, требования к знаку поверки и содержанию свидетельства о поверке» с указанием причин. Установка после выдачи извещения о непригодности направляется в ремонт, утилизируется, либо используется для целей, не входящих в сферу государственного регулирования обеспечения единства измерений.
Установки измерительные «МАССА». Методика поверки
Лист 10 из 10
Если в качестве рабочей среды в эталоне 2-го разряда используют газожидкостную смесь, состоящую из воды и воздуха, то допускаемую относительную основную погрешность при измерении массового расхода сырой нефти без учета воды не определяют.
