Методика поверки «Навигационная аппаратура потребителей с угломерным каналом «НАП-УК» (индекс 14Ц830)» (МП 84-15-02 )
УТВЕРЖДАЮ
Первый заместитель генерального директора - заместитель по научной работе
ИНСТРУКЦИЯ
Навигационная аппаратура потребителей с угломерным каналом «НАП-УК» (индекс 14Ц830)
МЕТОДИКА ПОВЕРКИ
84-15-02 МП р.п. Менделеево, 2016 г.
1 Общие сведения-
1.1 Настоящая методика распространяется на навигационную аппаратуру потребителей с угломерным каналом «НАП-УК» (индекс 14Ц830) (далее - аппаратура), изготавливаемая Филиалом ОАО "Объединенная ракетно-космическая корпорация" - "Научно-исследовательский институт космического приборостроения", г. Москва.
-
1.2 Интервал между поверками - три года.
-
2.1 При проведении поверки должны выполняться операции, указанные в таблице 1.
Таблица 1.
|
Наименование операции |
Номер пункта методики поверки |
Проведение операции | |
|
после ремонта |
при периодической поверке | ||
|
1 Внешний осмотр |
8.1 |
да |
да |
|
2 Опробование |
8.2 |
да |
да |
|
3 Определение метрологических характеристик: |
8.3 |
да |
да |
|
3.1 Определение погрешности измерения координат в плане и высоты: |
8.3.1 |
да |
да |
| |||
|
3.2 Определение погрешности измерения составляющих вектора скорости |
8.3.2 |
да |
да |
|
3.3 Определение погрешности измерения углов пространственной ориентации строительных осей объекта-носителя |
8.3.3 |
да |
да |
-
3.1 Рекомендуемые средства поверки, в том числе рабочие эталонные средства измерений приведены в таблице 2.
-
3.2 Все средства поверки, применяемые при поверке средства измерений, должны быть исправны, поверены и иметь свидетельства о поверке или оттиск поверительного клейма на приборе или технической документации.
Таблица 2
|
Наименование средств поверки |
Требуемые технические характеристики средства поверки |
Рекомендуемое средство поверки (тип) |
|
Комплекс навигационный метрологический специального назначения |
Пределы допускаемой абсолютной погрешности (по уровню вероятности 0,67) измерений горизонтальных углов ± 1 угловая секунда, пределы допускаемой абсолютной погрешности (по уровню вероятности 0,67) измерений вертикальных углов ± 1 угловая секунда, пределы допускаемой абсолютной погрешности (по уровню вероятности 0,997) формирования беззапросной дальности до НКА КНС ГЛОНАСС и GPS по фазе |
КПА НАП |
|
дальномерного кода ± 1 м, пределы допускаемой абсолютной погрешности (по уровню вероятности 0,997) формирования скорости изменения беззапросной дальности до НКА КНС ГЛОНАСС и GPS ± 0,02 м/с. |
-
3.3 Вместо указанного в таблице 2 средства поверки допускается применять другие аналогичные средства поверки, обеспечивающие определение метрологических характеристик с требуемой точностью.
-
4.1 Поверка должна осуществляться лицами, аттестованными в качестве поверителей в порядке, установленном в ПР 50.2.012-94.
-
5.1 При проведении поверки должны быть соблюдены все требования безопасности в соответствии с ГОСТ 12.3.019-80.
Температура окружающего воздуха, °C......................................................от 15 до 35.
7 Подготовка к поверке-
7.1 Поверитель должен изучить техническую документацию фирмы-изготовителя и руководства по эксплуатации (РЭ) применяемых средств поверки.
-
7.2 Перед проведением операций поверки необходимо:
-
- проверить комплектность рекомендованных (или аналогичных им) средств поверки;
-
- заземлить (если это необходимо) рабочие эталоны, средства измерений и включить питание заблаговременно перед очередной операцией поверки (в соответствии со временем установления рабочего режима, указанным в РЭ).
-
8.1 Внешний осмотр
-
8.1.1 При внешнем осмотре проверить:
-
-
- комплектность поверяемой аппаратуры;
-
- отсутствие внешних механических повреждений и неисправностей, влияющих на работоспособность аппаратуры;
-
- исправность органов управления.
-
8.1.2 Результаты внешнего осмотра считать положительными, если комплектность поверяемой аппаратуры соответствует РЭ, отсутствуют внешние механические повреждения.
-
8.2 Опробование
-
8.2.1 Для опробования провести операции по проверке работоспособности аппаратуры в соответствии с п.п. 2.2.5 РЭ.
-
8.2.2 Проверить идентификационные признаки программного обеспечения (ПО) в соответствии с таблицей 3.
-
Таблица 3
|
Наименование ПО |
Идентификационное наименование ПО |
Номер версии (идентификаци онный номер) ПО |
Цифровой идентификатор ПО (контрольная сумма) |
Алгоритм вычисления цифрового идентификатора ПО |
|
RsQt33 |
спмо ЦДКТ.00268-01 |
2.0.0 не ниже |
-
8.2.3 Результаты опробования считать положительными, если выполняются требования п.п. 2.2.5 РЭ и номер версии ПО соответствует указанному в п. 8.2.2.
-
8.3 Определение метрологических характеристик
-
8.3.1 Определение погрешности (по уровню вероятности 0,95) измерения координат в плане и высоты:
-
-
- в стандартном режиме;
-
- в дифференциальном режиме.
-
8.3.1.1 Собрать схему измерений в соответствии со схемой на рисунке 1.

Рисунок 1 Схема измерений
8.3.1.2 Подготовить сценарий имитации с параметрами, приведенными в таблице 4, при этом контролировать, чтобы значение геометрического фактора ухудшения не превышало 4.
Таблица 4
|
Формируемые спутниковые навигационные сигналы |
ГЛОНАСС в частотном диапазоне L1 (код СТ+ВТ), в частотном диапазоне L2 (код ВТ) и GPS (код С/А без SA) в частотном диапазоне L1 |
|
Формирование сигналов МДПС |
да |
|
Продолжительность |
150 мин. (120 мин. стоянка, 30 мин. движение) |
|
Количество каналов: ГЛОНАСС (L1+L2) GPS |
8 8 |
|
Параметры среды распространения навигационных сигналов: тропосфера ионосфера |
присутствуют |
|
Координаты в системе координат WGS-84 (стоянка):
|
60°00'000000 N 030°00'000000 Е |
|
- высота, м |
100,00 |
|
- высота геоида, м |
18,00 |
|
Продолжительность стоянки |
120 мин |
|
Скорость движения (прямолинейное, равномерное, на север) |
12,86 м/с |
|
Продолжительность движения |
30 мин |
|
Расхождение между шкалами времени ГЛОНАСС, GPS, UTC, UTC(SU) |
отсутствует |
-
8.3.1.3 Подготовить имитатор сигналов из состава КПА НАП к работе в соответствии с требованиями технической документации. Запустить сценарий имитации.
-
8.3.1.4 Настроить аппаратуру на работу в стандартном режиме. Осуществить запись результатов измерений широты (В), долготы (L), высоты (Н) и составляющих вектора скорости (Vb, Vl, Vh) в течение выполнения сценария имитации.
-
8.3.1.5 Определить систематическую составляющую погрешности определения координат в плане (широты и долготы) и высоты по формулам (1), (2), например, для координаты В (широты):
AB(j) = B(j)-BUM, (1) (2)

где ВШ1 - значение координаты В, формируемое имитатором, угл. сек;
B(j) - значение координаты В в j-ый момент времени, угл. сек;
N- количество измерений.
Аналогичным образом определить систематическую составляющую погрешности определения координаты L (долготы) и высоты.
-
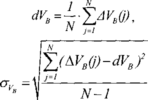
8.3.1.6 Определить среднее квадратическое отклонение (СКО) случайной составляющей погрешности определения координат по формуле (3), например, для координаты В (широты):

м_____
N-1
(3)
Аналогичным образом определить СКО случайной составляющей погрешности определения координаты L (долготы) и высоты Н.
-
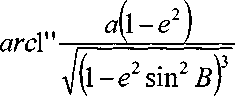
8.3.1.7 Перевести значения погрешностей определения координат в плане (широты и долготы) из угловых секунд в метры по формулам (4), (5): где а - большая полуось эллипсоида, м;
- для широты:
АВ(м)
■ ЛВ(угл .с),
(4)
- для долготы:
ЛЬ(м) = arcl"
g(l -e2)cos# д/(1-е2 sin2#)3
■ЛЬ(угл. с),
(5)
е - первый эксцентриситет эллипсоида;
1" = 0,000004848136811095359933 радиан (arc 1").
Для приближенных расчетов можно применять следующие формулы:
ЛВ(м)=30,92 -ЛВ(угл. с); ЛЬ(м)=30,92 -ЛЬ(угл. c)-cosB.
-
8.3.1.8 Определить погрешность (по уровню вероятности 0,95) определения координат в плане и высоты по формулам:
Пв = \dB\ + 2<тв,
(6)
-
(7)
-
(8)
nL=\dL\ + 1aL, n„=+(\dH\ + 2<7„y
-
8.3.1.9 Запустить сценарий имитации.
-
8.3.1.10 Настроить аппаратуру на работу в дифференциальном режиме. Осуществить запись результатов измерений широты (В), долготы (L), высоты (Н) и составляющих вектора скорости (Vb, Vl, Vh,) в течение выполнения сценария имитации.
-
8.3.1.11 Выполнить действия по п.п. 8.3.1.5 - 8.3.1.8.
-
8.3.1.12 Результаты поверки считать положительными, если значения погрешности измерения координат в плане не превышает 10 м в стандартном режиме и 2 м в дифференциальном режиме, а погрешность измерения высоты находится в границах ± 24 м при работе в стандартом режиме и ± 3,5 м - в дифференциальном режиме.
-
8.3.2 Определение погрешности (по уровню вероятности 0,95) измерения составляющих вектора скорости
-
8.3.2.1 Для определения погрешности измерения составляющих вектора скорости использовать результаты измерений Vb, Vl, Vh, полученные при выполнении действий по п. 8.3.1.
-
8.3.2.2 Определить систематическую составляющую погрешности и среднее квадратическое отклонение случайной составляющей погрешности определения каждой составляющей вектора скорости по формулам (8) - (10), например для Vb:
-
^B(j) = VB(j)-VBuM, (9) (Ю)

(П)
где Vbum ~ значение составляющей вектора скорости, формируемое имитатором, м/с;
Vb(j) - измеренное значение составляющей вектора скорости в j-ый момент времени, м/с;
N - количество измерений.
-
8.3.2.3 Определить погрешность (по уровню вероятности 0,95) определения составляющей вектора скорости по формуле (11), например для Vb:
Пув — i+ '2<Э'ув ) . (12)
-
8.3.2.4 Определить погрешность определения остальных составляющих вектора скорости аналогично п. 8.3.2.2-8.3.2.3.
-
8.3.2.5 Результаты поверки считать положительными, если значения погрешности (по уровню вероятности 0,95) измерения составляющих вектора скорости находятся в границах ± 0,035 м/с.
8.3.3 Определение погрешности (по уровню вероятности 0,95) измерения углов пространственной ориентации строительных осей объекта-носителя
-
8.3.3.1 Для определения угла курса разместить пять штативов геодезических в соответствии со схемой на рисунке 2 («Опорный пункт», «Т», «01», «02», «ОЗ»). На штативы геодезические «Т» и «Опорный пункт» разметить два комплекта спутниковой геодезической аппаратуры (СГА) из состава КПА НАП. Расстояние между штативами геодезическими «01», «02», «03» должно быть не менее 2 м.
-
8.3.3.2 С использованием СГА провести синхронные измерения радионавигационных параметров по сигналам космических навигационных систем. Снять СГА с штативов геодезических. Обработать полученные измерения с использованием специального программного обеспечения “Justin”, входящего в комплект поставки СГА. Полученное значение геодезического азимута An использовать дальнейших вычислениях.
-
8.3.3.3 На штатив геодезический «Т» установить тахеометр из состава КПА НАП, на штативы геодезические «Опорный пункт», «01», «02», «03» установить отражательные призмы из комплекта тахеометра.
-
8.3.3.4 Измерить дальности до отражательных призм R1 (Т01), R2 (Т02) и углы в горизонтальной плоскости Al, А2 и аналогично в вертикальной плоскости Г1, Г2 с использованием тахеометра.
-
8.3.3.5 Рассчитать действительное значение геодезического азимута вычислить по формуле (12):
адейст =2Tr-4+^+arcsin
R} cos Г,
- (J?2 sin Г2 - Ri sin Г] )2
sin(A}-A2) ,
7
(13)
где L - расстояние между геометрическими центрами антенн.
-
8.3.3.6 Для определения угла крена разместить тахеометр и отражательные призмы в соответствии со схемой на рисунке 3.
-
8.3.3.7 С использованием тахеометра измерить расстояния Ri и R2 и углы в вертикальной плоскости Г1 и Г2 до точек О4 и Оз соответственно.

Тахеометр
Рисунок 3 - Схема измерений (угол крена)

-
8.3.3.8 Рассчитать угол крена по формуле (13):
/дейст = arcsin
' Rx sin Г) -R2 sinr2
(14)
-
8.3.3.9 Для определения угла тангажа разместить тахеометр и отражательные призмы в соответствии со схемой на рисунке 4.
-
8.3.3.10 С использованием тахеометра измерить расстояния R1 и R2 и углы в вертикальной плоскости Г1 и Г2 до точек 01 и 02 соответственно.
Рисунок 4 - Схема проведения измерений (угол тангажа)
-
8.3.3.11 Рассчитать угол тангажа по формуле (14):
(15)
-
8.3.3.12 На геодезические штативы «01», «02», «03» установить антенны аппаратуры. Подготовить аппаратуру к работе и провести процедуру юстировки в соответствии с ЦДКТ.464315.013 РЭ. В качестве юстировочных значений углов азимута, крена и тангажа использовать значения, полученные по формулам (12)-(14).
-
8.3.3.13 Провести измерения углов пространственной ориентации аппаратуры с записью результатов измерений в течение не менее 4-х часов.
-
8.3.3.14 Рассчитать погрешность (по уровню вероятности 0,95) измерения углов пространственной ориентации, например, для азимута по формуле:
Па =±(|Д«| + 2сга), (16)
1 Nгде Да = — а, - адейст ■> N ~ количество измерений, сга =
-
8.3.3.15 Аналогичным образом рассчитать погрешность измерений углов крена и тангажа.
-
8.3.3.16 Результаты поверки считать положительными, если значения погрешности (по уровню вероятности 0,95) определения углов ориентации строительных осей объекта-носителя находятся в границах ± 4 угл. мин.
-
9.1 При положительных результатах поверки аппаратуры выдается свидетельство установленной формы.
-
9.2 На оборотной стороне свидетельства о поверке записывают результаты поверки.
-
9.3 В случае отрицательных результатов поверки выдается извещение о непригодности с указанием причины непригодности.
Начальник отдела № 84 ФГУП «ВНИИФТРИ»

А.М. Каверин
9
